Abstract
Salicornia species are halophyte plants that are an important source for food, pharmacy, and bioenergy. They can be consumed as a leafy vegetable, but they can accumulate heavy metals that carry a health risk when knowledge of how each species behaves in different types of soil is lacking. This present work aimed to determine to what extent S. ramosissima can be cultivated as food in estuaries contaminated by heavy metals and to what extent it can be used in phytoremediation works, by studying its behavior in populations that grow naturally in contaminated soils. We analyzed accumulation and translocation in different parts of the plant for 14 heavy metals and calculated the Health Risk Index value associated with their consumption as a leafy vegetable. The results obtained mean that the S. ramosissima plants that grow in most of the soils of this estuary are unfit for human consumption in some of the populations studied. In conclusion, Salicornia ramosissima J. Woods can accumulate Cd, As, and Pb—among other metals—in its leaves so its consumption should be limited to plants that grow in soils free of these metals.
1. Introduction
Heavy metals are enriched in the environment by human activities such as mining, industrial and traffic emissions, untreated sewage effluents, fertilizer, pesticides, etc., reaching the soil and the sediment where they become bound [1,2,3], generating problems by their contamination of the atmosphere, water and soil that have become a global concern [4,5,6,7]. For this reason, soil contamination by heavy metals has been regulated by various organizations and public administrations, which have established maximum permitted limits for metal concentrations in order to protect the soil and the environment, normally depending on the soil’s pH value. This is the case in the European Union [8] and more specifically it is the situation defined by the Spanish government [9], which both set limits for Cd, Cr, Cu, Hg, Ni, Pb, and Zn and, more locally in our case, the government of the autonomous region of Andalusia, which fixed levels for As, Cd, Co, Cr, Cu, Ni, Pb, Tl, and Zn [10].
When heavy metals accumulate to a certain degree of concentration in soils, they can easily enter the human body by plant enrichment via the food chain, which acts as the major pathway for human exposure to heavy metals [5,7,11,12]. Unsurprisingly, food safety is fast becoming a major concern worldwide, hence the growing demand for research on the risks associated with the consumption of food contaminated by heavy metals [13,14,15,16].
The capacity of plants to absorb heavy metals from soil depends on the bioavailability of the metal in the soil and on the plant species. As vegetables are an important component of the human diet, many studies have assessed their levels of heavy metal contamination in different situations and the risk to health by their intake—specifically leafy vegetables—which potentially accumulate more heavy metals than other fruit and vegetable crops [4,13,14,17,18,19].
Hazards due to heavy metal intake in the human body have led many countries and agencies, such as the Food and Agriculture Organization of the United Nations, the World Health Organization [20], and the European Union [21,22] to establish tolerance levels for food and animal feed based on investigations of their effect according to their degree of toxicity or to establish rates of periodic intake of which the most widely used are PTWI (permitted tolerable weekly intake) (mg kg−1 body weight week−1)—whose levels were established by the FAO and WHO [20,23]—and TUIL (Tolerable Upper Intake Level) (mg day−1), whose levels are used by different agencies such as the Panel on Micronutrients of the US Institute of Medicine [24], the European Food Safety Authority [25,26,27], the Spanish Agency for Food Safety and Nutrition [28], and the WHO [29].
Various parameters could be used to quantify these hazards but the most common is the Health Risk Index (HRI), which is based on the Estimated Daily Intake (EDI) (mg kg−1 body weight day−1) and on the dose reference (RfD) (mg kg−1 body weight day−1); this parameter generally uses the values established by the United States Environmental Protection Agency [30,31,32], widely used for vegetable consumption [33,34,35,36,37].
Similar to EDI is the Chronic Daily Intake (CDI) (mg kg−1 body weight day−1) index, which also considers the years of exposure to one food and the mean days of exposure in a year, comparing this value with the RfD value yields the Target Hazard Quotient (THQ), which has been used by several authors [15,16,19,34].
Meanwhile, degradation of agricultural land by salinization continues worldwide [38,39] due to a decrease in fresh water and groundwater; this has stimulated interest in the use of halophytes, which have more salt resistance than conventional agricultural crops [40,41,42,43,44,45] because they are naturally adapted to salt resistance, which can also extend tolerance to other toxic elements [46,47,48,49].
In Europe, halophytes play an increasingly important role in human consumption patterns, and the European Union is mulling a decision to establish maximum levels for heavy metals for such foods; monitoring has already begun of Salicornia europaea L. (an aggregate species to which S. ramosissima belongs) to enable an accurate estimate of exposure to be made [50] since halophytes and seaweeds could contain high concentrations of heavy metals such as arsenic in comparison to terrestrial plants [51].
As in the rest of the glassworts Salicornia species, S. ramosissima is an annual halophyte species in which water is stored in the succulent leaves that are opposite and fused, forming a ring around the stems [52,53]. It is a pioneer species that colonizes European and North African salt marshes, occurring in a range of salt marsh habitats [54], including those with hypersalinity conditions, due to which its seeds are capable of germinating at high salinity levels [55,56] and are an important source of food [16,42,57,58], pharmaceuticals [42,43,59,60,61], and bioenergy [41,43]. Its cultivation also has ecological applications, thanks to its ability to survive and to reproduce in saline environments [62], as a biofilter to recycle the water and nutrients contained in the effluents of marine aquaculture, and as a phytoremediator of saline soils and soils contaminated with heavy metals [43,63,64,65,66,67].
In the case of S. ramosissima, it has been proposed for phytoremediation due to its ability to accumulate Cd in its roots, but this accumulation recedes with increasing salinity, especially at high concentrations [68,69]; this species is considered as a phytoaccumulator at root level for As, Cd, Cu, Ni, Pb, and Zn and that plant growth promoting inoculation could enhance this phytoaccumulation due to its increase in plant biomass.
Salicornia species primarily inhabit saline coastal habitats, such as estuarine salt marshes [54], where heavy metals have been added to the environment by polluted water through various anthropogenic activities—such as manufacturing, mining, and agricultural industries [70]—as is the case of the estuary of the Tinto and the Odiel rivers in Huelva (SW Spain), which is one of the systems most heavily polluted by heavy metals in the world [71,72,73].
The aim of this present study was to determine to what extent S. ramosissima can be farmed for food in estuaries polluted by heavy metals and to what extent it can be used in phytoremediation work by studying its behavior in populations growing naturally in the heavy metal-contaminated soils of the Odiel river estuary. To do this, we analyzed heavy metal accumulation and translocation in different parts of the plant for 14 heavy metals: Al, As, Cd, Co, Cr, Cu, Fe, Mn, Ni, Pb, Tl, U, V, and Zn, mostly selected for their abundance in the area and/or for their toxic potential when eaten.
The heavy metal concentrations observed in leaves for the 14 heavy metals in all populations were compared to the limit of tolerable content in food for these metals established by the FAO/WHO [20], the European Union [21,22], and China’s Food and Drug Administration [74] to verify its edibility and its commercialization in accordance with these criteria and then we calculated the Health Risk Index value associated with their consumption as a leafy vegetable.
The following hypotheses were tested: (1) Heavy metal accumulation would be site specific and depend on soil concentrations; (2) Heavy metal intake by roots could be affected by soil pH and soil conductivity; (3) Heavy metal accumulation would vary in the different habitats that this species inhabits; and (4) Heavy metal accumulation in edible parts of the plant can compromise human consumption due to its toxicity.
2. Materials and Methods
2.1. Study Area and Species Studied
The study was carried out in the Odiel Marshes Natural Park (Huelva; SW Spain), located in the estuary of Huelva, formed by the convergence of the rivers Tinto and Odiel, protected by law in Andalusia as a Natural Park, and internationally recognized as a Biosphere Reserve by UNESCO. The major habitats in the park are tidal marshes, canals, saltworks, and islands covered by sclerophyllous shrubland vegetation and pine woodlands [75]. Tidal salt marshes show a clear community zonation pattern, based on tidal influence and elevation [76], which are sometimes separate in different habitats [75,77,78]. In the Odiel Marshes, S. ramosissima inhabits four types of habitats: low marsh, medium marsh, saltpan, and saltwork.
A total of 14 populations of Salicornia ramosissima were sampled in May 2019 throughout the Natural Park (Figure 1), including populations collected in the four habitats mentioned (Table 1).
Figure 1.
Location of the sample points in the Odiel Marshes Natural Park. Numbers in white circle indicate sampling points.
Table 1.
Coordinates of the sample points, correspondent habitat, and mean and standard error of soil pH and soil conductivity (mS cm−1).
2.2. Soils Sampling and Analysis
In each sampling population, a soil sample and a sample of plant material were collected. Soil samples were collected from the S. ramosissima population using stainless steel cores of 50 mm height and diameter. These samples were hermetically sealed in polyethylene bags and stored at −20 °C for analysis in the laboratory [6].
The day before analysis, the soil samples were thawed to room temperature. A sample of 20 cc from each soil sample was placed in a Falcon tube with 20 cc of distilled water (1:1), then homogenized by vigorous vortex shaking for two minutes, and centrifuged at 3000× g for 15 min. The supernatant was transferred to a glass tube for the rest of analysis. Electrical conductivity in the supernatant was measured by a conductivity meter (Horiba Laqua, Kyoto, Japan), and the pH was measured by a pHmeter (Crison Basic 20+, Barcelona, Spain). The pH and the conductivity analyses were performed in duplicate, and two measures of pH and conductivity were taken for each soil sample [77].
For the quantification of bioavailable metals, the samples were pretreated using the Alan and Kara protocol namely, the thawed soil samples were deposited in Petri dishes and oven-dried at 45 °C for two days. A sufficient amount of soil sample was sifted using a 100 µm sieve. Once sifted, 1 g of each soil sample was weighed and 40 mL of 20 mM CaCl2 added, then constantly stirred overnight at room temperature. The following day, the soil samples were centrifuged at 3000× g for 15 min to recover the supernatant fraction containing the bioavailable metals and stored at 4 °C until further quantification by ICP-MS [79].
Each supernatant was five-fold diluted with 5%HNO3 (trace metal grade 65%), containing 100 ug/L of Rh as internal standard, and analyzed in an inductively coupled plasma mass spectrometer, (ICP-MS) Thermo XSeries2 (Thermo Scientific, Bremen, Germany), equipped with a MicroMist nebulizer, Ni cones, and Cetac ASX-500 autosampler (Agilent, Wilmington, DE, USA). All analyses were performed in triplicate, and three measures of each heavy metal were taken for each soil sample. The validation of the methodology was carried out using the standard reference material NIST 1646a (estuarine sediment).
The heavy metals recorded were: Al, As, Cd, Co, Cr, Cu, Fe, Mn, Ni, Pb, Tl, U, V, and Zn. This list includes the 10 most abundant metals in solutions and in sediments found in the Odiel Marshes Natural Park: Al, As, Cd, Co, Cu, Fe, Mn, Ni, Pb, and Zn [80,81,82,83,84,85,86,87,88,89]. The list also includes three of the heavy metals most commonly associated with poisoning in humans—lead (Pb), arsenic (As), and cadmium (Cd)—which cause significant health problems associated with neurotoxic and carcinogenic actions, even when exposed to low concentrations [90], and other metals required by living organisms in traces, such as chromium (Cr), manganese (Mn), iron (Fe), cobalt (Co), copper (Cu), and zinc (Zn), which at excessive levels can be harmful to humans, causing degenerative diseases of the central nervous system, the cardiovascular and gastrointestinal systems, lungs, kidneys, liver, endocrine glands, and bones [91]. To complete the study, we also included V, Tl, and U.
