Effects of Pretreatment Methods of Wheat Straw on Adsorption of Cd(II) from Waterlogged Paddy Soil
Abstract
1. Introduction
2. Materials and Methods
2.1. Materials
2.2. Soil Contamination and Wheat Straw Pretreatment
2.3. Incubation Experiment
2.4. DOC Measurement and Sequential Extraction Analysis
2.5. Adsorption Experiment
2.6. Characterization Analysis of the Adsorbents
2.7. Statistical Analysis
3. Results and Discussion
3.1. Removal of Cd(II) from Waterlogged Paddy Soil
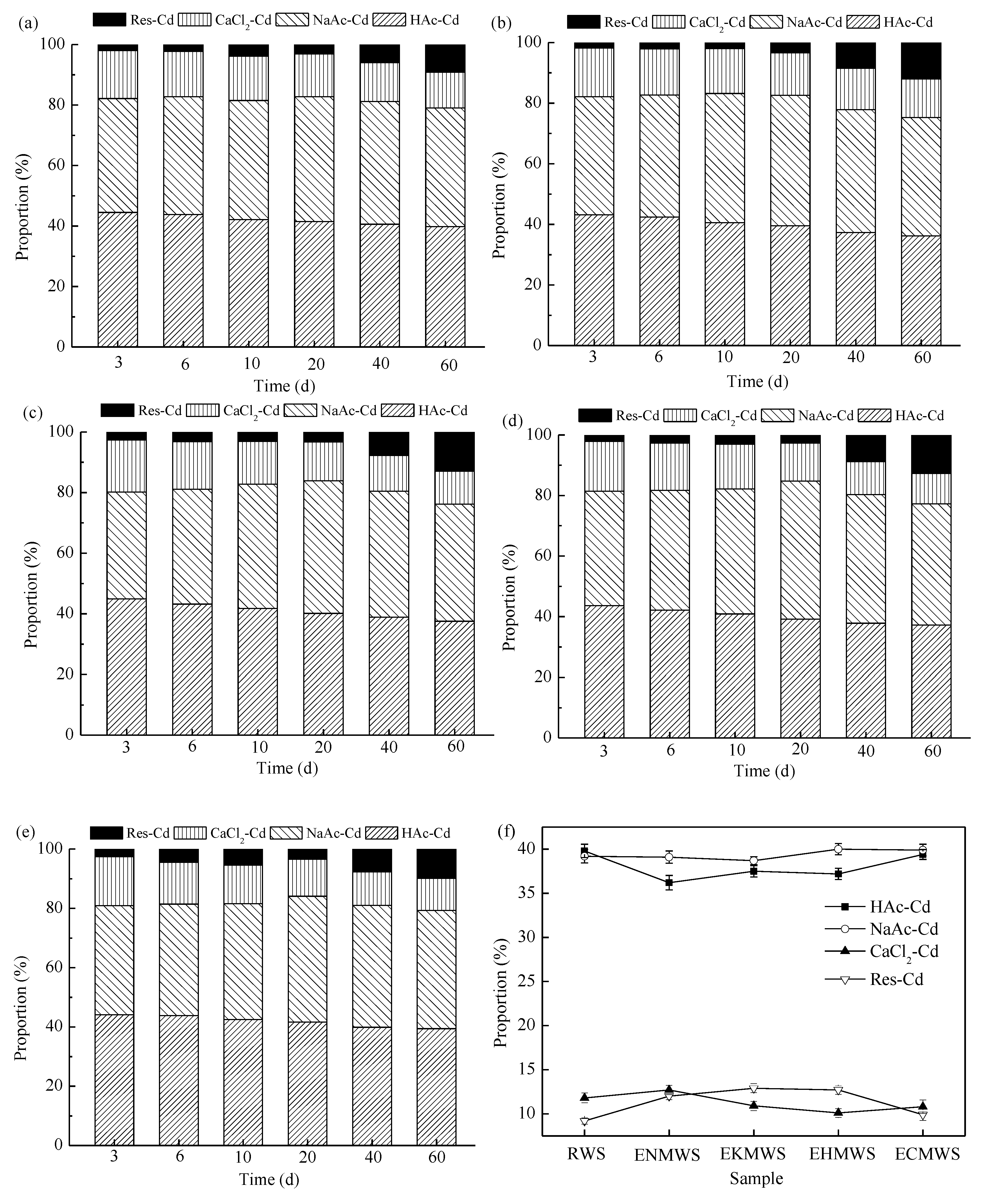
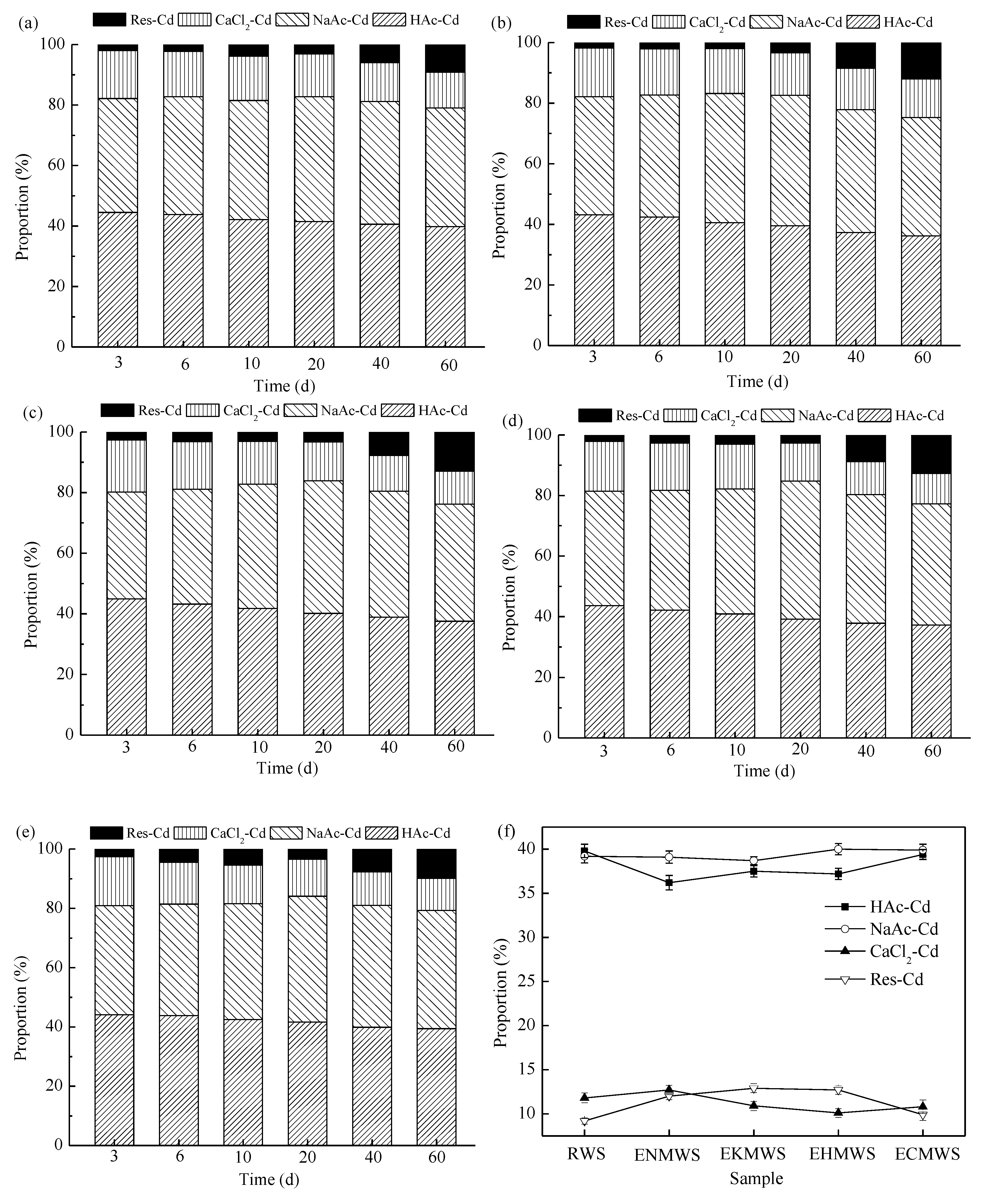
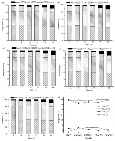
3.1.1. Effect of Different Pretreatment Methods on the Proportion Changes of Different Cd(II) Fractionations Remaining on the Soil
3.1.2. Changes of Soil pH and DOC Content during the Incubation
3.2. Removal of Cd(II) from Aqueous Solutions
3.2.1. Effect of Different Pretreatment Methods on Removal Efficiency of Cd(II)
3.2.2. Effect of Adsorbent Dosage on the Adsorption Capacity of the Pretreated WS
3.2.3. Effect of pH on Cd(II) adsorption
3.2.4. Adsorption Kinetics Analysis
3.2.5. Adsorption Isotherms Analysis
3.3. Characterization Analysis
4. Conclusions
Author Contributions
Funding
Conflicts of Interest
References
- Bhuiyan, M.A.H.; Islam, M.A.; Dampare, S.B.; Parvez, L.; Suzuki, S. Evaluation of hazardous metal pollution in irrigation and drinking water systems in the vicinity of a coal mine area of northwestern Bangladesh. J. Hazard. Mater. 2010, 179, 1065–1077. [Google Scholar] [CrossRef] [PubMed]
- Zhou, Q.; Lin, Y.; Li, X.; Yang, C.P.; Han, Z.F.; Zeng, G.M.; Lu, L.; He, S.Y. Effect of zinc ions on nutrient removal and growth of Lemna aequinoctialis from anaerobically digested swine wastewater. Bioresour. Technol. 2018, 249, 457–463. [Google Scholar] [CrossRef] [PubMed]
- Satarug, S.; Vesey, D.A.; Gobe, G.C. Health risk assessment of dietary cadmium intake: Do current guidelines indicate how much is safe? Environ. Health Perspect. 2017, 125, 284–288. [Google Scholar] [CrossRef] [PubMed]
- Chakravarty, P.; Sen Sarma, N.; Sarma, H.P. Biosorption of cadmium(II) from aqueous solution using heartwood powder of Areca catechu. Chem. Eng. J. 2010, 162, 949–955. [Google Scholar] [CrossRef]
- Rignell-Hydbom, A.; Skerfving, S.; Lundh, T.; Lindh, C.H.; Elmstahl, S.; Bjellerup, P.; Jonsson, B.A.G.; Stromberg, U.; Akesson, A. Exposure to cadmium and persistent organochlorine pollutants and its association with bone mineral density and markers of bone metabolism on postmenopausal women. Environ. Res. 2009, 109, 991–996. [Google Scholar] [CrossRef]
