Phenology of a Vegetation Barrier and Resulting Impacts on Near-Highway Particle Number and Black Carbon Concentrations on a School Campus
Abstract
:1. Introduction
2. Materials and Methods
2.1. Study Design
2.2. Vegetation and Calculation of Leaf Area Index
3. Results
3.1. Meteorology, Traffic and Leaf Area Index
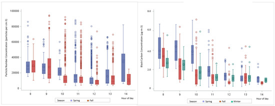
3.2. Pollutant Concentrations
3.3. Multivariable Models
4. Discussion
5. Conclusions
Acknowledgments
Author Contributions
Conflicts of Interest
References
- Lim, S.S.; Vos, T.; Flaxman, A.D.; Danaei, G.; Shibuya, K.; Adair-Rohani, H.; Amann, M.; Anderson, H.R.; Andrews, K.G.; Aryee, M.; et al. A Comparative Risk Assessment of Burden of Disease and Injury Attributable to 67 Risk Factors and Risk Factor Clusters in 21 Regions, 1990–2010: A Systematic Analysis for the Global Burden of Disease Study 2010. Lancet 2012, 380, 2224–2260. [Google Scholar] [CrossRef]
- Health Effects Institute. Traffic-Related Air Pollution: A Critical Review of the Literature on Emissions, Exposure, and Health Effects; Health Effects Institute: Boston, MA, USA, 2010. [Google Scholar]
- Karner, A.A.; Eisinger, D.S.; Niemeier, D.A. Near-Roadway Air Quality: Synthesizing the Findings from Real-World Data. Environ. Sci Technol. 2010, 44, 5334–5344. [Google Scholar] [CrossRef] [PubMed]
- Zhou, Y.; Levy, J.I. Factors Influencing the Spatial Extent of Mobile Source Air Pollution Impacts: A Meta-Analysis. BMC Public Health 2007, 7, 89. [Google Scholar] [CrossRef] [PubMed]
- Brook, R.D.; Rajagopalan, S.; Pope, C.A., 3rd; Brook, J.R.; Bhatnagar, A.; Diez-Roux, A.V.; Holguin, F.; Hong, Y.; Luepker, R.V.; Mittleman, M.A.; et al. Particulate Matter Air Pollution and Cardiovascular Disease: An Update to the Scientific Statement from the American Heart Association. Circulation 2010, 121, 2331–2378. [Google Scholar] [CrossRef] [PubMed]
- Hudda, N.; Eckel, S.R.; Knibbs, L.D.; Sioutas, C.; Delfino, R.J.; Fruin, S.A. Linking in-Vehicle Ultrafine Particle Exposures to on-Road Concentrations. Atmos. Environ. 2012, 59, 578–586. [Google Scholar] [CrossRef] [PubMed]
- Padro-Martinez, L.T.; Patton, A.P.; Trull, J.B.; Zamore, W.; Brugge, D.; Durant, J.L. Mobile Monitoring of Particle Number Concentration and Other Traffic-Related Air Pollutants in a near-Highway Neighborhood over the Course of a Year. Atmos. Environ. 2012, 61, 253–264. [Google Scholar] [CrossRef] [PubMed]
- Westerdahl, D.; Fruin, S.; Sax, T.; Fine, P.M.; Sioutas, C. Mobile Platform Measurements of Ultrafine Particles and Associated Pollutant Concentrations on Freeways and Residential Streets in Los Angeles. Atmos. Environ. 2005, 39, 3597–3610. [Google Scholar] [CrossRef]
- Gallagher, J.; Baldauf, R.; Fuller, C.H.; Kumar, P.; Gill, L.W.; McNabola, A. Passive Methods for Improving Air Quality in the Built Environment: A Review of Porous and Solid Barriers. Atmos. Environ. 2015, 120, 61–70. [Google Scholar] [CrossRef]
- Fred, L.; Avol, E.; Gilliland, F. Emissions Reduction Policies and Recent Trends in Southern California’s Ambient Air Quality. J. Air Waste Manag. Assoc. 2015, 65, 324–335. [Google Scholar]
- Litschke, T.; Kuttler, W. On the Reduction of Urban Particle Concentration by Vegetation—A Review. Meteorol. Z. 2008, 17, 229–240. [Google Scholar]
