Abstract
The aims of this study were to describe patterns of active commuting to school (ACS) of preschool children, and to analyse the relationship between ACS and family socio-economic factors. A total of 2636 families of preschoolers (3-to-5 years old) were asked to complete a questionnaire at home about the mode of commuting to school of their children and marital status, educational level, and profession of both father and mother. Chi-square analyses were applied to compare ACS between school grades and gender of the children. To analyse the association of ACS with socio-economic factors, logistic regression analyses were performed. Almost 50% of participants reported ACS of their offspring, with a higher rate in 3rd preprimary grade (5 years old) than in 1st and 2nd preprimary grades (3- and 4-years old. All, p < 0.05). Those preschool children who had parents with lower educational level and no managerial work had higher odds to ACS than those who had parents with higher educational level and managerial work (all, p ≤ 0.001). Around half of the Spanish preschool children included in this study commuted actively to school and families with lower educational levels or worse employment situation were related to active commuting to school.
1. Introduction
Physical activity in preschool children has shown positive health benefits such as better physical fitness, psychosocial health, cardiometabolic health, and bone and skeletal health [1,2]. Additionally, physical activity in these early ages has been associated with developmental benefits such as improved motor and cognitive development [1]. However, the prevalence of children under 6 years old who meet physical activity recommendations is low. For instance, a study in the United Kingdom reported that around 90% of the children aged 2 to 4 years old did not reach the 180 min of daily physical activity recommended by the guidelines of this country [3]. In other study developed in the Czech Republic with children aged 4 to 7 years old, around 50% of the participant did not meet the 11,500 steps count per day recommended [4]. In Spain, around a 30% of the children aged 2 to 8 years old did not meet the European physical activity recommendations (60 min of daily moderate to vigorous physical activity) [5]. However, guidelines usually did not include information about two important movement behaviours: sleep and light physical activity [6]. A novel framework to optimize health of preschool children suggests understanding the movement behaviour as a continuum in a 24 h period, in which this continuum is composed of physical activity time, sedentary behaviours, and sleep. Despite the need for targeting in all the components to obtain the greater benefit, reallocating sedentary behaviours into light physical activity might provide positive health benefits [6].
Active commuting to school is considered as a source of light and/or moderate physical activity for preschool children. This behaviour, which is defined as the use of body movement for commuting purposes (mainly walking and cycling) to cover the route between home and school, has been widely studied in children and adolescents. This daily behaviour has shown several benefits, among others it has been reported an increase in physical activity [7], better cardiorespiratory fitness when cycling [8,9], and better academic skills [10]. In Spain, around 50–60% of the children and adolescents reported active commuting to school [11,12,13]. Regarding the preschool children population, there is a low number of studies reporting the mode of commuting. Around 60% of Canadian preschool children commuted actively to school (i.e., 56% walking, 2% cycling, and 2% used a scooter), while a 1.7% used strollers or wagon and 0.4% used bike seat [14]. In some Europe countries, between 6 and 40% of preschool children (i.e., aged 2 to 6 years old) commuted actively to school, such as Italy, Estonia, Cyprus, Belgium, Sweden, Germany, and Hungary, while in others such as Spain, reported an active commuting to school in the 54% of the preschool children aged 2 to 6 years old [15]. A recent project focused on Spanish preschool children aged 4 to 6 years old showed that 46% of the children commuted actively to school, and 48% commuted actively from school [16,17]. However, these studies are not geographically distributed across Spain.
Several key factors affecting active commuting to school behaviour have been documented for children and adolescents, where distance [18,19], built environment [20,21], barriers perceived by parents [12,22], and socio-economic factors [21,23] are the most relevant. Previous studies revealed the importance of the built environment, where several factors could affect the home-to-school daily trips [24], and the walkable distance (i.e., the distance that student accept to commute on foot to school) is highlighted to ensure the effectiveness of the researches [19]. Additionally, the parental negative concerns about built environment and safety act as potential barriers for active commuting to school behaviour [25,26]. Regarding family socio-economic factors, a previous study focused in Spanish children aged 6–12 years old, concluded that families with both parents in an unemployment situation was associated with active commuting to school of their children [23]. In another study with Canadian children (aged 6–11 years old), families with parents working longer time are associated with less active commuting to school of their children [27]. Concerning parental education, a recent systematic review focused on North American children showed that a higher educational level of the parents is associated with passive commuting behaviours [28]. Previous studies have found that families with social disadvantages and low or medium-low socioeconomic levels are associated with active commuting to school of their preschool children [14,16]. However, this information is limited for preschool children, although the findings are in the same direction as findings reported in older children.
Therefore, active commuting to school behaviour might be a new venue to reallocate sedentary time (i.e., passive commuting to school) into a light and/or moderate physical activity (i.e., active commuting to school) for preschool children. However, understanding which family socio-economic factors are the most relevant to determine this behaviour will be essential to encourage active commuting to school in preschool children through appropriate promotion programs focused on families. Therefore, the aims of this study were to describe the patterns of the mode of commuting to school of preschool children, to examine the relationship between age and gender with active commuting to school among preschool children, and to analyse the relationship between this behaviour and family socio-economic factors.