- Kumarpandit, T.; Kumarnaik, S.; Patra, P.K.; Dey, N.; Patra, P.K.; Das, D.K. Influence of organic manure and lime on cadmium mobility in soil and uptake by spinach (Spinacia oleracea L.). Commun. Soil Sci. Plant Anal. 2017, 48, 357–369. [Google Scholar] [CrossRef]
- Prokop, Z.; Cupr, P.; Zlevorova-Zlamalikova, V.; Komarek, J.; Dusek, L.; Holoubek, I. Mobility, bioavailability, and toxic effects of cadmium in soil samples. Environ. Res. 2003, 91, 119–126. [Google Scholar] [CrossRef]
- Chaab, A.; Moezzi, A.A.; Sayyad, G.A.; Chorom, M. Effect of compost and humic acid in mobility and concentration of cadmium and chromium in soil and plant. Glob. J. Environ. Sci. Manag. 2016, 2, 389–396. [Google Scholar]
- Tang, X.J.; Hashmi, M.Z.; Long, D.Y.; Chen, L.T.; Khan, M.I.; Shen, C.F. Influence of heavy metals and PCBs pollution on the enzyme activity and microbial community of paddy soils around an e-waste recycling workshop. Int. J. Environ. Res. Public Health 2014, 11, 3118–3131. [Google Scholar] [CrossRef]
- Wu, S.H.; He, H.J.; Inthapanya, X.; Yang, C.P.; Lu, L.; Zeng, G.M.; Han, Z.F. Role of biochar on composting of organic wastes and remediation of contaminated soils—A review. Environ. Sci. Pollut. Res. 2017, 24, 16560–16577. [Google Scholar] [CrossRef]
- Li, X.; Yang, W.L.; He, H.J.; Wu, S.H.; Zhou, Q.; Yang, C.P.; Zeng, G.M.; Luo, L.; Lou, W. Responses of microalgae Coelastrella sp. to stress of cupric ions in treatment of anaerobically digested swine wastewater. Bioresour. Technol. 2018, 251, 274–279. [Google Scholar] [CrossRef] [PubMed]
- Wang, J.L.; Chen, C. Biosorbents for heavy metals removal and their future. Biotechnol. Adv. 2009, 27, 195–226. [Google Scholar] [CrossRef]
- Ayangbenro, A.S.; Babalola, O.O. A new strategy for heavy metal polluted environments: A review of microbial biosorbents. Int. J. Environ. Res. Public Health 2017, 14, 94. [Google Scholar] [CrossRef] [PubMed]
- Huang, Y.Q.; Yang, C.P.; Sun, Z.C.; Zeng, G.M.; He, H.J. Removal of cadmium and lead from aqueous solutions using nitrilotriacetic acid anhydride modified ligno-cellulosic material. RSC Adv. 2015, 5, 11475–11484. [Google Scholar] [CrossRef]
- Wu, M.J.; Liu, H.Y.; Guo, J.Y.; Yang, C.P. Enhanced enzymatic hydrolysis of wheat straw by two-step pretreatment combining alkalization and adsorption. Appl. Microbiol. Biotechnol. 2018, 102, 9831–9842. [Google Scholar] [CrossRef] [PubMed]
