SARS-CoV-2 Seroprevalence in Healthcare Workers in Germany: A Follow-Up Study
Abstract
1. Introduction
2. Materials and Methods
3. Results
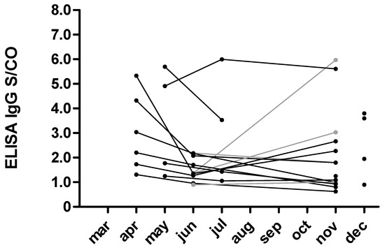
3.1. Seroprevalance
3.1.1. First Observational Period: March–May 2020
3.1.2. Second Observational Period: June–July 2020
3.1.3. Third Observational Period: October–December 2020
3.2. Neutralization Antibodies
3.3. Symptoms
4. Discussion
5. Conclusions
Author Contributions
Funding
Institutional Review Board Statement
Informed Consent Statement
Data Availability Statement
Acknowledgments
Conflicts of Interest
References
- Luo, Y.; Trevathan, E.; Qian, Z.; Li, Y.; Li, J.; Xiao, W.; Tu, N.; Zeng, Z.; Mo, P.; Xiong, Y.; et al. Asymptomatic SARS-CoV-2 Infection in Household Contacts of a Healthcare Provider, Wuhan, China. Emerg. Infect. Dis. 2020, 26. [Google Scholar] [CrossRef]
- Weissman, D.N.; de Perio, M.A.; Radonovich, L.J. COVID-19 and Risks Posed to Personnel During Endotracheal Intubation. JAMA 2020. [Google Scholar] [CrossRef] [PubMed]
- Hoehl, S.; Berger, A.; Kortenbusch, M.; Cinatl, J.; Bojkova, D.; Rabenau, H.; Behrens, P.; Böddinghaus, B.; Götsch, U.; Naujoks, F.; et al. Evidence of SARS-CoV-2 Infection in Returning Travelers from Wuhan, China. N. Engl. J. Med. 2020. [Google Scholar] [CrossRef]
- Petherick, A. Developing antibody tests for SARS-CoV-2. Lancet 2020, 395, 1101–1102. [Google Scholar] [CrossRef]
- Heilingloh, C.S.; Aufderhorst, U.W.; Schipper, L.; Dittmer, U.; Witzke, O.; Yang, D.; Zheng, X.; Sutter, K.; Trilling, M.; Alt, M.; et al. Susceptibility of SARS-CoV-2 to UV irradiation. Am. J. Infect. Control 2020, 48, 1273–1275. [Google Scholar] [CrossRef]
- Herron, J.B.T.; Hay-David, A.G.C.; Gilliam, A.D.; Brennan, P.A. Personal protective equipment and Covid 19- a risk to healthcare staff? Br. J. Oral Maxillofac. Surg. 2020, 58, 500–502. [Google Scholar] [CrossRef]
- Heinz, T.K. Hygienemängel in Arztpraxis und Krankenhaus. Hessiches Ärzteblatt 2020, 5, 5–7. [Google Scholar]
- d’Aloja, E.; Finco, G.; Demontis, R.; Napoli, P.E.; Fossarello, M.; Nioi, M. COVID-19 and medical liability: Italy denies the shield to its heroes. EClinicalMedicine 2020, 25, 100470. [Google Scholar] [CrossRef] [PubMed]
- Korth, J.; Wilde, B.; Dolff, S.; Anastasiou, O.E.; Krawczyk, A.; Jahn, M.; Cordes, S.; Ross, B.; Esser, S.; Lindemann, M.; et al. SARS-CoV-2-specific antibody detection in healthcare workers in Germany with direct contact to COVID-19 patients. J. Clin. Virol. 2020, 128, 104437. [Google Scholar] [CrossRef]
- Papagiannis, D.; Malli, F.; Raptis, D.G.; Papathanasiou, I.V.; Fradelos, E.C.; Daniil, Z.; Rachiotis, G.; Gourgoulianis, K.I. Assessment of knowledge, attitudes, and practices towards new coronavirus (SARS-CoV-2) of health care professionals in greece before the outbreak period. Int. J. Environ. Res. Public Health 2020, 17, 4925. [Google Scholar] [CrossRef]
- Hesaraki, M.; Akbarizadeh, M.; Ahmadidarrehsima, S.; Moghadam, M.P.; Izadpanah, F. Knowledge, attitude, practice and clinical recommendations of health care workers towards COVID-19: A systematic review. Rev. Environ. Health 2020. [Google Scholar] [CrossRef]
- Fischer, B.; Knabbe, C.; Vollmer, T. SARS-CoV-2 IgG seroprevalence in blood donors located in three different federal states, Germany, March to June 2020. Eurosurveillance 2020, 25, 1–4. [Google Scholar] [CrossRef] [PubMed]