- Nowak, D.J.; Crane, D.E.; Stevens, J.C. Air Pollution Removal by Urban Trees and Shrubs in the United States. Urban For. Urban Green. 2006, 4, 115–123. [Google Scholar] [CrossRef]
- Nowak, D.J.; Hirabayashi, S.; Bodine, A.; Hoehn, R. Modeled PM2.5 Removal by Trees in Ten US Cities and Associated Health Effects. Environ. Pollut. 2013, 178, 395–402. [Google Scholar] [CrossRef] [PubMed]
- Givoni, B. Impact of Planted Areas on Urban Environmental Quality: A Review. Atmos. Environ. Part B Urban Atmos. 1991, 25, 289–299. [Google Scholar] [CrossRef]
- Beckett, K.P.; Smith, P.H.F.; Taylor, G. Urban Woodlands: Their Role in Reducing the Effects of Particulate Pollution. Environ. Pollut. 1998, 99, 347–360. [Google Scholar] [CrossRef]
- Nowak, D.J.; Crane, D.E.; Stevens, J.C.; Hoehn, R.E.; Walton, J.T.; Bond, J. A Ground-Based Method of Assessing Urban Forest Structure and Ecosystem Services. Arboric. Urban For. 2008, 34, 347. [Google Scholar]
- Escobedo, F.J.; Nowak, D.J. Spatial Heterogeneity and Air Pollution Removal by an Urban Forest. Landsc. Urban Plan. 2009, 90, 102–110. [Google Scholar] [CrossRef]
- Jim, C.Y.; Chen, W.Y. Assessing the Ecosystem Service of Air Pollutant Removal by Urban Trees in Guangzhou (China). J. Environ. Manag. 2008, 88, 665–676. [Google Scholar] [CrossRef] [PubMed]
- Sara, J. Review on Urban Vegetation and Particle Air Pollution—Deposition and Dispersion. Atmos. Environ. 2015, 105, 130–137. [Google Scholar]
- Baldauf, R. Recommendations for Constructing Roadside Vegetation Barriers to Improve Near-Road Air Quality; National Risk Management Laboratory Office of Research and Development, Air Pollution Prevention and Control Division: Washington, DC, USA, 2016.
- Buccolieri, R.; Salim, S.M.; Leo, L.S.; di Sabatino, S.; Chan, A.D.; Ielpo, P.; de Gennaro, G.; Gromke, C. Analysis of Local Scale Tree-Atmosphere Interaction on Pollutant Concentration in Idealized Street Canyons and Application to a Real Urban Junction. Atmos. Environ. 2011, 45, 1702–1713. [Google Scholar] [CrossRef]
- Vos, P.E.; Maiheu, B.; Vankerkom, J.; Janssen, S. Improving Local Air Quality in Cities: To Tree or Not to Tree? Environ. Pollut. 2013, 183, 113–122. [Google Scholar] [CrossRef] [PubMed]
- Hagler, G.S.; Lin, M.Y.; Khlystov, A.; Baldauf, R.W.; Isakov, V.; Faircloth, J.; Jackson, L.E. Field Investigation of Roadside Vegetative and Structural Barrier Impact on near-Road Ultrafine Particle Concentrations under a Variety of Wind Conditions. Sci. Total Environ. 2012, 419, 7–15. [Google Scholar] [CrossRef] [PubMed]
- Dzierzanowski, K.; Popek, R.; Gawrońska, H.; Saebø, A.; Gawroński, S.W. Deposition of Particulate Matter of Different Size Fractions on Leaf Surfaces and in Waxes of Urban Forest Species. Int. J. Phytoremediat. 2011, 13, 1037–1046. [Google Scholar] [CrossRef] [PubMed]
- Elisa, T.; Wild, E.; Zacchello, G.; Cerabolini, B.E.L.; Jones, K.C.; di Guardo, A. Forest Filter Effect: Role of Leaves in Capturing/Releasing Air Particulate Matter and Its Associated Pahs. Atmos. Environ. 2013, 74, 378–384. [Google Scholar]
- Atlanta Regional Commission. Geocounts Traffic. Available online: http://trafficserver.transmetric.com/gdot-prod/tcdb.jsp?siteid=135-0298 (accessed on 28 February 2013).
