New Meroterpenes from South China Sea Soft Coral Litophyton brassicum
Abstract
1. Introduction
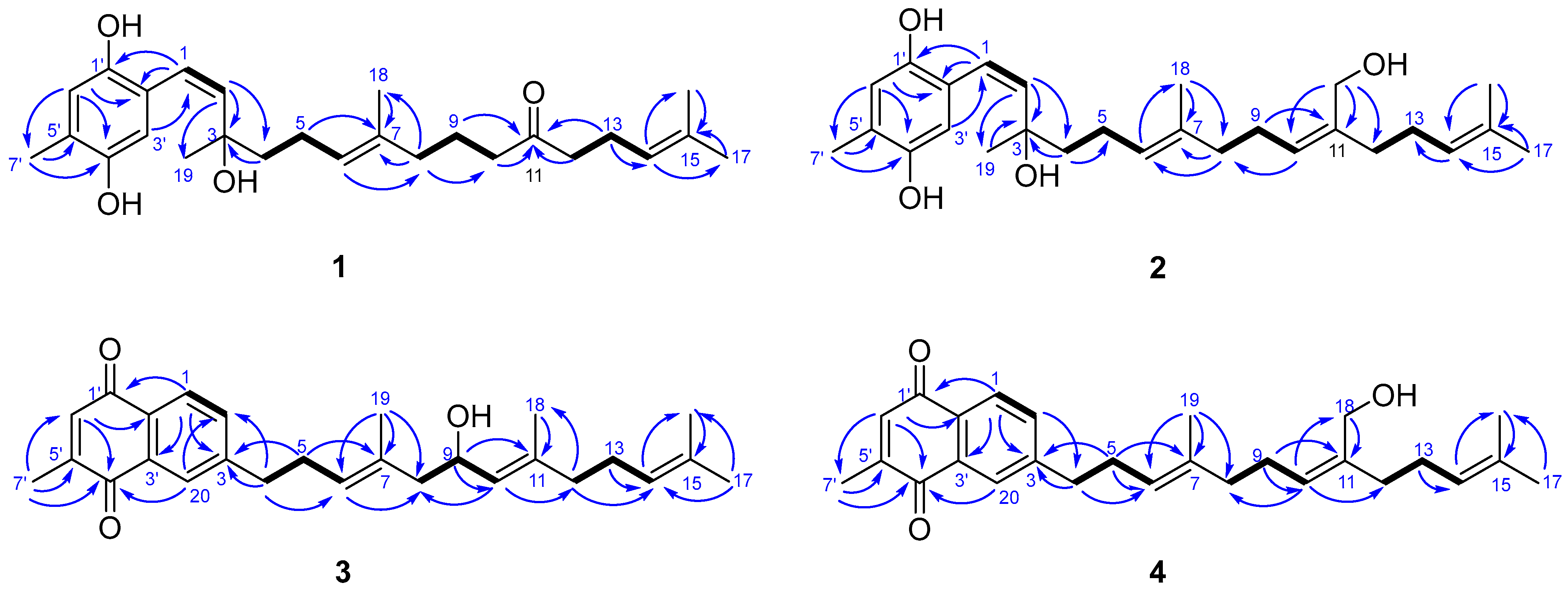
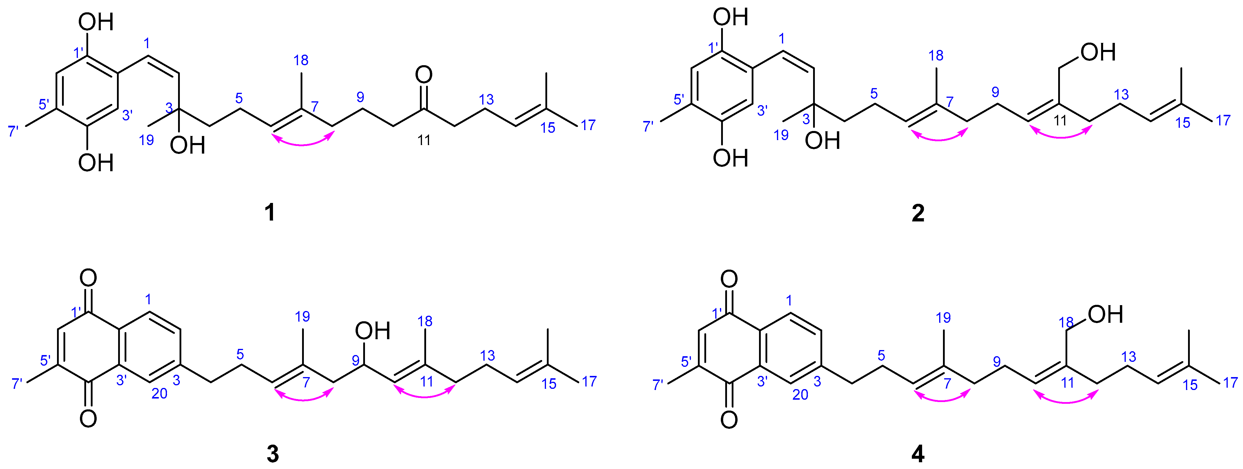
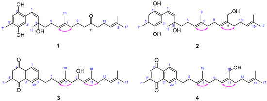
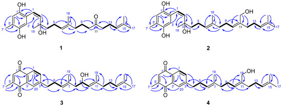
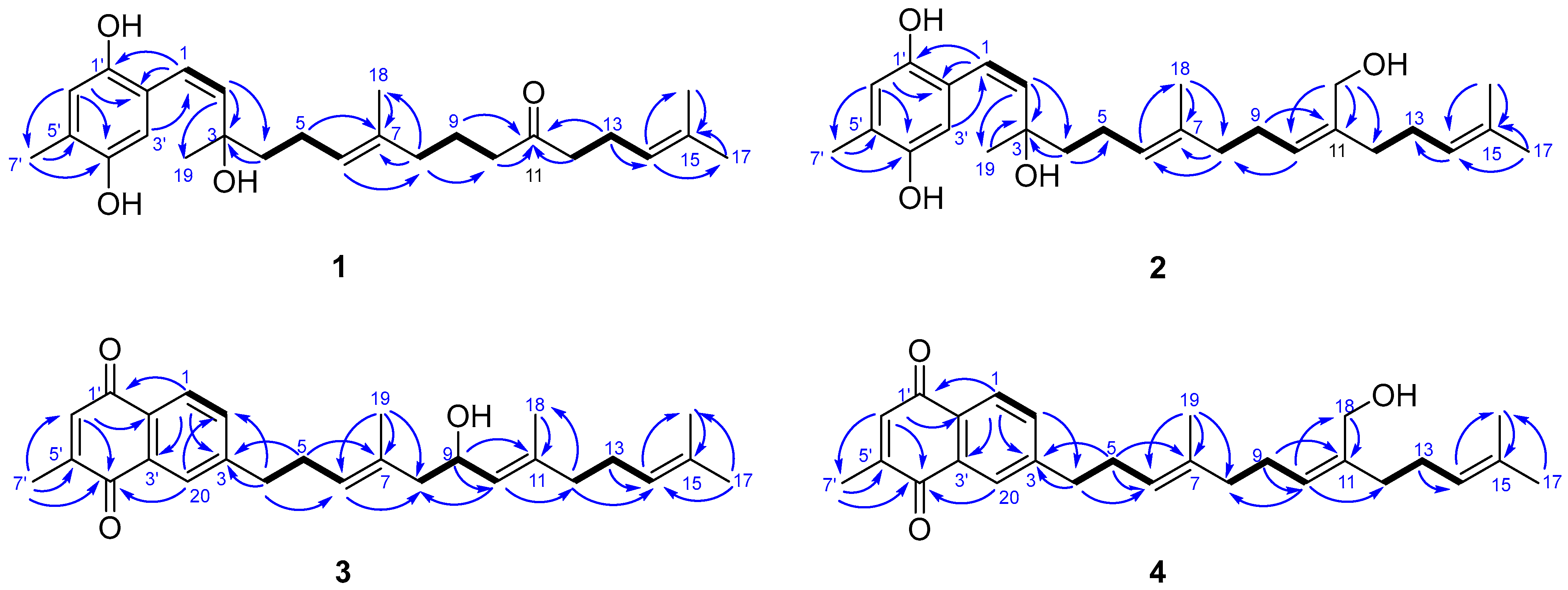
2. Results
3. Materials and Methods
3.1. General Chemical Experimental Procedures
3.2. Animal Material
3.3. Extraction and Isolation
3.4. Antibacterial Assays
3.5. Cytotoxic Activity Assays
4. Conclusions
Supplementary Materials
Author Contributions
Funding
Institutional Review Board Statement
Data Availability Statement
Acknowledgments
Conflicts of Interest
References
- Yan, X.-Y.; Zhang, L.; Yang, Q.-B.; Ge, Z.-Y.; Liang, L.-F.; Guo, Y.-W. Genus Litophyton: A hidden treasure trove of structurally unique and diversely bioactive secondary metabolites. Mar. Drugs 2023, 21, 523. [Google Scholar] [CrossRef] [PubMed]
- Tursch, B. Chemical studies of marine invertebrates XIII: 2-Hydroxynephtenol, a novel cembrane diterpene from the soft coral Litophyton viridis. Bull. Soc. Chim. Belg. 1975, 84, 767–774. [Google Scholar] [CrossRef]
- Zong, Y.; Yang, J.-J.; Li, K.; Pei, Y.-F.; Hou, H.-Y.; Zhang, Y.; Wang, C.-L.; Li, P.L. Litoamentenes A-K, eleven undescribed cembranoids with cytotoxicity from the South China Sea soft coral Litophyton amentaceum. Phytochemistry 2024, 223, 114113. [Google Scholar] [CrossRef] [PubMed]
- Iwagawa, T.; Kusatsu, D.; Tsuha, K.; Hamada, T.; Okamura, H.; Furukawa, T.; Akiyama, S.-I.; Doe, M.; Morimoto, Y.; Iwase, F.; et al. Cytotoxic eunicellin-type diterpenes from the soft coral Litophyton viscudium [Erratum to document cited in CA156:358828]. Heterocycles 2012, 85, 2615. [Google Scholar] [CrossRef]