- Tye, Y.Y.; Lee, K.T.; Wan, N.W.A.; Leh, C.P. The world availability of non-wood lignocellulosic biomass for the production of cellulosic ethanol and potential pretreatments for the enhancement of enzymatic saccharification. Renew. Sustain. Energy Rev. 2016, 60, 155–172. [Google Scholar] [CrossRef]
- Krishnani, K.K. Lignocellulosic wheat straw-derived ion-exchange adsorbent for heavy metals removal. Appl. Biochem. Biotechnol. 2016, 178, 670–686. [Google Scholar] [CrossRef]
- Huang, X.M.; Chen, T.H.; Zou, X.H.; Zhu, M.L.; Chen, D.; Pan, M. The Adsorption of Cd(II) on manganese oxide investigated by batch and modeling techniques. Int. J. Environ. Res. Public Health 2017, 14, 1145. [Google Scholar] [CrossRef]
- Molinari, A.; Mayacela Rojas, C.M.; Beneduci, A.; Tavolaro, A.; Rivera Velasquez, M.F.; Fallico, C. Adsorption performance analysis of alternative reactive media for remediation of aquifers affected by heavy metal contamination. Int. J. Environ. Res. Public Health 2018, 15, 980. [Google Scholar] [CrossRef]
- Garcia, J.C.; Diaz, M.J.; Garcia, M.T.; Feria, M.J.; Gómez, D.M.; López, F. Search for optimum conditions of wheat straw hemicelluloses cold alkaline extraction process. Biochem. Eng. J. 2013, 71, 127–133. [Google Scholar] [CrossRef]
- Huijgen, W.J.J.; Telysheva, G.; Arshanitsa, A.; Gosselink, R.J.A.; Wild, P.J.D. Characteristics of wheat straw lignins from ethanol-based organosolv treatment. Ind. Crops Prod. 2014, 59, 85–95. [Google Scholar] [CrossRef]
- Yang, C.P.; Shen, Z.Q.; Yu, G.C.; Wang, J.L. Effect and aftereffect of γ radiation pretreatment on enzymatic hydrolysis of wheat straw. Bioresour. Technol. 2008, 99, 6240–6245. [Google Scholar] [CrossRef] [PubMed]
- Yu, T.; Deng, Y.H.; Liu, H.Y.; Yang, C.P.; Wu, B.W.; Zeng, G.M.; Lu, L.; Nishimura, F. Effect of alkaline microwaving pretreatment on anaerobic digestion and biogas production of swine manure. Sci. Rep. 2017, 7, 1668–1675. [Google Scholar] [CrossRef] [PubMed]
- Ding, Y.; Jing, D.B.; Gong, H.L.; Zhou, L.B.; Yang, X.S. Biosorption of aquatic cadmium(II) by unmodified rice straw. Bioresour. Technol. 2012, 114, 20–25. [Google Scholar] [CrossRef] [PubMed]
- Jia, L.; Wang, W.Y.; Li, Y.H.; Yang, L.S. Heavy metals in soil and crops of an intensively farmed area: A case study in Yucheng City, Shandong Province, China. Int. J. Environ. Res. Public Health 2010, 7, 395–412. [Google Scholar] [CrossRef] [PubMed]
