Screen Time and Sleep of Rural and Urban South African Preschool Children
Abstract
1. Introduction
2. Materials and Methods
3. Results
3.1. Demographic Characteristics
3.2. Children’s Behaviors and Home Factors
4. Discussion
5. Conclusions
Author Contributions
Funding
Acknowledgments
Conflicts of Interest
References
- Draper, C.E.; Tomaz, S.A.; Biersteker, L.; Cook, C.J.; Couper, J.; De Milander, M.; Flynn, K.; Giese, S.; Krog, S.; Lambert, E.V.; et al. The South African 24-Hour Movement Guidelines for Birth to 5 Years: An Integration of Physical Activity, Sitting Behavior, Screen Time, and Sleep. J. Phys. Act. Health 2020, 17, 109–119. [Google Scholar] [CrossRef]
- Willumsen, J.; Bull, F. Development of WHO Guidelines on Physical Activity, Sedentary Behavior, and Sleep for Children Less Than 5 Years of Age. J. Phys. Act. Health 2020, 17, 96–100. [Google Scholar] [CrossRef]
- American Academy of Pediatrics. Media and Young Minds. Pediatrics 2016, 138, e20162591. [Google Scholar] [CrossRef] [PubMed]
- Hirshkowitz, M.; Whiton, K.; Albert, S.M.; Alessi, C.; Bruni, O.; DonCarlos, L.; Hazen, N.; Herman, J.; Katz, E.S.; Kheirandish-Gozal, L.; et al. National Sleep Foundation’s sleep time duration recommendations: Methodology and results summary. Sleep Health 2015, 1, 40–43. [Google Scholar] [CrossRef] [PubMed]
- Carson, V.; Chaput, J.-P.; Janssen, I.; Tremblay, M.S. Health associations with meeting new 24-hour movement guidelines for Canadian children and youth. Prev. Med. 2017, 95, 7–13. [Google Scholar] [CrossRef] [PubMed]
- Chaput, J.P.; Gray, C.E.; Poitras, V.J.; Carson, V.; Gruber, R.; Birken, C.S.; MacLean, J.E.; Aubert, S.; Sampson, M.; Tremblay, M.S. Systematic review of the relationships between sleep duration and health indicators in the early years (0–4 years). BMC Public Health 2017, 17, 855. [Google Scholar] [CrossRef]
- Xu, H.; Wen, L.M.; Hardy, L.L.; Rissel, C. Associations of outdoor play and screen time with nocturnal sleep duration and pattern among young children. Acta Paediatr. 2016, 105, 297–303. [Google Scholar] [CrossRef]
- Hnatiuk, J.A.; Hesketh, K.R.; Van Sluijs, E.M.F. Correlates of home and neighbourhood-based physical activity in UK 3-4-year-old children. Eur. J. Public Health 2016, 26, 947–953. [Google Scholar] [CrossRef]
- De Jong, E.; Visscher, T.L.S.; HiraSing, R.A.; Heymans, M.W.; Seidell, J.C.; Renders, C. Association between TV viewing, computer use and overweight, determinants and competing activities of screen time in 4- to 13-year-old children. Int. J. Obes. 2011, 37, 47–53. [Google Scholar] [CrossRef]
- Martinez, S.M.; Thompson-Lastad, A. Latino Parents’ Insight on Optimal Sleep for Their Preschool-Age Child: Does Context Matter? Acad. Pediatr. 2015, 15, 636–643. [Google Scholar] [CrossRef]