- Ellithey, M.S.; Lall, N.; Hussein, A.A.; Meyer, D. Cytotoxic, cytostatic and HIV-1 PR inhibitory activities of the soft coral Litophyton arboreum. Mar. Drugs 2013, 11, 4917–4936. [Google Scholar] [CrossRef] [PubMed]
- Zovko, K.M.; Ioannou, E.; Vagias, C.; Sawadogo, W.R.; Abdel-Razik, A.F.; Diederich, M.; Roussis, V. 4α-Methylated steroids with cytotoxic activity from the soft coral Litophyton mollis. Steroids 2016, 115, 130–135. [Google Scholar] [CrossRef] [PubMed]
- Mahmoud, A.H.; Zidan, S.A.H.; Samy, M.N.; Alian, A.; Abdelmohsen, U.R.; Fouad, M.A.; Kamel, M.S.; Matsunami, K. Cytotoxicity and chemical profiling of the Red Sea soft corals Litophyton arboreum. Nat. Prod. Res. 2022, 36, 4261–4265. [Google Scholar] [CrossRef] [PubMed]
- Abou, E.-K.L.T.; Hawas, U.W.; Al-Farawati, R.; El-Desouky, S.K. Sesquiterpenes from the Saudi Red Sea: Litophyton arboreum with their cytotoxic and antimicrobial activities. Z. Naturforsch. C 2018, 73, 9–14. [Google Scholar] [CrossRef] [PubMed]
- Hassan, N.H.; El-Hawary, S.S.; Emam, M.; Rabeh, M.A.; Abdelmohsen, U.R.; Selim, N.M. Potential inhibitors of CYP51 enzyme in dermatophytes by Red Sea soft coral Nephthea sp.: In silico and molecular networking studies. ACS Omega 2022, 7, 13808–13817. [Google Scholar] [CrossRef] [PubMed]
- Ahmed, M.M.A.; Ragab, E.A.; Zayed, A.; El-Ghaly, E.M.; Ismail, S.K.; Khan, S.I.; Ali, Z.; Chittiboyina, A.G.; Khan, I.A. Litoarbolide A: An undescribed sesquiterpenoid from the Red Sea soft coral Litophyton arboreum with an in vitro anti-malarial activity evaluation. Nat. Prod. Res. 2023, 37, 542–550. [Google Scholar] [CrossRef] [PubMed]
