Ultrasound Depolymerization and Characterization of Poly- and Oligosaccharides from the Red Alga Solieria chordalis (C. Agardh) J. Agardh 1842
Abstract
1. Introduction
2. Results
2.1. Chemical Characterization of Algal Material
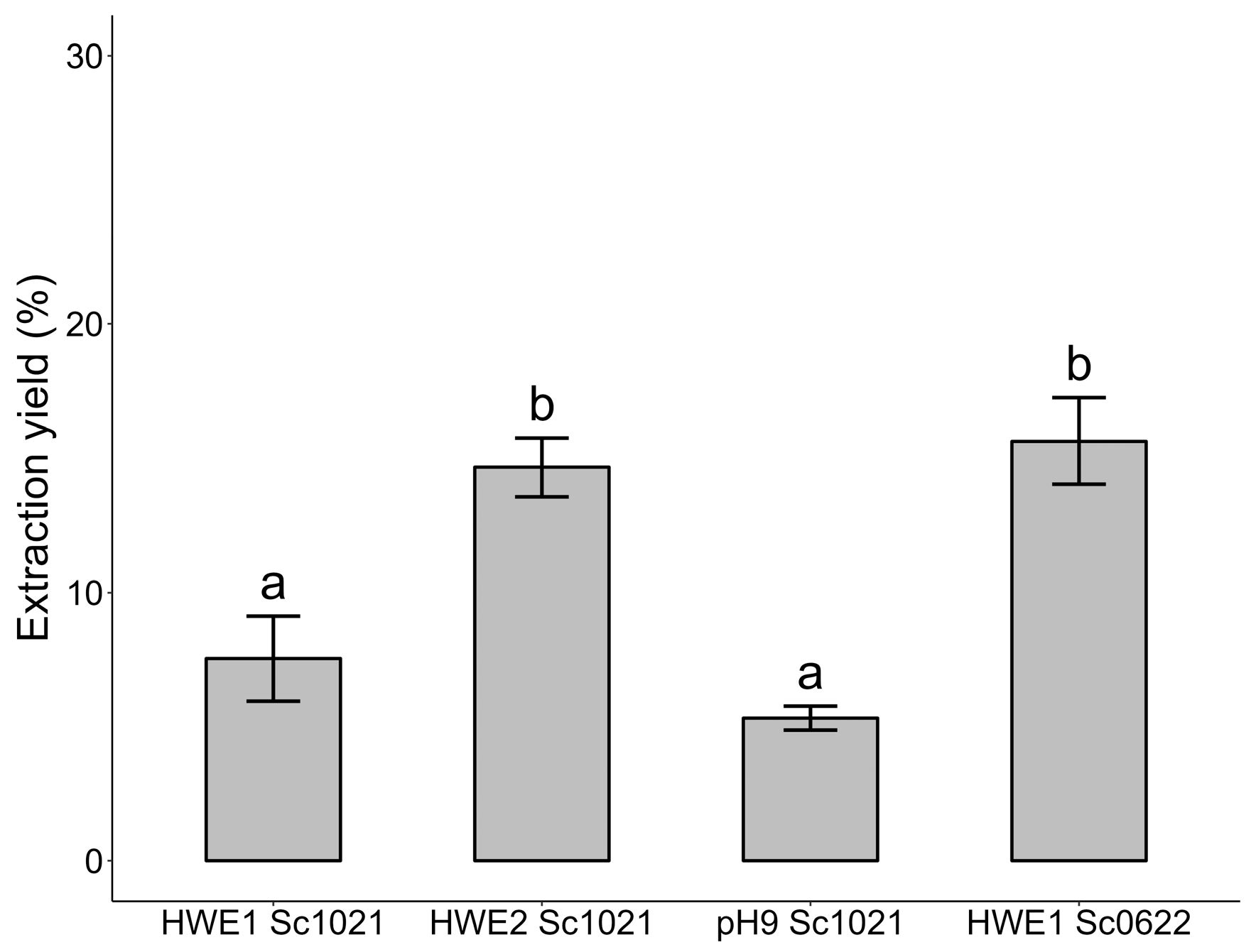
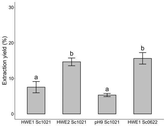
2.2. Extraction and Characterization of Solieria chordalis Extracts