- Yan, X.D.; Fan, Z.; Chen, Z.; Man, Z.; Devkota, L.P.; Yao, T.D. Relationship between heavy metal concentrations in soils and grasses of roadside farmland in Nepal. Int. J. Environ. Res. Public Health 2012, 9, 3209–3226. [Google Scholar] [CrossRef] [PubMed]
- Zhou, Z.; Liu, Y.G.; Liu, S.B.; Liu, H.Y.; Zeng, G.M.; Tan, X.F.; Yang, C.P.; Ding, Y.; Yan, Z.L.; Cai, X.X. Sorption performance and mechanisms of arsenic(V) removal by magnetic gelatin-modified biochar. Chem. Eng. J. 2017, 314, 223–231. [Google Scholar] [CrossRef]
- Smolders, E.; Oorts, K.; Sprang, P.V.; Schoeters, I.; Janssen, C.R.; Mcgrath, S.P.; Mclaughlin, M.J. Toxicity of trace metals in soil as affected by soil type and aging after contamination: Using calibrafted bioavailability models to set ecological soil standards. Environ. Toxicol. Chem. 2010, 28, 1633–1642. [Google Scholar] [CrossRef]
- Cai, Z.; Kim, D.; Sorial, G.A. Evaluation of trickle-bed air biofilter performance for MEK removal. J. Hazard. Mater. 2004, 114, 153–158. [Google Scholar] [CrossRef]
- Yu, M.; Zeng, G.M.; Chen, Y.N.; Yu, H.Y.; Huang, D.L.; Tang, L. Influence of Phanerochaete chrysosporium on microbial communities and lignocellulose degradation during solid-state fermentation of rice straw. Process Biochem. 2009, 44, 17–22. [Google Scholar] [CrossRef]
- Huang, B.Y.; Liu, Y.G.; Li, B.; Liu, S.B.; Zeng, G.M.; Zeng, Z.W.; Wang, X.H.; Ning, Q.M.; Zheng, B.H.; Yang, C.P. Effect of Cu(II) ions on the enhancement of tetracycline adsorption by Fe3O4@SiO2-Chitosan/graphene oxide nanocomposite. Carbohydr. Polym. 2017, 157, 576–585. [Google Scholar] [CrossRef] [PubMed]
- Chen, H.; Arocena, J.M.; Li, J.B.; Thring, R.W.; Zhou, J. Mobility and storage sinks for chromium and other metals in soils impacted by leather tannery wastes. J. Environ. Monit. 2012, 14, 3240–3248. [Google Scholar] [CrossRef] [PubMed]
- Kim, J.M.; Roh, A.S.; Choi, S.C.; Kim, E.J.; Choi, M.T.; Ahn, B.K.; Kim, S.K.; Lee, Y.H.; Joa, J.H.; Kang, S.S. Soil pH and electrical conductivity are key edaphic factors shaping bacterial communities of greenhouse soils in Korea. J. Microbiol. 2016, 54, 838–845. [Google Scholar] [CrossRef] [PubMed]
- Ren, B.H.; Hu, Y.M.; Chen, B.D.; Zhang, Y.; Thiele, J.; Shi, R.J.; Liu, M.; Bu, R.C. Soil pH and plant diversity shape soil bacterial community structure in the active layer across the latitudinal gradients in continuous permafrost region of Northeastern China. Sci. Rep. 2018, 8, 5619–5628. [Google Scholar] [CrossRef] [PubMed]
