The Relationships between Physical Activity and Life Satisfaction and Happiness among Young, Middle-Aged, and Older Adults
Abstract
1. Introduction
2. Methods
2.1. Participants
2.2. Data Collection
2.2.1. Demographic Characteristics
2.2.2. Life Satisfaction and Happiness
2.2.3. Physical Activity
2.3. Statistical Analysis
3. Results
3.1. Demographic Characteristics
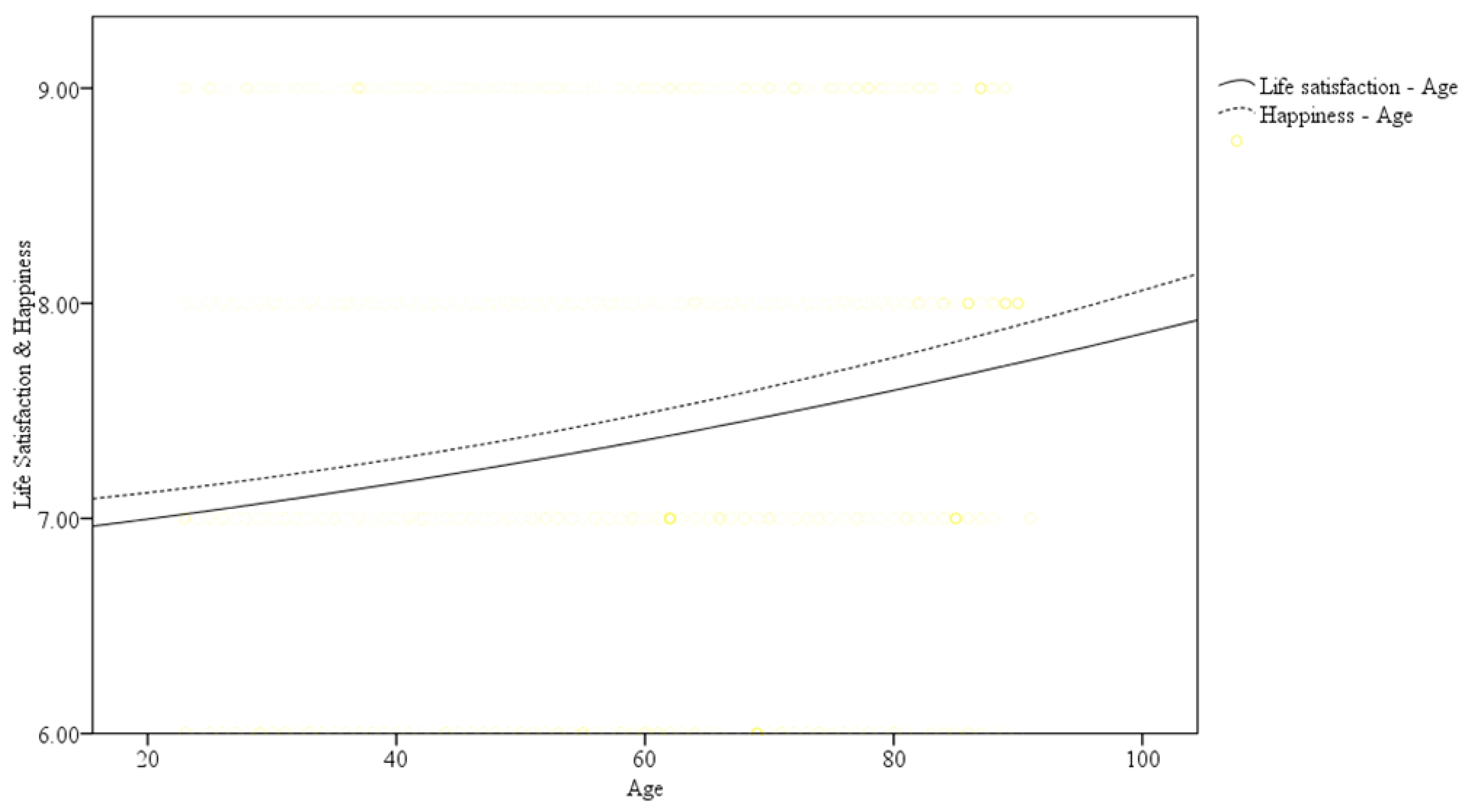
3.2. Life Satisfaction
3.3. Happiness
4. Discussion
5. Conclusions
Author Contributions
Funding
Conflicts of Interest
References
- Diener, E.; Suh, E.M.; Lucas, R.E.; Smith, H.L. Subjective well-being: Three decades of progress. Psychol. Bull. 1999, 125, 276–302. [Google Scholar] [CrossRef]
- Pavot, W.; Diener, E. Review of the satisfaction with life scale. In Assessing Well-Being. Social Indicators Research Series; Diener, E., Ed.; Springer: Dordrecht, The Netherlands, 2009; Volume 39, pp. 101–117. [Google Scholar]
- Shin, D.C.; Johnson, D.M. Avowed happiness as an overall assessment of the quality of life. Soc. Indic. Res. 1978, 5, 475–492. [Google Scholar] [CrossRef]
- Veenhoven, R. Happiness: Also known as “life satisfaction” and “subjective well-being”. In Handbook of Social Indicators and Quality of Life Research; Land, K.C., Michalos, A.C., Sirgy, M.J., Eds.; Springer: Dordrecht, The Netherlands, 2012; pp. 63–77. [Google Scholar]
- Magen, Z. Commitment beyond self and adolescence: The issue of happiness. Soc. Indic. Res. 1996, 37, 235–267. [Google Scholar] [CrossRef]
- Penedo, F.J.; Dahn, J.R. Exercise and well-being: A review of mental and physical health benefits associated with physical activity. Curr. Opin. Psychiatry 2005, 18, 1891–1893. [Google Scholar] [CrossRef] [PubMed]
- Vogel, T.; Brechat, P.H.; Leprêtre, P.M.; Kaltenbach, G.; Berthel, M.; Lonsdorfer, J. Health benefits of physical activity in older patients: A review. Int. J. Clin. Pract. 2009, 63, 303–320. [Google Scholar] [CrossRef] [PubMed]
- Fox, K.R. The influence of physical activity on mental well-being. Public. Health Nutr. 1999, 2, 411–418. [Google Scholar] [CrossRef]
- Maher, J.P.; Pincus, A.L.; Ram, N.; Conroy, D.E. Daily physical activity and life satisfaction across adulthood. Dev. Psychol. 2015, 51, 1407–1419. [Google Scholar] [CrossRef]
- Zhang, Z.; Chen, W. A systematic review of the relationship between physical activity and happiness. J. Happiness Stud. 2019, 20, 1305–1322. [Google Scholar] [CrossRef]
- Pengpid, S.; Peltzer, K. Sedentary behaviour, physical activity and life satisfaction, happiness and perceived health status in university students from 24 countries. Int. J. Environ. Res. Public Health 2019, 16, 2084. [Google Scholar] [CrossRef]
- Vaz, C.T.; de Souza Andrade, A.C.; Proietti, F.A.; Xavier, C.C.; de Lima Friche, A.A.; Caiaffa, W.T. A multilevel model of life satisfaction among old people: Individual characteristics and neighborhood physical disorder. BMC Public Health 2019, 19, 861. [Google Scholar]