2. Materials and Methods
2.1. Study Design and Participants
The current cross-sectional study is part of the multicentre project PREFIT (Assessing FITness in PREschoolers, http://profith.ugr.es/prefit, accessed on 20 October 2021), which is mainly focused on the assessment of anthropometry and physical fitness in preschool children. The PREFIT project is geographically distributed across 10 different Spain cities: Almería, Cádiz, Castellón, Cuenca, Granada, Las Palmas de Gran Canaria, Madrid, Palma, Zaragoza, and Vitoria-Gasteiz [29,30,31]. In this framework, a convenience sample of 4338 families of preschool children aged between 3 and 5 years old were invited to participate in the study. To be included in the present study, participants have to meet the following inclusion criteria: (a) to have children aged 3 to 5 years old, (b) to have complete data on family socio-economic data (i.e., marital status, educational level, and profession), (c) to have complete data on active commuting to school variables (i.e., mode of commuting and time for commuting), and (d) not to report a combined mode for commuting to school.
The data collection was conducted from January 2014 to November 2015. After received the written informed consent from the parents, they were instructed to complete an ad hoc questionnaire. Each participant (i.e., parent, mother or parental guardian) fulfilled the questionnaire at home, being returned to the research team within the next 10 days. The questionnaire consists of questions about the mode of commuting to school of the children, time for commuting to school, and marital status, educational level, and profession of both father and mother. Data about age, gender, and grade (i.e., 1st grade, 2nd grade, and 3rd grade of the second cycle in the pre-primary education, corresponding to 3, 4 and 5 years old) of the preschool children were registered in school settings.
Written informed consent was required to one parent or legal guardian to be involved in the study. The study protocol was performed meeting the ethical standards (Declaration of Helsinki revised in 2013) and the Review Committee for Research Involving Human Subjects of the University of Granada approved it (Case no. 845).
2.2. Measurements
2.2.1. Commuting to School
Mode of commuting to school of the preschool children was assessed with the question, “How do you take your child to school?” The response options were: walking with my child, walking with my child in a baby car, by bike with a baby chair, by car, by bus/train, by motorbike, and others (where the mode was required). The mode of commuting to school of the preschool children was categorized as children and adult active (i.e., walking with my child), children and adult passive (i.e., by car, by bus/train, and by motorbike), and children passive and adult active (i.e., walking with my child in baby car and by bike with baby chair).
Additionally, for the main analyses the variable active commuting was computed, where the response option walking with my child was categorized as active commuting to school and walking with my child in baby car, by bike with baby chair, by car, by bus/train, and by motorbike response options were categorized as passive commuting to school. For both variables created (i.e., mode of commuting and active commuting), the response option others was included in the appropriate category, as long as they specified the mode used, but if not this response was excluded from the analysis. Moreover, those responses in which participants selected one active mode and one passive mode (i.e., a combined mode of commuting) were also omitted due to the impossibility to classify them as active or passive commuting to school.
Regarding the commuting time, participants self-report the time spent in commuting to school with the question “How long do you take from home to school?” The response options were less than 10 min, 10–15 min, 16–20 min, 21–30 min, and more than 30 min. The response options were categorized as ≤15 min (i.e., less than 10 min and 10–15 min) and >15 min (i.e., 16–20 min, 21–30 min, and more than 30 min).
2.2.2. Family Socio-Economic Factors
Marital status was self-reported by the parents with the question “What is your current marital status?” The response options were: single, married, divorced, and widowed. The marital status was finally categorized as single (i.e., single, divorced, or widowed) or married (i.e., married).
Both parents were separately asked to self-report their highest educational level achieved, with the question “What is the father/mother’s highest educational level achieved?” The response options were: no studies, primary degree, secondary degree, bachelor, professional training, and university degree. A four-category variable was computed for each parent: no studies, primary, secondary/bachelor/professional training, and university.
The current occupation of both parents was self-reported from a list of 13 occupations, which was adapted from the Spanish National Health survey 2006 [32]. The response options were categorized in the managerial, skilled worker, and unskilled worker/unemployed.
2.3. Statistical Analyses
Descriptive statistics were used to analyse the characteristics of preschool children, mode and time for commuting to school, and family socio-economic factors of the preschool children. Frequencies were used for categorical variables, while the mean and standard deviation was used for continuous variables. Additionally, in order to analyse differences in age, gender, grade, and socio-economic factors between active and passive commuting to school, chi-square analyses for categorical variables and Student-T test for continuous variables were used. Finally, the chi-square test was used to assess the association between active commuting to school and age and gender of the preschool children.
In order to analyse the association of active commuting to school with personal data and socio-economic factors, logistic regression models were estimated in which active commuting to school was included as the dependent variable and age, gender, grade, commuting time, and socio-economic factors were included as independent variables in separate models. Age, gender, and commuting time were used as confounders. Interaction of age and gender with socio-economic factors were analysed. Additionally, due to the hierarchical nature of the data (children nested in schools nested in cities), a multilevel logistic regression model was estimated. However, in the school and city levels of the multilevel logistic regression model, the explanation of the unexplained variance was low and the Wald test was p > 0.05. Therefore, only logistic regression analyses were conducted for this study.
All analyses were conducted using IBM SPSS Statistics for Windows version 22.0 (IBM Corp, Armonk, NY, USA). The level of significance was set at p < 0.05.
3. Results
From of 4338 families of preschool children aged between 3 and 5 years old invited to participate in the study, 1140 parents declined to enroll their children in the study, with an additional 19 parents providing incomplete survey responses. A sample of 3179 participants was enrolled in the PREFIT project. From the total of 3179 participants, 16 participants were excluded because their children have equal or more than 6 years, 479 participants were excluded due to incomplete data on socio-economic data, 22 participants were excluded due to incomplete data on active commuting to school variables, and 26 participants were excluded because they reported a combined mode of commuting to school. Therefore, the final sample size was 2636 parents of preschool children aged between 3 and 5 years old (see Figure 1).
Figure 1.
