Are Iron Tailings Suitable for Constructing the Soil Profile Configuration of Reclaimed Farmland? A Soil Quality Evaluation Based on Chronosequences
Abstract
:1. Introduction
2. Materials and Methods
2.1. Study Area
2.2. Soil Sampling and Analysis
2.3. Soil Quality Assessment Methods
2.3.1. Minimum Dataset for Soil Quality Evaluation
2.3.2. Evaluation Model of Soil Quality Index (SQI)
2.4. Data Analysis
3. Results
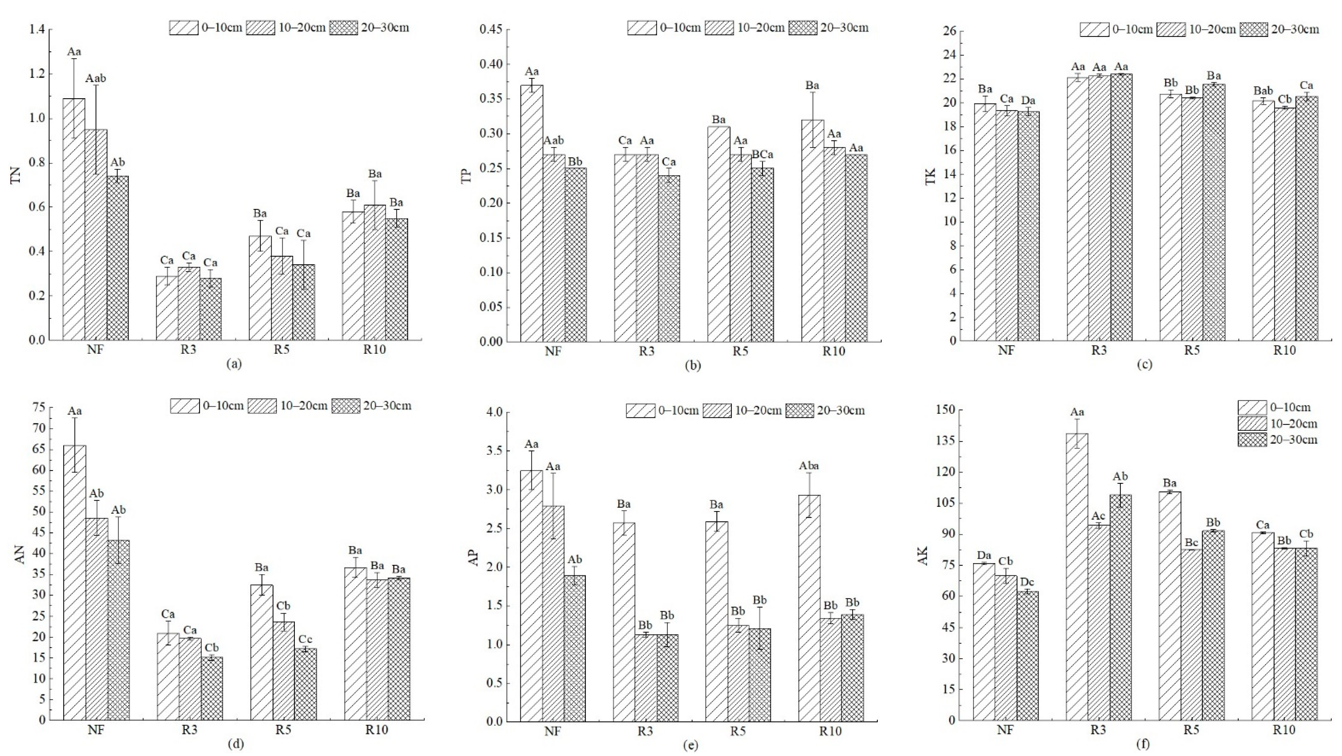
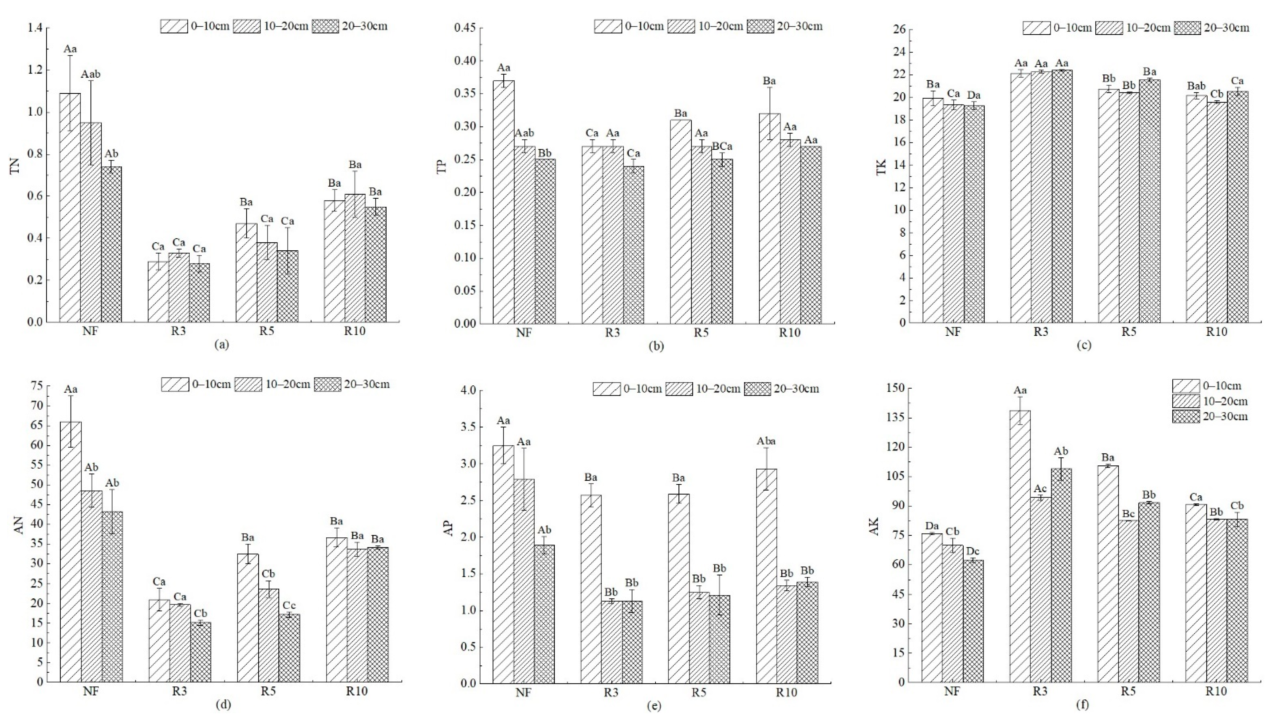
3.1. Feature of Soil Quality Evaluation Indicators
3.2. Construction of MDS for Soil Quality Evaluation
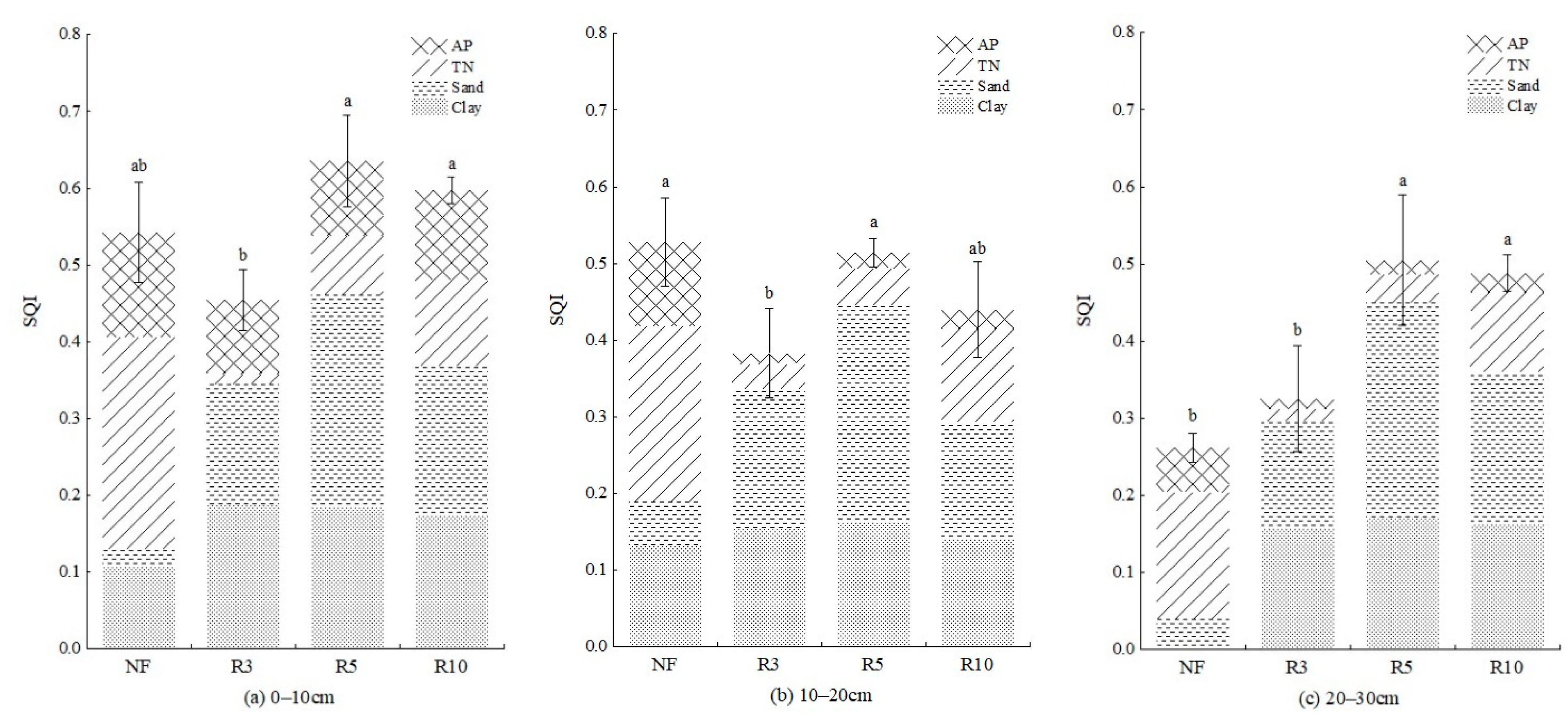
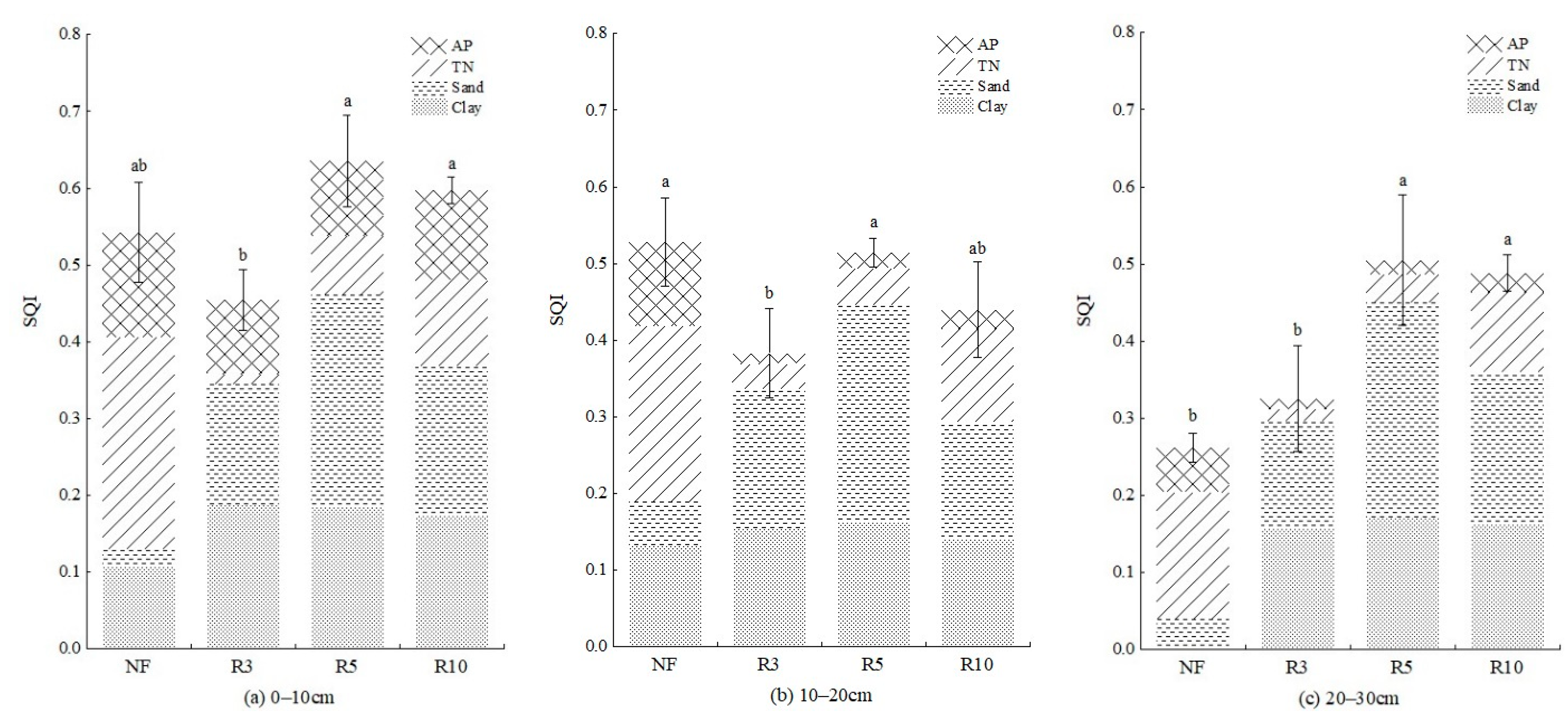
3.3. Soil Quality Evaluation Based on MDS
3.4. Applicability Verification of Soil Quality Evaluation Method Based on MDS
4. Discussion
4.1. Chronosequence Evolution of Soil Quality in Reclaimed Farmland
4.2. Effect of Profile Configuration on Reclaimed Soil Quality
4.3. The Variation Regulation of Soil Quality in Vertical Profiles with Different Reclamation Years
4.4. Key Indicator Identification and Policy Implications
5. Conclusions
Author Contributions
Funding
Institutional Review Board Statement
Informed Consent Statement
Data Availability Statement
Acknowledgments
Conflicts of Interest
References
- Li, F.; Li, X.J.; Hou, L.; Shao, A.R. A long-term study on the soil reconstruction process of reclaimed land by coal gangue filling. Catena 2020, 195, 104874. [Google Scholar] [CrossRef]
- Li, S.; Yu, L.F.; Jiang, W.J.; Yu, H.X.; Wang, X.M. The recent progress China has made in green mine construction, Part I: Mining groundwater pollution and sustainable mining. Int. J. Environ. Res. Public Health 2022, 19, 5673. [Google Scholar] [CrossRef] [PubMed]
- Liu, Y.Y.; Sohail, M.T.; Khan, A.; Majeed, M.T. Environmental benefit of clean energy consumption: Can BRICS economies achieve environmental sustainability through human capital? Environ. Sci. Pollut. Res. 2021, 29, 6766–6776. [Google Scholar] [CrossRef] [PubMed]
- Song, W.; Song, W.; Gu, H.H.; Li, F.P. Progress in the remote sensing monitoring of the ecological environment in mining areas. Int. J. Environ. Res. Public Health 2020, 17, 1846. [Google Scholar] [CrossRef] [Green Version]