- Hagler, G.S.W.; Yelverton, T.L.B.; Vedantham, R.; Hansen, A.D.A.; Turner, J.R. Post-Processing Method to Reduce Noise While Preserving High Time Resolution in Aethalometer Real-Time Black Carbon Data. Aerosol Air Qual. Res. 2011, 11, 539–546. [Google Scholar] [CrossRef]
- Jørgensen, S.E.; Fath, B.D. Encyclopedia of Ecology, 1st ed.; Elsevier: Oxford, UK, 2008; Volume 5. [Google Scholar]
- Houseman, E.A.; Ryan, L.; Levy, J.I.; Spengler, J.D. Autocorrelation in Real-Time Continuous Monitoring of Microenvironments. J. Appl. Stat. 2002, 29, 855–872. [Google Scholar] [CrossRef]
- Lin, M.-Y.; Hagler, G.; Baldauf, R.; Isakov, V.; Lin, H.-Y.; Khlystov, A. The Effects of Vegetation Barriers on near-Road Ultrafine Particle Number and Carbon Monoxide Concentrations. Sci. Total Environ. 2016, 553, 372–379. [Google Scholar] [CrossRef] [PubMed]
- Brantley, H.L.; Hagler, G.S.W.; Deshmukh, P.J.; Baldauf, R.W. Field Assessment of the Effects of Roadside Vegetation on near-Road Black Carbon and Particulate Matter. Sci. Total Environ. 2014, 468–469, 120–129. [Google Scholar] [CrossRef] [PubMed]
- United States Environmental Protection Agency (EPA). School Siting Guidelines: Environmental Siting Criteria Regulations; EPA: Washington, DC, USA, 2011.




| Season | PNC | BC |
|---|---|---|
| (1-Min Averages) | (5-Min Averages) | |
| Spring | 2370 | 472 |
| Fall | 1834 | 367 |
| Winter | 0 | 377 |
| Parameter | Spring | Fall | Winter | |||||||||||||||
|---|---|---|---|---|---|---|---|---|---|---|---|---|---|---|---|---|---|---|
| Mean (SD) | Min | 25% | Median | 75% | Max | Mean (SD) | Min | 25% | Median | 75% | Max | Mean (SD) | Min | 25% | Median | 75% | Max | |
| Traffic Volume (vehicles per h) | 8684 (787) | 7590 | 8037 | 8478 | 9244 | 11,073 | 8271 (597) | 7633 | 7887 | 8071 | 8,441 | 9988 | 7881 (529) | 7269 | 7431 | 7748 | 8207 | 9159 |
| Temperature (°C) | 25.9 (3.2) | 19.9 | 23.6 | 25.7 | 28.7 | 31.6 | 14.7 (3.7) | 5.5 | 12.3 | 14.9 | 16.9 | 21.7 | 2.6 (4.5) | −6.4 | −0.9 | 2.3 | 7.0 | 9.8 |
| Relative Humidity (%) | 59.8 (13.0) | 40.0 | 51.0 | 57.0 | 63.0 | 96.0 | 56.6 (15.8) | 34.0 | 42.0 | 55.0 | 70.0 | 89.0 | 53.9 (18.2) | 20.0 | 42.0 | 51.0 | 69.0 | 89.0 |
| Dewpoint (°C) | 17.2 (2.9) | 10.9 | 15.5 | 18.4 | 19.6 | 21.1 | 5.7 (5.3) | −1.4 | 2.0 | 3.5 | 12.0 | 14.0 | −6.6 (6.8) | −20.1 | −16.7 | −3.5 | −1.8 | 0.1 |
| Wind speed (m/s) | 1.5 (0.8) | 0.0 | 0.9 | 1.3 | 1.8 | 4.9 | 1.6 (0.7) | 0.0 | 0.9 | 1.8 | 2.2 | 4.5 | 2.2 (1.4) | 0.0 | 1.3 | 1.8 | 2.7 | 8.5 |