- Loprinzi, P.D.; Davis, R.E. Bouted and non-bouted moderate-to-vigorous physical activity with health-related quality of life. Prev. Med. Rep. 2016, 3, 46–48. [Google Scholar] [CrossRef]
- Downward, P.; Dawson, P. Is it pleasure or health from leisure that we benefit from most? An analysis of well-being alternatives and implications for policy. Soc. Indic. Res. 2016, 126, 443–465. [Google Scholar] [CrossRef]
- Panza, G.A.; Taylor, B.A.; Thompson, P.D.; White, C.M.; Pescatello, L.S. Physical activity intensity and subjective well-being in healthy adults. J. Health Psychol. 2019, 24, 1257–1267. [Google Scholar] [CrossRef] [PubMed]
- Wicker, P.; Frick, B. The relationship between intensity and duration of physical activity and subjective well-being. Eur. J. Public Health 2015, 25, 868–872. [Google Scholar] [CrossRef] [PubMed]
- Portela, M.; Neira, I.; del Mar Salinas-Jiménez, M. Social capital and subjective wellbeing in Europe: A new approach on social capital. Soc. Indic. Res. 2013, 114, 493–511. [Google Scholar] [CrossRef]
- Rözer, J.; Kraaykamp, G. Income inequality and subjective well-being: A cross-national study on the conditional effects of individual and national characteristics. Soc. Indic. Res. 2013, 113, 1009–1023. [Google Scholar] [CrossRef]
- Swift, H.J.; Vauclair, C.M.; Abrams, D.; Bratt, C.; Marques, S.; Lima, M.L. Revisiting the paradox of well-being: The importance of national context. J. Gerontol. B. Psychol. Sci. Soc. Sci. 2014, 69, 920–929. [Google Scholar] [CrossRef]
- Helliwell, J.F.; Putnam, R.D. The social context of well–being. Philos. Trans. R. Soc. Lond. B. Biol. Sci. 2004, 359, 1435–1446. [Google Scholar] [CrossRef]
- Rodríguez-Pose, A.; Von Berlepsch, V. Social capital and individual happiness in Europe. J. Happiness Stud. 2014, 15, 357–386. [Google Scholar] [CrossRef]
- Orviska, M.; Caplanova, A.; Hudson, J. The impact of democracy on well-being. Soc. Indic. Res. 2014, 115, 493–508. [Google Scholar] [CrossRef]
- Cheung, F.; Lucas, R.E. Assessing the validity of single-item life satisfaction measures: Results from three large samples. Qual. Life Res. 2014, 23, 2809–2818. [Google Scholar] [CrossRef] [PubMed]
- Abdel-Khalek, A.M. Measuring happiness with a single-item scale. Soc. Behav. Personal. 2006, 34, 139–150. [Google Scholar] [CrossRef]
- Craig, C.L.; Marshall, A.L.; Sjöström, M.; Bauman, A.E.; Booth, M.L.; Ainsworth, B.E.; Pratt, M.; Ekelund, U.; Yngve, A.; Sallis, J.F.; et al. International physical activity questionnaire: 12-country reliability and validity. Med. Sci. Sports. Exerc. 2003, 35, 1381–1395. [Google Scholar] [CrossRef]
- Liou, Y.M.; Jwo, C.J.C.; Yao, K.G.; Chiang, L.C.; Huang, L.H. Selection of appropriate Chinese terms to represent intensity and types of physical activity terms for use in the Taiwan version of IPAQ. J. Nurs. Res. 2008, 16, 252–263. [Google Scholar] [CrossRef] [PubMed]
