Prognostic Impact of YKL-40 Immunohistochemical Expression in Patients with Colorectal Cancer
Abstract
:1. Introduction
2. Materials and Methods
2.1. Patients
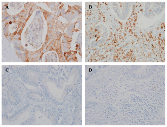
2.2. Tissue Array Method and Immunohistochemical Staining
2.3. Determination of Immunoscore
2.4. Statistical Analysis
3. Results
3.1. Clinicopathological Significance of YKL-40 Expression in Colorectal Cancers
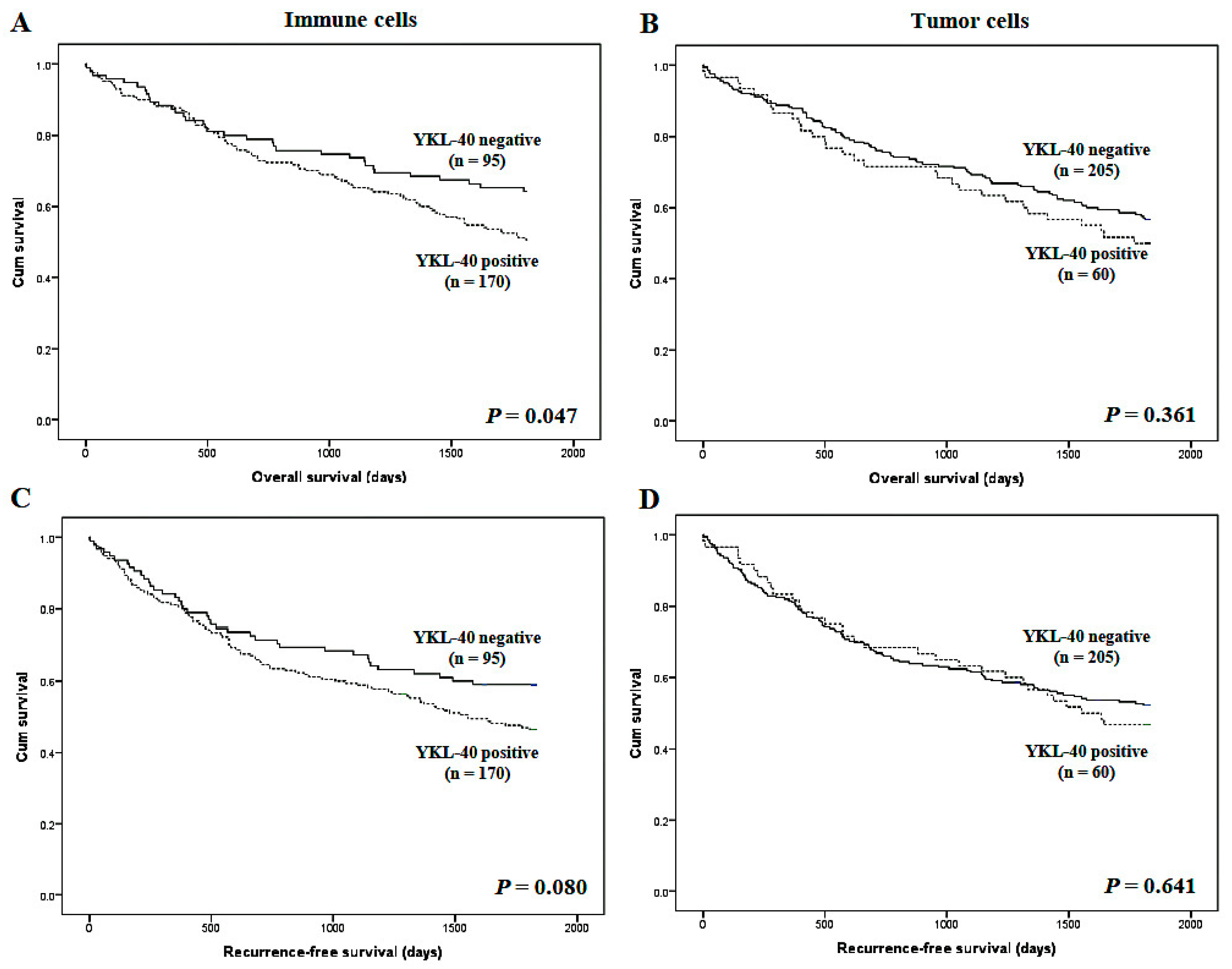
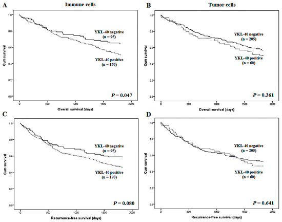
3.2. Correlation between YKL-40 Expression and Prognosis
4. Discussion
5. Conclusions
Author Contributions
Funding
Institutional Review Board Statement
Informed Consent Statement
Data Availability Statement
Conflicts of Interest
References
- Zhang, G.Q.; Taylor, J.P.; Stem, M.; Almaazmi, H.; Efron, J.E.; Atallah, C.; Safa, B. Aggressive Multimodal Treatment and Metastatic Colorectal Cancer Survival. J. Am. Coll. Surg. 2020, 230, 689–698. [Google Scholar] [CrossRef] [Green Version]
- Molinari, C.; Marisi, G.; Passardi, A.; Matteucci, L.; De Maio, G.; Ulivi, P. Heterogeneity in Colorectal Cancer: A Challenge for Personalized Medicine? Int. J. Mol. Sci. 2018, 19, 3733. [Google Scholar] [CrossRef] [Green Version]
- Junttila, M.R.; de Sauvage, F.J. Influence of tumour micro-environment heterogeneity on therapeutic response. Nature 2013, 501, 346–354. [Google Scholar] [CrossRef]
- Libreros, S.; Garcia-Areas, R.; Iragavarapu-Charyulu, V. CHI3L1 plays a role in cancer through enhanced production of pro-inflammatory/pro-tumorigenic and angiogenic factors. Immunol. Res. 2013, 57, 99–105. [Google Scholar] [CrossRef] [PubMed] [Green Version]
- Libreros, S.; Iragavarapu-Charyulu, V. YKL-40/CHI3L1 drives inflammation on the road of tumor progression. J. Leukoc. Biol. 2015, 98, 931–936. [Google Scholar] [CrossRef] [PubMed] [Green Version]
- Shao, R. YKL-40 acts as an angiogenic factor to promote tumor angiogenesis. Front. Physiol. 2013, 4, 122. [Google Scholar] [CrossRef] [PubMed] [Green Version]
- Bian, B.; Li, L.; Yang, J.; Liu, Y.; Xie, G.; Zheng, Y.; Zeng, L.; Zeng, J.; Shen, L. Prognostic value of YKL-40 in solid tumors: A meta-analysis of 41 cohort studies. Cancer Cell Int. 2019, 19, 259. [Google Scholar] [CrossRef] [PubMed] [Green Version]
- Bi, J.; Lau, S.H.; Lv, Z.L.; Xie, D.; Li, W.; Lai, Y.R.; Zhong, J.M.; Wu, H.Q.; Su, Q.; He, Y.L.; et al. Overexpression of YKL-40 is an independent prognostic marker in gastric cancer. Hum. Pathol. 2009, 40, 1790–1797. [Google Scholar] [CrossRef] [PubMed]