2.3. Plants Sampling and Analysis
At each of the 14 populations, 20 or more complete plants were carefully selected and transported in paper bags to the laboratory and stored at 20–25 °C for analysis the following day. Plant material was processed using a modified protocol from Alzahrani et al. [92] namely, plants from each sampling point were dissected in three parts: roots; basal parts of the stem with dried leaves, referred to as stems; and the upper parts of the stems and branches with fresh and turgent leaves around, referred to as leaves. The different parts were carefully washed with ultrapure water, thoroughly dried in a forced convection oven at 60 °C for 48 h and pulverized with a mortar and pestle (the mortars were previously washed by immersion in pure nitric acid for half an hour, rinsed with deionized water and dried in an oven at 60 °C), and the powder stored in hermetically sealed polypropylene tubes at 4 °C for analysis. A total of 50 mg of a powdered sample were mixed with 640 µL HNO3 and 160 µL of H2O2 in polytetrafluoroethylene vessels and incubated for 10 min. Mineralization, using a CEM Matthews microwave oven (CEM Corporation, Matthews, NC, USA, model MARS) was carried out at 800 W at room temperature, ramped up to 180 °C for 10 min, and maintained for 20 min at that temperature. Then, the solutions were prepared with up to 5 mL of ultrapure water, and the metals were analyzed with an inductively coupled plasma mass spectrometer (ICP-MS), as described in the soil analysis. All analyses were performed in triplicate, and three measures of each heavy metal in each plant part were taken for each population. The validation of the methodology was carried out using the standard reference material NIST 1573a.
2.4. Translocation and Bioconcentration Factors
The heavy metal concentrations recorded were used to estimate the translocation and the bioconcentration factors. The translocation factors (TF) were calculated by dividing the heavy metal concentrations in the different parts of the plants: stems/roots and leaves/stems; the bioconcentration factors (BCF) were calculated by dividing the heavy metal concentrations in the different parts of the plants by soil concentration [7].
2.5. Assessment of Food Risk to Human Health
First, we compared the heavy metal concentrations in leaves to the limit of tolerable content in food for these metals established by the FAO/WHO [20], the European Union [21,22], and China’s Food and Drug Administration [74].
For each heavy metal included in this study we also calculated the Estimated Daily Intake (EDI) (mg kg−1 body weight day−1):
EDI = (Cmetal × Cfactor × Dfood intake)/Bw according to the concentration of metal in food (mg kg−1 dry weight) (Cmetal); the conversion factor (Cfactor) that converts the fresh vegetable weight into dry weight; the daily intake of the respective food (kg wet weight day−1) (Dfood intake); and the body weight (Bw).
For the Cfactor in leafy vegetables, we used the value of 0.2 [93]; for the daily intake of leafy vegetables, we used the mean population data in Spain, 70.4 g, which is considerably higher than in most European countries and the United States, due to influence of the Mediterranean diet [94]; and for body weight, we used the European average of 70.8 kg [95]. Then, we calculated the Health Risk Index (HRI):
HRI = EDI/RfD, applying the United States Environmental Protection Agency values for most of the metals studied [30,31,32].
If the HRI is <1, then adverse health effects are not expected, but there could be adverse health effects if the HRI is >1. However, these health risk parameters could add uncertainty and limitation to the risk assessment as metals in food are not totally absorbed by humans when ingested, so metal concentrations may overestimate the actual health risk value [15].
2.6. Statistical Analyses
Statistical analyses were carried out using STATISTICA 8.0 (StatSoft Inc., Minneapolis, MN, USA) with results considered significant when p ≤ 0.05. The normality and the homogeneity of variance in the data series were tested using the Kolmogorov–Smirnov and the Levene tests, respectively.
In each population, the mean and standard error was calculated for soil pH and conductivity (n = 2) and for the content of the 14 heavy metals studied in soil, roots, stems and leaves (n = 3). The means of these parameters were compared among the populations using the non-parametric Kruskal–Wallis test, as none of the data series had normal distribution and homogeneity of variance. To examine the strength of association between the population means of the different parameters, we used Pearson’s correlation coefficient, when the series of means had normal distribution, or otherwise Spearman’s correlation coefficient, applying the Bonferroni correction to each series of analyses.
In each population, the TF root/stem, TF stem/leaf, BCF root, BCF stem, and BCF leaf were determined, and the mean and standard error for each metal was calculated.
For habitat analysis, the populations were grouped in the four habitats considered: low marsh (2 populations), medium marsh (5 populations), saltpan (5 populations) and saltwork (2 populations) (Table 1). In each habitat, the mean and standard error was calculated for soil pH and conductivity (n = 4 for low marsh and saltwork, and n = 10 for medium marsh and saltpan) and for content of the 14 heavy metals studied in soil, roots, stems and leaves (n = 6 for low marsh and saltwork, and n = 15 for medium marsh and saltpan). The means of these parameters were compared among habitats using the ANOVA test and Tukey as a post-hoc test, when the data series had normal distribution and homogeneity of variance, or otherwise, the Kruskal–Wallis test and Mann–Whitney as a post-hoc test.
In each habitat the TF root/stem, TF stem/leaf, BCF root, BCF stem, and BCF leaf were determined, and the mean and standard error for each metal was calculated and compared among habitats using the non-parametric Kruskal–Wallis test as none of the data series had normal distribution and homogeneity of variance.
3. Results
3.1. pH and Soil Conductivity Found in Populations and Habitats
The mean soil pH in the different populations studied ranged from 5.03 to 6.48 (5.85 ± 0.11) (Table 1), with significant differences among populations (Kruskal–Wallis test H(12.28) = 26.47, p = 0.0147). At habitat level, the means ranged from 5.79 in saltpans and saltworks to 5.95 in low and medium marshes (Figure 2), with no significant differences among habitats (ANOVA test F(4.28) = 0.279, p = 0.8399).
Figure 2.
Mean and standard error for soil pH (grey bars) and conductivity (black point) for populations grouped by different habitats.
The mean soil conductivity in the populations ranged from 15.60 to 38.05 mS cm−1 (29.36 ± 1.77) (Table 1), with significant differences among populations (Kruskal–Wallis test H(12.28) = 26.80, p = 0.0133). At habitat level, the means ranged from 27.63 in saltpans to 34.05 in low marshes (Figure 2), with no significant differences among habitats (ANOVA test F(4.28) = 0.929, p = 0.4419).
3.2. Heavy Metal Concentrations in Soil
The supplementary material table shows the heavy metal concentrations for each population in soil, roots, stems, and leaves. The order of metals by mean concentration for all populations in the soils was: Zn > Mn > Cu > Fe > Al > As > Ni > Co > Pb > V > Cr > Cd > Tl > U. For all metals, there were significant differences among soil concentrations in different populations. Significantly greater concentrations of Al, Fe, and U were found in population 1; Cr in population 3; Mn, Ni, and Cu in population 7; V in population 11; and As, Cd, Co, Pb, Tl, and Zn in population 14. Significantly lower concentrations of Cr were observed in population 2; As, Co, Cu, Tl, U, and Zn in population 3; V in population 6; Al, Fe, and Ni in population 9; and Mn and Cd in population 11.
There were no significant differences among soil concentrations in the different habitats studied for Al, Cr, Mn, Fe, and Pb (Table 2). Soil available concentrations of V and Cu were significantly greater in low-marsh soils; those of Co, Ni, Zn, As, Cd, and Tl were significantly greater in soils of the medium marshes; and those of U were significantly greater in saltpan soils. Soil available concentrations of Ni and Tl were significantly lower in low-marsh soils; those of As were lower in saltpan soils; and those of V, Co, Cu, Zn, Cd, and U were lower in saltwork soils.
Table 2.
Mean and standard error of metal content (mg kg−1) in soil and in the different parts of the plants for each habitat and results of the statistical test for comparing means among populations. Different letters after the means indicate significant differences among means for habitats.
3.3. Heavy Metal Concentrations in Plants
At root level (Table S1 in Supplementary Material), the order of metals by mean concentration for all populations was: Al > Fe > Mn > Cu > Zn > V > As > Pb > Ni > Cr > Co > Cd > Tl > U. For all metals, there were significant differences among root concentrations in different populations. Significantly greater concentrations of Al and Fe were found in population 1; Tl in population 8; V, Cr, Mn, Co, Ni, Cu, As and Cd in population 10; and Zn, Pb, and U in population 13. Significantly lower concentrations of V, Cr, Fe, Co, Cu, Zn, As, Tl, and Pb were observed in population 3; Cd in population 5; Ni in population 9; and Al, Mn, and U in population 14. At habitat level, for Al, Cr, Mn, Fe, Co, Ni, As, Tl, Pb, and U, there were no significant differences among root concentrations in the different habitats studied (Table 2). Concentrations of V, Cu, Zn, and Cd were significantly greater in the roots of medium-marsh populations. Concentrations of V were significantly lower in the roots of low-marsh populations, and those of Cu, Zn, and Cd were lower in the roots of saltwork plants.
At stem level (Table S1 in Supplementary Material), the order of metals by mean concentration for all populations was: Al > Fe > Zn > Mn > Cu > Pb > Ni > As > V > Co > Cr > Tl > Cd > U. For all metals, there were significant differences among stem concentrations in different populations. Significantly greater concentrations of Ni were found in population 2; Cd in population 4; Tl in population 8; Al, V, Cr, Fe, Co, Cu, As, and Pb in population 12; and Zn and U in population 13. Significantly lower concentrations of V, Mn, and Pb were observed in population 1; Cd in population 2; Cu and Zn in population 3; Tl in population 10; Ni in population 11; and Al, Cr, Fe, Co, Zn, and U in population 14. For V, Cr, Ni, As, Cd, Tl, and Pb, there were no significant differences among stem concentrations in the different habitats studied (Table 2). Concentrations of Mn, Co, and Zn were significantly greater in stems of medium-marsh populations; and those of Al, Fe, Cu, and U were significantly greater in plants from saltpans. Concentrations of Al, Mn, Fe, Co, Cu, Zn, and U were lower in the stems of saltwork plants.
At leaf level (Table S1 in Supplementary Material), the order of metals by mean concentration for all populations was: Al > Fe > Mn > Zn > Cu > Pb > Tl > As > Ni > Co > Cr > V > Cd > U. For all metals, there were significant differences among leaf concentrations in different populations. Significantly greater concentrations of U were found in population 1; V, Mn, Fe, Co, Ni, and Cu in population 4; Al, Cr, Zn, and Cd in population 7; Tl in population 10; and Pb in population 11. Significantly lower concentrations of V, Cu, and Zn were observed in population 3; Cd and Pb in population 6; Fe in population 8; Al, Co, and As in population 11; Mn in population 12; Ni in population 13; and Cr, Tl, and U in population 14. For Fe, Co, As, Cd, Tl, and Pb, there were no significant differences among leaf concentrations in the different habitats studied (Table 2). Concentrations of V, Cr, Mn, Ni, Cu, and Zn were significantly greater in leaves of medium-marsh populations; and those of Al and U were significantly greater in plants from saltpans. Concentrations of Al, V, Mn, Zn, and U were significantly lower in leaves of low-marsh populations; those of Ni were lower in leaves of saltpan plants; and those of Cr were lower in the leaves of saltwork plants.
There was no significant correlation in any of the metals studied between soil pH or soil conductivity and metal concentration in the roots. Neither was there any significant correlation in any of the metals between soil concentrations and concentrations in roots, stems, or leaves, except in the case of concentration in soil and leaf for Fe (Spearman correlation coefficient r = 0.736; p = 0.0027). Among correlations between concentration in the different parts of the plant, the only significant correlations appeared between metal concentration in the root and the stem for Tl (Spearman correlation coefficient r = 0.851; p = 0.0001) and for U (Spearman correlation coefficient r = 0.885; p = 0.0000).