- Singh, A.N.; Kumar, A. Comparative soil restoration potential of exotic and native woody plantations on coal mine spoil in a dry tropical environment of India: A case-study. Land Degrad. Dev. 2022, 2022, 1–14. [Google Scholar] [CrossRef]
- Mukhopadhyay, S.; Maiti, S.K.; Masto, R.E. Development of mine soil quality index (MSQI) for evaluation of reclamation success: A chronosequence study. Ecol. Eng. 2014, 71, 10–20. [Google Scholar] [CrossRef]
- Sohail, M.T.; Ehsan, M.; Riaz, S.; Elkaeed, E.B.; Awwad, N.S.; Ibrahium, H.A. Investigating the drinking water quality and associated health risks in Metropolis area of Pakistan. Front. Mater. 2022, 9, 864254. [Google Scholar] [CrossRef]
- Cortes-Ramirez, J.; Wraith, D.; Sly, P.D.; Jagals, P. Mapping the morbidity risk associated with coal mining in Queensland, Australia. Int. J. Environ. Res. Public Health 2022, 19, 1206. [Google Scholar] [CrossRef]
- Sohail, M.T.; Elkaeed, E.B.; Irfan, M.; Acevedo-Duque, Á.; Mustafa, S. Determining farmers’ awareness about climate change mitigation and wastewater irrigation: A pathway toward green and sustainable development. Front. Environ. Sci. 2022, 10, 900193. [Google Scholar] [CrossRef]
- Sohail, M.T.; Xuan, L.; Liang, L.Z.; Rizwanullah, M.; Nasrullah, M.; Yu, X.Y.; Manzoor, Z.; Elis, R.J. Farmers’ awareness about impacts of reusing wastewater, risk perception and adaptation to climate change in Faisalabad District, Pakistan. Pol. J. Environ. Stud. 2021, 30, 4663–4675. [Google Scholar] [CrossRef]
- Ulloa-Murillo, L.M.; Villegas, L.M.; Rodriguez-Ortiz, A.R.; Duque-Acevedo, M.; Cortes-Garcia, F.J. Management of the organic fraction of municipal solid waste in the context of a sustainable and circular model: Analysis of trends in Latin America and the Caribbean. Int. J. Environ. Res. Public Health 2022, 19, 6041. [Google Scholar] [CrossRef] [PubMed]
- Du, X.W. Resource utilization of solid waste is an element of high-quality development. People’s Trib. 2022, 9, 6–8. [Google Scholar]
- Sohail, M.T.; Yu, X.Y.; Usman, A.; Majeed, M.T.; Ullah, S. Renewable energy and non-renewable energy consumption: Assessing the asymmetric role of monetary policy uncertainty in energy consumption. Environ. Sci. Pollut. Res. 2021, 28, 31575–31584. [Google Scholar] [CrossRef] [PubMed]