- Chiang, Y.C.; Lin, H.W.; Chang, C.F.; Chang, M.C.; Fu, C.F.; Chen, T.C.; Hsieh, S.F.; Chen, C.A.; Cheng, W.F. Overexpression of CHI3L1 is associated with chemoresistance and poor outcome of epithelial ovarian carcinoma. Oncotarget 2015, 6, 39740–39755. [Google Scholar] [CrossRef] [Green Version]
- Kim, S.H.; Das, K.; Noreen, S.; Coffman, F.; Hameed, M. Prognostic implications of immunohistochemically detected YKL-40 expression in breast cancer. World J. Surg. Oncol. 2007, 5, 17. [Google Scholar] [CrossRef] [Green Version]
- Luo, D.; Chen, H.; Lu, P.; Li, X.; Long, M.; Peng, X.; Huang, M.; Huang, K.; Lin, S.; Tan, L.; et al. CHI3L1 overexpression is associated with metastasis and is an indicator of poor prognosis in papillary thyroid carcinoma. Cancer Biomark. 2017, 18, 273–284. [Google Scholar] [CrossRef] [PubMed]
- Steponaitis, G.; Skiriute, D.; Kazlauskas, A.; Golubickaite, I.; Stakaitis, R.; Tamasauskas, A.; Vaitkene, P. High CHI3L1 expression is associated with glioma patient survival. Diagn. Pathol. 2016, 11, 42. [Google Scholar] [CrossRef] [PubMed] [Green Version]
- Wang, X.W.; Cai, C.L.; Xu, J.M.; Jin, H.; Xu, Z.Y. Increased expression of chitinase 3-like 1 is a prognosis marker for non-small cell lung cancer correlated with tumor angiogenesis. Tumour Biol. 2015, 36, 901–907. [Google Scholar] [CrossRef]
- Zhang, J.P.; Yuan, H.X.; Kong, W.T.; Liu, Y.; Lin, Z.M.; Wangs, W.P.; Guo, J.M. Increased expression of Chitinase 3-like 1 and microvessel density predicts metastasis and poor prognosis in clear cell renal cell carcinoma. Tumour Biol. 2014, 35, 12131–12137. [Google Scholar] [CrossRef]
- Cintin, C.; Johansen, J.S.; Christensen, I.J.; Price, P.A.; Sørensen, S.; Nielsen, H.J. Serum YKL-40 and colorectal cancer. Br. J. Cancer 1999, 79, 1494–1499. [Google Scholar] [CrossRef] [PubMed] [Green Version]
- Johansen, J.S.; Christensen, I.J.; Jørgensen, L.N.; Olsen, J.; Rahr, H.B.; Nielsen, K.T.; Laurberg, S.; Brunner, N.; Nielsen, H.J. Serum YKL-40 in risk assessment for colorectal cancer: A prospective study of 4496 subjects at risk of colorectal cancer. Cancer Epidemiol. Biomark. Prev. 2015, 24, 621–626. [Google Scholar] [CrossRef] [PubMed] [Green Version]
- Aspeslagh, S.; Matias, M.; Palomar, V.; Dercle, L.; Lanoy, E.; Soria, J.C.; Posterl-Vinay, S. In the immuno-oncology era, is anti-PD-1 or anti-PD-L1 immunotherapy modifying the sensitivity to conventional cancer therapies? Eur. J. Cancer 2017, 87, 65–74. [Google Scholar] [CrossRef]