| Wind direction (%) | ||||||||||||||||||
| Downwind | 26% | 32% | 79% | |||||||||||||||
| Upwind | 74% | 68% | 21% | |||||||||||||||
| Spring | Fall | Winter | ||||||||||
|---|---|---|---|---|---|---|---|---|---|---|---|---|
| PNC * (particles·cm−3) | Mean | SD | Median | IQR | Mean | SD | Median | IQR | Mean | SD | Median | IQR |
| All data | 16,934 | 14,716 | 10,089 | 17,352 | 17,719 | 16,592 | 11,177 | 14,257 | - | - | - | - |
| 10 m | 17,455 | 16,128 | 9039 | 19,145 | 24,356 | 20,480 | 15,655 | 28,008 | - | - | - | - |
| 50 m | 16,411 | 13,134 | 11,190 | 14,637 | 11,097 | 6623 | 9519 | 7781 | - | - | - | - |
| Difference (10 m–50 m) | 361 | 9394 | −361 | 3945 | 13,221 | 16,614 | 5646 | 18,876 | - | - | - | - |
| Ratio (10 m/50 m) | 1.02 | 0.36 | 0.95 | 0.30 | 2.06 | 1.09 | 1.56 | 1.24 | - | - | - | - |
| Black carbon ** (µg·m−3) | ||||||||||||
| All data | 1.81 | 1.41 | 1.45 | 1.33 | 1.54 | 1.41 | 0.79 | 1.73 | 1.65 | 0.91 | 1.41 | 1.29 |
| 10 m | 2.09 | 1.76 | 1.57 | 1.54 | 1.82 | 1.63 | 0.96 | 2.40 | 1.99 | 0.94 | 1.76 | 1.30 |
| 50 m | 1.52 | 0.85 | 1.35 | 1.12 | 1.26 | 1.08 | 0.72 | 1.24 | 1.30 | 0.72 | 1.05 | 1.04 |
| Difference (10 m–50 m) | 0.55 | 1.11 | 0.09 | 1.06 | 0.60 | 0.81 | 0.26 | 0.81 | 0.69 | 0.49 | 0.64 | 0.53 |
| Ratio (10 m/50 m) | 1.24 | 0.46 | 1.10 | 0.74 | 1.40 | 0.43 | 1.33 | 0.57 | 1.67 | 0.52 | 1.57 | 0.59 |
| PNC | Spring | Fall | Winter | |||||||||
| Effect | Estimated Effect | Lower 95% CI | Upper 95% CI | p-Value | Estimated Effect | Lower 95% CI | Upper 95% CI | p-Value | Estimated Effect | Lower 95% CI | Upper 95% CI | p-Value |
| Traffic Volume (per 1000 vehicles·h−1) | 1.16 | 1.12 | 1.21 | <0.01 | 1.16 | 0.99 | 1.35 | 0.07 | - | - | - | - |
| Distance (=10 m) | 1.01 | 0.97 | 1.04 | 0.72 | 1.79 | 1.70 | 1.88 | <0.01 | - | - | - | - |
| Hour of day | 0.85 | 0.82 | 0.88 | <0.01 | 0.78 | 0.74 | 0.83 | <0.01 | - | - | - | - |
| Downwind Conditions | 1.71 | 1.63 | 1.79 | <0.01 | 2.06 | 1.95 | 2.18 | <0.01 | - | - | - | - |
| Wind Speed (m/s) | 1.06 | 1.03 | 1.09 | <0.01 | 0.96 | 0.92 | 1.00 | 0.03 | - | - | - | - |
| Temperature (°C) | 1.05 | 1.04 | 1.06 | <0.01 | 0.99 | 0.97 | 1.01 | 0.33 | - | - | - | - |
| Relative Humidity (%) | 1.02 | 1.01 | 1.02 | <0.01 | 0.99 | 0.99 | 0.99 | <0.01 | - | - | - | - |
| BC | Spring | Fall | Winter | |||||||||
| Effect | Estimated Effect | Lower 95% CI | Upper 95% CI | p-Value | Estimated Effect | Lower 95% CI | Upper 95% CI | p-Value | Estimated Effect | Lower 95% CI | Upper 95% CI | p-Value |