- Mehta, N.; Cipullo, S.; Cocerva, T.; Coulon, F.; Dino, G.A.; Ajmone-Marsan, F.; Padoan, E.; Cox, S.F.; Cave, M.R.; De Luca, D.A. Incorporating oral bioaccessibility into human health risk assessment due to potentially toxic elements in extractive waste and contaminated soils from an abandoned mine site. Chemosphere 2020, 255, 126927. [Google Scholar] [CrossRef] [PubMed]
- Gastauer, M.; Souza, P.W.M.; Ramos, S.J.; Caldeira, C.F.; Silva, J.R.; Siqueira, J.O.; Neto, A.E.F. Mine land rehabilitation in Brazil: Goals and techniques in the context of legal requirements. Ambio 2019, 48, 74–88. [Google Scholar] [CrossRef] [PubMed]
- Zhai, J.H.; Wang, H.B.; Chen, P.; Hu, Y.H.; Sun, W. Recycling of iron and titanium resources from early tailings: From fundamental work to industrial application. Chemosphere 2020, 242, 125178. [Google Scholar] [CrossRef]
- Li, X.G.; Wang, P.Q.; Qin, J.Y.; Liu, Y.X.; Qu, Y.; Liu, J.J.; Cao, R.; Zhang, Y. Mechanical properties of sintered ceramsite from iron ore tailings affected by two-region structure. Constr. Build. Mater. 2020, 240, 117919. [Google Scholar] [CrossRef]
- Hu, Z.Q.; Zhao, Y.L. Main problems in ecological restoration of mines and their solution. China Coal 2021, 47, 2–7. [Google Scholar] [CrossRef]
- Cui, X.W.; Geng, Y.; Li, T.; Zhao, R.; Li, X.X.; Cui, Z.J. Field application and effect evaluation of different iron tailings soil utilization technologies. Resour. Conserv. Recycl. 2021, 173, 105746. [Google Scholar] [CrossRef]
- Li, X.X.; Wang, X.L.; Chen, Y.D.; Yang, X.Y.; Cui, Z.J. Optimization of combined phytoremediation for heavy metal contaminated mine tailings by a field-scale orthogonal experiment. Ecotoxicol. Environ. Saf. 2019, 168, 1–8. [Google Scholar] [CrossRef]
- Wei, Z.Y.; Liang, C.H. Research and Demonstration of the Large Application of Iron Ore Tailings to Improve Medium and Low Yield Field in Western Liaoning; Professional Committee of Coal Mine Land Reclamation and Ecological Restoration of Chinese Coal Society: Tangshan, China, 2016. (In Chinese) [Google Scholar]
- Shrestha, R.K.; Lal, R. Changes in physical and chemical properties of soil after surface mining and reclamation. Geoderma 2011, 161, 168–176. [Google Scholar] [CrossRef]
- Ahirwal, J.; Maiti, S.K. Assessment of soil properties of different land uses generated due to surface coal mining activities in tropical sal (Shorea robusta) forest, India. Catena 2016, 140, 155–163. [Google Scholar] [CrossRef]