- Salam, A.K.; Helmke, P.A. The pH dependence of free ionic activities and total dissolved concentrations of copper and cadmium in soil solution. Geoderma 1998, 83, 281–291. [Google Scholar] [CrossRef]
- Honma, T.; Ohba, H.; Kaneko-Kadokura, A.; Makino, T.; Nakamura, K.; Katou, H. Optimal soil Eh, pH, and water management for simultaneously minimizing arsenic and cadmium concentrations in rice grains. Environ. Sci. Technol. 2016, 50, 4178–4183. [Google Scholar] [CrossRef] [PubMed]
- Lourençon, T.V.; Hansel, F.A.; Silva, T.A.D.; Ramos, L.P.; Muniz, G.I.B.D.; Magalhães, W.L.E. Hardwood and softwood kraft lignins fractionation by simple sequential acid precipitation. Sep. Purif. Technol. 2015, 154, 82–88. [Google Scholar] [CrossRef]
- Scharenbroch, B.C.; Meza, E.N.; Catania, M.; Fite, K. Biochar and biosolids increase tree growth and improve soil quality for urban landscapes. J. Environ. Qual. 2013, 42, 1372–1385. [Google Scholar] [CrossRef]
- Wang, J.L.; Chen, C. Biosorption of heavy metals by Saccharomyces cerevisiae: A review. Biotechnol. Adv. 2006, 24, 427–451. [Google Scholar] [CrossRef]
- Biswas, B.; Pandey, N.; Bisht, Y.; Singh, R.; Kumar, J.; Bhaskar, T. Pyrolysis of agricultural biomass residues: Comparative study of corn cob, wheat straw, rice straw and rice husk. Bioresour. Technol. 2017, 237, 57–63. [Google Scholar] [CrossRef]
- Mccorkle, E.P.; Berhe, A.A.; Hunsaker, C.T.; Johnson, D.W.; Mcfarlane, K.J.; Fogel, M.L.; Hart, S.C. Tracing the source of soil organic matter eroded from temperate forest catchments using carbon and nitrogen isotopes. Chem. Geol. 2016, 445, 172–184. [Google Scholar] [CrossRef]
- Yang, C.P.; Qian, H.; Li, X.; Cheng, Y.; He, H.J.; Zeng, G.M.; Xi, J.Y. Simultaneous removal of multicomponent VOCs in biofilters. Trends Biotechnol. 2018, 36, 673–685. [Google Scholar] [CrossRef] [PubMed]
- Khodse, V.B.; Bhosle, N.B. Bacterial utilization of size-fractionated dissolved organic matter. Aquat. Microb. Ecol. 2011, 64, 299–309. [Google Scholar] [CrossRef]
- Fores, E.; Menendez, M.; Comin, F.A. Rice straw decomposition in rice-field soil. Plant Soil 1988, 109, 145–146. [Google Scholar] [CrossRef]
- Lin, Y.; Wu, S.H.; Li, X.; Wu, X.; Yang, C.P.; Zeng, G.M.; Peng, Y.R.; Zhou, Q.; Lu, L. Microstructure and performance of Z-scheme photocatalyst of silver phosphate modified by MWCNTs and Cr-doped SrTiO3 for malachite green degradation. Appl. Catal. B 2018, 227, 557–570. [Google Scholar] [CrossRef]
