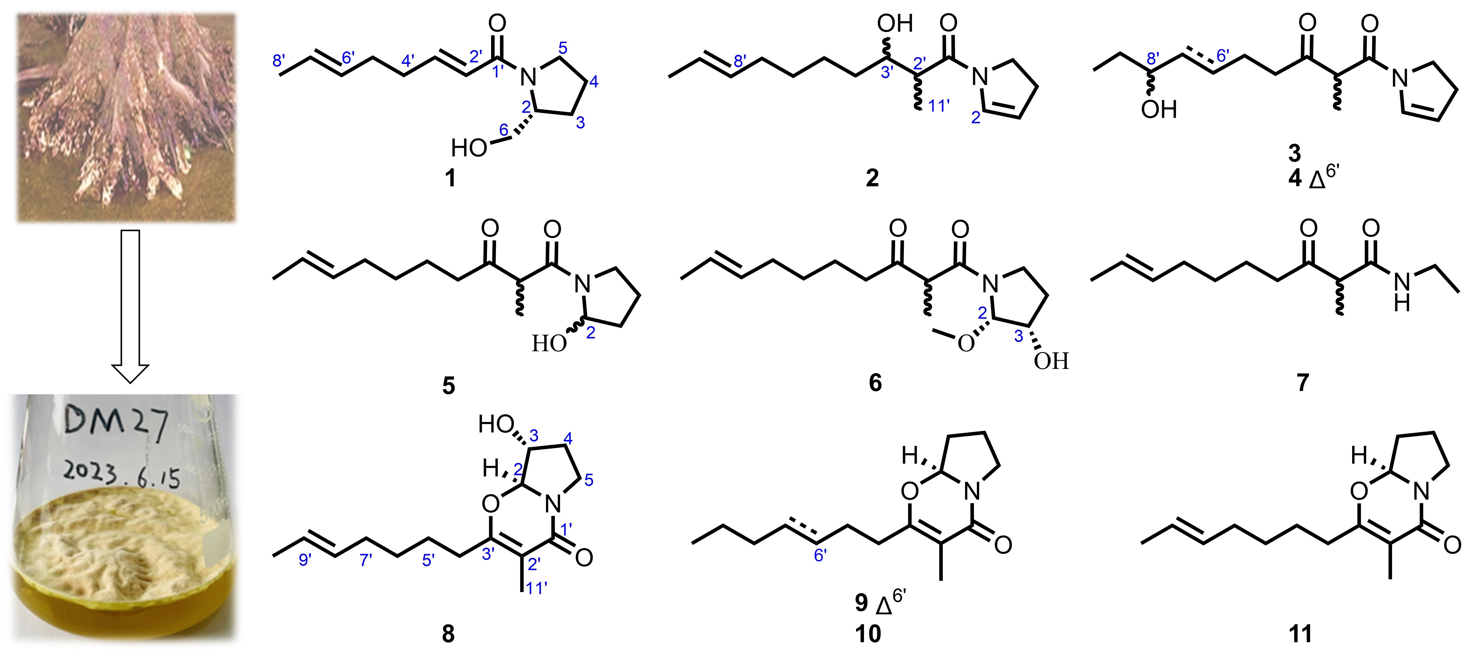
Pyrrolidine Alkaloids from Mangrove Fungus Penicillium sp. DM27 Enhance L6 Cell Glucose Uptake
Abstract
1. Introduction
2. Results and Discussion
2.1. Structural Analysis
2.2. Glucose Uptake in L6 Skeletal Muscle Cells
3. Materials and Methods
3.1. General Experimental Procedures
3.2. Fungal Material
3.3. Mass Culture
3.4. Extraction and Isolation
3.5. Computational Analysis
3.6. Cell Culture and Treatment
4. Conclusions
Supplementary Materials
Author Contributions
Funding
Institutional Review Board Statement
Informed Consent Statement
Data Availability Statement
Acknowledgments
Conflicts of Interest
References
- Hyde, K.D.; Lee, S.Y. Ecology of mangrove fungi and their role in nutrient cycling: What gaps occur in our knowledge. Hydrobiologia 1995, 295, 107–118. [Google Scholar] [CrossRef]
- Cribb, A.B.; Cribb, J.W. Marine fungi from Queensland. Environ. Sci. 1956, 3, 97–105. [Google Scholar]
- Cheng, Z.; Pan, J.; Tang, W.; Chen, Q.; Lin, Y. Biodiversity and biotechnological potential of mangrove-derived fungi. J. For. Res. 2009, 20, 63–72. [Google Scholar] [CrossRef]
- Chen, Y.; Mao, W.; Tao, H.; Zhu, W.; Qi, X.; Chen, Y.; Li, H.; Zhao, C.; Yang, Y.; Hou, Y.; et al. Structural characterization and antioxidant properties of an exopolysaccharide produced by the mangrove endophytic fungus Aspergillus sp. Y16. Bioresour. Technol. 2011, 102, 8179–8184. [Google Scholar] [CrossRef] [PubMed]
- El-Gendy, M.M.A.; El-Bondkly, A.M.A.; Yahya, S.M.M. Production and evaluation of antimycotic and antihepatitis C virus potential of fusant MERV6270 derived from mangrove endophytic fungi using novel substrates of agroindustrial wastes. Appl. Biochem. Biotechnol. 2014, 174, 2674–2701. [Google Scholar] [CrossRef] [PubMed]
- Buatong, J.; Phongpaichit, S.; Rukachaisiriku, V.; Sakayaroj, J. Antimicrobial activity of crude extracts from mangrove fungal endophytes. World J. Microbiol. Biotechnol. 2011, 27, 3005–3008. [Google Scholar] [CrossRef]
- Maroldi, M.M.C.; Vasconcellos, V.M.; Lacava, P.T.; Farinas, C.S. Potential of mangrove-derived endophytic fungi for production of carbohydrolases with high saccharification efficiency. Appl. Biochem. Biotechnol. 2018, 184, 806–820. [Google Scholar] [CrossRef]
- Krohn, K.; Riaz, M. Total synthesis of (+)-xyloketal D, a secondary metabolite from the mangrove fungus Xylaria sp. Tetrahedron Lett. 2004, 45, 293–294. [Google Scholar] [CrossRef]
- Blunt, J.W.; Copp, B.R.; Munro, M.H.G.; Northcote, P.T. Marine natural products. Nat. Prod. Rep. 2004, 21, 15–61. [Google Scholar] [CrossRef]