Flowchart of the study sample.
Descriptive characteristics of the preschool children and family socio-economic factors, depicted by active and passive commuting to school, are shown in Table 1. Preschool children mean age was 4.57 ± 0.87 years old, being girls almost the half of the sample (47.2%), and distributed equally along with school grades (29.7%, 34.8%, and 35.5% for 1st, 2nd, and 3rd grades respectively).
Table 1.
Descriptive characteristics of preschool children and socio-economic variables, split by active commuting status.
Regarding the mode of commuting to school of their preschool children (see Figure 2a), the modes more prevalent were walking to school with their child (1258 parents) and the use of a car (1072 parents), followed by the use of public transport as bus or train (175 parents). Modes of commuting to school less prevalent were walking to school with their child in a baby car, to bike with a baby chair, motorbike, and others (54, 33, 1, and 43 parents respectively). Analysing the response option others, the use of bikes carried out by children and scooter were usual (27 and 15 parents respectively). Therefore, parents and preschool children shared active or passive modes of commuting (96.7%; see Figure 2b), while responses of passive children with active parents were rare (3.3%).
Figure 2.
Prevalence (%) of the mode of commuting to school by response option (plot a) and by active and passive commuting (plot b). n = 2636 participants.
Significant differences between preschool children who commute actively and passively to school were found in the commuting time (see Table 1), being more reported to use ≤15 min by those who commute actively (p < 0.001). Regarding family socio-economic factors, no associations were found for marital status (p > 0.05), while the lower educational level of the parents and unskilled work or unemployment were more reported by those parents of children who commute actively (all, p < 0.001).
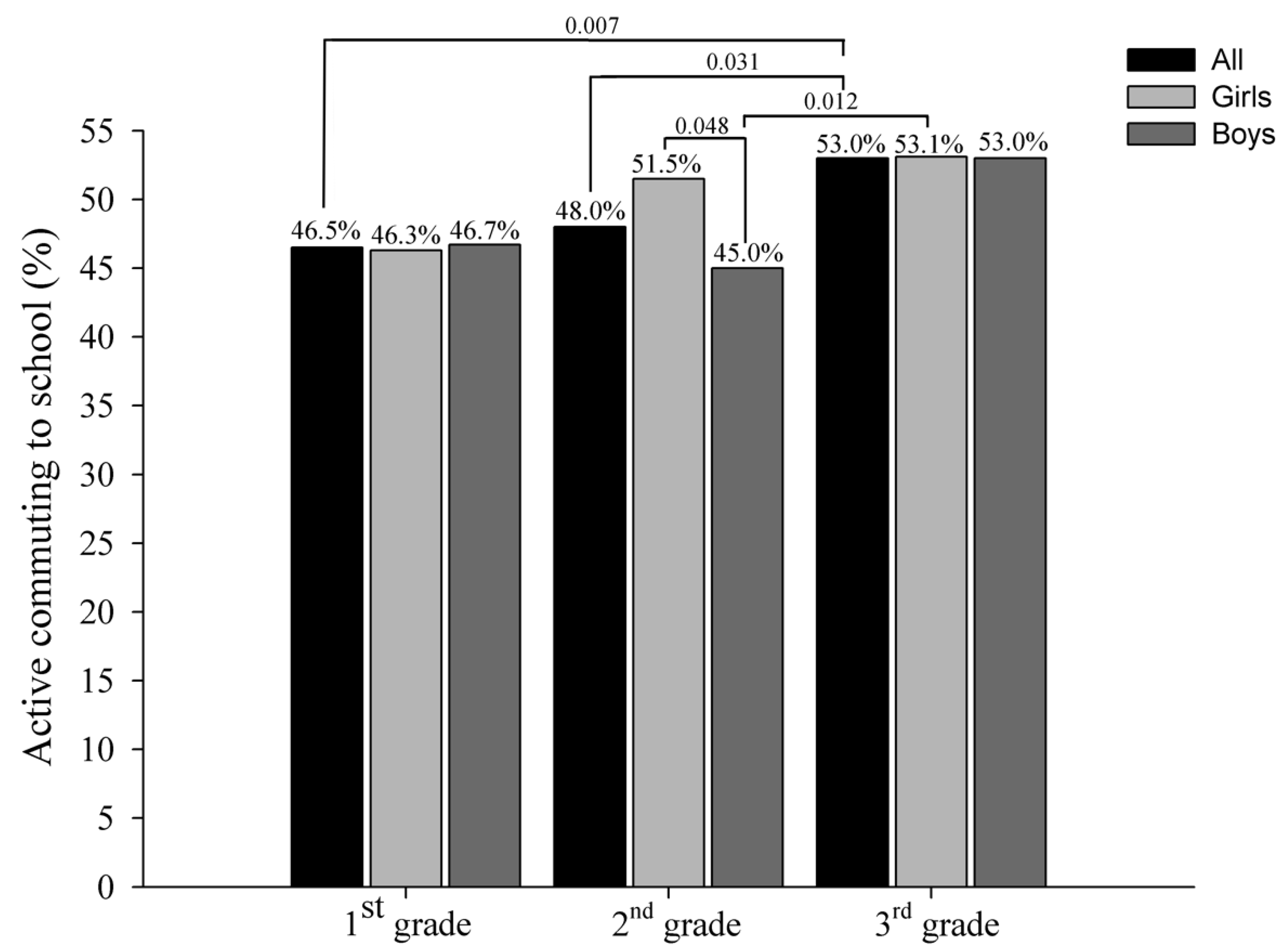
Differences in active commuting to school between school grade and by gender are shown in Figure 3. Significant differences were found between 1st grade and 2nd grade with 3rd grade (all, p < 0.05), being more active the older preschool children. Analysing these results separated by gender, only a significant difference between 2nd grade with 3rd grade was found in boys (p < 0.05), although borderline differences were found between 1st grade with 3rd grade for both girls and boys (p = 0.053 and p = 0.058 respectively). Finally, examining the gender differences in each school grade, only a significant difference between girls and boys was found in 2nd grade (p < 0.05), being more active in the girls.