- Zhao, X.; Wang, J.W.; Wang, S.Q.; Xing, G.X. Successive straw biochar application as a strategy to sequester carbon and improve fertility: A pot experiment with two rice/wheat rotations in paddy soil. Plant Soil 2014, 378, 279–294. [Google Scholar] [CrossRef]
- Zhou, H.; Yang, W.T.; Zhou, X.; Liu, L.; Gu, J.F.; Wang, W.L.; Zou, J.L.; Tian, T.; Peng, P.Q.; Liao, B.H. Accumulation of heavy metals in vegetable species planted in contaminated soils and the health risk assessment. Int. J. Environ. Res. Public Health 2016, 13, 289. [Google Scholar] [CrossRef]
- Wan, D.J.; Zhan, C.L.; Yang, G.L.; Liu, X.Q.; Yang, J.S. Preliminary assessment of health risks of potentially toxic elements in settled dust over Beijing urban area. Int. J. Environ. Res. Public Health 2016, 13, 491. [Google Scholar] [CrossRef]
- Oh, G.H.; Chong, R.P. Preparation and characteristics of rice-straw-based porous carbons with high adsorption capacity. Fuel 2002, 81, 327–336. [Google Scholar] [CrossRef]
- Apiratikul, R.; Pavasant, P. Batch and column studies of biosorption of heavy metals by Caulerpa lentillifera. Bioresour. Technol. 2008, 99, 2766–2777. [Google Scholar] [CrossRef]
- He, H.J.; Xiang, Z.H.; Chen, X.J.; Chen, H.; Huang, H.; Wen, M.; Yang, C.P. Biosorption of Cd(II) from synthetic wastewater using dry biofilms from biotrickling filters. Int. J. Environ. Sci. Technol. 2018, 15, 1491–1500. [Google Scholar] [CrossRef]
- Yang, C.P.; Wang, J.Q.; Min, L.; Xie, G.X.; Zeng, G.M.; Luo, S.L. Biosorption of zinc(II) from aqueous solution by dried activated sludge. J. Environ. Sci. 2010, 22, 675–680. [Google Scholar] [CrossRef]
- Ho, Y.S.; Mckay, G. Pseudo-second order model for sorption processes. Process Biochem. 1999, 34, 451–465. [Google Scholar] [CrossRef]
- Zhang, X.M.; Xu, J.L.; Cheng, J.J. Pretreatment of corn stover for sugar production with combined alkaline reagents. Energy Fuels 2011, 25, 4796–4802. [Google Scholar] [CrossRef]
- Tu, Y.J.; You, C.F.; Chang, C.K. Kinetics and thermodynamics of adsorption for Cd on green manufactured nano-particles. J. Hazard. Mater. 2012, 235–236, 116–122. [Google Scholar] [CrossRef] [PubMed]
- Foo, K.Y.; Hameed, B.H. Insights into the modeling of adsorption isotherm systems. Chem. Eng. J. 2010, 156, 2–10. [Google Scholar] [CrossRef]