- Heerman, W.J.; Taylor, J.L.; Wallston, K.A.; Barkin, S.L. Parenting Self-Efficacy, Parent Depression, and Healthy Childhood Behaviors in a Low-Income Minority Population: A Cross-Sectional Analysis. Matern. Child Health J. 2017, 21, 1156–1165. [Google Scholar] [CrossRef] [PubMed]
- Patrick, K.E.; Millet, G.; Mindell, J.A. Sleep Differences by Race in Preschool Children: The Roles of Parenting Behaviors and Socioeconomic Status. Behav. Sleep Med. 2015, 14, 467–479. [Google Scholar] [CrossRef] [PubMed]
- Bathory, E.; Tomopoulos, S. Sleep Regulation, Physiology and Development, Sleep Duration and Patterns, and Sleep Hygiene in Infants, Toddlers, and Preschool-Age Children. Curr. Probl. Pediatr. Adolesc. Health Care 2017, 47, 29–42. [Google Scholar] [CrossRef] [PubMed]
- Jones, S.; Hendricks, S.; Draper, C.E. Assessment of Physical Activity and Sedentary Behavior at Preschools in Cape Town, South Africa. Child. Obes. 2014, 10, 501–510. [Google Scholar] [CrossRef] [PubMed]
- Tomaz, S.A.; Prioreschi, A.; Watson, E.D.; McVeigh, J.A.; Rae, D.E.; Jones, R.A.; Draper, C.E. Body mass index, physical activity, sedentary behavior, sleep and gross motor skill proficiency in preschool children from a low- to middle-income, urban setting. J. Phys. Act. Health 2019, 16, 525–532. [Google Scholar] [CrossRef] [PubMed]
- Draper, C.E.; Tomaz, S.A.; Stone, M.; Hinkley, T.; Jones, R.A.; Louw, J.; Twine, R.; Kahn, K.; Norris, S.A. Developing Intervention Strategies to Optimise Body Composition in Early Childhood in South Africa. BioMed Res. Int. 2017, 2017. [Google Scholar] [CrossRef]
- Richter, L.; Norris, S.; Pettifor, J.M.; Yach, D.; Cameron, N. Cohort Profile: Mandela’s children: The 1990 Birth to Twenty study in South Africa. Int. J. Epidemiol. 2007, 36, 504–511. [Google Scholar] [CrossRef]
- Kahn, K.; Collinson, M.A.; Gómez-Olivé, F.X.; Mokoena, O.; Twine, R.; Mee, P.; Afolabi, S.A.; Clark, B.D.; Kabudula, C.W.; Khosa, A.; et al. Profile: Agincourt Health and Socio-demographic Surveillance System. Int. J. Epidemiol. 2012, 41, 988–1001. [Google Scholar] [CrossRef]
- Hinkley, T.; Salmon, J.; Okely, A.D.; Crawford, D.; Hesketh, K. The HAPPY study: Development and reliability of a parent survey to assess correlates of preschool children’s physical activity. J. Sci. Med. Sport 2012, 15, 407–417. [Google Scholar] [CrossRef]
- Dwyer, G.M.; Hardy, L.L.; Peat, J.K.; Baur, L.A. The validity and reliability of a home environment preschool-age physical activity questionnaire (Pre-PAQ). Int. J. Behav. Nutr. Phys. Act. 2011, 8, 86. [Google Scholar] [CrossRef]