- Netz, Y.; Wu, M.J.; Becker, B.J.; Tenenbaum, G. Physical activity and psychological well-being in advanced age: A meta-analysis of intervention studies. Psychol. Aging 2005, 20, 272–284. [Google Scholar] [CrossRef]
- Siefken, K.; Junge, A.; Laemmle, L. How does sport affect mental health? An investigation into the relationship of leisure-time physical activity with depression and anxiety. Human. Movement. 2019, 20, 62–74. [Google Scholar] [CrossRef]
- Steptoe, A. Happiness and health. Annu. Rev. Public Health 2019, 40, 339–359. [Google Scholar] [CrossRef]
- Martín-María, N.; Miret, M.; Caballero, F.F.; Rico-Uribe, L.A.; Steptoe, A.; Somnath, C.; José, A.-M. The impact of subjective well-being on mortality: A meta-analysis of longitudinal studies in the general population. Psychosom. Med. 2017, 79, 565–575. [Google Scholar] [CrossRef]
- Kim, E.S.; Kubzansky, L.D.; Soo, J.; Boehm, J.K. Maintaining healthy behavior: A prospective study of psychological well-being and physical activity. Ann. Behav. Med. 2017, 51, 337–347. [Google Scholar] [CrossRef]
- Ferrer-i-Carbonell, A.; Gowdy, J.M. Environmental degradation and happiness. Ecol. Econ. 2007, 60, 509–516. [Google Scholar] [CrossRef]
- Carstensen, L.L.; Turan, B.; Scheibe, S.; Ram, N.; Ersner-Hershfield, H.; Samanez-Larkin, G.R.; Brooks, K.P.; Nesselroade, J.R. Emotional experience improves with age: Evidence based on over 10 years of experience sampling. Psychol. Aging. 2011, 26, 21–33. [Google Scholar] [CrossRef] [PubMed]
- Wadsworth, T. Marriage and subjective well-being: How and why context matters. Soc. Indic. Res. 2016, 126, 1025–1048. [Google Scholar] [CrossRef]
- Lin, J.P.; Chang, T.F.; Huang, C.H. Intergenerational relations and life satisfaction among older women in Taiwan. Int. J. Soc. Welf. 2011, 20, S47–S58. [Google Scholar] [CrossRef]
- Tsou, M.W.; Liu, J.T. Happiness and domain satisfaction in Taiwan. J. Happiness Stud. 2001, 2, 269–288. [Google Scholar] [CrossRef]

| Total (n = 2345) | Young Adults (n = 977) | Middle-Aged Adults (n = 725) | Older Adults (n = 643) | |
|---|---|---|---|---|
| Age, mean (SD) | 51.06 (17.01) | 34.60 (6.17) | 53.15 (5.34) | 73.71 (5.94) |
| Gender | ||||
| Male | 754 (32.15) | 317 (32.45) | 182 (25.10) | 255 (39.66) |
| Female | 1591 (67.85) | 660 (67.55) | 543 (74.90) | 388 (60.34) |
| Education level | ||||
| Elementary school | 337 (14.37) | 4 (0.41) | 46 (6.34) | 287 (44.63) |
| Junior high school | 164 (6.99) | 22 (2.25) | 65 (8.97) | 77 (11.98) |
| Senior high school | 496 (21.15) | 140 (14.33) | 228 (31.45) | 128 (19.91) |
| Undergraduate | 1127 (48.06) | 671 (68.68) | 316 (43.59) | 140 (21.77) |
| Postgraduate | 221 (9.42) | 140 (14.33) | 70 (9.66) | 11 (1.71) |
| Marital status | ||||