- Zheng, T.L.; Wang, Q.H.; Shi, Z.N.; Fang, Y.; Shi, S.S.; Wang, J.; Wu, C.F. Advanced treatment of wet-spun acrylic fiber manufacturing wastewater using three-dimensional electrochemical oxidation. J. Environ. Sci. 2016, 50, 21–31. [Google Scholar] [CrossRef] [PubMed]
- Johnson, R.D.; Arnold, F.H. The Temkin isotherm describes heterogeneous protein adsorption. Biochim. Biophys. Acta 1995, 1247, 293–297. [Google Scholar] [CrossRef]
- Haghtalab, A.; Nabipoor, M.; Farzad, S. Kinetic modeling of the Fischer-Tropsch synthesis in a slurry phase bubble column reactor using Langmuir-Freundlich isotherm. Fuel Process. Technol. 2012, 104, 73–79. [Google Scholar] [CrossRef]
- Ma, Y.Q.; Wang, Q.H.; Sun, X.H.; Wu, C.F.; Gao, Z. Kinetics studies of biodiesel production from waste cooking oil using FeCl3-modified resin as heterogeneous catalyst. Renew. Energy 2017, 107, 522–530. [Google Scholar] [CrossRef]
- Yan, B.; Niu, C.H. Modeling and site energy distribution analysis of levofloxacin sorption by biosorbents. Chem. Eng. J. 2017, 307, 631–642. [Google Scholar] [CrossRef]
- Din, A.T.M.; Hameed, B.H.; Ahmad, A.L. Batch adsorption of phenol onto physiochemical-activated coconut shell. J. Hazard. Mater. 2009, 161, 1522–1529. [Google Scholar]
- Wang, Z.Y.; Xu, J.L.; Pandey, P.; Cheng, J.J.; Li, R.Y.; Qu, R.D. Improvement of sugar production from transgenic switchgrass with low-lemperature alkali pretreatment. Energy Fuels 2012, 26, 3054–3061. [Google Scholar] [CrossRef]
- Yong, C.P.; Kim, J.S. Comparison of various alkaline pretreatment methods of lignocellulosic biomass. Energy 2012, 47, 31–35. [Google Scholar]
- Zhang, Y.S.; Liu, W.G.; Xu, M.; Zheng, F.; Zhao, M.J. Study of the mechanisms of Cu2+ biosorption by ethanol/caustic-pretreated baker’s yeast biomass. J. Hazard. Mater. 2010, 178, 1085–1093. [Google Scholar] [CrossRef] [PubMed]








| Adsorbent | C0 (mg/L) | qe (mg/g) | q2 (mg/g) | k2 (g·mg−1·min−1) | R2 |
|---|---|---|---|---|---|
| ENMWS | 5 | 0.498 | 0.499 | 4.52 | 1.0000 |
| 50 | 4.815 | 4.871 | 0.09 | 0.9999 | |
| 100 | 9.211 | 9.515 | 0.01 | 0.9991 | |
| EKMWS | 5 | 0.500 | 0.502 | 1.59 | 1.0000 |
| 50 | 3.830 | 3.877 | 0.10 | 0.9999 | |
| 100 | 8.720 | 9.025 | 0.01 | 0.9988 | |
| EHMWS | 5 | 0.497 | 0.498 | 3.68 | 1.0000 |
| 50 | 4.020 | 4.055 | 0.14 | 1.0000 | |
| 100 | 8.980 | 9.328 | 0.01 | 0.9972 | |
| ECMWS | 5 | 0.497 | 0.499 | 2.39 | 1.0000 |
| 50 | 3.630 | 3.681 | 0.10 | 0.9998 | |
| 100 | 7.260 | 7.440 | 0.03 | 0.9995 |
| Adsorbent | Temperature (K) | Langmuir | Freundlich | Temkin | ||||||
|---|---|---|---|---|---|---|---|---|---|---|