- Hinkley, T.; Salmon, J.; Okely, A.D.; Crawford, D. The correlates of preschoolers’ compliance with screen recommendations exist across multiple domains. Prev. Med. 2013, 57, 212–219. [Google Scholar] [CrossRef] [PubMed]
- World Medical Association Declaration of Helsinki. JAMA 2013, 310, 2191. [CrossRef] [PubMed]
- Tomaz, S.A.; Hinkley, T.; Jones, R.A.; Twine, R.; Kahn, K.; Norris, S.A.; Draper, C.E. Objectively Measured Physical Activity in South African Children Attending Preschool and Grade R: Volume, Patterns, and Meeting Guidelines. Pediatr. Exerc. Sci. 2020, 1–7. [Google Scholar] [CrossRef] [PubMed]
- Asplund, K.M.; Kair, L.R.; Arain, Y.H.; Cervantes, M.; Oreskovic, N.M.; Zuckerman, K.E. Early Childhood Screen Time and Parental Attitudes Toward Child Television Viewing in a Low-Income Latino Population Attending the Special Supplemental Nutrition Program for Women, Infants, and Children. Child. Obes. 2015, 11, 590–599. [Google Scholar] [CrossRef]
- Carson, V.; Kuzik, N. Demographic correlates of screen time and objectively measured sedentary time and physical activity among toddlers: A cross-sectional study. BMC Public Health 2017, 17, 187. [Google Scholar] [CrossRef]
- Cliff, D.; McNeill, J.; Vella, S.A.; Howard, S.J.; Santos, R.; Batterham, M.; Melhuish, E.; Okely, A.D.; De Rosnay, M. Adherence to 24-Hour Movement Guidelines for the Early Years and associations with social-cognitive development among Australian preschool children. BMC Public Health 2017, 17, 857. [Google Scholar] [CrossRef]
- Chaput, J.-P.; Colley, R.C.; Aubert, S.; Carson, V.; Janssen, I.; Roberts, K.C.; Tremblay, M.S. Proportion of preschool-aged children meeting the Canadian 24-Hour Movement Guidelines and associations with adiposity: Results from the Canadian Health Measures Survey. BMC Public Health 2017, 17, 829. [Google Scholar] [CrossRef]
- Gómez-Olivé, X.; Rohr, J.K.; Roden, L.C.; Rae, D.E.; Von Schantz, M. Associations between sleep parameters, non-communicable diseases, HIV status and medications in older, rural South Africans. Sci. Rep. 2018, 8, 17321. [Google Scholar] [CrossRef]
- Rae, D.E.; Pienaar, P.R.; Henst, R.H.; Roden, L.C.; Goedecke, J.H. Associations between long self-reported sleep, obesity and insulin resistance in a cohort of premenopausal Black and White South African women. Sleep Health 2018, 4, 558–564. [Google Scholar] [CrossRef]
- Chaput, J.-P.; Weippert, M.; Leblanc, A.G.; Hjorth, M.F.; Michaelsen, K.F.; Katzmarzyk, P.T.; Tremblay, M.S.; Barreira, T.V.; Broyles, S.T.; Fogelholm, M.; et al. Are Children Like Werewolves? Full Moon and Its Association with Sleep and Activity Behaviors in an International Sample of Children. Front. Pediatr. 2016, 4, 229. [Google Scholar] [CrossRef][Green Version]