| Single | 589 (25.12) | 460 (47.08) | 107 (14.76) | 22 (3.42) |
| Married | 1566 (66.78) | 491 (50.26) | 571 (78.76) | 504 (78.38) |
| Other | 190 (8.10) | 26 (2.66) | 47 (6.48) | 117 (18.20) |
| Living alone | ||||
| No | 2028 (86.48) | 857 (87.72) | 661 (91.17) | 510 (79.32) |
| Yes | 317 (13.52) | 120 (12.28) | 64 (8.83) | 133 (20.62) |
| Physical activity level | ||||
| Low-active | 1003 (42.77) | 497 (50.87) | 330 (45.52) | 176 (27.37) |
| Moderate-active | 513 (21.88) | 175 (17.91) | 154 (21.24) | 184 (28.62) |
| High-active | 829 (35.35) | 305 (31.22) | 241 (33.24) | 283 (44.01) |
| Total (n = 2345) | Young Adults (n = 977) | Middle-Aged Adults (n = 725) | Older Adults (n = 643) | |||||
|---|---|---|---|---|---|---|---|---|
| Model 1 | Model 2 | Model 1 | Model 2 | Model 1 | Model 2 | Model 1 | Model 2 | |
| Age | −0.23 | −0.22 | −0.54 | −0.38 | 1.00 | 1.06 | 0.14 | 0.16 |
| Age square (Age 2) | 0.39 * | 0.34 * | 0.51 | 0.35 | −0.94 | −1.01 | −0.17 | −0.17 |
| Gender | ||||||||
| Male | REF | REF | REF | REF | REF | REF | REF | REF |
| Female | 0.02 | 0.03 | −0.02 | −0.01 | 0.04 | 0.06 | 0.03 | 0.04 |
| Education level | ||||||||
| Elementary school | REF | REF | REF | REF | REF | REF | REF | REF |
| Junior high school | 0.03 | 0.03 | -- a | -- a | -- a | -- a | 0.08 | 0.07 |
| Senior high school | 0.02 | 0.02 | −0.03 | −0.05 | 0.01 | 0.02 | 0.07 | 0.05 |
| Undergraduate | 0.14 ** | 0.14 ** | 0.02 | −0.00 | 0.19 ** | 0.20 ** | 0.14 ** | 0.12 * |
| Postgraduate | 0.10 ** | 0.09 ** | 0.04 | 0.01 | 0.12 * | 0.12 * | -- b | -- b |
| Marital status | ||||||||
| Single or Other | REF | REF | REF | REF | REF | REF | REF | REF |
| Married | 0.12 *** | 0.13 *** | 0.12 ** | 0.13 ** | 0.17 *** | 0.17 *** | 0.05 | 0.06 |
| Living alone | ||||||||
| No | REF | REF | REF | REF | REF | REF | REF | REF |
| Yes | −0.03 | −0.03 | −0.02 | −0.01 | 0.02 | 0.02 | −0.11 * | −0.10 * |
| Monthly income | 0.05 | 0.05 | 0.04 | 0.04 | 0.13 * | 0.13 ** | −0.08 | −0.09 |
| Time of vigorous activity | 0.02 | −0.04 | 0.03 | 0.06 | ||||
| Time of moderate activity | −0.04 | −0.06 | −0.01 | −0.04 | ||||
| Time of walking | −0.02 | −0.04 | −0.01 | −0.02 | ||||
| Physical activity level | ||||||||
| Low-active | REF | REF | REF | REF | ||||
| Moderate-active | 0.12 *** | 0.11 ** | 0.11 ** | 0.14 ** | ||||
| High-active | 0.19 *** | 0.23 *** | 0.17 ** | 0.18 ** | ||||
| Total (n = 2345) | Young Adults (n = 977) | Middle-Aged Adults (n = 725) | Older Adults (n = 643) | |||||
|---|---|---|---|---|---|---|---|---|
| Model 1 | Model 2 | Model 1 | Model 2 | Model 1 | Model 2 | Model 1 | Model 2 | |
| Age | −0.16 | −0.16 | −0.74 | −0.62 | 0.77 | 1.01 | 1.30 | 1.28 |
| Age square (Age 2) | 0.30 * | 0.26 * | 0.69 | 0.57 | −0.65 | −0.90 | −1.36 | −1.34 |
| Gender | ||||||||
| Male | REF | REF | REF | REF | REF | REF | REF | REF |