- Aziz, N.A.; Corman, V.M.; Echterhoff, A.K.C.; Müller, M.A.; Richter, A.; Schmandke, A.; Schmidt, M.L.; Schmidt, T.H.; de Vries, F.M.; Drosten, C.; et al. Seroprevalence and correlates of SARS-CoV-2 neutralizing antibodies from a population-based study in Bonn, Germany. Nat. Commun. 2021, 12, 2117. [Google Scholar] [CrossRef]
- Nioi, M.; Napoli, P.E.; Lobina, J.; Fossarello, M.; d’Aloja, E. COVID-19 and Italian Healthcare Workers From the Initial Sacrifice to the mRNA Vaccine: Pandemic Chrono-History, Epidemiological Data, Ethical Dilemmas, and Future Challenges. Front. Public Health 2021, 8, 1–7. [Google Scholar] [CrossRef]
- Chen, X.; Chen, Z.; Azman, A.S.; Deng, X.; Chen, X.; Lu, W.; Zhao, Z.; Yang, J.; Viboud, C.; Ajelli, M.; et al. Serological evidence of human infection with SARS-CoV-2: A systematic review and meta-analysis. Lancet Glob. Health 2020. [Google Scholar] [CrossRef]
- Streeck, H.; Schulte, B.; Kümmerer, B.M.; Richter, E.; Höller, T.; Fuhrmann, C.; Bartok, E.; Dolscheid-Pommerich, R.; Berger, M.; Wessendorf, L.; et al. Infection fatality rate of SARS-CoV2 in a super-spreading event in Germany. Nat. Commun. 2020, 11, 1–12. [Google Scholar] [CrossRef]
- Finkenzeller, T.; Faltlhauser, A.; Dietl, K.H.; Paetzel, C.; Szczypien, N.; Klawonn, F.; Bodmann, K.-F.; von Meyer, A. SARS-CoV-2 antibodies in ICU and clinic staff: From Germany’s region with the highest infection rate. Med. Klin. Intensivmed. Notf. 2020, 115, 139–145. [Google Scholar] [CrossRef]
- Rudberg, A.S.; Havervall, S.; Månberg, A.; Jernbom Falk, A.; Aguilera, K.; Ng, H.; Gabrielsson, L.; Salomonsson, A.C.; Hanke, L.; Murrell, B.; et al. SARS-CoV-2 exposure, symptoms and seroprevalence in healthcare workers in Sweden. Nat. Commun. 2020, 11, 1–8. [Google Scholar] [CrossRef]
- Brehm, T.T.; Schwinge, D.; Lampalzer, S.; Schlicker, V.; Küchen, J.; Thompson, M.; Ullrich, F.; Huber, S.; Schmiedel, S.; Addo, M.M.; et al. Seroprevalence of SARS-CoV-2 antibodies among hospital workers in a German tertiary care center: A sequential follow-up study. Int. J. Hyg. Environ. Health 2021, 232, 113671. [Google Scholar] [CrossRef]
- Milazzo, L.; Lai, A.; Pezzati, L.; Oreni, L.; Bergna, A.; Conti, F.; Meroni, C.; Minisci, D.; Galli, M.; Corbellino, M.; et al. Dynamics of the seroprevalence of SARS-CoV-2 antibodies among healthcare workers at a COVID-19 referral hospital in Milan, Italy. Occup. Environ. Med. 2021, 1–7. [Google Scholar] [CrossRef]
- Galanis, P.; Vraka, I.; Fragkou, D.; Bilali, A.; Kaitelidou, D. Seroprevalence of SARS-CoV-2 antibodies and associated factors in healthcare workers: A systematic review and meta-analysis. J. Hosp. Infect. 2021, 108, 120–134. [Google Scholar] [CrossRef] [PubMed]
- Bar-On, Y.M.; Flamholz, A.; Phillips, R.; Milo, R. Sars-cov-2 (covid-19) by the numbers. eLife 2020, 9, e57309. [Google Scholar] [CrossRef] [PubMed]
- Bourouiba, L. Turbulent Gas Clouds and Respiratory Pathogen Emissions: Potential Implications for Reducing Transmission of COVID-19. JAMA J. Am. Med. Assoc. 2020, 323, 1837–1838. [Google Scholar] [CrossRef] [PubMed]
- Bartoszko, J.J.; Farooqi, M.A.M.; Alhazzani, W.; Loeb, M. Medical masks vs N95 respirators for preventing COVID-19 in healthcare workers: A systematic review and meta-analysis of randomized trials. Influenza Other Respir. Viruses 2020, 14, 365–373. [Google Scholar] [CrossRef]
- Dan, J.M.; Mateus, J.; Kato, Y.; Hastie, K.M.; Yu, E.D.; Faliti, C.E.; Grifoni, A.; Ramirez, S.I.; Haupt, S.; Frazier, A.; et al. Immunological memory to SARS-CoV-2 assessed for up to 8 months after infection. Science 2021, 371, 1–23. [Google Scholar] [CrossRef]