- Kimani-Murage, E.W.; Kahn, K.; Pettifor, J.M.; Tollman, S.; Dunger, D.B.; Gómez-Olivé, X.; Norris, S.A. The prevalence of stunting, overweight and obesity, and metabolic disease risk in rural South African children. BMC Public Health 2010, 10, 158. [Google Scholar] [CrossRef] [PubMed]
- Tomaz, S.A.; Okely, A.D.; Van Heerden, A.; Vilakazi, K.; Samuels, M.-L.; Draper, C.E. The South African 24-Hour Movement Guidelines for Birth to 5 Years: Results from the Stakeholder Consultation. J. Phys. Act. Health 2020, 17, 126–137. [Google Scholar] [CrossRef] [PubMed]
- Richter, L.; Chikovore, J.; Makusha, T. The status of fatherhood and fathering in South Africa. Child. Educ. 2010, 86, 360–365. [Google Scholar] [CrossRef] [PubMed]


| Characteristics | Total (n = 265) | UH (n = 27) | UL (n = 96) | RL (n = 142) |
|---|---|---|---|---|
| Age (years) | ||||
| Caregiver (n = 256) | 37.5 ± 11.7 | 41.4 ± 4.9 a | 34.0 ± 7.8 | 39.1 ± 13.9 |
| Child (n = 259) | 4.8 ± 0.7 | 5.3 ± 0.5 a,b | 4.7 ± 0.7 | 4.8 ± 0.6 |
| Relationship to the preschool child (n = 263) * | ||||
| Mother | 194 (73.8%) | 26 (96.3%) | 80 (85.1%) | 88 (62.0%) |
| Father | 11 (4.2%) | 1 (3.7%) | 7 (7.5%) | 3 (2.1%) |
| Grandmother | 47 (17.9%) | 0 | 4 (4.3%) | 43 (30.3%) |
| Other | 11 (4.2%) | 0 | 3 (3.2%) | 8 (5.6%) |
| Highest level of education (n = 260) * | ||||
| Grade 9 or lower | 46 (17.7%) | 0 | 4 (4.4%) | 42 (29.8%) |
| Grade 10–11 | 54 (20.8%) | 0 | 19 (20.7%) | 35 (24.8%) |
| Grade 12/matriculated | 90 (34.6%) | 4 (14.8%) | 42 (45.7%) | 44 (31.2%) |
| Tertiary diploma/certificate | 39 (15.0%) | 7 (25.9%) | 14 (15.2%) | 18 (12.8%) |
| University degree | 31 (11.9%) | 16 (59.3%) | 13 (14.1%) | 2 (1.4%) |
| Screen Time Variables | Total | UH | UL | RL |
|---|---|---|---|---|
| Smart phone/digital tablet (e.g., iPad) | (n = 255) | (n = 27) | (n = 86) | (n = 142) |
| Has in the home (%) * | 78.1 | 92.6 | 78.1 | 75.4 |
| Engages in this screen time (n (%)) * | 68 (25.9%) | 20 (74.1%) | 33 (40.7%) | 11 (7.8%) |
| Total time: weekdays (h/wk) † | 1.74 ± 1.22 | 1.96 ± 1.63 | 1.65 ± 1.04 | 1.64 ± 1.00 |
| Total time: weekend (h/wkd) † | 2.01 ± 1.65 | 1.45 ± 1.09 | 2.79 ± 1.92 | 0.83 ± 0.29 |
| TV/video’s/DVDs | (n = 256) | (n = 27) | (n = 87) | (n = 142) |
| Has in the home (%) | 84.9 | 96.3 | 90.6 | 78.9 |
| Engages in this screen time (n (%)) | 223 (87.1%) | 27 (100%) | 76 (87.4%) | 120 (84.5%) |
| Total time: weekdays (h/wk) †,* | 2.72 ± 2.08 | 5.08 ± 3.62 a,b | 2.90 ± 1.31 c | 2.11 ± 1.45 |
| Total time: weekend (h/wkd) †,* | 2.71 ± 1.87 | 3.75 ± 2.32 a | 3.68 ± 2.11 c | 1.87 ± 1.00 |
| Playstation©/Nintendo©/X-Box©/Gameboy©/other computer games | (n = 256) | (n = 27) | (n = 87) | (n = 142) |