- Hsiao, T.-H.; Sung, C.-S.; Lan, Y.-H.; Wang, Y.-C.; Lu, M.-C.; Wen, Z.-H.; Wu, Y.-C.; Sung, P.-J. New anti-inflammatory cembranes from the cultured soft coral Nephthea columnaris. Mar. Drugs 2015, 13, 3443–3453. [Google Scholar] [CrossRef] [PubMed]
- Yang, F.; Hua, Q.; Yao, L.-G.; Liang, L.-F.; Lou, Y.-X.; Lu, Y.-H.; An, F.-L.; Guo, Y.-W. One uncommon bis-sesquiterpenoid from Xisha soft coral Litophyton nigrum. Tetrahedron Lett. 2022, 88, 153571. [Google Scholar] [CrossRef]
- Yang, F.; Li, S.-W.; Zhang, J.; Liang, L.-F.; Lu, Y.-H.; Guo, Y.-W. Uncommon nornardosinane, seconeolemnane and related sesquiterpenoids from Xisha soft coral Litophyton nigrum. Bioorg. Chem. 2020, 96, 103636. [Google Scholar] [CrossRef] [PubMed]
- Abdelhafez, O.H.; Fahim, J.R.; Mustafa, M.; Aboulmagd, A.M. Abdelmohsen, Natural metabolites from the soft coral Nephthea sp. as potential SARS-CoV-2 main protease inhibitors. Nat. Prod. Res. 2022, 36, 2893–2896. [Google Scholar] [CrossRef] [PubMed]
- Sheu, J.H.; Su, J.H.; Sung, P.J.; Wang, G.H.; Dai, C.F. Novel meroditerpenoid-related metabolites from the formosan soft coral Nephthea chabrolii. J. Nat. Prod. 2004, 67, 2048–2052. [Google Scholar] [CrossRef] [PubMed]
- Su, J.-H.; Ahmed, A.F.; Sung, P.-J.; Wu, Y.-C.; Sheu, J.-H. Meroditerpenoids from a Formosan soft coral Nephthea chabrolii. J. Nat. Prod. 2005, 68, 1651–1655. [Google Scholar] [CrossRef] [PubMed]
- Shi, Y.; Pan, C.; Auckloo, B.N.; Chen, X.; Chen, C.-T.A.; Wang, K.; Wu, X.; Ye, Y.; Wu, B. Stress-driven discovery of a cryptic antibiotic produced by Streptomyces sp. WU20 from Kueishantao hydrothermal vent with an integrated metabolomics strategy. Appl. Microbiol. Biot. 2017, 101, 1395–1408. [Google Scholar] [CrossRef] [PubMed]