- Spargo, A.; Doley, D. Selective coal mine overburden treatment with topsoil and compost to optimise pasture or native vegetation establishment. J. Environ. Manag. 2016, 182, 342–350. [Google Scholar] [CrossRef] [PubMed]
- Su, H.; Wu, C.F. Mechanism of farmland system change in black soil areas of Northeast China. Trans. CSAE 2021, 37, 243–251. [Google Scholar] [CrossRef]
- Hu, Z.Q.; Liu, S.G.; Gong, Y.L. Evaluation of soil quality and maize growth in different profiles of reclaimed land with coal gangue filling. Land 2021, 10, 1307. [Google Scholar] [CrossRef]
- Obade, V.D.; La, R. A standardized soil quality index for diverse field conditions. Sci. Total Environ. 2016, 541, 424–434. [Google Scholar] [CrossRef]
- Obade, V.D.; Lal, R. Using meta-analyses to assess pedo-variability under different land uses and soil management in central Ohio, USA. Geoderma 2014, 232, 56–68. [Google Scholar] [CrossRef]
- Doran, J.W.; Parkin, T.B.; Coleman, D.C.; Bezdicek, D.F. Defining Soil Quality for a Sustainable Environment Madison; Soil Science Society of America: Madison, WI, USA, 1994. [Google Scholar]
- Hammac, W.A.; Stott, D.E.; Karlen, D.L.; Cambardella, C.A. Crop, tillage, and landscape effects on near-surface soil quality indices in Indiana. Soil Sci. Soc. Am. J. 2016, 80, 1638–1652. [Google Scholar] [CrossRef] [Green Version]
- Rezaei, S.A.; Gilkes, R.J.; Andrews, S.S. A minimum data set for assessing soil quality in rangelands. Geoderma 2006, 136, 229–234. [Google Scholar] [CrossRef]
- Gong, Z.T. Soil Genesis and Taxonomy; Science Press: Beijing, China, 2007; pp. 58–69. (In Chinese) [Google Scholar]
- Liu, J.; Wu, L.C.; Chen, D.; Yu, Z.G.; Wei, C.J. Development of a soil quality index for Camellia oleifera forestland yield under three different parent materials in Southern China. Soil Tillage Res. 2018, 176, 45–50. [Google Scholar] [CrossRef]
- Bao, S.D. Soil Agrochemical Analysis, 3rd ed.; China Agricultural Press: Beijing, China, 2000. (In Chinese) [Google Scholar]
- Tian, Y.; Xin, J.; Ren, Y. NY/T 1121.2-2006: Soil Testing Part 2: Method for Determination of Soil PH; Ministry of Agriculture and Rural Affairs of the People’s Republic of China: Beijing, China, 2006. (In Chinese) [Google Scholar]