Figure 3.
Active commuting to school by pre-primary education grade and gender.
Associations between active commuting to school with age, gender, and grade of the preschool children and socio-economic factors of the family are shown in Table 2. Those preschool children who were older had higher odds to active commuting to school than their younger counterparts (OR = 1.213, p < 0.001), and those who commuted ≤15 min were three times more active commuting to school than those who commuted >15 min (OR = 3.156, p < 0.001). Regarding educational level, those preschool children who had parents with Primary or Secondary, Bachelor, or Professional training had higher odds of active commuting to school than those preschool children who had parents with University degree (OR between 1.345 and 2.487; all, p ≤ 0.001). Finally, those preschool children who had fathers who were skilled or unskilled workers/unemployed had higher odds of active commuting to school than those preschool children who had fathers with a managerial work (OR = 1.472 and 2.389 respectively, all p < 0.01). Those preschool children who had mothers who were unskilled workers/unemployed were around twice more active commuters to school than those preschool children who had mothers with a managerial work (OR = 2.192, p < 0.001). No interactions of age and gender with socio-economic variables were found (p > 0.05).
Table 2.
Associations between active commuting to school and socio-economic factors.
4. Discussion
The description of the mode of commuting to school of this sample of Spanish preschool children and its relationship with family socio-economic factors were analysed in this study. Overall, almost half of the included participants reported an active mode of commuting to school of their offspring, being more active the older preschool children. Moreover, active commuting to school in preschool children has been associated with less commuting time, and lower educational level and no managerial work of their parents.
In the current study, around 50% of the parents of preschool children aged between 3 and 5 years old reported an active mode of commuting to school, mainly walking. This rate of active commuting to school is lower compared with the 60% of Canadians preschool children who commuted actively [14], but higher than 20% of the preschool children (aged 3–6 years old) from China [33], the 28% from Brazilian children aged 3–5 years old [34], or the 6–40% of the preschool children (aged 2 to <6 years old) from other European countries [15]. On the other hand, the current results are similar to most of the previously reported findings in other Spanish cohorts of preschool children (aged 2–7 years old), which ranged between 46–54% [15,16,17]; although our results are lower than the 78% of active commuters reported by Terrón-Perez et al. in preschool children aged 3–5 years old [35]. The differences in the prevalence of Spanish preschool children who commute actively among studies could be affected by the differences in the sample sizes and geographical location. Moreover, these results found in Spanish preschool children, compared with the other countries, could be affected by the urban distribution of schools in each neighborhood, reducing the distances between home and schools. Findings of the current study support that living closer to the school is associated with active commuting to school. These results are in line with the previous findings in preschool [34,35] and school aged-children [28,36]. Therefore, to ensure the success of the promotion programs focused on active commuting to school among preschool children, parents should be encouraged to choose a school close to their home.
In the relationship between age and gender with active commuting to school among preschool children, our results showed that older preschool children are more active commuter to school than their younger counterparts; while, overall, no gender differences were found in this population (except in 2nd grade). Despite active commuting to school differences by age have been reported previously in school age-children [11,28], no studies were found focused on preschool children. Parents are who decide the mode of commuting in these ages, and a greater parental barrier perception has been associated with less active commuting to school [35]. Therefore, a greater perception of barriers to commute actively to school could be perceived by parents of preschool children. Additionally, the lack of gender differences found in our study is in agreement with a previous study in which they did not find a relationship between gender and walking to school [37]. A recent systematic review focused on school age-children, active commuting to school showed a weak association between active commuting to school and gender [28]. Thus, social stereotypes and constructs of the “female weakness” in children seem not to be still influencing this behavior at these early ages [38,39]. Hence, in the promotion of active commuting to school in preschool children, it seems that the age might more determinant than the gender.
In the relationship between the active commuting to school with family socio-economic factors, this study showed that active commuting to school in preschool children is higher in lower educational levels and with no managerial work of both father and mother. The current results are in line with previous studies focused on preschool children, which showed an increase of active commuting to school in lower parents’ educational level [34,37]. However, no studies have been found to compare the current results of the parental profession in preschool children. Rodriguez-López et al. [23] found that those school-age children with unemployed mothers were more likely to commute actively to school, and Brophy et al. [37] found in preschool children a relationship between active commuting to school and family income. Thus, previous findings seem to agree with the recent results. The family is a key factor in the mode of commuting of their younger members, and a less favorable family situation (i.e., lower educational level or worse employment situation) contributes to a more active commuting to school. In this sense, it could be hypothesized that the lack of economic resources in these families might avoid the use of motorized modes of transport, and more “free time” due to unemployment situations might facilitate the active commuting to school. Following the socioecological framework [40], when policy programs or educational promotion projects are developed to encourage active commuting to school behaviors, they should take into account at the interpersonal level that families with a more favorable situation (i.e., higher educational level or better employment situation) could be the population in which more effects might have the intervention.