- Zhang, N.; Chen, Y.; Jiang, R.; Li, E.; Chen, X.; Xi, Z.; Guo, Y.; Liu, X.; Zhou, Y.; Che, Y. PARP and RIP 1 are required for autophagy induced by 11’-deoxyverticillin A, which precedes caspase-dependent apoptosis. Autophagy 2011, 7, 598–612. [Google Scholar] [CrossRef] [PubMed]



| Position | 1 | 2 | 3 | 4 | ||||
|---|---|---|---|---|---|---|---|---|
| δH Mult (J, Hz) | δC, Type | δH Mult (J, Hz) | δC, Type | δH Mult (J, Hz) | δC, Type | δH Mult (J, Hz) | δC, Type | |
| 1′ | 146.8, C | 146.8, C | 185.1, C | 185.2, C | ||||
| 2′ | 119.7, C | 119.7, C | 130.5, C | 130.4, C | ||||
| 3′ | 6.42, s | 112.6, CH | 6.42, s | 112.6, CH | 132.3, C | 132.0, C | ||
| 4′ | 147.6, C | 147.6, C | 186.1, C | 186.1, C | ||||
| 5′ | 124.7, C | 124. 7, C | 148.1, C | 148.1, C | ||||
| 6′ | 6.55, s | 118.3, CH | 6.55, s | 118.3, CH | 6.81, br.s | 135.9, CH | 6.81, q (1.6) | 135.9, CH |
| 7′ | 2.18, s | 16.1, CH3 | 2.17, s | 16.1, CH3 | 2.18, br.s | 16.4, CH3 | 2.18, d (1,6) | 16.6, CH3 |
| 1 | 6.25, d (9.8) | 122.6, CH | 6.25, d (9.8) | 122.6, CH | 7.96, d (7.9) | 126.5, CH | 7.96, d (7.9) | 126.4, CH |
| 2 | 5.52, d (9.8) | 129.9, CH | 5.52, d (9.8) | 129.9, CH | 7.52, dd (7.9, 1.8) | 134.0, CH | 7.52, dd (7.9, 1.8) | 134.1, CH |
| 3 | 78.1, C | 78.1, C | 148.8, C | 149.1, C | ||||
| 4 | 1.63, m; 1.69, m | 41.1, CH2 | 1.68, m; 1.62, m | 41.0, CH2 | 2.80, t (7.6) | 36.1, CH2 | 2.77, t (7.6) | 36.3, CH2 |
| 5 | 2.10, m | 22.8, CH2 | 2.10, m | 22.8, CH2 | 2.40, q (7.4) | 29.5, CH2 | 2.35, q (7.5) | 29.4, CH2 |
| 6 | 5.09, tq (7.2, 1.4) | 125.0, CH | 5.10, tq (5.7, 1.4) | 124.86, CH | 5.26, m | 126.6, CH | 5.15, td (7.2,1.4) | 123.2, CH |