| Has in the home (%) | 15.8 | 63.0 | 14.6 | 7.8 |
| Engages in this screen time (n (%)) * | 22 (8.6%) | 6 (22.2%) | 14 (16.1%) | 2 (1.4%) |
| Total time: weekdays (h/wk) † | 2.63 ± 2.17 | 1.55 ± 0.84 | 3.4 ± 2.71 | 2.50 ± 2.12 |
| Total time: weekend (h/wkd) †,* | 2.58 ± 2.04 | 1.10 ± 0.73 | 3.86 ± 1.95 a | 0 |
| Computer/internet (excluding games) | (n = 256) | (n = 27) | (n = 87) | (n = 142) |
| Has in the home (%) | 26.4 | 88.9 | 29.2 | 12.7 |
| Engages in this screen time (n (%)) | 14 (5.5%) | 2 (7.4%) | 7 (8.1%) | 5 (3.5%) |
| Total time: weekdays (h/wk) † | 2.33 ± 1.60 | 5.0 ± 0 | 1.7 ± 0.97 | 1.9 ± 1.34 |
| Total time: weekend (h/wkd) † | 2.56 ± 2.06 | 5.5 ± 0.7 | 1.8 ± 1.10 | 0.50 ± 0 |
| Children meeting the screen time guideline (<1 h/day) * (%) | (81.9%) | (33.3%) | (74.0%) | (96.5%) |
| Total screen time: weekdays (h/wk)†,* | (n = 206) 3.38 ± 3.09 | (n = 26) 6.91 ± 5.03 a,b | (n = 61) 3.89 ± 2.77 c | (n = 119) 2.35 ± 1.83 |
| Total screen time: weekend (h/wkd)†,* | (n = 170) 3.44 ± 3.23 | (n = 27) 5.33 ± 3.83 a,b | (n = 52) 5.18 ± 3.99 c | (n = 91) 1.88 ± 1.02 |
| Screen Time Perceptions | Total (n = 264) | UH (n = 27) | UL (n = 95) | RL (n = 142) |
|---|---|---|---|---|
| Child is more likely to watch TV than be active (%) * | ||||
| Never/Rarely | 43.6 | 11.1 | 15.8 | 68.3 |
| Sometimes | 36.7 | 77.8 | 43.2 | 24.7 |
| Most of the time/Always | 18.9 | 7.4 | 41.1 | 6.3 |
| Child is more likely to play electronic games than be active (%) * | ||||
| Never/Rarely | 59.5 | 44.4 | 32.3 | 80.3 |
| Sometimes | 19.9 | 37.0 | 21.5 | 15.5 |
| Most of the time/Always | 19.1 | 11.1 | 44.1 | 4.2 |
| Parent believes amount of TV child watches would not affect his/her health (%) †,* | 81.7 | 50.0 | 90.4 | 81.7 |
| Parent limits TV time (%) †,* | 74.8 | 76.9 | 90.1 | 64.5 |
| Parent limits computer and electronic game time (%) †,* | 68.9 | 81.5 | 87.5 | 54.9 |
| Parent not confident to get child to choose activity instead of computer/e-games (%) β,* | 33.3 | 3.7 | 10.9 | 53.5 |
| Parent not confident to say no to child’s requests to play on computer/e-games (%) β,* | 42.4 | 7.4 | 14.8 | 66.2 |
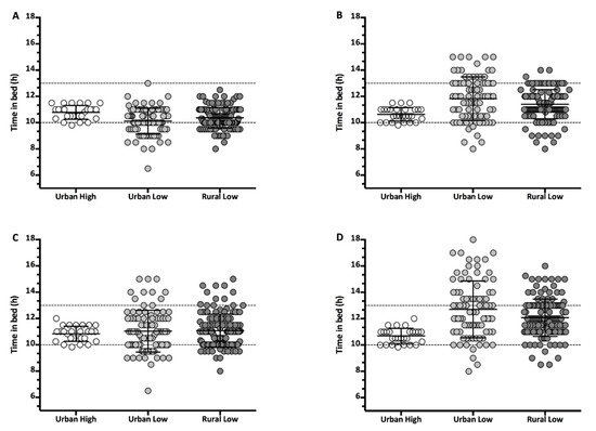
| Sleep Variables | Total | UH | UL | RL |
|---|---|---|---|---|
| Bedtime: weekdays (h:mm) * | (n = 262) 19:55 ± 00:47 | (n = 27) 19:45 ± 00:31 | (n = 93) 20:23 ± 00:53 a,c | (n = 142) 19:39 ± 00:37 |
| Wakeup time: weekdays (h:mm) * | (n = 261) 06:15 ± 00:39 | (n = 27) 06:32 ± 00:30 b | (n = 92) 06:32 ± 00:38 c | (n = 142) 06:01 ± 00:35 |
| Bedtime: weekends (h:mm) * | (n = 257) 20:06 ± 00:55 | (n = 27) 20:07 ± 00:43 | (n = 89) 20:20 ± 01:10 c | (n = 141) 19:57 ± 00:43 |