3.4. Translocation and Bioconcentration Factors
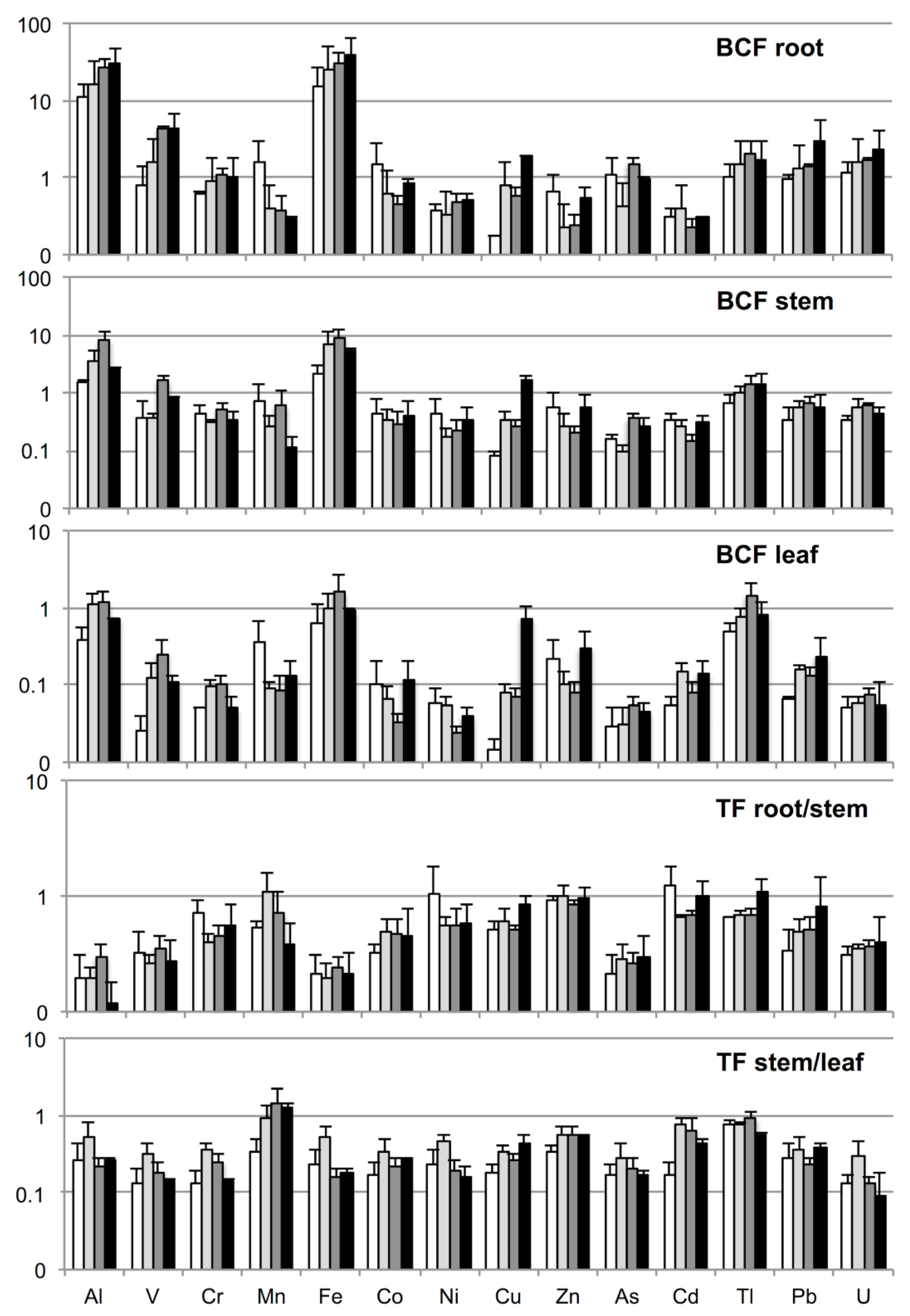
Figure 3 shows values, means, and standard error values for BCF and for TF for all the metals studied in the populations. Maximum BCF means in the roots were observed for Al (21.6) and Fe (28.3), with values that exceeded 1 in all populations. V, Tl, Pb, and U showed BCF means in the roots greater than 1, respectively, in 12, 9, 9, and 10 populations. For the rest of the metals, BCF means in the roots were lower than 1, but Cr surpassed this limit in 5 populations: Mn in 3; Co in 2; Cu in 4; Zn in 1; and As in 6. The means were lower than 1 in all the populations for Ni and Cd.
Figure 3.
Values for the different populations, mean and standard error for bioaccumulation factors (BCF) in roots, stems, and leaves, and translocation factors (TF) from roots to stems and from stems to leaves, represented in logarithmic y axis.
For the stems (Figure 3), BCF means were greater than 1 for Al, which showed a mean value of 4.8 and values above 1 in 12 populations; Fe had a mean value of 6.8, and values greater than 1 in 11 populations; and Tl presented a mean value of 1.2, with values greater than 1 in 6 populations. The rest of the metals presented means lower than 1, but V concentrations exceeded this limit in 4 populations; likewise, Cr in 1 population; Mn in 2; Cu in 2; Pb in 1; and U in 1.
For the leaves (Figure 3), BCF means were lower than 1 for all the metals studied, except for Al, which showed a mean value of 1 and values greater than 1 in 5 populations; Fe had a mean value of 1.2, with values greater than 1 in 4 populations; and Tl presented a mean value of 1, with values greater than 1 in 6 populations. In the rest of the metals, only 1 population exceeded a value of 1 for Cu.
For all the metals studied, mean TF factors between root and stem were lower than 1 (Figure 3). However, 2 populations surpassed this level for Mn; 1 for Co; 3 for Ni; 2 for Cu; 5 for Zn; 2 for Cd; 1 for Tl; and 1 for Pb. For TF between stem and leaf (Figure 3), except Mn which showed a mean value of 1.1 and surpassed the limit of 1 in 6 populations, the rest of the means for the metals were lower than 1, with this level only surpassed in 1 population for Al; 6 for Mn; 1 for Fe; 2 for Zn; 3 for Cd; 3 for Tl; and 1 for U.
The mean values for BCF and TF in the different habitats showed no significant differences among them, except in the case of BCF in stems for As (Kruskal–Wallis test: H(3.14) = 8.49, p = 0.0369) that reached its significant greatest value in saltpans (Figure 4).
Figure 4.
Mean and standard error for bioaccumulation factors in roots, stems, and leaves, and translocation factors from roots to stems and from stems to leaves in the habitats studied: low marsh (white bars); medium marsh (light grey bars); saltpan (dark grey bars); and saltwork (black bars).
3.5. Assessment of Food Risk to Human Health
Table 3 presents the values for the limit for heavy metal content in food, PTWI, TUIL, RfD, and the minimum and maximum values calculated for EDI and HRI based on the minimum and maximum concentrations observed in the different populations for each heavy metal studied.
For Cd, no population reached the limit established by the FAO/WHO [20] and ChFDA [74] for leafy vegetables, but in 3 of the 14 populations studied the Cd concentrations in leaves surpassed the limit for leafy vegetables established by EUCR 2021/1323 [21]. For Pb, no population reached the limit established by the FAO/WHO [20] for food in general, but in 11 of the 14 populations Pb concentrations in leaves exceeded the limit for leafy vegetables set by EUCR 2021/1317 [22] and ChFDA [74]. In the case of Cr, no population reached the limit established by ChFDA [74] for vegetables, while for As, 3 of the 14 populations exceeded this limit.
For HRI, all the values calculated were lower than 1 except for Tl in which HRI ranged from 1.2 to 37.2 in the populations studied.
Table 3.
Limit content in food, PTWI (Permited Tolerable Weekly Intake), TUIL (Tolerable Upper Intake Level), RfD (Oral Reference Dose), and minimum and maximum values calculated for EDI (Estimated Daily Intake) and HRI (Health Risk Index) based on the minimum and maximum concentrations observed in the different populations for each heavy metal studied.
Table 3.
Limit content in food, PTWI (Permited Tolerable Weekly Intake), TUIL (Tolerable Upper Intake Level), RfD (Oral Reference Dose), and minimum and maximum values calculated for EDI (Estimated Daily Intake) and HRI (Health Risk Index) based on the minimum and maximum concentrations observed in the different populations for each heavy metal studied.
| Metal | Limit Content in Food | PTWI | TUIL | RfD | EDI Min. | EDI Max. | HRI Min. | HRI Max. |
|---|---|---|---|---|---|---|---|---|
| Al | - | 2 (1) | - | 1(14) | 0.001352 | 0.034180 | 0.001352 | 0.034180 |
| V | - | - | 1.8 (2,3) | 0.005(14) | 0.000008 | 0.000082 | 0.001600 | 0.016400 |
| Cr | 0.5 for vegetables (15) | - | - | 0.003(14) | 0.000014 | 0.000064 | 0.004640 | 0.021213 |
| Mn | - | - | 11 (2) | 0.14(14) | 0.001104 | 0.022785 | 0.007884 | 0.162747 |
| Fe | - | 0.8 (4) | 45 (2) | 0.7(14) | 0.003697 | 0.038215 | 0.005281 | 0.054593 |
| Co | - | - | - | 0.0003(14) | 0.000012 | 0.000274 | 0.040000 | 0.913333 |
| Ni | - | - | 1 (2); 0.15–0.90 (5) | 0.02(14) | 0.000028 | 0.000139 | 0.001392 | 0.006960 |
| Cu | - | - | 10 (2); 2–3 (4); 5 (6) | 0.04(14) | 0.000708 | 0.003248 | 0.017699 | 0.081189 |
| Zn | - | 1(4) | 40 (2); 25 (6) | 0.3(14) | 0.002917 | 0.009319 | 0.009725 | 0.031064 |
| As | 0.5 for vegetables (15) | 0.015 (7) | 0.003–0.008 (8) | 0.0003(12) | 0.000014 | 0.000263 | 0.046403 | 0.875028 |
| Cd | 0.2 (7); 0.1 (9); 0.2 (15) for leaf vegetables | 0.025 (4); 0.0025 (10) | - | 0.0001(14) | 0.000002 | 0.000046 | 0.019890 | 0.457400 |
| Tl | - | - | - | 0.00001(14) | 0.000012 | 0.000372 | 1.200000 | 37.200000 |
| Pb | 2 for food (7); 0.3 (11); 0.3 (15) for leaf vegetables | 0.025 (16) | - | 0.004(13) | 0.000039 | 0.000181 | 0.008452 | 0.045243 |
| U | - | - | - | 0.0002(14) | 0.000000 | 0.000008 | 0.000000 | 0.040000 |
Limit content in food (mg kg−1 dry weight), PTWI (mg kg−1 body weight week−1), TUIL (mg day−1), RfD (mg kg−1 body weight day−1). Numbers between brackets: (1) [23]; (2) [24]; (3) [25]; (4) [29]; (5) [28]; (6) [26]; (7) [20]; (8) [27]; (9) [21]; (10) [96]; (11) [22]; (12) [32]; (13) [15]; (14) [31]; (15) [74]; and (16) [97].
4. Discussion
4.1. pH and Soil Conductivity
It has been described that soil conductivity and pH affect metal availability [1,98,99,100]. According to the United States Department of Agriculture Soil Survey Division and the United States Division of Soil Survey [102], we can classify the soils in our study as strongly acidic (populations 6 and 7), moderately acidic (populations 2, 3, 5, 10, 11, 12, and 13), and slightly acidic (populations 1, 4, 8, 9, and 14), which fits with the calculations made by Bermejo et al. [87] in the Odiel estuary, who determined that water acidity decreases as a consequence of the tidal action of sea salt water in the estuary. In terms of salinity, all the populations’ soils were strongly saline [103].
At habitat level, this study’s values for pH and conductivity for low- and medium-marsh populations matched those obtained by Contreras-Cruzado et al. [77] in other tidal marshes of the Gulf of Cádiz (SW Iberian Peninsula), who also found no significant differences between the means of these habitats for both parameters. Likewise, our data for pH and for conductivity for saltpan populations coincide with those obtained by Polo-Ávila et al. [78] in the Odiel estuary.
4.2. Heavy Metal Concentrations Found in Soil
The differing concentrations of metals observed in the sampled populations of S. ramosissima may be due to the variations of heavy metal concentrations in soils due to their spatial location, which affects their level of exposure to fluvial or marine influence, their location with respect to industrial effluents, and their sediment context [82,104]; it could also be due to soil characteristics such as pH, cation exchange capacity, clay content, and organic matter content [1,13,98,99].
The available Cu, Ni, Zn, As, Cd, and Mn concentrations determined in the soils in our study were within the ranges described by other authors who had previously studied their available content in sediments in the Odiel and Tinto estuary [82,83], however, our concentrations were lower for As and Cu than those registered by Mesa-Marín et al. [69] in a location of the Odiel marshes; these authors observed a more than two-fold increase in these marshes in the concentration of Pb and As compared to data compiled in the last decade due to anthropogenic influence, as this increase has not been observed in other salt-marshes of the province with lower human activity [69,101]. Our results are of the same order of magnitude but somewhat less than those of other authors who studied their total concentrations in sediments in the same area, for example, the available Cr (1.26–2.70 mg kg−1) and Fe (11.58–431.49 mg kg−1) observed in concentrations were lower than the total concentrations registered previously in sediments, 8–5003 mg kg−1 and 9168–88,429 mg kg−1, respectively [73,86,87,88,89].