- Poyraz, S.; Döndaş, H.A.; Döndaş, N.Y.; Sansano, J.M. Recent insights about pyrrolidine core skeletons in pharmacology. Front. Pharmacol. 2023, 14, 1239658. [Google Scholar] [CrossRef]
- Tsuda, M.; Sasaki, M.; Mugishima, T.; Komatsu, K.; Sone, T.; Tanaka, M.; Mikami, Y.; Kobayashi, J. Scalusamides A-C, new pyrrolidine alkaloids from the marine-derived fungus Penicillium citrinum. J. Nat. Prod. 2005, 68, 273–276. [Google Scholar] [CrossRef] [PubMed]
- Moya, P.; Cantin, A.; Castillo, M.A.; Primo, J.; Miranda, M.A.; Primo-Yúfera, E. Isolation, structural assignment, and synthesis of N-(2-methyl-3-oxodecanoyl)-2-pyrroline, a new natural product from Penicillium brevicompactum with in vivo anti-juvenile hormone activity. J. Org. Chem. 1998, 63, 8530–8535. [Google Scholar] [CrossRef]
- Zhou, Z.; Kurtan, T.; Yang, X.; Mándi, A.; Geng, M.; Ye, B.; Taglialatela-Scafati, O.; Guo, Y. Penibruguieramine A, a novel pyrrolizidine alkaloid from the endophytic fungus Penicillium sp. GD6 associated with chinese mangrove Bruguiera gymnorrhiza. Org. Lett. 2014, 16, 1390–1393. [Google Scholar] [CrossRef] [PubMed]
- Sadorn, K.; Saepua, S.; Boonyuen, N.; Laksanacharoen, P.; Rachtawee, P.; Pittayakhajonwut, P. Antimicrobial activity and cytotoxicity of polyketides isolated from the mushroom Xerula sp. BCC56836. RSC Adv. 2016, 6, 94510–94523. [Google Scholar] [CrossRef]
- Chen, X.; Ma, L.; Zhan, Z. A new pyrrolizidine alkaloid from Penicillium expansum. J. Chem. Res. 2017, 41, 93–94. [Google Scholar] [CrossRef]
- He, L.-M.; Deng, X.; Ni, L.-H.; Cai, S.-Q.; Chen, J.; Liao, Z.; Zhang, M.; Shui, H.; Zhu, K.-K.; Wu, S.; et al. Penicipyrrolidines A-N, pyrrolidine derivatives with inhibitory effects on EMT and fibroblast activation from the mangrove-derived fungus Penicillium sp. DM27. Mar. Life Sci. Technol. 2025, 7, 313–327. [Google Scholar] [CrossRef]
- Chen, Z.; Zhang, J.; Huang, C.; Chen, W.; He, L.; Tang, Q.; Zhu, K.; Li, J.; Gao, P.; Zhang, M.; et al. Penicipyrrolizidinones A-C, three pyrrolizidinone alkaloids with unprecedented skeletons from the mangrove-derived fungus Penicillium sp. DM27. Phytochemistry 2025, 229, 114273. [Google Scholar] [CrossRef]
- Hill, R.A.; Sutherland, A. Hot off the press. Nat. Prod. Rep. 2025, 42, 203–207. [Google Scholar] [CrossRef]
- Whiting, D.R.; Guariguata, L.; Weil, C.; Shaw, J. IDF diabetes atlas: Global estimates of the prevalence of diabetes for 2011 and 2030. Diabetes Res. Clin. Pract. 2011, 94, 311–321. [Google Scholar] [CrossRef]