- Idos, G.E.; Kwok, J.; Bonthala, N.; Kysh, L.; Gruber, S.B.; Qu, C. The Prognostic Implications of Tumor Infiltrating Lymphocytes in Colorectal Cancer: A Systematic Review and Meta-Analysis. Sci. Rep. 2020, 10, 3360. [Google Scholar] [CrossRef]
- Amin, M.B.; Edge, S.B.; Greene, F.L.; Gershenwald, J.E.; Brookland, R.K.; Meyer, L.; Gress, D.M.; Byrd, D.R.; Winchester, D.P. The AJCC Cancer Staging Manual, 8th ed.; Springer: New York, NY, USA, 2016. [Google Scholar]
- Pyo, J.S.; Ko, Y.S.; Kang, G.; Kim, D.H.; Kim, W.H.; Lee, B.L.; Sohn, J.H. Bile acid induces MUC2 expression and inhibits tumor invasion in gastric carcinomas. J. Cancer Res. Clin. Oncol. 2015, 141, 1181–1188. [Google Scholar] [CrossRef]
- Pyo, J.S.; Park, M.J.; Kim, C.N. TPL2 expression is correlated with distant metastasis and poor prognosis in colorectal cancer. Hum. Pathol. 2018, 79, 50–56. [Google Scholar] [CrossRef]
- Schultz, N.A.; Johansen, J.S. YKL-40-A Protein in the Field of Translational Medicine: A Role as a Biomarker in Cancer Patients? Cancers 2010, 2, 1453–1491. [Google Scholar] [CrossRef] [Green Version]
- Liu, K.; Jin, M.; Ye, S.; Yan, S. CHI3L1 promotes proliferation and improves sensitivity to cetuximab in colon cancer cells by down-regulating p53. J. Clin. Lab. Anal. 2020, 34, e23026. [Google Scholar] [CrossRef]
- Peng, H.; Su, Q.; Lin, Z.C.; Zhu, X.H.; Peng, M.S.; Lv, Z.B. Potential suppressive effects of theophylline on human rectal cancer SW480 cells in vitro by inhibiting YKL-40 expression. Oncol. Lett. 2018, 15, 7403–7408. [Google Scholar] [CrossRef] [PubMed]
- Shao, R.; Cao, Q.J.; Arenas, R.B.; Bigelow, C.; Bentley, B.; Yan, W. Breast cancer expression of YKL-40 correlates with tumour grade, poor differentiation, and other cancer markers. Br. J. Cancer 2011, 105, 1203–1209. [Google Scholar] [CrossRef] [PubMed] [Green Version]
- Høgdall, E.V.; Ringsholt, M.; Høgdall, C.K.; Christensen, I.J.; Johansen, J.S.; Kjaer, S.K.; Blaakaer, J.; Ostenfeld-Møller, L.; Price, P.A.; Christensen, L.H. YKL-40 tissue expression and plasma levels in patients with ovarian cancer. BMC Cancer 2009, 9, 8. [Google Scholar] [CrossRef] [PubMed] [Green Version]
- Kang, E.J.; Jung, H.; Woo, O.H.; Park, K.H.; Woo, S.U.; Yang, D.S.; Kim, A.R.; Lee, J.B.; Kim, Y.H.; Kim, J.S.; et al. YKL-40 expression could be a poor prognostic marker in the breast cancer tissue. Tumour Biol. 2014, 35, 277–286. [Google Scholar] [CrossRef]