In the case of Pb, the available concentrations we observed (1.45–8.00 mg kg−1) were much less than the available concentrations registered by Borrego et al. [82] (58–2060 mg kg−1) and by Mesa-Marín [69] (1139.85 mg kg−1), who classified the soils of the Odiel estuary as heavily polluted and less than the concentrations in total sediments observed by other authors (19–1660 mg kg−1) [73,86,87,88,89].
According to levels for soil contamination established by EUCD 1986/278 [8], SGRD 1310/1990 [9], and Andalusia’s Ministry of Environment [10], for soils with a pH under 7, 11 populations surpassed the limit of 50 mg kg−1 for Cu; 9 populations surpassed the European and the Spanish limit of 150 mg kg−1 for Zn (8 surpassed the Andalusian limit of 200 mg kg−1); 4 populations surpassed the limit of 1 mg kg−1 for Cd (1 surpassed the Andalusian limit of 2 mg kg−1); 3 populations surpassed the Andalusian limit of 20 mg kg−1 for As; 2 populations surpassed the Andalusian limit of 20 mg kg−1 for Co; 1 population surpassed the European and the Spanish limit of 30 mg kg−1, but none exceeded the Andalusian limit of 40 mg kg−1 for Ni; 1 population surpassed the Andalusian limit of 1 mg kg−1 for Ti; and none of the populations surpassed the European, Spanish, and Andalusian limit of 50 mg kg−1 for Pb; nor the Spanish and Andalusian limit of 100 mg kg−1 for Cr.
The greatest soil concentrations of 9 of the 14 heavy metals studied were reached at population or habitat level in the middle-marsh populations. This habitat showed the highest levels for soil organic matter content and soil conductivity, and it had the most acidic soils among the marsh habitats [77], factors that favored metal availability and could explain the greater concentrations in this habitat [1,98,99]. Low pH affects cationic metal availability since the hydrogen ion has a higher affinity for negative charges on the colloids, releasing metals [1,100]; some authors have suggested that the availability of heavy metals increases with a rise in salinity, caused by greater ionic strength that raises the level of concentration of the metals released [48,105,106]. This habitat also presented the highest levels for soil water content, due to twice-daily flooding by tides and evaporation, which increases the concentration of the solute dissolved thus improving precipitation, mainly during summer drought [77].
The soil in saltpan population 1 reached the highest concentrations in 3 of the 14 metals studied, namely Al, Fe, and U, and its concentrations of Al and Fe were much greater than those of the rest of the populations. This could be due to the historical location of this sampling point, next to an old ship-loading dock where minerals arrived by train from the mines of Tharsis (Huelva) [107].
The soils of the saltwork populations showed the lowest concentrations in 9 of the 14 heavy metals studied, and none surpassed the contamination levels established by European, Spanish, and Andalusian regulations. This is undoubtedly due to the fact that these habitats are not connected to the Odiel river, as they are inundated with seawater from open ocean via the Punta Umbría estuary (Figure 1) that flows through shallow ponds, where it evaporates and deposits sodium chloride in crystallizing ponds [82].
As commented before, pH and salinity affect heavy metal availability in soil [1,48,101,106]. However, in none of the metals studied were there significant correlations between soil pH or soil conductivity and the available metal concentrations in the soils. Therefore, it is logical to think that the different concentrations observed in the populations were due to the heterogeneity of the estuary in terms of total content in the soil, as indicated in other studies of the area [86,87,88,89].
4.3. Heavy Metal Concentrations in Plants
The ranges of concentrations of As, Cr, Fe, Mn, and Ni in the different parts of S. ramosissima found in the populations studied include the means obtained by Luque et al. [108] for the whole plant in the same species and in the same estuary, but the means for concentrations that these authors registered for Cu (279 mg kg−1), Pb (51.6 mg kg−1), and Zn (348 mg kg−1) exceeded the range observed in our study.
The data obtained in this study for Mn, Fe, Ni, Cu, Zn, As, and Pb matched those of Sánchez-Gavilán et al. [109] for whole plants of S. patula Duval-Jouve in a location near the Odiel Marshes Natural Park as well as the data obtained by Mesa-Marín et al. [69] for Cd and Ni. However, these authors recorded higher values than ours for As, Cu, Pb, and Zn.
At population or habitat level, as was the case with soil metal concentrations, the middle marsh showed the highest root concentrations for 11 of the 14 heavy metals studied, and the saltworks showed the lowest root concentrations for 10 heavy metals. However, at stem level, the saltworks showed the highest stem concentrations for 10 heavy metals and the lowest concentrations for 7. At leaf level, the highest concentrations were reached in the medium marsh for 8 metals, and the lowest concentrations in leaves were reached in the low marsh for 7 metals.
We found no significant correlations in any of the metals studied between available soil concentration and concentrations in roots, as Sánchez-Gavilán et al. [109] observed for Fe concentrations in whole plants and total soil content in Salicornia patula, and as Otte et al. [105] observed for Cd, Cu, and Zinc in different parts of plants of Spartina anglica C.E. Hubb. and Aster tripolium L., when using fresh soil samples, but they found some significant correlations when they used dry soil samples. In Salicornia spp., Williams et al. [110] found that metal concentrations within sediments were not reflected in the plants, except for Zn; and Smillie [64] found significant correlations with both the roots and the aerial portion of the plants of Salicornia spp. with sediment Cu and Zn concentrations, although he found no significant relationships with either Mn or Fe.
This is not unusual as Greger [1] observed when establishing that the phytoavailability of metals for a plant species need not correlate linearly with the bioavailable metal concentration in the soil or the total metal concentration, and so S. ramossisima was not included in the indicator group of plants, as defined by this author, in which tissue concentration reflected external metal concentration. We also found no significant correlation in any of the metals studied between soil pH or soil conductivity and metal concentrations in roots.
Many reasons could explain this lack of correlation regarding the absorption of heavy metals, including metal species, soil properties, and salinity [3,111,112,113]. Other reasons could be the exclusion of metal ion uptake at root level [114], saturation in root tissues at high levels of soil concentration [1,7], transpiration rates [115], the presence of root exudates that can improve the solubility of heavy metal ions and thus enhance metal accumulation in plants, such as Pb in Salicornia europaea [116], or the interactions among metals for absorption [4]. Furthermore, Smillie [64] and Khalilzadeh et al. [117] found in Salicornia spp. and S. europaea, respectively, that concentrations of Mn, Zn, Cu, Cd, Pb, and Ni in roots and aerial parts changed significantly in the plant development stage. Additionally, in dense populations, as in the case of S. ramosissima [78], the plants compete in the uptake of metals and uptake efficiency diminishes [100]; it is possible that there were differences in the metal uptake mechanism among populations of the same species due to the genotypic differences among them [1,14].
4.4. Translocation and Bioconcentration Factors
Plants with a high Bioconcentration Factor (BCF) indicate efficient metal transport from soil to root, and they are called hyperaccumulators. Plants with a high Translocation Factor (TF) show efficient metal translocation from root to stem [7,118,119,120]. Both factors are important in the scientific evaluation of risks that chemicals may pose to humans and the environment, and they are a current focus of regulatory initiatives [121].
For Cr, Mn, Co, Ni, Cu, Zn, As, and Cd, the mean concentrations in roots were lower than the concentrations available in the soil, so their BCF was less than 1 in most of their populations, therefore, S. ramosissima could be considered a root excluder [114,122].
For V, Tl, Pb, and U, the BCF values ranged between 1 and 3, with most of their populations having values greater than 1. These results coincide with those observed by Fuente et al. [123] and Sánchez-Gavilán et al. [109] in S. patula. They compared the concentrations in whole plants with the concentrations of total metals in the soil of Mn, Ni, Cu, Zn, and As, and they found a BCF of less than 1 in a population near the Odiel Marshes Natural Park and in a population of the Tinto River estuary and with those obtained for Zn, Cu, Pb, and Ni by Khalilzadeh et al. [117] in the roots and the stems of S. europaea plants.
Our results are also similar to those for the perennial shrub Arthrocnemum subterminale (Parish) Standl. (known as Salicornia subterminalis Parish) for Zn, Cu, Cd, Pb, and for As by Sánchez-Martínez et al. [124], who observed BCF values in the roots of two populations that were lower than 1, except in one population for Cu (4.25) and Zn (1.03). In the case of Cd, Pedro et al. [68] and Pérez-Romero et al. [125] proposed S. ramosissima for the phytoremediation of contaminated soil due to its capacity to accumulate Cd in the roots, with a BCF above 1, but the former authors observed this accumulation in a non-saline medium and the latter observed it in a growth medium of 171 mM NaCl, which is in the lower range for soil salinity observed in this paper.
Maximum BCF means in the roots were observed in Al (21.6) and Fe (28.3), exceeding 1 in all populations. It seems that S. ramosissima could accumulate these metals in the root in concentrations higher than those in the soil, which indicates that there must be mechanisms at work that enhance their uptake. This could be related to pH and the redox potential in the rhizosphere, especially in the case of Al and Fe [126], as plants that live in environments with low redox potential, as in salt marsh plants, are able to transport the oxygen produced in photosynthesis to the roots and release it to the rhizosphere; this increase in the redox potential releases the metals from sulfides and the plant can take them up [1,127]. Additionally, some plants in the presence of low bioavailable Fe are able to synthesize and to release phytosiderophores, macromolecules that can release Fe and other metals from colloids and transport the complex to the root tissue [128].
BCF in stems and leaves was less than 1 for V, Cr, Mn, Co, Ni, Cu, Zn, As, Cd, Pb, and U. These results coincide with those obtained by Sánchez-Martínez et al. [124] in the perennial shrub Arthrocnemum subterminale in the presence of Zn, Cu, Cd, Pb, and As, based on the results of Liu et al. [129] for Cd, Pb, Cr, and AS in 23 plant species under natural conditions in China. Our results also fit with those of Pal et al. [36] for Cd, Pb, Cu, Zn, Cr, and Ni in six plant species irrigated with domestic wastewater in India and with those of Chabchoubi et al. [16] for Zn, Cu, Pb, Cd, Cr, and Ni in three plants, including the perennial scrub Sarcocornia fruticosa (L.) A.J. Scott (known as Salicornia arabica L.), which grows in phosphogypsum-contaminated fields in Tunisia.
For Al, Fe, and Tl, the mean BCF values in stems and leaves were close to 1, exceeding 1 for the stem values in most of the populations, while for the leaves the majority of the populations had values lower than 1. These results are compatible with those of Sánchez-Gavilán et al. [109] for S. patula and with those of Fuente et al. [123] who found in this species values that exceeded 1 for Mn, Fe, Ni, Cu, Zn, As, and Pb in whole plants in a population located in the Tinto River estuary; they also observed similar results for populations of Arthrocnemum macrostachyum (Moric.) K. Koch, Sarcocornia perennis (Mill.) AJ Scott and Halimione portulacoides Aellen, other halophytic species of the Chenopodiaceae family.
So, we can assume that S. ramosissima is not an accumulator plant in terms of the description by Nikalje and Suprasanna [114]. Additionally, as expressed by other authors, hyperaccumulator plants may accumulate more than 100 mg kg−1 for Cd and As; 1000 mg kg−1 for Co, Cu, Cr, Ni, and Pb; and 10,000 mg kg−1 for Zn and Mn [130,131,132,133]. These levels were not reached by S. ramosissima in any of the populations studied.
As expected in view of the BCF results, TF values were lower than 1 or close to 1 for all the metals studied in root-stem and stem-leaf transport, which indicates a trend to reduce metal concentration from roots to stems and from stems to leaves, a common behavior, as during their transportation through the plant, metals become bound largely to the cell walls [1]. Additionally, some metals are retained at root level, as in Pb and Ni [16]. What is remarkable is the low TF values from root to stem for Al and Fe, with their concentrations reducing drastically from root to stem, as observed by Kabata-Pendias [134].