| 7 | 134.7, C | 134.9, C | 133.6, C | 136.5, C | ||||
| 8 | 1.93, t (7.2) | 39.1, CH2 | 1.98, t (7.5) | 40.0, CH2 | 2.13, m | 48.2, CH2 | 1.99, m | 40.0, CH2 |
| 9 | 1.64, m | 21.9, CH2 | 2.14, m; 2.10, m | 26.3, CH2 | 4.42, m | 66.1, CH | 2.14, m | 26.4, CH2 |
| 10 | 2.32, t (7.4) | 42.3, CH2 | 5.28, t (7.3) | 128.8, CH | 5.15, d (8.2) | 127.3, CH | 5.27, t (7.3) | 128.6 CH |
| 11 | 211.4, C | 138.4, C | 138.5, C | 138.6, C | ||||
| 12 | 2.40, t (7.4) | 43.0, CH2 | 2.11, m | 35.3, CH2 | 2.00, t (7.7) | 39.7, CH2 | 2.11, m | 35.4, CH2 |
| 13 | 2.23, q (7.4) | 22. 7, CH2 | 2.10, m | 27.2, CH2 | 2.07, m | 26.5, CH2 | 2.11, m | 27.2, CH2 |
| 14 | 5.05, tp (7.2, 1.4) | 123.0, CH | 5.10, tq (5.7, 1.4) | 124.3, CH | 5.07, tq (6.9, 1.4) | 124.1, CH | 5.10, tq (5.4, 1.2) | 124.3, CH |
| 15 | 132. 8, C | 131.9, C | 131.8, C | 131.2, C | ||||
| 16 | 1.60, s | 17.8, CH3 | 1.68, s | 25.9, CH3 | 1.59, s | 17.8, CH3 | 1.60, s | 17.9, CH3 |
| 17 | 1.66, s | 25.8, CH3 | 1.60, s | 17.9, CH3 | 1.67, s | 25.8, CH3 | 1.68, s | 25.9, CH3 |
| 18 | 1.55, s | 15.8, CH3 | 4.10, s | 60.5, CH2 | 1.66, s | 16.6, CH3 | 4.11, s | 60.5, CH2 |
| 19 | 1.35, s | 26.2, CH3 | 1.57, s | 16.1, CH3 | 1.59, s | 16.7, CH3 | 1.52, s | 16.2, CH3 |
| 20 | 1.35, s | 26.2, CH3 | 7.91, d (1.8) | 126.5, CH | 7.90, d (1.8) | 126.6, CH | ||
| MIC (µg/mL) | ||||||
|---|---|---|---|---|---|---|
| Compounds | S. Aureus | B. Subtilis | V. Harveyi | V. Parahaemolyticus | E. coli | P. Aeruginosa |
| 1 | 32 | 32 | >64 | 32 | 64 | 16 |
| 2 | >64 | 8 | 16 | 16 | 16 | 16 |
| 3 | >64 | >64 | >64 | >64 | >64 | >64 |
| 4 | >64 | >64 | >64 | >64 | >64 | >64 |
| 5 | >64 | 32 | >64 | 64 | 32 | 32 |