- Roslind, A.; Knoop, A.S.; Jensen, M.B.; Johansen, J.S.; Nielsen, D.; Price, P.A.; Balslev, E. YKL-40 protein expression is not a prognostic marker in patients with primary breast cancer. Breast Cancer Res. Treat. 2008, 112, 275–285. [Google Scholar] [CrossRef]
- Tarpgaard, L.S.; Guren, T.K.; Glimelius, B.; Christensen, I.J.; Pfeiffer, P.; Kure, E.H.; Sorbye, H.; Ikdahl, T.; Yilmaz, M.; Johansen, J.S.; et al. Plasma YKL-40 in patients with metastatic colorectal cancer treated with first line oxaliplatin-based regimen with or without cetuximab: Results from the NORDIC VII Study. PLoS ONE 2014, 9, e87746. [Google Scholar]
- Rajabi, M.; Mousa, S.A. The Role of Angiogenesis in Cancer Treatment. Biomedicines 2017, 5, 34. [Google Scholar] [CrossRef] [Green Version]
- Faibish, M.; Francescone, R.; Bentley, B.; Yan, W.; Shao, R. A YKL-40-neutralizing antibody blocks tumor angiogenesis and progression: A potential therapeutic agent in cancers. Mol. Cancer Ther. 2011, 10, 742–751. [Google Scholar] [CrossRef] [Green Version]
- Galon, J.; Mlecnik, B.; Bindea, G.; Angell, H.K.; Berger, A.; Lagorce, C.; Lugli, A.; Zlobec, I.; Hartmann, A.; Bifulco, C.; et al. Towards the introduction of the ‘Immunoscore’ in the classification of malignant tumours. J. Pathol. 2014, 232, 199–209. [Google Scholar] [CrossRef] [Green Version]
- Galon, J.; Pagès, F.; Marincola, F.M.; Angell, H.K.; Thurin, M.; Lugli, A.; Zlobec, I.; Berger, A.; Bifulco, C.; Botti, G.; et al. Cancer classification using the Immunoscore: A worldwide task force. J. Transl. Med. 2012, 10, 205. [Google Scholar] [CrossRef] [PubMed]
- Ko, Y.S.; Pyo, J.S. Clinicopathological significance and prognostic role of tumor-infiltrating lymphocytes in colorectal cancer. Int. J. Biol. Markers 2019, 34, 132–138. [Google Scholar] [CrossRef] [Green Version]
- Kim, D.H.; Park, H.J.; Lim, S.; Koo, J.H.; Lee, H.G.; Choi, J.O.; Oh, J.H.; Ha, S.J.; Kang, M.J.; Lee, C.M.; et al. Regulation of chitinase-3-like-1 in T cell elicits Th1 and cytotoxic responses to inhibit lung metastasis. Nat. Commun. 2018, 9, 503. [Google Scholar] [CrossRef] [PubMed]
- Johansen, J.S.; Jensen, B.V.; Roslind, A.; Price, P.A. Is YKL-40 a new therapeutic target in cancer? Expert Opin. Ther. Targets 2007, 11, 219–234. [Google Scholar] [CrossRef]
- Shen, Z.; Gu, L.; Mao, D.; Chen, M.; Jin, R. Clinicopathological and prognostic significance of PD-L1 expression in colorectal cancer: A systematic review and meta-analysis. World J. Surg. Oncol. 2019, 17, 4. [Google Scholar] [CrossRef] [PubMed] [Green Version]