Our results coincide with those by Pedro et al. [68] who observed in S. ramosissima that Cd accumulation in the roots exceeded that of the aerial portions in all of the Cd concentrations tested. Our findings also match those by Mesa-Marín et al. [69] for As, Cd, Cu, Ni, Pb, and Zn, and the TF between roots and leaves observed by Sánchez-Martínez et al. [124] in the perennial shrub Arthrocnemum subterminale (Parish) Standl (known as Salicornia subterminalis Parish), [16]. In contrast, it has been observed that in Sarcocornia fruticosa the concentrations of Cu and Zn in leaves were higher compared to roots and stems, with Cu concentrations in leaves 15 times higher than in roots, and 24 times higher than in stems, and 1.8 times higher than in roots and 2.3 times higher than in stems for Zn, while our study found the same decreasing order of concentrations from the underground part to the aerial part for these same metals. The difference in this different pattern could be explained by the perennial nature of Sarcocornia species [57], so that the time of exposure to accumulation is greater than in the annual Salicornia ramosissima and, as in other leafy plants, it could accumulate heavy metals with increasing exposure time [135].
A major concentration in leaves rather than in roots has also been observed by other authors in some leafy vegetables. Intawongse and Dean [136] analyzed heavy metal concentrations in lettuce, spinach, radish, and carrot, and they observed that the accumulation of Cd, Zn, and Mn was higher in the leafy portion than in the root portion of the plants. This greater accumulation of heavy metals in the leaves of leafy vegetables could be due to the plant’s higher transpiration rate in order to maintain growth and the moisture content of the plant [115].
The means values of BCF and TF in the different habitats showed no significant differences among them, except in the case of BCF in stems for As, which reached its significant greatest value in saltpans.
4.5. Assessment of Food Risk to Human Health
The results obtained make it impossible for European consumers to contemplate consumption of the S. ramosissima plants that grow in most of the soils in this estuary because in 3 of the 14 populations studied the Cd concentrations in the leaf exceeded the limit of heavy metal content for leafy vegetables, 11 populations exceeded the Pb limit in the leaf, and some populations exceeded the limit for As [21,22,74]. If we compare our results to the limits set by the FAO/WHO [20] for foods in general, the limit established for any of the metals was not exceeded.
Sánchez-Gavilán et al. [109] stated that concentrations of Cu in plants of S. patula from different areas of the Iberian Peninsula surpassed the intake levels of 10 mg kg−1 established by USIM [24] on the basis that these concentrations in plants reached values greater than 10 mg kg−1 dry weight. However, this intake level established by USIM [24] is the daily upper limit of Cu with no observed adverse effect in adults and so is a daily TUIL (Tolerable Upper Intake Level), and it depends on the daily intake of fresh vegetables consumed each day and on the conversion factor that converts the fresh vegetable weight into dry weight, not only on the Cu concentration on dry weight. In the same way, these authors stated that Pb concentrations in S. patula plants also surpassed the intake levels of 0.01 mg kg−1, which they attributed to EFSA [97], according to which reference this value given as a limit for food is a PTWI (Permitted Tolerable Weekly Intake) of 25 μg kg−1 b.w., which these authors stated was no longer appropriate.
Our results also show that human consumption is not recommended based on the HRI values obtained for Tl, which was present in all populations at a level above 1, ranging from 1.2 to 37.2.
Cd was present in soil and in plant parts in low concentrations, and S. ramosissima showed BCF and TF values of less than 1. However, this metal had been classified as carcinogenic in humans by the International Agency for Research on Cancer, with numerous toxic effects, the main outcome being kidney dysfunction [28], hence the limits established by EUCR 2021/1323 [21] for its content in leafy vegetables even though the Tolerable Weekly Intake (TWI) estimated by EUCR 2014/193 [96] (0.0025 mg kg−1 body weight) is very near to the mean weekly intake of Cd in Spain (0.00203 mg kg−1 body weight) [28]. Nevertheless, HRI results for Cd showed no potential risk by intake of this plant as food, and this discrepancy between the established limit in food content and the risk calculated by its ingestion has also been observed in Sarcocornia ruticose (=Salicornia arabica), which grows in phosphogypsum-contaminated fields in Tunisia, where Chabchoubi et al. [16] studied concentrations of Zn, Cu, Pb, Cd, Cr and Ni in soils and plants, and they found that Cd concentrations in leaves were higher than the FAO/WHO [20] threshold, but no risk was observed to human health due to its intake as food, according to the Target Hazard Quotient (THQ) values they calculated.
The Pb concentrations observed in soil were relatively low with respect to the other heavy metals studied and with respect to the concentrations observed by other authors, as commented above; none of the populations studied surpassed the Pb soil contamination levels established by European [8], Spanish [9], and Andalusian [10] regulators. However, it showed a mean BCF root of 1.5, which means a certain capacity of these populations to increase their Pd content compared to soil content, which is in accordance with observations by Kaviani et al. [66], who stated that Salicornia iranica is able to accumulate Pb, and it can be used for phytoremediation in polluted soils.
Pb has been associated with a decrease in intelligence quotient in children and with an increase in blood pressure in adults [29], and it is listed as a probable carcinogen in humans [28]. Our results showed that, in most of the populations studied, Pb concentrations in the leaf surpassed the limit for content of this metal in leafy vegetables established by EUCR 2021/1317 [22], although the HRI was lower than 1 in all of them. Similar contradictory results were found by Rahmdel et al. [38], who studied Pb, Cd, Cu, Zn, Ni, and Co contamination in 100 samples of leafy vegetables cultivated in different agricultural sites in Iran and found that, according to the HRI, the consumption of these leafy vegetables was less than the established safety limit, with the Pb level observed exceeding the permissible limit set by the FAO/WHO [20] in 44% of samples taken.
Tl concentrations in soil were low, making it the second lowest heavy metal in terms of concentration, but it had a BCF leaf value above 1 in 9 of the populations studied, making it the third highest metal in BCF leaf value, behind Al and Fe; thus, its concentration in leaves was greater than for other metals that were more abundant in the soil. Tl represents a rare cause of heavy metal poisoning. Because thallium is not a common environmental or workplace contaminant and it is not readily available to the public, any thallium-poisoned patient should be considered a victim of a criminal act until proven otherwise [137]. For this reason, there is little information on this metal, and its low RfD value (0.00001 mg kg−1 body weight day−1) as estimated by USEPA [31] is an unreliable estimate, perhaps spanning an order of magnitude, with the previous RfD values for its soluble salts ranging from 0.00008 to 0.00009 mg kg−1 body weight day−1, according to a document from 2009 included in the database by USEPA [32].
Al and Fe were the heavy metals with the highest levels of concentration in S. ramosissima leaves, despite not being the most abundant metals in the soil; they showed the highest BCF values in roots, stems, and leaves.
Fe is an essential element in human nutrition and, as with Al, there is little indication that it is acutely toxic to humans when orally ingested, despite the widespread occurrence of this element in foods. It has been hypothesized that aluminum exposure is a risk factor for the development or acceleration of onset Alzheimer disease in humans [29]. Both metals have high established values for PTWI, TUIL, and RfD, so, as expected, both showed low HRI.
5. Conclusions
In the specific case of the marshes of the estuary of the Tinto and the Odiel rivers in Huelva—one of the systems most contaminated by heavy metals in the world—the results obtained discourage the consumption of S. ramosissima obtained in most studied locations since it exceeds the limits established in the regulations regarding concentrations of Cd, Pb, and Tl in leaves.
S. ramosissima is an accumulator of Al and Fe, chiefly in its roots and stems, so it could be used in soils contaminated by these metals. With respect to the rest of the studied heavy metals, it is a root excluder of As, Cd, Co, Cr, Cu, Mn, Ni, and Zn, and its BCF values in leaves are lower than 1 for Pb, U, and V. Following these results, we can set down that this species can be cultivated and/or harvested from most of the environments that do not reach the extreme levels of contamination that occur in the Huelva estuary and especially in salt marsh habitats. Regarding Tl, for which this species has average BCF levels of 1, food safety problems could arise, although it is not a common environmental or workplace contaminant nor is it readily available to the public. Based on what was observed, we would recommend carrying out specific studies on the content of Al and Tl in the soils where this species will be cultivated.
Supplementary Materials
The following supporting information can be downloaded at: https://www.mdpi.com/article/10.3390/d14060452/s1, Table S1: Heavy metal concentrations for each population in soil, roots, stems and leaves.
Author Contributions
Conceptualization, I.S., F.N.-R. and A.F.M.-R.; data curation, I.S., F.N.-R. and A.F.M.-R.; formal analysis, I.S., F.N.-R. and A.F.M.-R.; funding acquisition, F.N.-R. and A.F.M.-R.; investigation, I.S., F.N.-R. and A.F.M.-R.; methodology, I.S., F.N.-R., Y.M., S.R.-A., F.J.J.-N., M.D.I.-I., A.P.-Á. and A.F.M.-R.; Project administration, F.N.-R. and A.F.M.-R.; resources, F.N.-R. and A.F.M.-R.; software, I.S., F.N.-R. and A.F.M.-R.; supervision, I.S., F.N.-R. and A.F.M.-R.; validation, I.S., F.N.-R. and A.F.M.-R.; visualization, I.S., F.N.-R. and A.F.M.-R.; writing—original draft, I.S., F.N.-R. and A.F.M.-R.; writing—review and editing, I.S., F.N.-R. and A.F.M.-R. All authors have read and agreed to the published version of the manuscript.
Funding
This research was funded by Plan Propio de la Universidad de Huelva and Research Center for Natural Resources, Health and the Environment (RENSMA).
Institutional Review Board Statement
Not applicable.
Data Availability Statement
Not applicable.
Acknowledgments
The authors wish to thank the institution and the staff of the Odiel Marshes Natural Park.
Conflicts of Interest
The authors declare no conflict of interest. The funders had no role in the design of the study; in the collection, analyses, or interpretation of data; in the writing of the manuscript, or in the decision to publish the results.
References
- Greger, M. Metal availability and bioconcentration in plants. In Heavy Metal Stress in Plants; Springer: Berlin, Heidelberg, 1999; pp. 1–27. [Google Scholar]
- Yu, M.H. Environmental Toxicology-Biological and Health Effects of Pollutants, 2nd ed.; CRC Press: Boca Raton, FL, USA, 2005. [Google Scholar] [CrossRef]
- Nel, M.A.; Rubidge, G.; Adams, J.B.; Human, L.R. Rhizosediments of Salicornia tegetaria indicate metal contamination in the intertidal estuary zone. Front. Environ. Sci. 2020, 8, 175. [Google Scholar] [CrossRef]
- Agrawal, S.B.; Singh, A.; Sharma, R.K.; Agrawal, M. Bioaccumulation of heavy metals in vegetables: A threat to human health. Terr. Aquat. Environ. Toxicol. 2007, 1, 13–23. [Google Scholar]
- Pandey, R.; Dwivedi, M.K.; Singh, P.K.; Patel, B.; Pandey, S.; Patel, B.; Singh, B. Effluences of heavy metals, way of exposure and bio-toxic impacts: An update. J. Chem. Sci. 2016, 66, 2319–7625. [Google Scholar]
- Singh, A.K.; Sathya, M.; Verma, S.; Jayakumar, S. Health risk assessment of heavy metals in crop grains grown on open soils of Kanwar wetland, India. EMJE 2018, 3, 29. [Google Scholar] [CrossRef]
- Ali, H.; Khan, E.; Ilahi, I. Environmental Chemistry and Ecotoxicology of Hazardous Heavy Metals: Environmental Persistence, Toxicity, and Bioaccumulation. J. Chem. 2019, 2019, 6730305. [Google Scholar] [CrossRef]
- European Union Council Directive (EUCD) 1986/278 of 12 June 1986 on the protection of the environment, and in particular of the soil, when sewage sludge is used in agriculture. Off. J. 1986, 181, 6–12.
- Spanish Government Real Decreto (SGRD) 1310/1990, de 29 de octubre, por el que se regula la utilización de los lodos de depuración en el sector agrario. Boletín Of. Estado 1990, 262, 32339–32340.