| Qm (mg/g) | KL (L/mg) | R2 | n | KF (L/g) | R2 | ΔQ (kJ/mol) | KT | R2 | ||
| ENMWS | 288 | 11.51 | 0.0489 | 0.9912 | 1.8650 | 1.2148 | 0.9563 | 824.70 | 0.3192 | 0.9948 |
| 298 | 12.32 | 0.0357 | 0.9966 | 2.1281 | 1.0510 | 0.9435 | 991.70 | 0.4244 | 0.9957 | |
| 308 | 14.27 | 0.0258 | 0.9932 | 2.4582 | 1.4048 | 0.9301 | 1128.96 | 0.6019 | 0.9899 | |
| EKMWS | 288 | 10.25 | 0.0514 | 0.9967 | 1.9810 | 1.1071 | 0.9505 | 904.72 | 0.3621 | 0.9961 |
| 298 | 11.18 | 0.0386 | 0.9958 | 2.1973 | 1.0442 | 0.9405 | 1091.73 | 0.4569 | 0.9949 | |
| 308 | 12.97 | 0.0301 | 0.9974 | 2.5240 | 1.3219 | 0.9278 | 1282.92 | 0.6446 | 0.9882 | |
| EHMWS | 288 | 11.01 | 0.0501 | 0.9989 | 1.9604 | 1.0681 | 0.9515 | 845.97 | 0.3542 | 0.9960 |
| 298 | 12.15 | 0.0368 | 0.9918 | 2.1529 | 1.0732 | 0.9425 | 1002.90 | 0.4356 | 0.9954 | |
| 308 | 13.89 | 0.0293 | 0.9926 | 2.4894 | 1.3804 | 0.9290 | 1186.45 | 0.6221 | 0.9891 | |
| ECMWS | 288 | 9.76 | 0.0607 | 0.9986 | 2.2051 | 1.2980 | 0.9402 | 984.47 | 0.4607 | 0.9948 |
| 298 | 10.34 | 0.0412 | 0.9984 | 2.2712 | 1.0421 | 0.9374 | 1196.72 | 0.4941 | 0.9938 | |
| 308 | 11.99 | 0.0389 | 0.9965 | 2.7337 | 1.5014 | 0.9208 | 1371.05 | 0.8028 | 0.9825 | |
© 2019 by the authors. Licensee MDPI, Basel, Switzerland. This article is an open access article distributed under the terms and conditions of the Creative Commons Attribution (CC BY) license (http://creativecommons.org/licenses/by/4.0/).
Share and Cite
Wu, M.; Liu, H.; Yang, C. Effects of Pretreatment Methods of Wheat Straw on Adsorption of Cd(II) from Waterlogged Paddy Soil. Int. J. Environ. Res. Public Health 2019, 16, 205. https://doi.org/10.3390/ijerph16020205
Wu M, Liu H, Yang C. Effects of Pretreatment Methods of Wheat Straw on Adsorption of Cd(II) from Waterlogged Paddy Soil. International Journal of Environmental Research and Public Health. 2019; 16(2):205. https://doi.org/10.3390/ijerph16020205
Chicago/Turabian StyleWu, Mengjie, Hongyu Liu, and Chunping Yang. 2019. "Effects of Pretreatment Methods of Wheat Straw on Adsorption of Cd(II) from Waterlogged Paddy Soil" International Journal of Environmental Research and Public Health 16, no. 2: 205. https://doi.org/10.3390/ijerph16020205
APA StyleWu, M., Liu, H., & Yang, C. (2019). Effects of Pretreatment Methods of Wheat Straw on Adsorption of Cd(II) from Waterlogged Paddy Soil. International Journal of Environmental Research and Public Health, 16(2), 205. https://doi.org/10.3390/ijerph16020205