| Wakeup time: weekends (h:mm) * | (n = 258) 07:34 ± 01:10 | (n = 27) 06:46 ± 00:41 a,b | (n = 89) 08:10 ± 01:18 c | (n = 142) 07:22 ± 00:59 |
| Total sleep per 24-h: weekdays (h) | (n = 261) 11.04 ± 1.33 | (n = 27) 10.84 ± 0.57 | (n = 92) 11.04 ± 1.59 | (n = 142) 11.08 ± 1.25 |
| Total sleep per 24-h: weekends (h) * | (n = 255) 12.14 ± 1.75 | (n = 27) 10.69 ± 0.57 a,b | (n = 87) 12.71 ± 2.16 c | (n = 141) 12.07 ± 1.42 |
| Children nap during the day (%) * | (n = 261) 53.6 | (n = 27) 14.8 | (n = 92) 71.7 | (n = 142) 49.3 |
| Nap duration: weekdays (h) | (n = 117) 1.63 ± 0.88 | (n = 1) 1.5 ± 0 | (n = 49) 1.80 ± 1.00 | (n = 67) 1.50 ± 0.76 |
| Nap duration: weekends (h) | (n = 110) 1.68 ± 0.93 | (n = 1) 1.5 ± 0 | (n = 44) 2.01 ± 1.07 | (n = 65) 1.45 ± 0.75 |
| Sleep guideline adherence: weekdays (%) * | (n = 261) | (n = 27) | (n = 92) | (n = 142) |
| Insufficient sleep | 12.3 | 3.7 | 19.6 | 9.2 |
| Sufficient sleep | 80.8 | 96.3 | 70.7 | 84.5 |
| Excess sleep | 6.9 | 0 | 9.8 | 6.3 |
| Sleep guideline adherence: weekends (%) * | (n = 255) | (n = 27) | (n = 87) | (n = 141) |
| Insufficient sleep | 3.9 | 3.7 | 4.6 | 3.6 |
| Sufficient sleep | 74.9 | 96.3 | 58.6 | 80.9 |
| Excess sleep | 21.2 | 0 | 36.8 | 15.6 |
© 2020 by the authors. Licensee MDPI, Basel, Switzerland. This article is an open access article distributed under the terms and conditions of the Creative Commons Attribution (CC BY) license (http://creativecommons.org/licenses/by/4.0/).
Share and Cite
Tomaz, S.A.; Hinkley, T.; Jones, R.A.; Watson, E.D.; Twine, R.; Kahn, K.; Norris, S.A.; Draper, C.E. Screen Time and Sleep of Rural and Urban South African Preschool Children. Int. J. Environ. Res. Public Health 2020, 17, 5449. https://doi.org/10.3390/ijerph17155449
Tomaz SA, Hinkley T, Jones RA, Watson ED, Twine R, Kahn K, Norris SA, Draper CE. Screen Time and Sleep of Rural and Urban South African Preschool Children. International Journal of Environmental Research and Public Health. 2020; 17(15):5449. https://doi.org/10.3390/ijerph17155449
Chicago/Turabian StyleTomaz, Simone A., Trina Hinkley, Rachel A. Jones, Estelle D. Watson, Rhian Twine, Kathleen Kahn, Shane A. Norris, and Catherine E. Draper. 2020. "Screen Time and Sleep of Rural and Urban South African Preschool Children" International Journal of Environmental Research and Public Health 17, no. 15: 5449. https://doi.org/10.3390/ijerph17155449
APA StyleTomaz, S. A., Hinkley, T., Jones, R. A., Watson, E. D., Twine, R., Kahn, K., Norris, S. A., & Draper, C. E. (2020). Screen Time and Sleep of Rural and Urban South African Preschool Children. International Journal of Environmental Research and Public Health, 17(15), 5449. https://doi.org/10.3390/ijerph17155449