- Consejería de Medio Ambiente. Los Criterios y Estándares para Declarar un Suelo Contaminado en Andalucía y la Metodología y Técnicas de Toma de Muestra y Análisis para su Investigación; Junta de Andalucía: Sevilla, Spain, 1999; Volume 246, pp. 61–64. [Google Scholar]
- Khan, M.U.; Malik, R.N.; Muhammad, S. Human health risk from heavy metal via food crops consumption with wastewater irrigation practices in Pakistan. Chemosphere 2013, 93, 2230–2238. [Google Scholar] [CrossRef]
- Yang, J.; Lv, F.; Zhou, J.; Song, Y.; Li, F. Health risk assessment of vegetables grown on the contaminated soils in Daye City of Hubei Province, China. Sustainability 2017, 9, 2141. [Google Scholar] [CrossRef]
- Khan, A.; Khan, S.; Khan, M.A.; Qamar, Z.; Waqas, M. The uptake and bioaccumulation of heavy metals by food plants, their effects on plants nutrients, and associated health risk: A review. Environ. Sci. Pollut. Res. 2015, 22, 13772–13799. [Google Scholar] [CrossRef]
- Kananke, T.; Wansapala, J.; Gunaratne, A. Detection of Ni, Cd, and Cu in green leafy vegetables collected from different cultivation areas in and around Colombo District, Sri Lanka. Environ. Monit. Assess. 2016, 188, 187. [Google Scholar] [CrossRef] [PubMed]
- Chen, L.; Zhou, S.; Shi, Y.; Wang, C.; Li, B.; Li, Y.; Wu, S. Heavy metals in food crops, soil, and water in the Lihe River Watershed of the Taihu Region and their potential health risks when ingested. Sci. Total Environ. 2018, 615, 141–149. [Google Scholar] [CrossRef] [PubMed]
- Chabchoubi, I.B.; Bouguerra, S.; Ksibi, M.; Hentati, O. Health risk assessment of heavy metals exposure via consumption of crops grown in phosphogypsum-contaminated soils. Environ. Geochem. Health 2021, 43, 1953–1981. [Google Scholar] [CrossRef] [PubMed]
- Yu, L.I.; Wang, Y.B.; Xin, G.U.; Su, Y.B.; Gang, W.A.N.G. Risk assessment of heavy metals in soils and vegetables around non-ferrous metals mining and smelting sites, Baiyin, China. Res. J. Environ. Sci. 2006, 18, 1124–1134. [Google Scholar] [CrossRef]
- Ramesh, H.L.; Yogananda Moorthy, V.N. Assessment of heavy metal contamination in green leafy vegetables grown in Bangalore urban district of Karnataka. Adv. Life Sci. 2012, 6, 40–51. [Google Scholar]
- Chang, C.Y.; Yu, H.Y.; Chen, J.J.; Li, F.B.; Zhang, H.H.; Liu, C.P. Accumulation of heavy metals in leaf vegetables from agricultural soils and associated potential health risks in the Pearl River Delta, South China. Environ. Monit. Assess. 2014, 186, 1547–1560. [Google Scholar] [CrossRef]
- Food and Agriculture Organization (FAO); World Health Organization (WHO); Expert Committee on Food Additives. Codex Alimentarius. General Standard for Contaminants and Toxins in Food and Feed. Adopted in 1995, Revised in 1997, 2006, 2008, 2009 and Amended in 2010, 2012, 2013, 2014, 2015, 2016, 2017, 2018. 2019. Available online: https://www.fao.org/fao-who-codexalimentarius/sh-proxy/en/?lnk=1&url=https%253A%252F%252Fworkspace.fao.org%252Fsites%252Fcodex%252FStandards%252FCXS%2B193-1995%252FCXS_193e.pdf (accessed on 25 May 2022).
- European Union Commission Regulation (EUCR) 2021/1323 of 10 August 2021 amending Regulation (EC) No 1881/2006 as regards maximum levels of cadmium in certain foodstuffs (Text with EEA relevance). Off. J. 2021, 288, 13–18.
- European Union Commission Regulation (EUCR) 2021/1317 of 9 August 2021 amending Regulation (EC) No 1881/2006 as regards maximum levels of lead in certain foodstuffs (Text with EEA relevance). Off. J. 2021, 286, 1–4.
- Food and Agriculture Organization (FAO); World Health Organization (WHO); Expert Committee on Food Additives. Compendium of Food Additive Specifications; FAO: Rome, Itaiy, 2011; Available online: https://www.fao.org/3/i2358e/i2358e.pdf (accessed on 25 May 2022).
- United States Institute of Medicine (USIM), Panel on Micronutrients. Dietary Reference Intakes for Vitamin A, Vitamin K, Arsenic, Boron, Chromium, Copper, Iodine, Iron, Manganese, Molybdenum, Nickel, Silicon, Vanadium, and Zinc; National Academies Press: Washington, DC, USA, 2001. Available online: https://www.ncbi.nlm.nih.gov/books/NBK222310 (accessed on 25 May 2022).
- European Food Safety Authority (EFSA). Tolerable Upper Intake Levels for Vitamins and Minerals; EFSA: Parma, Italy, 2006. [Google Scholar]
- European Food Safety Authority (EFSA). Overview on Tolerable Upper Intake Levels Asderived by the Scientific Committee on Food (SCF) and the EFSA Panel on Dietetic Products, Nutrition and Allergies (NDA). 2018. Available online: https://www.efsa.europa.eu/sites/default/files/assets/UL_Summary_tables.pdf (accessed on 25 May 2022).
- European Food Safety Authority (EFSA). Scientific Report on the Chronic Dietary Exposure to Inorganic Arsenic. 2021. Available online: https://doi.org/10.2903/j.efsa.2021.6380 (accessed on 25 May 2022).
- Agencia Española de Seguridad Alimentaria y Nutrición (AESAN). Metales y Metaloides. Available online: https://www.aesan.gob.es/AECOSAN/web/home/aecosan_inicio.htm (accessed on 1 December 2021).
- World Health Organization (WHO). Guidelines for Drinking-Water Quality: Fourth Edition Incorporating the First Addendum; Licence: CC BY-NC-SA 3.0 IGO; WHO: Geneva, Switzerland, 2017; Available online: https://apps.who.int/iris/rest/bitstreams/1080656/retrieve (accessed on 25 May 2022).
- United States Environmental Protection Agency (USEPA). Handbook for Non-Cancer Health Effects Evaluation; Environmental Protection Agency Science and Policy Council: Washington, DC, USA, 2000.
- United States Environmental Protection Agency (USEPA). Regional Screening Level (RSL) Subchronic Toxicity Supporting Table November 2021. Available online: https://www.epa.gov/risk/regional-screening-levels-rsls-generic-tables (accessed on 25 May 2022).
- United States Environmental Protection Agency (USEPA). Integrated Risk Information System. Available online: https://www.epa.gov/iris (accessed on 25 January 2022).
- Huang, Z.; Pan, X.D.; Wu, P.G.; Han, J.L.; Chen, Q. Heavy metals in vegetables and the health risk to population in Zhejiang, China. Food Control 2014, 36, 248–252. [Google Scholar] [CrossRef]
- Antoine, J.M.; Fung LA, H.; Grant, C.N. Assessment of the potential health risks associated with the aluminium, arsenic, cadmium and lead content in selected fruits and vegetables grown in Jamaica. Toxicol. Rep. 2017, 4, 181–187. [Google Scholar] [CrossRef]
- Woldetsadik, D.; Drechsel, P.; Keraita, B.; Itanna, F.; Gebrekidan, H. Heavy metal accumulation and health risk assessment in wastewater-irrigated urban vegetable farming sites of Addis Ababa, Ethiopia. Int. J. Food Contam. 2017, 4, 9. [Google Scholar] [CrossRef]
- Pal, J.; Bishnoi, M.; Kaur, M. Heavy metals in soil and vegetables and their effect on health. Int. J. Eng. Sci. Technol. 2017, 2, 17–27. [Google Scholar] [CrossRef]
- Rahmdel, S.; Rezaei, M.; Ekhlasi, J.; Zarei, S.H.; Akhlaghi, M.; Abdollahzadeh, S.M.; Sefidkar, R.; Mazloomi, S.M. Heavy metals (Pb, Cd, Cu, Zn, Ni, Co) in leafy vegetables collected from production sites: Their potential health risk to the general population in Shiraz, Iran. Environ. Monit. Assess. 2018, 190, 650. [Google Scholar] [CrossRef] [PubMed]
- Daliakopoulos, I.N.; Tsanis, I.K.; Koutroulis, A.; Kourgialas, N.N.; Varouchakis, A.E.; Karatzas, G.P.; Ritsema, C.J. The threat of soil salinity: A European scale review. Sci. Total Environ. 2016, 573, 727–739. [Google Scholar] [CrossRef] [PubMed]
- Shahid, S.A.; Zaman, M.; Heng, L. Soil salinity: Historical perspectives and a world overview of the problem. In Guideline for Salinity Assessment, Mitigation and Adaptation Using Nuclear and Related Techniques; Zaman, M., Shahid, S.A., Heng, L., Eds.; Springer: Cham, Switzerland, 2018; pp. 43–53. [Google Scholar] [CrossRef]
- Ventura, Y.; Wuddineh, W.A.; Myrzabayeva, M.; Alikulov, Z.; Khozin-Goldberg, I.; Shpigel, M.; Samocha, T.M.; Sagi, M. Effect of seawater concentration on the productivity and nutritional value of annual Salicornia and perennial Sarcocornia halophytes as leafy vegetable crops. Sci. Hortic. 2011, 128, 189–196. [Google Scholar] [CrossRef]
- Sharma, R.; Wungrampha, S.; Singh, V.; Pareek, A.; Sharma, M.K. Halophytes as bioenergy crops. Front. Plant Sci. 2016, 7, 1372. [Google Scholar] [CrossRef]
- Loconsole, D.; Cristiano, G.; De Lucia, B. Glassworts: From wild salt marsh species to sustainable edible crops. Agriculture 2019, 9, 14. [Google Scholar] [CrossRef]
- Cárdenas-Pérez, S.; Piernik, A.; Chanona-Pérez, J.J.; Grigore, M.N.; Perea-Flores, M.J. An overview of the emerging trends of the Salicornia L. genus as a sustainable crop. Environ. Exp. Bot. 2021, 191, 104606. [Google Scholar] [CrossRef]
- Pirasteh-Anosheh, H.; Parnian, A.; Spasiano, D.; Race, M.; Ashraf, M. Haloculture: A system to mitigate the negative impacts of pandemics on the environment, society and economy, emphasizing COVID-19. Environ. Res. 2021, 198, 111228. [Google Scholar] [CrossRef]
- Abdelly, C.; Öztürk, M.; Ashraf, M.; Grignon, C. (Eds.) Biosaline Agriculture and High Salinity Tolerance; Springer Science & Business Media: Berlin, Germany, 2008. [Google Scholar]
- Manousaki, E.; Kalogerakis, N. Halophytes—an emerging trend in phytoremediation. Int. J. Phytoremediation 2011, 13, 959–969. [Google Scholar] [CrossRef]
- Van Oosten, M.J.; Maggio, A. Functional biology of halophytes in the phytoremediation of heavy metal contaminated soils. Environ. Exp. Bot. 2015, 111, 135–146. [Google Scholar] [CrossRef]
- Mujeeb, A.; Aziz, I.; Ahmed, M.Z.; Alvi, S.K.; Shafiq, S. Comparative assessment of heavy metal accumulation and bio-indication in coastal dune halophytes. Ecotoxicol. Environ. Saf. 2020, 195, 110486. [Google Scholar] [CrossRef] [PubMed]
- Caparrós, P.G.; Ozturk, M.; Gul, A.; Batool, T.S.; Pirasteh-Anosheh, H.; Unal, B.T.; Toderich, K.N. Halophytes have potential as heavy metal phytoremediators: A comprehensive review. Environ. Exp. Bot. 2022, 193, 104666. [Google Scholar] [CrossRef]
- European Union Commission Recommendation (EUCR) 2018/464 of 19 March 2018 on the monitoring of metals and iodine in seaweed, halophytes and products based on seaweed (Text with EEA relevance). Off. J. 2018, 78, 16–18.