Active commuting to school strategies for preschool children population should be encouraged from the personal level up to the policy level [41]. Taking into account the importance of the age in this behavior (located on the personal level), the educational initiatives should be focused at the interpersonal level, specifically, in the families. A single-level intervention to promote active commuting to school in preschool children might be insufficient to achieve a behavior change due to the complexity of the behavior [41]. Thus, as a first step, it might be important for parents to be aware of the benefits of the active commuting to school behavior in preschool children, such as its association with better body composition or a better physical fitness level because of the increase of a daily step count [42,43], and its influence in the health later in live [44]. After this parental sensibilization, educational strategies for preschool children and their parents throught intervention programs in the community, built environment modifications, and policy measure at school level might be introduced.
This study has several limitations and strengths. The sample recruitment could not guarantee representativeness for the country (but geographically distributed). On the other hand, the mode of commuting of preschool children was not assessed objectively, being a potential bias. Additionally, a significant number of potential participants (n = 1140 parents, 26% of the parent invited to participate) were missing due to refusal to enroll in this study. The lack of information about the characteristics of these parents do not allow us to explain the possible refusal reason. In other way, 479 parents (11% of the parent invited to participate) do not report socioeconomic data, being a possible reason the feeling to share personal information not necessary for the study. These unexplained drop out are a potential bias that suggest to generalize the findings with caution. However, the large sample size and its distribution around the country ensure the limitation of the effect of the local context-related characteristics. Moreover, the active commuting to school behavior has been widely studied in children and adolescents, but not in preschool children.
5. Conclusions
This study suggests that around half of the analyzed Spanish preschool children commuted actively to school, being the age related with this healthy behavior. Also, parental educational and employment status appears as a key factor to understand active commuting to school of their preschool children in Spain. These relationships should be tested in other context and countries to stablish a clear knowledge about active commuting to school in this age group. Moreover, researchers, school staffs, or public policies which aimed to develop multilevel strategies to promote active commuting to school behavior, should consider these results when educational programs are developed for families.
Author Contributions
Conceptualization, M.H.-C. and P.C.; methodology, I.L., V.M.-V. and P.C.; formal analysis, M.H.-C.; investigation, M.H.-C., C.C.-S., A.M.-M., D.M.-U., G.L.-B., P.J.B., M.A.R.-P., Á.D.-A. and J.S.-M.; resources, I.L., A.M.-M., D.M.-U., G.L.-B., P.J.B., M.A.R.-P., Á.D.-A. and J.S.-M.; data curation, C.C.-S. and V.M.-V.; writing—original draft preparation, M.H.-C., C.C.-S. and P.C.; writing—review and editing, M.H.-C., C.C.-S., I.L., A.M.-M., D.M.-U., G.L.-B., P.J.B., M.A.R.-P., Á.D.-A., J.S.-M., V.M.-V. and P.C.; visualization, I.L., V.M.-V. and P.C.; supervision, P.C.; project administration, C.C.-S.; funding acquisition, C.C.-S., I.L., V.M.-V. and P.C. All authors have read and agreed to the published version of the manuscript.
Funding
This study was supported by the Spanish Ministry of Economy, Industry and Competitiveness and the European Regional Development Fund (DEP2016-75598-R, MINECO/FEDER, UE). Additionally, this study takes place thanks to funding from the University of Granada, Plan Propio de Investigación 2016, Excellence actions: Units of Excellence; Unit of Excellence on Exercise and Health (UCEES), and by the Junta de Andalucía, Consejería de Conocimiento, Investigación y Universidades and European Regional Development Fund (ERDF: ref SOMM17/6107/UGR). CC-S is supported by the Spanish Ministry of Science and Innovation (FJC2018-037925-I).
Institutional Review Board Statement
Written informed consent was required to one parent or legal guardian to be in-volved in the study. The study protocol was performed meeting the ethical standards (Declaration of Helsinki revised in 2013) and the Review Committee for Research In-volving Human Subjects of the University of Granada approved it (Case No. 845).
Informed Consent Statement
Informed consent was obtained from all subjects involved in the study.
Acknowledgments
We acknowledge the implication of schools and families, which make possible this study. Additionally, we thank all the research team of the PREFIT Project involved in the sample recruitment and data collection: Francisco B Ortega, Cristina Cadenas-Sanchez, Jonatan R Ruiz, Guillermo Sánchez-Delgado, Borja Martínez-Téllez, and José Mora-González (PREFIT-Granada, University of Granada, Core center); Enrique G. Artero, Manuel A. Rodríguez Pérez, Cristina Arjona Hernández, Josefa Belmonte Martínez, Kevin Galera Palenzuela, Romina Gisele Saucedo, Pedro José González Matarín, Javier Heredia Rojo, Pablo Plazas Benítez, Guillermo José Sánchez Carreño, and José María García Martínez (PREFIT-Almería, University of Almería); José Castro-Piñero, David Jiménez Pavón, Vanesa España Romero, José Luis González Montesinos, Carmen Padilla Moledo, Julio Conde de Caveda, Magdalena Cuenca García, Jesús Gustavo Ponce González, Ana Carbonell Baeza, Jorge del Rosario Fernández Santos, Alberto Grao Cruces, Víctor Segura Jiménez, Daniel Camiletti Moirón, Inmaculada Álvarez Gallardo, and Alejandro Pérez Perez (PREFIT-Cádiz, University of Cádiz); 1. Pedro J. Benito, Ana Belén Peinado Lozano, Rocio Cupeiro Coto, Miguel Ángel Rojo Tirado, and Javier Butragueño Revenga (PREFIT-Madrid, Technical University of Madrid); Mairena Sánchez-López, Vicente Martínez-Vizcaíno, Celia Álvarez-Bueno, Natalia Arias-Palencia, Jorge Cañete García-Prieto, and Coral Torrijos-Niño (PREFIT-Cuenca, University of Castilla-La Mancha); Diego Moliner-Urdiales, María Reyes Beltrán-Valls, and Oscar Chiva-Bartoll (PREFIT-Castellón, University Jaume I); Josep Vidal-Conti, Pere Palou, Pere A. Borrás, Jaume Cantallops, and Adrian Muntaner Más (PREFIT-Mallorca, University of the Balearic Islands); Idoia Labayen, Natalia García Corada, Pablo Corres Benito, María Amasene Ugalde, and Sara Maldonado Martín (PREFIT-Vitoria, University of Basque Country); Joaquín Sanchís-Moysi and Cecilia Dorado García (PREFIT-Canarias, Biomedic and Sanitary Research Institute, University of Las Palmas de Gran Canaria); German Vicente-Rodríguez, Jose Antonio Casajús Mallén, Luis Alberto Moreno Aznar, Jorge Marín Puyalto, Gabriel Lozano Berges, Borja Muñiz Pardos, Ángel Matute Llorente, Alejandro Gómez Brutón, Cristina Julián Almárcegui, and Elena Pardos Mainer (PREFIT-Zaragoza, University of Zaragoza).