- Ren, Y.; Xin, J.; Tian, Y. NY/T1121.6-2006: Soil Testing Part 6: Method for Determination of Soil Organic Matter; Ministry of Agriculture and Rural Affairs of the People’s Republic of China: Beijing, China, 2006. (In Chinese) [Google Scholar]
- Bünemann, E.K.; Bongiorno, G.; Bai, Z.; Creamer, R.E.; Brussaard, L. Soil quality-A critical review. Soil Biol. Biochem. 2018, 120, 105–125. [Google Scholar] [CrossRef]
- Gong, L.; Zhang, X.N.; Ran, Q.Y. Quality assessment of oasis soil in the upper reaches of Tarim River based on minimum data set. Acta Pedol. Sin. 2015, 52, 682–689. [Google Scholar] [CrossRef]
- Ma, J.F.; Chen, Y.P.; Zhou, J.; Wang, K.B.; Wu, J.H. Soil quality should be accurate evaluated the beginning of lifecycle after land consolidation for eco-sustainable development on the Loess Plateau. J. Clean Prod. 2020, 267, 122244. [Google Scholar] [CrossRef]
- Raiesi, F. A minimum data set and soil quality index to quantify the effect of land use conversion on soil quality and degradation in native rangelands of upland arid and semiarid regions. Ecol. Indic. 2017, 75, 307–320. [Google Scholar] [CrossRef]
- Brejda, J.J.; Moorman, T.B.; Karlen, D.L.; Dao, T.H. Identification of regional soil quality factors and indicators I. Central and Southern High Plains. Soil Sci. Soc. Am. J. 2000, 64, 2115–2124. [Google Scholar] [CrossRef]
- Zuber, S.M.; Behnke, G.D.; Nafziger, E.D.; Villamil, M.B. Multivariate assessment of soil quality indicators for crop rotation and tillage in Illinois. Soil Tillage Res. 2017, 174, 147–155. [Google Scholar] [CrossRef]
- Askari, M.S.; Holden, N.M. Indices for quantitative evaluation of soil quality under grassland management. Geoderma 2014, 230, 131–142. [Google Scholar] [CrossRef]
- Li, P.; Wu, M.C.; Kang, G.D.; Zhu, B.J.; Li, H.X.; Hu, F.; Jiao, J.G. Soil quality response to organic amendments on dryland red soil in subtropical China. Geoderma 2020, 373, 114416. [Google Scholar] [CrossRef]
- Svoray, T.; Hassid, I.; Atkinson, P.M.; Moebius-Clune, B.N.; van Es, H.M. Mapping soil health over large agriculturally important areas. Soil Sci. Soc. Am. J. 2015, 79, 1420–1434. [Google Scholar] [CrossRef]
- He, X.; Lin, Z.S.; Liu, H.Y.; Qi, X.Z. Analysis of the driving factors of PM 2.5 in Jiangsu Province based on grey correlation model. Acta Geogr. Sin. 2016, 71, 1119–1129. [Google Scholar] [CrossRef]