- Rose, M.; Lewis, J.; Langford, N.; Baxter, M.; Origgi, S.; Barber, M.; MacBain, H.; Thomas, K. Arsenic in seaweed-forms, concentration and dietary exposure. Food Chem. Toxicol. 2007, 45, 1263–1267. [Google Scholar] [CrossRef]
- Valdés, B.; Salicornia, L.S. Flora Vascular de Andalucía Occidental 1; Valdés, B., Talavera, S., Fernández-Galiano, E., Eds.; Ketres Editora: Sevilla, Spain, 1987; pp. 184–185. [Google Scholar]
- Kadereit, G.; Ball, P.; Beer, S.; Mucina, L.; Sokoloff, D.; Teege, P.; Yaprak, A.E.; Freitag, H. A taxonomic nightmare comes true: Phylogeny and biogeography of glassworts (Salicornia L., Chenopodiaceae). Taxon 2007, 56, 1143–1170. [Google Scholar] [CrossRef]
- Davy, A.J.; Bishop, G.F.; Costa, C.S.B. Salicornia L. (Salicornia pusilla J. Woods, S. ramosissima J. Woods, S. europaea L., S. obscura P. W. Ball & Tutin, S. nitens P. W. Ball & Tutin, S. fragilis P. W. Ball & Tutin and S. dolichostachya Moss). J. Ecol. 2001, 89, 681–707. [Google Scholar] [CrossRef]
- Rubio-Casal, A.E.; Castillo, J.M.; Luque, C.J.; Figueroa, M.E. Influence of salinity on germination and seeds viability of two primary colonizers of Mediterranean salt pans. J. Arid Environ. 2003, 53, 145–154. [Google Scholar] [CrossRef]
- Muñoz-Rodríguez, A.F.; Sanjosé, I.; Márquez-García, B.; Infante-Izquierdo, M.D.; Polo-Ávila, A.; Nieva FJ, J.; Castillo, J.M. Germination syndromes in response to salinity of Chenopodiaceae halophytes along the intertidal gradient. Aquat. Bot. 2017, 139, 48–56. [Google Scholar] [CrossRef]
- Ventura, Y.; Sagi, M. Halophyte crop cultivation: The case for Salicornia and Sarcocornia. Environ. Exp. Bot. 2013, 92, 144–153. [Google Scholar] [CrossRef]
- Patel, S. Salicornia: Evaluating the halophytic extremophile as a food and a pharmaceutical candidate. 3 Biotech. 2016, 6, 104. [Google Scholar] [CrossRef] [PubMed]
- Barreira, L.; Resek, E.; Rodrigues, M.J.; Rocha, M.I.; Pereira, H.; Bandarra, N.; Custódio, L. Halophytes: Gourmet food with nutritional health benefits? J. Food Compos. Anal. 2017, 59, 35–42. [Google Scholar] [CrossRef]
- Lefèvre, G.; Rivière, C. Amaranthaceae halophytes from the French Flanders coast of the North Sea: A review of their phytochemistry and biological activities. Phytochem. Rev. 2020, 19, 1263–1302. [Google Scholar] [CrossRef]
- Lima, A.R.; Castañeda-Loaiza, V.; Salazar, M.; Nunes, C.; Quintas, C.; Gama, F.; Pestana, M.; Correia, P.J.; Santos, T.; Varela, J.; et al. Influence of cultivation salinity in the nutritional composition, antioxidant capacity and microbial quality of Salicornia ramosissima commercially produced in soilless systems. Food Chem. 2020, 333, 127525. [Google Scholar] [CrossRef]
- Santos, E.S.; Salazar, M.; Mendes, S.; Lopes, M.; Pacheco, J.; Marques, D. Rehabilitation of abandoned areas from a Mediterranean nature reserve by Salicornia crop: Influence of the salinity and shading. Arid. Land Res. Manag. 2017, 31, 29–45. [Google Scholar] [CrossRef]
- Shpigel, M.; Ben-Ezra, D.; Shauli, L.; Sagi, M.; Ventura, Y.; Samocha, T.; Lee, J.J. Constructed wetland with Salicornia as a biofilter for mariculture effluents. Aquaculture 2013, 412, 52–63. [Google Scholar] [CrossRef]
- Smillie, C. Salicornia spp. as a biomonitor of Cu and Zn in salt marsh sediments. Ecol. Indic. 2015, 56, 70–78. [Google Scholar] [CrossRef]
- Lin, Z.-Q.; Schemenauer, R.S.; Cervinka, V.; Zayed, A.; Lee, A.; Terry, N. Selenium Volatilization from a Soil—Plant System for the Remediation of Contaminated Water and Soil in the San Joaquin Valley. J. Environ. Qual. 2000, 29, 1048–1056. [Google Scholar] [CrossRef]
- Kaviani, E.; Niazi, A.; Heydarian, Z.; Moghadam, A.; Ghasemi-Fasaei, R.; Abdollahzadeh, T. Phytoremediation of Pb-Contaminated Soil by Salicornia iranica: Key Physiological and Molecular Mechanisms Involved in Pb Detoxification. CLEAN–Soil Air Water 2017, 45, 1500964. [Google Scholar] [CrossRef]
- Kaviani, E.; Niazi, A.; Moghadam, A.; Taherishirazi, M.; Heydarian, Z. Phytoremediation of Ni-contaminated soil by Salicornia iranica. Environ. Technol. 2019, 40, 270–281. [Google Scholar] [CrossRef]
- Pedro, C.A.; Santos, M.S.; Ferreira, S.M.; Gonçalves, S.C. The influence of cadmium contamination and salinity on the survival, growth and phytoremediation capacity of the saltmarsh plant Salicornia ramosissima. Mar. Environ. Res. 2013, 92, 197–205. [Google Scholar] [CrossRef] [PubMed]
- Mesa-Marín, J.; Pérez-Romero, J.A.; Redondo-Gómez, S.; Pajuelo, E.; Rodríguez-Llorente, I.D.; Mateos-Naranjo, E. Impact of plant growth promoting bacteria on Salicornia ramosissima ecophysiology and heavy metal phytoremediation capacity in estuarine soils. Front. Microbiol. 2020, 2148. [Google Scholar] [CrossRef] [PubMed]
- Gavhane, S.K.; Sapkale, J.B.; Susware, N.K.; Sapkale, S.J. Impact of Heavy Metals in Riverine and Estuarine Environment: A review. Res. J. Chem. Environ. 2021, 25, 226–233. [Google Scholar]
- Nelson, C.H.; Lamothe, P.J. Heavy metal anomalies in the Tinto and Odiel river and estuary system, Spain. Estuaries 1993, 16, 496–511. [Google Scholar] [CrossRef]
- Sainz, A.; Grande, J.A.; De la Torre, M.L. Characterisation of heavy metal discharge into the Ria of Huelva. Environ. Int. 2004, 30, 557–566. [Google Scholar] [CrossRef]
- Torre, B.M.; Borrero-Santiago, A.R.; Fabbri, E.; Guerra, R. Trace metal levels and toxicity in the Huelva Estuary (Spain): A case study with comparisons to historical levels from the past decades. Environ. Toxicol. Chem. 2019, 1, 12–18. [Google Scholar] [CrossRef]
- GB 2762-2017. National Standard for Food Safety—Limits of Contaminant in Food; ChFDA (China Food and Drug Administration): Beijing, China, 2017. [Google Scholar]
- Fernández-Illescas, F.; Nieva, F.J.J.; Silva, I.; Tormo, R.; Muñoz, A.F. Pollen production of Chenopodiaceae species at habitat and landscape scale in Mediterranean salt marshes: An ecological and phenological study. Rev. Palaeobot. Palynol. 2010, 161, 127–136. [Google Scholar] [CrossRef]
- Long, S.P.; Mason, C.F. Saltmarsh Ecology; Blackie, Tertiary Level Biology Series; Chapman & Hall: New York, NY, USA, 1983. [Google Scholar]
- Contreras-Cruzado, I.; Infante-Izquierdo, M.D.; Márquez-García, B.; Hermoso-López, V.; Polo, A.; Nieva, F.J.J.; Cartes-Barroso, J.B.; Castillo, J.M.; Muñoz-Rodríguez, A.F. Relationships between spatio-temporal changes in the sedimentary environment and halophytes zonation in salt marshes. Geoderma 2017, 305, 173–187. [Google Scholar] [CrossRef]
- Polo-Ávila, A.; Fragoso, A.; Infante-Izquierdo, M.D.; Nieva, F.J.; Muñoz-Rodríguez, A.F.; Castillo, J.M. Seed bank dynamics of the annual halophyte Salicornia ramosissima: Towards a sustainable exploitation of its wild populations. Plant Ecol. 2021, 222, 647–657. [Google Scholar] [CrossRef]
- Alan, M.; Kara, D. Comparison of a new sequential extraction method and the BCR sequential extraction method for mobility assessment of elements around boron mines in Turkey. Talanta 2019, 194, 189–198. [Google Scholar] [CrossRef]
- Stenner, R.D.; Nickless, G. Heavy metals in organisms of the Atlantic coast of S.W. Spain and Portugal. Mar. Pollut. Bull. 1975, 6, 89–92. [Google Scholar] [CrossRef]
- Achterberg, E.P.; Herzl, V.M.; Braungardt, C.B.; Millward, G.E. Metal behaviour in an estuary polluted by acid mine drainage: The role of particulate matter. Environ. Pollut. 2003, 121, 283–292. [Google Scholar] [CrossRef]
- Borrego, J.; Morales, J.; De la Torre, M.; Grande, J. Geochemical characteristics of heavy metal pollution in surface sediments of the Tinto and Odiel river estuary (Southwestern Spain). Environ. Geol. 2002, 41, 785–796. [Google Scholar] [CrossRef]
- Braungardt, C.B.; Achterberg, E.P.; Elbaz-Poulichet, F.; Morley, N.H. Metal geochemistry in a mine-polluted estuarine system in Spain. J. Appl. Geochem. 2003, 18, 1757–1771. [Google Scholar] [CrossRef]
- Elbaz-Poulichet, F.; Morley, N.H.; Cruzado, A.; Velasquez, Z.; Achterberg, E.P.; Braungardt, C.B. Trace metal and nutrient distribution in an extremely low pH (2.5) river–estuarine system, the Ria of Huelva (South–West Spain). Sci. Total Environ. 1999, 227, 73–83. [Google Scholar] [CrossRef]
- Elbaz-Poulichet, F.; Braungardt, C.; Achterberg, E.; Morley, N.; Cossa, D.; Beckers, J.M.; Nomèrange, P.; Cruzado, A.; Leblanc, M. Metal biogeochemistry in the Tinto–Odiel rivers (Southern Spain) and in the Gulf of Cadiz: A synthesis of the results of TOROS project. Cont. Shelf Res. 2001, 21, 1961–1973. [Google Scholar] [CrossRef]
- Fernández-Caliani, J.; Ruiz-Muñoz, F.; Galán, E. Clay mineral and heavy metal distributions in the lower estuary of Huelva and adjacent Atlantic shelf, SW Spain. Sci. Total Environ. 1997, 198, 181–200. [Google Scholar] [CrossRef]
- Bermejo, J.S.; Beltrán, R.; Ariza, J.G. Spatial variations of heavy metals contamination in sediments from Odiel river (Southwest Spain). Environ. Int. 2003, 29, 69–77. [Google Scholar] [CrossRef]
- Galán, E.; Gómez-Ariza, J.L.; González, I.; Fernández-Caliani, J.C.; Morales, E.; Giráldez, I. Heavy metal partitioning in river sediments severely polluted by acid mine drainage in the Iberian Pyrite Belt. J. Appl. Geochem. 2003, 18, 409–421. [Google Scholar] [CrossRef]
- González-Pérez, J.A.; De Andrés, J.R.; Clemente, L.; Martín, J.A.; González-Vila, F.J. Organic carbon and environmental quality of riverine and off-shore sediments from the Gulf of Cádiz, Spain. Environ. Chem. Lett. 2008, 6, 41–46. [Google Scholar] [CrossRef][Green Version]
- Jomova, K.; Valko, M. Advances in metal-induced oxidative stress and human disease. Toxicology 2011, 283, 65–87. [Google Scholar] [CrossRef] [PubMed]
- Jang, D.H.; Hoffman, R.S. Heavy metal chelation in neurotoxic exposures. Neurol. Clin. 2011, 29, 607–622. [Google Scholar] [CrossRef] [PubMed]
- Alzahrani, D.A.; Selim, E.M.M.; El-Sherbiny, M.M. Ecological assessment of heavy metals in the grey mangrove (Avicennia marina) and associated sediments along the Red Sea coast of Saudi Arabia. Oceanologia 2018, 60, 513–526. [Google Scholar] [CrossRef]
- Staven, L.H.; Napier, B.A.; Rhoads, K.; Strenge, D.L. A Compendium of Transfer Factors for Agricultural and Animal Products (No. PNNL-13421); Pacific Northwest National Lab. (PNNL): Richland, WA, USA, 2003. [Google Scholar] [CrossRef]
- Agudo, A.; Amiano, P.; Barcos, A.; Barricarte, A.; Beguiristain, J.M.; Chirlaque, M.D.; Dorronsoro, M.; González, C.A.; Lasheras, C.; Martínez, C.; et al. Dietary intake of vegetables and fruits among adults in five regions of Spain. Eur. J. Clin. Nutr. 1999, 53, 174–180. [Google Scholar] [CrossRef]
- Walpole, S.C.; Prieto-Merino, D.; Edwards, P.; Cleland, J.; Stevens, G.; Roberts, I. The weight of nations: An estimation of adult human biomass. BMC Public Health 2012, 12, 439. [Google Scholar] [CrossRef]
- European Union Commission Recommendation (EUCR) 2014/193 of 4 April 2014 on the reduction of the presence of cadmium in foodstuffs Text with EEA relevance. Off. J. 2014, 104, 80–81.