Conflicts of Interest
The authors declare no conflict of interest.
References
- Carson, V.; Lee, E.Y.; Hewitt, L.; Jennings, C.; Hunter, S.; Kuzik, N.; Stearns, J.A.; Unrau, S.P.; Poitras, V.J.; Gray, C.; et al. Systematic review of the relationships between physical activity and health indicators in the early years (0–4 years). BMC Public Health 2017, 17, 33–63. [Google Scholar]
- Kuzik, N.; Poitras, V.J.; Tremblay, M.S.; Lee, E.Y.; Hunter, S.; Carson, V. Systematic review of the relationships between combinations of movement behaviours and health indicators in the early years (0–4 years). BMC Public Health 2017, 17, 109–122. [Google Scholar] [CrossRef] [PubMed] [Green Version]
- Tinner, L.; Kipping, R.; White, J.; Jago, R.; Metcalfe, C.; Hollingworth, W. Cross-sectional analysis of physical activity in 2–4-year-olds in England with paediatric quality of life and family expenditure on physical activity. BMC Public Health 2019, 19, 846. [Google Scholar] [CrossRef] [PubMed]
- Sigmundová, D.; Sigmund, E.; Badura, P.; Vokáčová, J.; Trhlíková, L.; Bucksch, J. Weekday-weekend patterns of physical activity and screen time in parents and their pre-schoolers. BMC Public Health 2016, 16, 898. [Google Scholar] [CrossRef] [PubMed] [Green Version]
- Gutierrez-Hervas, A.; Cortés-Castell, E.; Juste-Ruíz, M.; Rizo-Baeza, M. ¿Qué variables influyen en el cumplimiento de las recomendaciones de actividad física en preescolares? An. Pediatría 2020, 92, 156–164. [Google Scholar] [CrossRef] [PubMed]
- Chaput, J.P.; Carson, V.; Gray, C.E.; Tremblay, M.S. Importance of all movement behaviors in a 24 h period for overall health. Int. J. Environ. Res. Public Health 2014, 11, 12575–12581. [Google Scholar] [CrossRef] [PubMed]
- Chillón, P.; Herrador-Colmenero, M.; Migueles, J.H.; Cabanas-Sánchez, V.; Fernández-Santos, J.R.; Veiga, Ó.L.; Castro-Piñero, J.; Marcos, A.; Bandrés, F.; Martínez-Gómez, D.; et al. Convergent validation of a questionnaire to assess the mode and frequency of commuting to and from school. Scand. J. Public Health 2017, 45, 612–620. [Google Scholar] [CrossRef] [PubMed]
- Chillón, P.; Ortega, F.B.; Ruiz, J.R.; Evenson, K.R.; Labayen, I.; Martínez-Vizcaino, V.; Hurtig-Wennlöf, A.; Veidebaum, T.; Sjöström, M. Bicycling to school is associated with improvements in physical fitness over a 6-year follow-up period in Swedish children. Prev. Med. 2012, 55, 108–112. [Google Scholar] [CrossRef] [PubMed]
- Ostergaard, L.; Kolle, E.; Steene-Johannessen, J.; Anderssen, S.A.; Andersen, L.B. Cross sectional analysis of the association between mode of school transportation and physical fitness in children and adolescents. Int. J. Behav. Nutr. Phys. Act. 2013, 10, 91. [Google Scholar] [CrossRef] [PubMed] [Green Version]
- Haapala, E.A.; Poikkeus, A.-M.; Kukkonen-Harjula, K.; Tompuri, T.; Lintu, N.; Väistö, J.; Leppänen, P.H.T.; Laaksonen, D.E.; Lindi, V.; Lakka, T. Associations of Physical Activity and Sedentary Behavior with Academic Skills—A Follow-up Study among Primary School Children. PLoS ONE 2014, 9, e107031. [Google Scholar] [CrossRef] [PubMed]
- Herrador-Colmenero, M.; Villa-González, E.; Chillón, P. Children who commute to school unaccompanied have greater autonomy and perceptions of safety. Acta Paediatr. Int. J. Paediatr. 2017, 106, 2042–2047. [Google Scholar] [CrossRef] [PubMed]
- Huertas-Delgado, F.J.; Herrador-Colmenero, M.; Villa-González, E.; Aranda-Balboa, M.J.; Cáceres, M.V.; Mandic, S.; Chillón, P. Parental perceptions of barriers to active commuting to school in Spanish children and adolescents. Eur. J. Public Health 2017, 27, 416–421. [Google Scholar]
- Mora-Gonzalez, J.; Rodríguez-López, C.; Cadenas-Sanchez, C.; Herrador-Colmenero, M.; Esteban-Cornejo, I.; Huertas-Delgado, F.J.; Ardoy, D.N.; Ortega, F.B.; Chillón, P. Active commuting to school was inversely associated with academic achievement in primary but not secondary school students. Acta Paediatr. 2017, 106, 334–340. [Google Scholar] [PubMed]
- Rothman, L.; Macpherson, A.K.; Howard, A.; Parkin, P.C.; Richmond, S.A.; Birken, C.S. Direct observations of active school transportation and stroller use in kindergarten children. Prev. Med. Rep. 2016, 4, 558–562. [Google Scholar] [PubMed] [Green Version]
- Santaliestra-Pasías, A.M.; Mouratidou, T.; Verbestel, V.; Bammann, K.; Molnar, D.; Sieri, S.; Siani, A.; Veidebaum, T.; Mårild, S.; Lissner, L.; et al. Physical activity and sedentary behaviour in European children: The IDEFICS study. Public Health Nutr. 2014, 17, 2295–2306. [Google Scholar] [PubMed]