- Yuan, S.; Zhang, Q.; Yin, H.; Li, Y.J. Efficient iron recovery from iron tailings using advanced suspension reduction technology: A study of reaction kinetics, phase transformation, and structure evolution. J. Hazard. Mater. 2021, 404, 124067. [Google Scholar] [CrossRef] [PubMed]
- Yang, M. Effects of Extensive Application of Iron Tailings on Soil Properties and Crop Growth in Chaoyang City; Shenyang Agricultural University: Shenyang, China, 2016. (In Chinese) [Google Scholar]
- Karlen, D.L.; Ditzler, C.A.; Andrews, S.S. Soil quality: Why and how? Geoderma 2003, 114, 145–156. [Google Scholar] [CrossRef]
- Li, J.Y.; Li, X.J.; Wu, K.N.; Song, W.; Zhang, X.D. Prediction of variation of soil nutrient status in reclaimed subsidence-damaged farmlands by filling with yellow river sediment different in reclamation history in Jining city. Acta Pedol. Sin. 2018, 55, 1358–1366. [Google Scholar] [CrossRef]
- Duo, L.H.; Hu, Z.Q. Soil quality change after reclaiming subsidence land with yellow river sediments. Sustainability 2018, 10, 4310. [Google Scholar] [CrossRef] [Green Version]
- Li, X.J.; Hu, Z.Q.; Li, J.; Liu, N.; Zhang, W.W. Research progress of reclaimed soil quality in mining subsidence area. Trans. CSAE 2007, 23, 276–280. [Google Scholar] [CrossRef]
- Cao, Y.G.; Zhou, W.; Bai, Z.K.; Wang, J.M.; Zhang, X.R. Differentiations in nutrients of reconstructed soils on opencast mine dump of loess area. Fresenius Environ. Bull. 2016, 25, 2331–2342. [Google Scholar]
- Jia, Q. Study on Water-Saving Mechanism for Drip Irrigation and Irrigation Decision of Maize; Inner Mongolia Agricultural University: Hohhot, China, 2021. (In Chinese) [Google Scholar]
- Zhang, J.G.; Wang, S.J.; Liu, Y.R.; Leng, G.Y.; Zhou, S.L. Effect of Soil-Covering and Green Manuring on Tree Growth in the Reclaimed Area of Coal Ash; Northeast Forestry University: Harbin, China, 1997; pp. 10–14. [Google Scholar]
- Kuang, X.Y.; Cao, Y.G.; Luo, G.B.; Huang, Y.H. Responses of Melilotus officinalis growth to the composition of different topsoil substitute materials in the reclamation of open-pit mining grassland area in Inner Mongolia. Materials 2019, 12, 3888. [Google Scholar] [CrossRef] [Green Version]