| Female | 0.02 | 0.04 | 0.00 | 0.01 | 0.04 | 0.06 | 0.03 | 0.04 |
| Education level | ||||||||
| Elementary school | REF | REF | REF | REF | REF | REF | REF | REF |
| Junior high school | −0.00 | −0.00 | -- a | -- a | -- a | -- a | 0.05 | 0.05 |
| Senior high school | 0.02 | 0.02 | −0.06 | −0.07 | 0.08 | 0.09 | 0.05 | 0.04 |
| Undergraduate | 0.10 * | 0.10 ** | −0.03 | −0.04 | 0.21 ** | 0.21 ** | 0.11 * | 0.10 * |
| Postgraduate | 0.05 | 0.05 | −0.05 | −0.07 | 0.14 ** | 0.15 ** | -- b | -- b |
| Marital status | ||||||||
| Single or Other | REF | REF | REF | REF | REF | REF | REF | REF |
| Married | 0.08 ** | 0.09 *** | 0.09 * | 0.10 * | 0.13 ** | 0.13 ** | 0.02 | 0.02 |
| Living alone | ||||||||
| No | REF | REF | REF | REF | REF | REF | REF | REF |
| Yes | −0.04 | −0.03 | −0.05 | −0.05 | 0.02 | 0.02 | −0.09 | −0.08 |
| Monthly income | 0.02 | 0.02 | 0.00 | −0.00 | 0.11 ** | 0.10 * | −0.08 | −0.08 |
| Time of vigorous activity | −0.01 | −0.06 | 0.01 | 0.01 | ||||
| Time of moderate activity | −0.02 | −0.02 | 0.01 | −0.06 | ||||
| Time of walking | −0.03 | −0.02 | −0.03 | 0.00 | ||||
| Physical activity level | ||||||||
| Low-active | REF | REF | REF | REF | ||||
| Moderate-active | 0.09 *** | 0.08 * | 0.07 * | 0.11 * | ||||
| High-active | 0.19 *** | 0.16 ** | 0.19 *** | 0.21 ** | ||||
© 2020 by the authors. Licensee MDPI, Basel, Switzerland. This article is an open access article distributed under the terms and conditions of the Creative Commons Attribution (CC BY) license (http://creativecommons.org/licenses/by/4.0/).
Share and Cite
An, H.-Y.; Chen, W.; Wang, C.-W.; Yang, H.-F.; Huang, W.-T.; Fan, S.-Y. The Relationships between Physical Activity and Life Satisfaction and Happiness among Young, Middle-Aged, and Older Adults. Int. J. Environ. Res. Public Health 2020, 17, 4817. https://doi.org/10.3390/ijerph17134817
An H-Y, Chen W, Wang C-W, Yang H-F, Huang W-T, Fan S-Y. The Relationships between Physical Activity and Life Satisfaction and Happiness among Young, Middle-Aged, and Older Adults. International Journal of Environmental Research and Public Health. 2020; 17(13):4817. https://doi.org/10.3390/ijerph17134817
Chicago/Turabian StyleAn, Hsin-Yu, Wei Chen, Cheng-Wei Wang, Hui-Fei Yang, Wan-Ting Huang, and Sheng-Yu Fan. 2020. "The Relationships between Physical Activity and Life Satisfaction and Happiness among Young, Middle-Aged, and Older Adults" International Journal of Environmental Research and Public Health 17, no. 13: 4817. https://doi.org/10.3390/ijerph17134817
APA StyleAn, H.-Y., Chen, W., Wang, C.-W., Yang, H.-F., Huang, W.-T., & Fan, S.-Y. (2020). The Relationships between Physical Activity and Life Satisfaction and Happiness among Young, Middle-Aged, and Older Adults. International Journal of Environmental Research and Public Health, 17(13), 4817. https://doi.org/10.3390/ijerph17134817