- European Food Safety Authority (EFSA): Panel on Contaminants in the Food Chain. Scientific Opinion on lead in food. EFSA J. 2010, 8, 1570. [Google Scholar] [CrossRef]
- Blaser, P.; Zimmermann, S.; Luster, J.; Shotyk, W. Critical examination of trace element enrichments and depletions in soils: As, Cr, Cu, Ni, Pb, and Zn in Swiss forest soils. Sci. Total Environ. 2000, 249, 257–280. [Google Scholar] [CrossRef]
- Richards, B.K.; Steenhuis, T.S.; Peverly, J.H.; McBride, M.B. Effect of sludge-processing mode, soil texture and soil pH on metal mobility in undisturbed soil columns under accelerated loading. Environ. Pollut. 2000, 109, 327–346. [Google Scholar] [CrossRef]
- Marschner, H. Marschner’s Mineral Nutrition of Higher Plants, 3rd ed.; Academic Press: Adelaide, Australia, 2011; ISBN 9780123849069. [Google Scholar]
- Mesa, J.; Mateos-Naranjo, E.; Pajuelo, E.; Caviedes, M.Á.; Rodríguez-Llorente, I.D. Heavy metal pollution structures soil bacterial community dynamics in SW spain polluted salt marshes. Water Air Soil Pollut. 2016, 227, 466. [Google Scholar] [CrossRef]
- United States Dept. of Agriculture; Soil Survey Division; United States Division of Soil Survey. Soil Survey Manual (No. 18); US Department of Agriculture: Washington, DC, USA, 1993.
- Ghassemi, F.; Jakeman, A.J.; Nix, H.A. Salinisation of land and water resources: Human causes, extent, management and case studies; CAB International: Wallingford, UK, 1995. [Google Scholar]
- López-González, N.; Borrego, J.; Ruiz, F.; Carro, B.; Lozano-Soria, O.; Abad, M. Geochemical variations in estuarine sediments: Provenance and environmental changes (Southern Spain). Estuar. Coast. Shelf Sci. 2006, 67, 313–320. [Google Scholar] [CrossRef]
- Otte, M.L.; Haarsma, M.S.; Broekman, R.A.; Rozema, J. Relation between heavy metal concentrations in salt marsh plants and soil. Environ. Pollut. 1993, 82, 13–22. [Google Scholar] [CrossRef]
- Acosta, J.A.; Jansen, B.; Kalbitz, K.; Faz, A.; Martínez-Martínez, S. Salinity increases mobility of heavy metals in soils. Chemosphere 2011, 85, 1318–1324. [Google Scholar] [CrossRef] [PubMed]
- Díaz, A.D.P. El muelle minero de Tharsis, en Huelva: Historia de un maltrato. Energía Minas 2010, 8, 54–57. [Google Scholar]
- Luque, C.J.; Castellanos, E.M.; Castillo, J.M.; González, M.; González-Vilches, M.C.; Figueroa, M.E. Metals in halophytes of a contaminated Estuary (Odiel saltmarshes, SW Spain). Mar. Pollut. Bull. 1999, 38, 49–51. [Google Scholar] [CrossRef]
- Sánchez-Gavilán, I.; Rufo, L.; Rodriguez, N.; de la Fuente, V. On the elemental composition of the Mediterranean euhalophyte Salicornia patula Duval-Jouve (Chenopodiaceae) from saline habitats in Spain (Huelva, Toledo and Zamora). Environ. Sci. Pollut. Res. 2021, 28, 2719–2727. [Google Scholar] [CrossRef]
- Williams, T.P.; Bubb, J.M.; Lester, J.N. The occurrence and distribution of trace metals in halophytes. Chemosphere 1994, 28, 1189–1199. [Google Scholar] [CrossRef]
- Kabata-Pendias, A. Trace Elements in Soils and Plants, 3rd ed.; CRC Press: Boca Raton, FL, USA, 2000. [Google Scholar] [CrossRef]
- Fitzgerald, E.J.; Caffrey, J.M.; Nesaratnam, S.T.; McLoughlin, P. Copper and lead concentrations in salt marsh plants on the Suir Estuary, Ireland. Environ. Pollut. 2003, 123, 67–74. [Google Scholar] [CrossRef]
- Khodaverdiloo, H.; Hamzenejad Taghlidabad, R. Phytoavailability and potential transfer of Pb from a salt-affected soil to Atriplex verucifera, Salicornia europaea and Chenopodium album. J. Chem. Ecol. 2014, 30, 216–226. [Google Scholar] [CrossRef]
- Nikalje, G.C.; Suprasanna, P. Coping with metal toxicity–cues from halophytes. Front. Plant Sci. 2018, 9, 777. [Google Scholar] [CrossRef]
- Tani, F.H.; Barrington, S. Zinc and copper uptake by plants under two transpiration rates. Part I. Wheat (Triticum aestivum L.). Environ. Pollut. 2005, 138, 538–547. [Google Scholar] [CrossRef] [PubMed]
- Pan, X.; Yang, J.; Zhang, D.; Mu, S. Lead complexation behaviour of root exudates of salt marsh plant Salicornia europaea L. Chem. Speciat. Bioavailab. 2012, 24, 60–63. [Google Scholar] [CrossRef]
- Khalilzadeh, R.; Pirzad, A.; Sepehr, E.; Khan, S.; Anwar, S. The Salicornia europaea potential for phytoremediation of heavy metals in the soils under different times of wastewater irrigation in northwestern Iran. Environ. Sci. Pollut. Res. 2021, 28, 47605–47618. [Google Scholar] [CrossRef] [PubMed]
- McGrath, S.P.; Zhao, F.J. Phytoextraction of metals and metalloids from contaminated soils. Curr. Opin. Biotechnol. 2003, 14, 277–282. [Google Scholar] [CrossRef]
- Wu, G.; Kang, H.; Zhang, X.; Shao, H.; Chu, L.; Ruan, C. A critical review on the bio-removal of hazardous heavy metals from contaminated soils: Issues, progress, eco-environmental concerns and opportunities. J. Hazard. Mater. 2010, 174, 1–8. [Google Scholar] [CrossRef]
- Van der Ent, A.; Baker, A.J.; Reeves, R.D.; Pollard, A.J.; Schat, H. Hyperaccumulators of metal and metalloid trace elements: Facts and fiction. Plant Soil. 2013, 362, 319–334. [Google Scholar] [CrossRef]
- Arnot, J.A.; Gobas, F.A. A review of bioconcentration factor (BCF) and bioaccumulation factor (BAF) assessments for organic chemicals in aquatic organisms. Environ. Rev. 2006, 14, 257–297. [Google Scholar] [CrossRef]
- Baker, A.J. Accumulators and excluders-strategies in the response of plants to heavy metals. J. Plant Nutr. 1981, 3, 643–654. [Google Scholar] [CrossRef]
- Fuente, V.; Rufo, L.; Rodríguez, N.; Amils, R.; Zuluaga, J. Metal accumulation screening of the Río Tinto flora (Huelva, Spain). Biol. Trace Elem. Res. 2010, 134, 318–341. [Google Scholar] [CrossRef]
- Sánchez-Martínez, M.A.; Riosmena-Rodríguez, R.; Marmolejo-Rodríguez, A.J.; Sánchez-González, A. Trace elements in two wetland plants (Maytenus phyllanthoides and Salicornia subterminalis) and sediment in a semiarid area influenced by gold mining. Reg. Stud. 2017, 10, 65–74. [Google Scholar] [CrossRef]
- Pérez-Romero, J.A.; Redondo-Gómez, S.; Mateos-Naranjo, E. Growth and photosynthetic limitation analysis of the Cd-accumulator Salicornia ramosissima under excessive cadmium concentrations and optimum salinity conditions. Plant Physiol. Biochem. 2016, 109, 103–113. [Google Scholar] [CrossRef] [PubMed]
- Dear, S.E.; Moore, N.G.; Dobos, S.K.; Watling, K.M.; Ahern, C.R. Soil management guidelines. In Queensland Acid Sul-Fate Soil Technical Manual; Queensland Department of Natural, Mines and Energy: Indooroopilly, QLD, Australia, 2002; pp. 50–64. Available online: http://www.nrm.qld.gov.au/land/ass/pdfs/soilmgmtguidelinesv38.pdf (accessed on 25 May 2022).
- Murányi, A.; Seeling, B.; Ladewig, E.; Jungk, A. Acidification in the rhizosphere of rape seedlings and in bulk soil by nitrification and ammonium uptake. Z. Für Pflanzenernahr. Bodenkd. 1994, 157, 61–65. [Google Scholar] [CrossRef]
- Römheld, V. The role of phytosiderophores in acquisition of iron and other micronutrients in graminaceous species: An ecological approach. In Iron Nutrition and Interactions in Plants; Springer: Dordrecht, The Netherlands, 1991; pp. 159–166. [Google Scholar] [CrossRef]
- Liu, W.X.; Li, H.H.; Li, S.R.; Wang, Y.W. Heavy metal accumulation of edible vegetables cultivated in agricultural soil in the suburb of Zhengzhou City, People’s Republic of China. Bull. Environ. Contam. Toxicol. 2006, 76, 163–170. [Google Scholar] [CrossRef]
- Baker, A.J.M.; McGrath, S.P.; Sidoli, C.M.D.; Reeves, R.D. The possibility of in situ heavy metal decontamination of polluted soils using crops of metal-accumulating plants. Resour. Conserv. Recycl. 1994, 11, 41–49. [Google Scholar] [CrossRef]
- Watanabe, M.E. Phytoremediation on the brink of commercialization. Environ. Sci. Technol. 1997, 31, A182–A186. [Google Scholar] [CrossRef] [PubMed]
- Kamal, M.; Ghaly, A.E.; Mahmoud, N.; Côté, R. Phytoaccumulation of heavy metals by aquatic plants. Environ. Int. 2004, 29, 1029–1039. [Google Scholar] [CrossRef]
- Reeves, R.D.; Baker, A.J.M.; Jaffré, T.; Erskine, P.D.; Echevarria, G.; Ent, A. A global database for plants that hyperaccumulate metal and metalloid trace elements. New Phytol. 2018, 218, 407–411. [Google Scholar] [CrossRef]
- Kabata-Pendias, A. Soil–plant transfer of trace elements—an environmental issue. Geoderma 2004, 122, 143–149. [Google Scholar] [CrossRef]
- Monteiro, M.; Santos, C.; Mann, R.M.; Soares, A.M.; Lopes, T. Evaluation of cadmium genotoxicity in Lactuca sativa L. using nuclear microsatellites. Environ. Exp. Bot. 2007, 60, 421–427. [Google Scholar] [CrossRef]
- Intawongse, M.; Dean, J.R. Uptake of heavy metals by vegetable plants grown on contaminated soil and their bioavailability in the human gastrointestinal tract. Food Addit. Contam. 2006, 23, 36–48. [Google Scholar] [CrossRef]
- Rusyniak, D.E. Clinical Neurotoxicology E-Book: Syndromes, Substances, Environments. Dobbs, M.R., Ed.; Elsevier Health Sciences: Amsterdam, The Netherlands, 2009; pp. 277–281. [Google Scholar]
Publisher’s Note: MDPI stays neutral with regard to jurisdictional claims in published maps and institutional affiliations. |
© 2022 by the authors. Licensee MDPI, Basel, Switzerland. This article is an open access article distributed under the terms and conditions of the Creative Commons Attribution (CC BY) license (https://creativecommons.org/licenses/by/4.0/).