| Traffic Volume (per 1000 vehicles·h−1) | 1.34 | 1.23 | 1.45 | <0.01 | 1.05 | 0.68 | 1.60 | 0.82 | 1.12 | 0.96 | 1.31 | 0.16 |
| Distance (=10 m) | 1.08 | 1.00 | 1.16 | 0.05 | 1.27 | 1.11 | 1.46 | <0.01 | 1.59 | 1.48 | 1.71 | <0.01 |
| Hour of day | 0.75 | 0.69 | 0.82 | <0.01 | 0.70 | 0.61 | 0.81 | <0.01 | 0.89 | 0.84 | 0.95 | <0.01 |
| Downwind Conditions | 1.72 | 1.55 | 1.92 | <0.01 | 2.60 | 2.23 | 3.04 | <0.01 | 1.47 | 1.33 | 1.62 | <0.01 |
| Wind Speed (m/s) | 0.98 | 0.91 | 1.05 | 0.49 | 0.95 | 0.82 | 1.10 | 0.51 | 1.00 | 0.96 | 1.05 | 0.94 |
| Temperature (°C) | 1.14 | 1.12 | 1.16 | <0.01 | 1.03 | 0.97 | 1.10 | 0.27 | 0.98 | 0.97 | 1.00 | 0.01 |
| Relative Humidity (%) | 1.02 | 1.01 | 1.02 | <0.01 | 1.00 | 0.99 | 1.00 | 0.43 | 1.01 | 1.00 | 1.01 | 0.02 |
© 2017 by the authors. Licensee MDPI, Basel, Switzerland. This article is an open access article distributed under the terms and conditions of the Creative Commons Attribution (CC BY) license ( http://creativecommons.org/licenses/by/4.0/).
Share and Cite
Fuller, C.H.; Carter, D.R.; Hayat, M.J.; Baldauf, R.; Watts Hull, R. Phenology of a Vegetation Barrier and Resulting Impacts on Near-Highway Particle Number and Black Carbon Concentrations on a School Campus. Int. J. Environ. Res. Public Health 2017, 14, 160. https://doi.org/10.3390/ijerph14020160
Fuller CH, Carter DR, Hayat MJ, Baldauf R, Watts Hull R. Phenology of a Vegetation Barrier and Resulting Impacts on Near-Highway Particle Number and Black Carbon Concentrations on a School Campus. International Journal of Environmental Research and Public Health. 2017; 14(2):160. https://doi.org/10.3390/ijerph14020160
Chicago/Turabian StyleFuller, Christina H., David R. Carter, Matthew J. Hayat, Richard Baldauf, and Rebecca Watts Hull. 2017. "Phenology of a Vegetation Barrier and Resulting Impacts on Near-Highway Particle Number and Black Carbon Concentrations on a School Campus" International Journal of Environmental Research and Public Health 14, no. 2: 160. https://doi.org/10.3390/ijerph14020160
APA StyleFuller, C. H., Carter, D. R., Hayat, M. J., Baldauf, R., & Watts Hull, R. (2017). Phenology of a Vegetation Barrier and Resulting Impacts on Near-Highway Particle Number and Black Carbon Concentrations on a School Campus. International Journal of Environmental Research and Public Health, 14(2), 160. https://doi.org/10.3390/ijerph14020160