- Ruiz-Hermosa, A.; Martínez-Vizcaíno, V.; Solera-Martínez, M.; Andrés, M.M.; García-Prieto, J.C.; Sánchez-López, M. Individual and social factors associated with active commuting to school in 4–6 years old Spanish children. Int. J. Environ. Health Res. 2019, 7, 1–11. [Google Scholar]
- Ruiz-Hermosa, A.; Martínez-Vizcaíno, V.; Alvarez-Bueno, C.; García-Prieto, J.; Pardo-Guijarro, M.; Sánchez-López, M. No Association between Active Commuting to School, Adiposity, Fitness, and Cognition in Spanish Children: The MOVI-KIDS Study. J. Sch. Health 2018, 88, 839–846. [Google Scholar]
- Chillón, P.; Panter, J.R.; Corder, K.; Jones, A.P.; van Sluijs, E.M.F. A longitudinal study of the distance that young people walk to school. Health Place 2015, 31, 133–137. [Google Scholar] [PubMed]
- Rodríguez-López, C.; Salas-Fariña, Z.M.; Villa-González, E.; Borges-Cosic, M.; Herrador-Colmenero, M.; Medina-Casaubón, J.; Ortega, F.B.; Chillón, P. The Threshold Distance Associated with Walking from Home to School. Health Educ. Behav. 2017, 44, 857–866. [Google Scholar]
- Molina-García, J.; García-Massó, X.; Estevan, I.; Queralt, A. Built Environment, Psychosocial Factors and Active Commuting to School in Adolescents: Clustering a Self-Organizing Map Analysis. Int. J. Environ. Res. Public Health 2018, 16, 83. [Google Scholar] [CrossRef] [Green Version]
- Molina-García, J.; Queralt, A. Neighborhood Built Environment and Socioeconomic Status in Relation to Active Commuting to School in Children. J. Phys. Act. Health 2017, 14, 761–765. [Google Scholar] [CrossRef] [PubMed]
- Huertas-Delgado, F.J.; Chillón, P.; Barranco-Ruiz, Y.; Herrador-Colmenero, M.; Rodríguez-Rodríguez, F.; Villa-González, E. Parental perceived barriers to active commuting to school in Ecuadorian youth. J. Transp. Health 2018, 10, 290–296. [Google Scholar] [CrossRef]
- Rodríguez-López, C.; Villa-González, E.; Pérez-López, I.J.; Delgado-Fernández, M.; Ruiz, J.R.; Chillón, P. Family factors influence active commuting to school in Spanish children. Nutr. Hosp. 2013, 28, 756–763. [Google Scholar]
- Corazza, M.V.; D’Alessandro, D.; Di Mascio, P.; Moretti, L. Methodology and evidence from a case study in Rome to increase pedestrian safety along home-to-school routes. J. Traffic Transp. Eng. (Engl. Ed.) 2020, 7, 715–727. [Google Scholar] [CrossRef]
- Huertas-Delgado, F.J.; Molina-García, J.; Van Dyck, D.; Chillon, P. A questionnaire to assess parental perception of barriers towards active commuting to school (PABACS): Reliability and validity. J. Transp. Health. 2019, 12, 97–104. [Google Scholar]
- Oluyomi, A.O.; Lee, C.; Nehme, E.; Dowdy, D.; Ory, M.G.; Hoelscher, D.M. Parental safety concerns and active school commute: Correlates across multiple domains in the home-to-school journey. Int. J. Behav. Nutr. Phys. Act. 2014, 11, 32. [Google Scholar] [CrossRef] [Green Version]
- Henne, H.M.; Tandon, P.S.; Frank, L.D.; Saelens, B.E. Parental factors in children’s active transport to school. Public Health 2014, 128, 643–646. [Google Scholar] [CrossRef] [Green Version]
- Rothman, L.; Macpherson, A.K.; Ross, T.; Buliung, R.N. The decline in active school transportation (AST): A systematic review of the factors related to AST and changes in school transport over time in North America. Prev. Med. 2018, 111, 314–322. [Google Scholar] [PubMed]
- Cadenas-Sanchez, C.; Intemann, T.; Labayen, I.; Peinado, A.B.; Vidal-Conti, J.; Sanchis-Moysi, J.; Moliner-Urdiales, D.; Rodriguez Perez, M.A.; Cañete Garcia-Prieto, J.; Fernández-Santos, J.D.R.; et al. Physical fitness reference standards for preschool children: The PREFIT project. J. Sci. Med. Sport 2019, 22, 430–437. [Google Scholar] [PubMed] [Green Version]
- Cadenas-Sanchez, C.; Martinez-Tellez, B.; Sanchez-Delgado, G.; Mora-Gonzalez, J.; Castro-Piñero, J.; Löf, M.; Ruiz, J.R.; Ortega, F.B. Assessing physical fitness in preschool children: Feasibility, reliability and practical recommendations for the PREFIT battery. J. Sci. Med. Sport 2016, 19, 910–915. [Google Scholar] [CrossRef]
- Ortega, F.B.; Cadenas-Sánchez, C.; Sánchez-Delgado, G.; Mora-González, J.; Martínez-Téllez, B.; Artero, E.G.; Castro-Piñero, J.; Labayen, I.; Chillón, P.; Löf, M.; et al. Systematic Review and Proposal of a Field-Based Physical Fitness-Test Battery in Preschool Children: The PREFIT Battery. Sport. Med. 2015, 45, 533–555. [Google Scholar]
- Ministerio de Sanidad Política Social e Igualdad Encuesta Nacional de Salud 2006. Cuestionario de Adultos. Available online: https://www.mscbs.gob.es/estadEstudios/estadisticas/encuestaNacional/encuestaNac2006/ENS_06_Adultos_definitivo.pdf (accessed on 20 October 2021).