- American Diabetes Association. 2. Classification and diagnosis of diabetes: Standards of medical care in diabetes-2021. Diabetes Care 2021, 44 (Suppl. S1), S15–S33. [Google Scholar] [CrossRef]
- Kalinowski, H.O.; Berger, S.; Braun, S. Carbon-13 NMR Spectroscopy; John Wiley & Sons: Hoboken, NJ, USA, 1988; p. 293. [Google Scholar]
- Karadogan, B.; Parsons, P.J. Synthesis of racemic brevioxime and related analogues. Tetrahedron 2001, 57, 8699–8703. [Google Scholar] [CrossRef]
- Nobuaki, M.; Daisuke, K.; Michio, M.; Nakamura, H.; Tachibana, K. Stereochemical determination of acyclic structures based on carbon-proton spin-coupling constants. a method of configuration analysis for natural products. J. Org. Chem. 1999, 64, 866–876. [Google Scholar]
- Yang, J.; Zhang, B.; Gao, T.; Yang, M.; Zhao, G.; Zhu, H.; Li, L.; Cao, F. A pair of enantiomeric 5-oxabicyclic [4.3.0]lactam derivatives and one new polyketide from the marine-derived fungus Penicillium griseofulvum. Nat. Prod. Res 2018, 19, 2366–2369. [Google Scholar] [CrossRef]
- Lai, D.; Brötz-Oesterhelt, H.; Müller, W.E.G.; Wray, V.; Proksch, P. Bioactive polyketides and alkaloids from Penicillium citrinum, a fungal endophyte isolated from Ocimum tenuiflorum. Fitoterapia 2013, 91, 100–106. [Google Scholar] [CrossRef]
- Cantin, A.; Moya, P.; Castillo, M.A.; Primo, J.; Miranda, M.A.; Primo-Yufera, E. Isolation and synthesis of N-(2-methyl-3-oxodec-8-enoyl)-2-pyrroline and 2-(hept-5-enyl)-3-methyl-4-oxo-6,7,8,8a-tetrahydro-4H-pyrrolo [2,1-b]-1,3-oxazine, two new fungal metabolites with in-vivo anti-juvenile-hormone and insecticidal activity. Eur. J. Org. Chem. 1999, 1, 221–226. [Google Scholar] [CrossRef]
- Frisch, M.J.; Trucks, G.W.; Schlegel, H.B.; Scuseria, G.E.; Robb, M.A.; Cheeseman, J.R.; Scalmani, G.; Barone, V.; Mennucci, B.; Petersson, G.A.; et al. Gaussian 09, Revision A.02; Gaussian, Inc.: Wallingford, CT, USA, 2009. [Google Scholar]



| No. | 1 a | 2 b | 3 b | 4 b | ||||
|---|---|---|---|---|---|---|---|---|
| δC | δH | δC | δH | δC | δH | δC | δH | |
| 2 | 61.6 | 4.28, m | 128.4 | 6.50, m | 128.7 | 6.54, m | 128.4 | 6.56, d (4.5) |
| 3 | 28.5 | 2.05, m; 1.59, m | 112.9 | 5.26, m | 113.7 | 5.29, m | 113.5 | 5.29, m |
| 4 | 24.6 | 1.96, dt (13.2, 6.5) 1.88, dt (12.5, 6.5) | 28.2 | 2.60, m | 28.6 | 2.66, m | 28.3 | 2.78, t (9.1) |
| 5 | 48.2 | 3.63, m; 3.55, m | 44.9 | 3.80, m | 46.0 | 3.86, t (9.3) | 45.6 | 3.87, t (9.0) |
| 6 | 67.9 | 3.68, m; 3.61, m | ||||||
| 1′ | 167.6 | 172.5 | 165.7 | 165.7 | ||||
| 2′ | 121.6 | 6.12, dt (15.0,1.7) | 42.4 | 2.56, m | 53.1 | 3.58, q (7.0) | 53.2 | 3.58, q (7.0) |