| 6 | >64 | >64 | >64 | >64 | >64 | >64 |
| Penicillin a | <0.5 | <0.5 | <0.5 | <0.5 | <0.5 | <0.5 |
Disclaimer/Publisher’s Note: The statements, opinions and data contained in all publications are solely those of the individual author(s) and contributor(s) and not of MDPI and/or the editor(s). MDPI and/or the editor(s) disclaim responsibility for any injury to people or property resulting from any ideas, methods, instructions or products referred to in the content. |
© 2024 by the authors. Licensee MDPI, Basel, Switzerland. This article is an open access article distributed under the terms and conditions of the Creative Commons Attribution (CC BY) license (https://creativecommons.org/licenses/by/4.0/).
Share and Cite
Chen, X.; Zhang, J.; Yang, J.; Li, B.; Li, T.; Ouyang, H.; Lin, W.; Hu, H.; Yan, X.; He, S. New Meroterpenes from South China Sea Soft Coral Litophyton brassicum. Mar. Drugs 2024, 22, 392. https://doi.org/10.3390/md22090392
Chen X, Zhang J, Yang J, Li B, Li T, Ouyang H, Lin W, Hu H, Yan X, He S. New Meroterpenes from South China Sea Soft Coral Litophyton brassicum. Marine Drugs. 2024; 22(9):392. https://doi.org/10.3390/md22090392
Chicago/Turabian StyleChen, Xiaoyi, Jiahui Zhang, Jiayu Yang, Bing Li, Te Li, Han Ouyang, Wenhan Lin, Hongyu Hu, Xia Yan, and Shan He. 2024. "New Meroterpenes from South China Sea Soft Coral Litophyton brassicum" Marine Drugs 22, no. 9: 392. https://doi.org/10.3390/md22090392
APA StyleChen, X., Zhang, J., Yang, J., Li, B., Li, T., Ouyang, H., Lin, W., Hu, H., Yan, X., & He, S. (2024). New Meroterpenes from South China Sea Soft Coral Litophyton brassicum. Marine Drugs, 22(9), 392. https://doi.org/10.3390/md22090392