- Lu, C.; Shen, T.; Huang, G.; Corpeleijn, E. Environmental correlates of sedentary behaviors and physical activity in Chinese preschool children: A cross-sectional study. J. Sport Health Sci. 2020, in press. [Google Scholar] [CrossRef] [PubMed]
- Nunes Melo, E.; Barros, M.; Siqueira Reis, R.; Ferreira Hino, A.A.; Meneses Santos, C.; Farias Junior, J.C. Is the environment near school associated with active commuting to school among preschoolers? Rev. Bras. Cineantropometria Desempenho Hum. 2013, 15, 393–404. [Google Scholar]
- Terrón-Pérez, M.; Molina-García, J.; Martínez-Bello, V.E.; Queralt, A. Active commuting to school among preschool-aged children and its barriers: An exploratory study in collaboration with parents. J. Transp. Health 2018, 8, 244–250. [Google Scholar]
- Jauregui, A.; Soltero, E.; Santos-Luna, R.; Hernández-Barrera, L.; Barquera, S.; Jáuregui, E.; Lévesque, L.; López-Taylor, J.; Ortiz-Hernández, L.; Lee, R. A multisite study of environmental correlates of active commuting to school in Mexican children. J. Phys. Act. Health 2016, 13, 325–332. [Google Scholar] [PubMed]
- Brophy, S.; Cooksey, R.; Lyons, R.A.; Thomas, N.E.; Rodgers, S.E.; Gravenor, M.B. Parental factors associated with walking to school and participation in organised activities at age 5: Analysis of the Millennium Cohort Study. BMC Public Health 2011, 11, 14. [Google Scholar] [CrossRef] [Green Version]
- McMillan, T.; Day, K.; Boarnet, M.; Alfonzo, M.; Anderson, C. Johnny Walks to School—Does Jane? Sex Differences in Children’s Active Travel to School. Child. Youth Environ. 2006, 16, 75–89. [Google Scholar]
- Chalabaeva, A.; Sarrazinb, P.; Fontaynea, P.; Boichéc, J.; Clément-Guillotin, C. The influence of sex stereotypes and gender roles on participation andperformance in sport and exercise: Review and future directions. Psychol. Sport Exerc. 2013, 14, 136–144. [Google Scholar] [CrossRef] [Green Version]
- Sallis, J.F.; Owen, N.; Fisher, E.B. Ecological models of health behavior. In Health Behavior and Health Education: Theory, Research, and Practice; Glanz, K., Rimer, B.K., Viswanath, K., Eds.; Jossey-Bass: San Francisco, CA, USA, 2008; pp. 465–485. [Google Scholar]
- Sallis, J.F. Needs and Challenges Related to Multilevel Interventions: Physical Activity Examples. Health Educ. Behav. 2018, 45, 661–667. [Google Scholar]
- Mendoza, J.A.; Liu, Y. Active Commuting to Elementary School and Adiposity: An Observational Study. Child. Obes. 2014, 10, 34–41. [Google Scholar] [CrossRef] [PubMed] [Green Version]
- Fang, C.; Zhang, J.; Zhou, T.; Li, L.; Lu, Y.; Gao, Z.; Quan, M. Associations between Daily Step Counts and Physical Fitness in Preschool Children. J. Clin. Med. 2020, 9, 163. [Google Scholar] [CrossRef] [PubMed] [Green Version]
- Yang, X.; Telama, R.; Hirvensalo, M.; Tammelin, T.; Viikari, J.S.; Raitakari, O.T. Active commuting from youth to adulthood and as a predictor of physical activity in early midlife: The young Finns study. Prev. Med. 2014, 59, 5–11. [Google Scholar]
Publisher’s Note: MDPI stays neutral with regard to jurisdictional claims in published maps and institutional affiliations. |
© 2021 by the authors. Licensee MDPI, Basel, Switzerland. This article is an open access article distributed under the terms and conditions of the Creative Commons Attribution (CC BY) license (https://creativecommons.org/licenses/by/4.0/).