- Guo, S.L.; Li, Q.; Li, X.J.; Zhao, Y.L.; Wang, X.G. Effects of mushroom waste on improvement of reclaimed soil quality in coal mining areas. J. Coal Sci. Eng. 2013, 19, 237–242. [Google Scholar] [CrossRef]
- Wu, C.S.; Liu, G.H.; Huang, C.; Liu, Q.S.; Guan, X.D. Soil quality assessment of the Yellow River Delta based on MDS and fuzzy logic model. Resour. Sci. 2016, 38, 1275–1286. [Google Scholar] [CrossRef]
- China Standard Gb 15618-2018; Soil Environment Quality Risk Control Standard for Soil Contamination of Agricultural Land. Ministry of Ecology and Environment of the People’s Republic of China: Beijing, China, 2018. (In Chinese)










| Soil Properties | Abbreviation | Unit | Method |
|---|---|---|---|
| Bulk density | BD | g/cm3 | Core cutter method [34] |
| Soil water content | SWC | % | Oven drying method [34] |
| Clay | Clay | % | Laster particle sizer method [34] |
| Silt | Silt | % | Laster particle sizer method [34] |
| Sand | Sand | % | Laster particle sizer method [34] |
| pH | pH | g/kg | Soil: water suspension (1:5 w/v) by pH meter [35] |
| Organic matter | OM | g/kg | Potassium dichromate oxidation method [36] |
| Total nitrogen | TN | g/kg | The Kjeldahl method [34] |
| Available nitrogen | AN | mg/kg | The alkaline hydrolysis diffusion method [34] |
| Total phosphorus | TP | g/kg | The alkali fusion-molybdenum antimony colorimetric method [34] |
| Available phosphorus | AP | mg/kg | The sodium bicarbonate extraction-molybdenum antimony colorimetric method [34] |
| Total potassium | TK | mg/kg | The alkali fusion-flame photometer method [34] |
| Available potassium | AK | mg/kg | 1 mol/L ammonium acetate leaching method [34] |
| Soil Indicators | Principal Components | Norm | ||
|---|---|---|---|---|
| PC-1 | PC-2 | PC-3 | ||
| BD | −0.951 | −0.192 | 0.074 | 3.59 |
| SWC | 0.687 | −0.544 | −0.398 | 2.34 |
| Clay | 0.632 | −0.613 | 0.233 | 2.09 |
| Silt | 0.724 | −0.051 | 0.651 | 2.36 |
| Sand | −0.750 | 0.150 | −0.626 | 2.51 |
| pH | −0.502 | −0.679 | 0.288 | 1.64 |
| OM | 0.974 | 0.056 | −0.027 | 3.72 |
| TN | 0.981 | −0.006 | −0.009 | 3.77 |
| TP | 0.575 | 0.632 | −0.164 | 1.83 |
| TK | −0.817 | 0.272 | 0.348 | 2.80 |
| AN | 0.975 | 0.137 | −0.019 | 3.75 |
| AP | 0.649 | 0.624 | 0.113 | 2.16 |
| AK | −0.660 | 0.602 | 0.368 | 2.27 |
| Eigenvalue | 7.832 | 2.578 | 1.414 | |