| 3′ | 147.1 | 6.96, dt (15.0, 7.0) | 74.0 | 3.59, m | 207.5 | 206.1 | ||
| 4′ | 32.7 | 2.28, q (7.0) | 35.3 | 1.45, m | 39.7 | 2.54, m; 2.47, m | 39.1 | 2.60, m; 2.53, m |
| 5′ | 31.4 | 2.15, dt (8.7, 7.0) | 25.5 | 1.45, m; 1.32, m | 23.8 | 1.60, m | 26.1 | 2.30, m |
| 6′ | 129.9 | 5.42, m | 29.6 | 1.34, m | 25.5 | 1.42, m; 1.32, m | 130.0 | 5.59, m |
| 7′ | 126.2 | 5.46, m | 32.6 | 1.94, m | 37.0 | 1.43, m | 134.1 | 5.44, dd (15.7, 6.5) |
| 8′ | 18.1 | 1.65, d (4.9) | 131.4 | 5.37, m | 73.4 | 3.48, m | 74.3 | 3.93, m |
| 9′ | 124.8 | 5.37, m | 30.6 | 1.45, m | 30.3 | 1.51, m | ||
| 10′ | 18.0 | 1.60, d (3.9) | 10.4 | 0.92, t (7.4) | 9.9 | 0.87, t (7.4) | ||
| 11′ | 15.1 | 1.21, d (7.1) | 13.6 | 1.37, d (7.0) | 13.2 | 1.37, d (7.1) | ||
| No. | 5 a | 6 b,c | 7 b | |||||
|---|---|---|---|---|---|---|---|---|
| δC | δH | δC | δH | δC | δH | δC | δH | |
| 1-NH | 6.23, s | |||||||
| 2 | 89.7 | 5.62, m | 92.6 | 5.29, s | 94.3 | 4.70, s | 34.7 | 3.28, q (7.3) |
| 3 | 29.8 | 1.97, m | 73.2 | 4.20, m | 73.3 | 4.37, m | 14.8 | 1.12, d (7.3) |
| 4 | 21.3 | 2.03, m; 1.91, m | 31.1 | 2.27, m | 30.0 | 2.19, m | ||
| 5 | 45.8 | 3.56, m; 3.51, m | 44.6 | 3.57, m | 44.2 | 3.64, m | ||
| 1′ | 170.1 | 171.4 | 172.2 | 169.5 | ||||
| 2′ | 52.7 | 4.08, q (7.2) | 53.0 | 3.49, m | 53.0 | 3.57, m | 54.4 | 3.41, q (7.2) |
| 3′ | 208.6 | 206.8 | 207.5 | 210.6 | ||||
| 4′ | 39.3 | 2.49, td (7.4, 1.1) | 39.2 | 2.41, m | 39.8 | 2.53, m | 41.7 | 2.54, td (7.3, 3.7) |
| 5′ | 23.1 | 1.53, p (7.4) | 23.1 | 1.53, m | 23.1 | 1.53, m | 22.9 | 1.55, p (7.4) |
| 6′ | 29.1 | 1.34, m | 29.1 | 1.29, m | 29.1 | 1.29, m | 29.0 | 1.32, m |
| 7′ | 32.5 | 1.98, m | 32.4 | 1.94, m | 32.4 | 1.94, m | 32.4 | 1.97, m |
| 8′ | 131.0 | 5.38, m | 131.2 | 5.38, m | 131.2 | 5.38, m | 130.9 | 5.39, m |
| 9′ | 125.3 | 5.40, m | 125.3 | 5.39, m | 125.3 | 5.39, m | 125.2 | 5.39, m |
| 10′ | 18.0 | 1.63, d (4.7) | 18.1 | 1.62, d (3.6) | 18.1 | 1.62, d (3.6) | 18.0 | 1.63, d (4.9) |
| 11′ | 14.0 | 1.41, d (7.1) | 13.8 | 1.36, d (7.0) | 14.2 | 1.41, d (7.1) | 15.5 | 1.37, d (7.2) |
| 2-OCH3 | 57.1 | 3.41, s | 55.2 | 3.31, s | ||||
| No. | 8 a | 9 b | 10 a | |||
|---|---|---|---|---|---|---|
| δC | δH | δC | δH | δC | δH | |
| 2 | 92.4 | 5.02, d (3.8) | 87.9 | 5.20, dd (6.0, 4.5) | 87.7 | 5.20, dd (6.0, 4.6) |
| 3 | 75.5 | 4.49, m | 31.9 | 2.29, m; 2.21, m | 31.9 | 2.28, m; 2.13, m |
| 4 | 30.1 | 2.28, m; 1.93, m | 22.1 | 2.01, m; 1.85, m | 22.0 | 2.00, m; 1.86, m |
| 5 | 41.8 | 3.65, m | 44.6 | 3.73, m; 3.42, m | 44.4 | 3.72, ddd (11.2, 7.5, 6.2); 3.42, ddd (11.2, 7.6, 5.9) |