- Nguyen, L.T.; Ohashi, P.S. Clinical blockade of PD1 and LAG3-potential mechanisms of action. Nat. Rev. Immunol. 2015, 15, 45–46. [Google Scholar] [CrossRef]
- Herbst, R.S.; Soria, J.C.; Kowanetz, M.; Fine, G.D.; Hamid, O.; Gordon, M.S.; Sosman, J.A.; McDermott, D.F.; Powderly, J.D.; Gettinger, S.N.; et al. Predictive correlates of response to the anti-PD-L1 antibody MPDL3280A in cancer patients. Nature 2014, 515, 563–567. [Google Scholar] [CrossRef] [Green Version]
- Yang, X.; Fang, D.; Li, M.; Chen, J.; Cheng, Y.; Luo, J. Knockdown of Chitinase 3-Like-1 Inhibits Cell Proliferation, Promotes Apoptosis, and Enhances Effect of Anti-Programmed Death Ligand 1 (PD-L1) in Diffuse Large B Cell Lymphoma Cells. Med. Sci. Monit. 2021, 27, e929431. [Google Scholar] [CrossRef]



| YKL-40 Expression in Immune Cells | p-Value | YKL-40 Expression in Tumor Cells | p-Value | |||
|---|---|---|---|---|---|---|
| Positive | Negative | Positive | Negative | |||
| Total (n = 265) | 170 (64.2) | 95 (35.8) | 60 (22.6) | 205 (77.4) | ||
| Age (years) | 62.71 ± 13.03 | 65.02 ± 12.63 | 0.162 | 63.85 ± 11.71 | 63.44 ± 13.27 | 0.831 |
| Sex | 0.615 | 0.694 | ||||
| Male | 84 (62.7) | 50 (37.3) | 29 (21.6) | 105 (78.4) | ||
| Female | 86 (65.6) | 45 (45.8) | 31 (23.7) | 100 (76.3) | ||
| Tumor size | 1 | 0.764 | ||||
| ≤5 cm | 68 (64.2) | 38 (35.8) | 25 (23.6) | 81 (76.4) | ||
| >5 cm | 102 (64.2) | 57 (35.8) | 35 (22.0) | 124 (78.0) | ||
| Tumor size (cm) | 5.48 ± 2.07 | 5.42 ± 2.10 | 0.84 | 5.52 ± 2.04 | 5.45 ± 2.10 | 0.815 |
| Location of tumor | 0.292 | 0.375 | ||||
| Right colon | 78 (60.9) | 50 (39.1) | 32 (25.0) | 96 (75.0) | ||
| Left colon and rectum | 92 (67.2) | 45 (32.8) | 28 (20.4) | 109 (79.6) | ||
| Tumor differentiation | 0.047 | 0.576 | ||||
| Well or Moderate | 141 (67.1) | 69 (32.9) | 46 (21.9) | 164 (78.1) | ||
| Poorly | 29 (52.7) | 26 (47.3) | 14 (25.5) | 41 (74.5) | ||
| Vascular invasion | 0.285 | 0.824 | ||||
| Present | 13 (54.2) | 11 (45.8) | 5 (20.8) | 19 (79.2) | ||
| Absent | 157 (65.1) | 84 (34.9) | 55 (22.8) | 186 (77.2) | ||
| Lymphatic invasion | 0.086 | 0.96 | ||||
| Present | 39 (55.7) | 31 (44.3) | 16 (22.9) | 54 (77.1) | ||
| Absent | 131 (67.2) | 64 (32.8) | 44 (22.6) | 151 (77.4) | ||
| Perineural invasion | 0.443 | 0.243 | ||||
| Present | 26 (59.1) | 18 (40.9) | 7 (15.9) | 37 (84.1) | ||
| Absent | 144 (65.2) | 77 (34.8) | 53 (24.0) | 168 (76.0) | ||
| pT stage | 0.339 | 0.131 | ||||
| pT1-2 | 29 (70.7) | 12 (29.3) | 13 (31.7) | 28 (68.3) | ||
| pT3-4 | 141 (62.9) | 83 (37.1) | 47 (21.0) | 177 (79.0) | ||