| Variance/% | 60.246 | 19.833 | 10.876 | |
| Cumulative/% | 60.246 | 80.079 | 90.955 | |
| Soil Indicators | TDS | MDS | ||
|---|---|---|---|---|
| Commonality | Weight | Commonality | Weight | |
| BD | 0.946 | 0.080 | ||
| SWC | 0.926 | 0.078 | ||
| Clay | 0.829 | 0.070 | 0.559 | 0.214 |
| Silt | 0.951 | 0.080 | ||
| Sand | 0.977 | 0.083 | 0.824 | 0.316 |
| pH | 0.796 | 0.067 | ||
| OM | 0.953 | 0.081 | ||
| TN | 0.963 | 0.081 | 0.833 | 0.319 |
| TP | 0.893 | 0.076 | ||
| TK | 0.863 | 0.073 | ||
| AN | 0.970 | 0.082 | ||
| AP | 0.824 | 0.070 | 0.393 | 0.151 |
| AK | 0.934 | 0.079 | ||
Publisher’s Note: MDPI stays neutral with regard to jurisdictional claims in published maps and institutional affiliations. |
© 2022 by the authors. Licensee MDPI, Basel, Switzerland. This article is an open access article distributed under the terms and conditions of the Creative Commons Attribution (CC BY) license (https://creativecommons.org/licenses/by/4.0/).
Share and Cite
Jin, W.; Wu, H.; Wei, Z.; Han, C.; Bian, Z.; Zhang, X. Are Iron Tailings Suitable for Constructing the Soil Profile Configuration of Reclaimed Farmland? A Soil Quality Evaluation Based on Chronosequences. Int. J. Environ. Res. Public Health 2022, 19, 8235. https://doi.org/10.3390/ijerph19148235
Jin W, Wu H, Wei Z, Han C, Bian Z, Zhang X. Are Iron Tailings Suitable for Constructing the Soil Profile Configuration of Reclaimed Farmland? A Soil Quality Evaluation Based on Chronosequences. International Journal of Environmental Research and Public Health. 2022; 19(14):8235. https://doi.org/10.3390/ijerph19148235
Chicago/Turabian StyleJin, Wenjuan, Han Wu, Zhongyi Wei, Chunlan Han, Zhenxing Bian, and Xufeng Zhang. 2022. "Are Iron Tailings Suitable for Constructing the Soil Profile Configuration of Reclaimed Farmland? A Soil Quality Evaluation Based on Chronosequences" International Journal of Environmental Research and Public Health 19, no. 14: 8235. https://doi.org/10.3390/ijerph19148235
APA StyleJin, W., Wu, H., Wei, Z., Han, C., Bian, Z., & Zhang, X. (2022). Are Iron Tailings Suitable for Constructing the Soil Profile Configuration of Reclaimed Farmland? A Soil Quality Evaluation Based on Chronosequences. International Journal of Environmental Research and Public Health, 19(14), 8235. https://doi.org/10.3390/ijerph19148235