| 1′ | 163.4 | 163.7 | 164.0 | |||
| 2′ | 106.7 | 107.0 | 106.5 | |||
| 3′ | 163.4 | 163.2 | 163.7 | |||
| 4′ | 30.6 | 2.30, dt (15.0, 7.8); 2.24, m | 31.1 | 2.36, m; 2.22, m | 30.7 | 2.28, m; 2.17, m |
| 5′ | 26.4 | 1.53, p (7.6) | 30.1 | 2.21, m | 27.0 | 1.50, m |
| 6′ | 29.3 | 1.38, m | 128.8 | 5.39, m | 29.4 | 1.29, m |
| 7′ | 32.4 | 1.99, q (6.4) | 131.9 | 5.45, dt (15.1, 6.5) | 29.2 | 1.29, m |
| 8′ | 131.0 | 5.40, m | 34.8 | 1.95, q (7.3) | 31.9 | 1.29, m |
| 9′ | 125.4 | 5.39, m | 22.8 | 1.35, m | 22.8 | 1.32, m; 1.26, m |
| 10′ | 18.1 | 1.64, d (4.7) | 13.9 | 0.88, t (7.4) | 14.2 | 0.87, t (6.9) |
| 11′ | 10.2 | 1.79, s | 10.3 | 1.79, s | 10.2 | 1.79, s |
Disclaimer/Publisher’s Note: The statements, opinions and data contained in all publications are solely those of the individual author(s) and contributor(s) and not of MDPI and/or the editor(s). MDPI and/or the editor(s) disclaim responsibility for any injury to people or property resulting from any ideas, methods, instructions or products referred to in the content. |
© 2025 by the authors. Licensee MDPI, Basel, Switzerland. This article is an open access article distributed under the terms and conditions of the Creative Commons Attribution (CC BY) license (https://creativecommons.org/licenses/by/4.0/).
Share and Cite
Fan, F.-K.; Zhang, W.-T.; Edjah, P.P.; Tang, Q.-Q.; Huang, W.; He, L.-M.; Zhou, M.-Q.; Tian, C.-K.; Zhu, K.-K.; Yang, X.; et al. Pyrrolidine Alkaloids from Mangrove Fungus Penicillium sp. DM27 Enhance L6 Cell Glucose Uptake. Mar. Drugs 2025, 23, 455. https://doi.org/10.3390/md23120455
Fan F-K, Zhang W-T, Edjah PP, Tang Q-Q, Huang W, He L-M, Zhou M-Q, Tian C-K, Zhu K-K, Yang X, et al. Pyrrolidine Alkaloids from Mangrove Fungus Penicillium sp. DM27 Enhance L6 Cell Glucose Uptake. Marine Drugs. 2025; 23(12):455. https://doi.org/10.3390/md23120455
Chicago/Turabian StyleFan, Feng-Kai, Wen-Ting Zhang, Philomina Panin Edjah, Qing-Qing Tang, Wenqing Huang, Li-Ming He, Ming-Qi Zhou, Cong-Kui Tian, Kong-Kai Zhu, Xinzhou Yang, and et al. 2025. "Pyrrolidine Alkaloids from Mangrove Fungus Penicillium sp. DM27 Enhance L6 Cell Glucose Uptake" Marine Drugs 23, no. 12: 455. https://doi.org/10.3390/md23120455
APA StyleFan, F.-K., Zhang, W.-T., Edjah, P. P., Tang, Q.-Q., Huang, W., He, L.-M., Zhou, M.-Q., Tian, C.-K., Zhu, K.-K., Yang, X., Cai, Y.-S., Hong, K., & Liu, Y.-Z. (2025). Pyrrolidine Alkaloids from Mangrove Fungus Penicillium sp. DM27 Enhance L6 Cell Glucose Uptake. Marine Drugs, 23(12), 455. https://doi.org/10.3390/md23120455