- Walsh, E.E.; Frenck, R.W.; Falsey, A.R.; Kitchin, N.; Absalon, J.; Gurtman, A.; Lockhart, S.; Neuzil, K.; Mulligan, M.J.; Bailey, R.; et al. Safety and Immunogenicity of Two RNA-Based Covid-19 Vaccine Candidates. N. Engl. J. Med. 2020, 1–13. [Google Scholar] [CrossRef] [PubMed]
- Schwarzkopf, S.; Krawczyk, A.; Knop, D.; Klump, H.; Heinold, A.; Heinemann, F.M.; Thümmler, L.; Temme, C.; Breyer, M.; Witzke, O.; et al. Cellular Immunity in COVID-19 Convalescents with PCR-Confirmed Infection but with Undetectable SARS-CoV-2–Specific IgG. Emerg. Infect. Dis. 2021, 27, 122–129. [Google Scholar] [CrossRef]



| High-Risk | Intermediate-Risk | Low-Risk | Overall | |||||
|---|---|---|---|---|---|---|---|---|
| n | % | n | % | n | % | n | % | |
| HCW | 338 | 75% | 78 | 17% | 34 | 8% | 450 | 100% |
| female | 220 | 65% | 49 | 63% | 25 | 74% | 294 | 65% |
| age (±SD) | 36.6 ± 10.7 | 42.6 ± 11.4 | 42.2 ± 13.0 | 38.1 ± 11.3 | ||||
| profession | ||||||||
| nurse | 246 | 73% | 50 | 64% | 0 | 0% | 296 | 66% |
| physician | 84 | 25% | 22 | 28% | 9 | 26% | 115 | 26% |
| lab assistant | 0 | 0% | 0 | 0% | 20 | 59% | 20 | 4% |
| other | 8 | 2% | 6 | 8% | 5 | 15% | 19 | 4% |
| Symptoms | Healthcare Workes | |||||
|---|---|---|---|---|---|---|
| Positive (n, %) | Negative (n, %) | Unknown (n, %) | ||||
| headache | 9 | (47%) | 8 | (42%) | 2 | (11%) |
| general malaise | 8 | (42%) | 9 | (47%) | 2 | (11%) |
| anosmia | 7 | (37%) | 10 | (53%) | 2 | (11%) |
| rhinitis | 7 | (37%) | 10 | (53%) | 2 | (11%) |
| cough | 6 | (32%) | 11 | (58%) | 2 | (11%) |
| fever | 5 | (26%) | 12 | (63%) | 2 | (11%) |
| sore throat | 5 | (26%) | 12 | (63%) | 2 | (11%) |
| dyspnoea | 3 | (16%) | 14 | (74%) | 2 | (11%) |
| asymptomatic | 4 | (21%) | 13 | (68%) | 2 | (11%) |
| hospitalization | 0 | (0%) | 17 | (89%) | 2 | (11%) |
Publisher’s Note: MDPI stays neutral with regard to jurisdictional claims in published maps and institutional affiliations. |
© 2021 by the authors. Licensee MDPI, Basel, Switzerland. This article is an open access article distributed under the terms and conditions of the Creative Commons Attribution (CC BY) license (https://creativecommons.org/licenses/by/4.0/).
Share and Cite
Korth, J.; Wilde, B.; Dolff, S.; Frisch, J.; Jahn, M.; Krawczyk, A.; Trilling, M.; Schipper, L.; Cordes, S.; Ross, B.; et al. SARS-CoV-2 Seroprevalence in Healthcare Workers in Germany: A Follow-Up Study. Int. J. Environ. Res. Public Health 2021, 18, 4540. https://doi.org/10.3390/ijerph18094540
Korth J, Wilde B, Dolff S, Frisch J, Jahn M, Krawczyk A, Trilling M, Schipper L, Cordes S, Ross B, et al. SARS-CoV-2 Seroprevalence in Healthcare Workers in Germany: A Follow-Up Study. International Journal of Environmental Research and Public Health. 2021; 18(9):4540. https://doi.org/10.3390/ijerph18094540
Chicago/Turabian StyleKorth, Johannes, Benjamin Wilde, Sebastian Dolff, Jasmin Frisch, Michael Jahn, Adalbert Krawczyk, Mirko Trilling, Leonie Schipper, Sebastian Cordes, Birgit Ross, and et al. 2021. "SARS-CoV-2 Seroprevalence in Healthcare Workers in Germany: A Follow-Up Study" International Journal of Environmental Research and Public Health 18, no. 9: 4540. https://doi.org/10.3390/ijerph18094540
APA StyleKorth, J., Wilde, B., Dolff, S., Frisch, J., Jahn, M., Krawczyk, A., Trilling, M., Schipper, L., Cordes, S., Ross, B., Lindemann, M., Kribben, A., Dittmer, U., Witzke, O., Herrmann, A., & Anastasiou, O. E. (2021). SARS-CoV-2 Seroprevalence in Healthcare Workers in Germany: A Follow-Up Study. International Journal of Environmental Research and Public Health, 18(9), 4540. https://doi.org/10.3390/ijerph18094540