| Lymph node metastasis | 0.801 | 0.219 | ||||
| Present | 94 (64.8) | 51 (35.2) | 37 (25.5) | 108 (74.5) | ||
| Absent | 76 (63.3) | 44 (36.7) | 23 (19.2) | 97 (80.8) | ||
| Distant metastasis | 0.059 | 0.79 | ||||
| Present | 14 (48.3) | 13 (51.7) | 6 (20.7) | 23 (79.3) | ||
| Absent | 156 (66.1) | 80 (33.9) | 54 (22.9) | 182 (77.1) | ||
| pTNM stage | 0.953 | 0.368 | ||||
| I-II | 74 (64.3) | 41 (35.7) | 23 (24.7) | 113 (75.3) | ||
| III-IV | 96 (64.0) | 54 (36.0) | 37 (20.0) | 92 (80.0) | ||
| YKL-40 Expression in Immune Cells | p-Value | YKL-40 Expression in Tumor Cells | p-Value | |||
|---|---|---|---|---|---|---|
| Positive | Negative | Positive | Negative | |||
| PD-L1 in tumor cells | ||||||
| Positive | 17 (68.0) | 8 (32.0) | 0.673 | 8 (31.0) | 17 (68.0) | 0.240 |
| Negative | 153 (63.7) | 87 (36.3) | 52 (41.9) | 188 (78.3) | ||
| PD-L1 in immune cells | ||||||
| Positive | 37 (78.7) | 10 (21.3) | 0.020 | 10 (21.3) | 37 (78.7) | 0.846 |
| Negative | 132 (60.8) | 85 (39.2) | 49 (22.6) | 168 (77.4) | ||
| Immunoscore | ||||||
| High (score 3–4) | 70 (64.8) | 38 (28.8) | 0.852 | 27 (28.4) | 81 (75.0) | 0.447 |
| Low (score 0–2) | 100 (63.7) | 57 (43.8) | 33 (19.4) | 124 (79.0) | ||
Publisher’s Note: MDPI stays neutral with regard to jurisdictional claims in published maps and institutional affiliations. |
© 2021 by the authors. Licensee MDPI, Basel, Switzerland. This article is an open access article distributed under the terms and conditions of the Creative Commons Attribution (CC BY) license (https://creativecommons.org/licenses/by/4.0/).
Share and Cite
Oh, I.H.; Pyo, J.-S.; Son, B.K. Prognostic Impact of YKL-40 Immunohistochemical Expression in Patients with Colorectal Cancer. Curr. Oncol. 2021, 28, 3139-3149. https://doi.org/10.3390/curroncol28040274
Oh IH, Pyo J-S, Son BK. Prognostic Impact of YKL-40 Immunohistochemical Expression in Patients with Colorectal Cancer. Current Oncology. 2021; 28(4):3139-3149. https://doi.org/10.3390/curroncol28040274
Chicago/Turabian StyleOh, Il Hwan, Jung-Soo Pyo, and Byoung Kwan Son. 2021. "Prognostic Impact of YKL-40 Immunohistochemical Expression in Patients with Colorectal Cancer" Current Oncology 28, no. 4: 3139-3149. https://doi.org/10.3390/curroncol28040274
APA StyleOh, I. H., Pyo, J.-S., & Son, B. K. (2021). Prognostic Impact of YKL-40 Immunohistochemical Expression in Patients with Colorectal Cancer. Current Oncology, 28(4), 3139-3149. https://doi.org/10.3390/curroncol28040274