2.3. Study of Parameters Influencing Ultrasonic Depolymerization
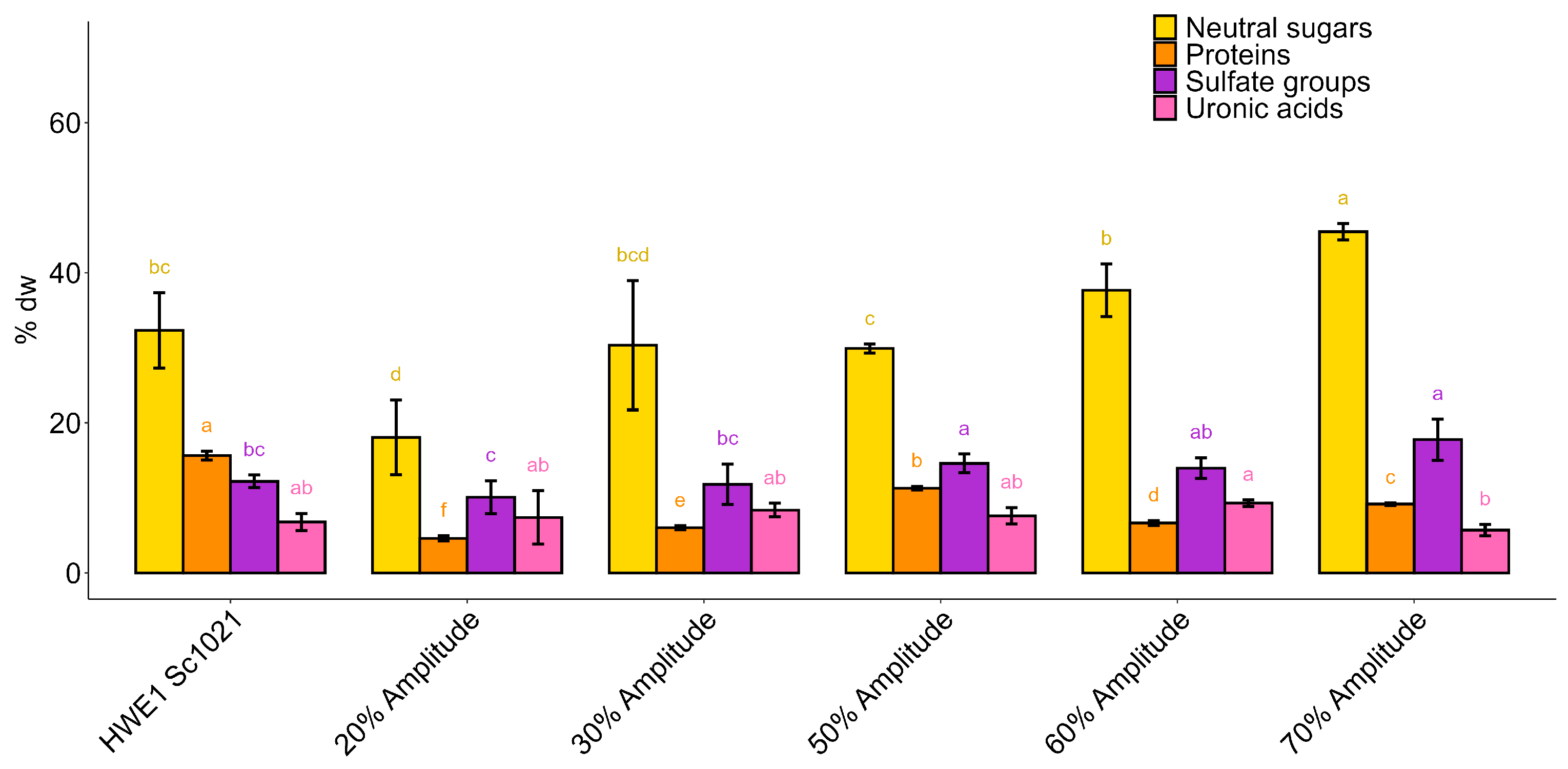
2.3.1. Effect of Amplitude
2.3.2. Effect of Time
2.4. Depolymerization of HWE1 Sc1021 and LDL-S 100 Using Hydrogen Peroxide and Ultrasound
2.4.1. HWE1 Sc1021 Depolymerization
2.4.2. LDL-S 100 Depolymerization
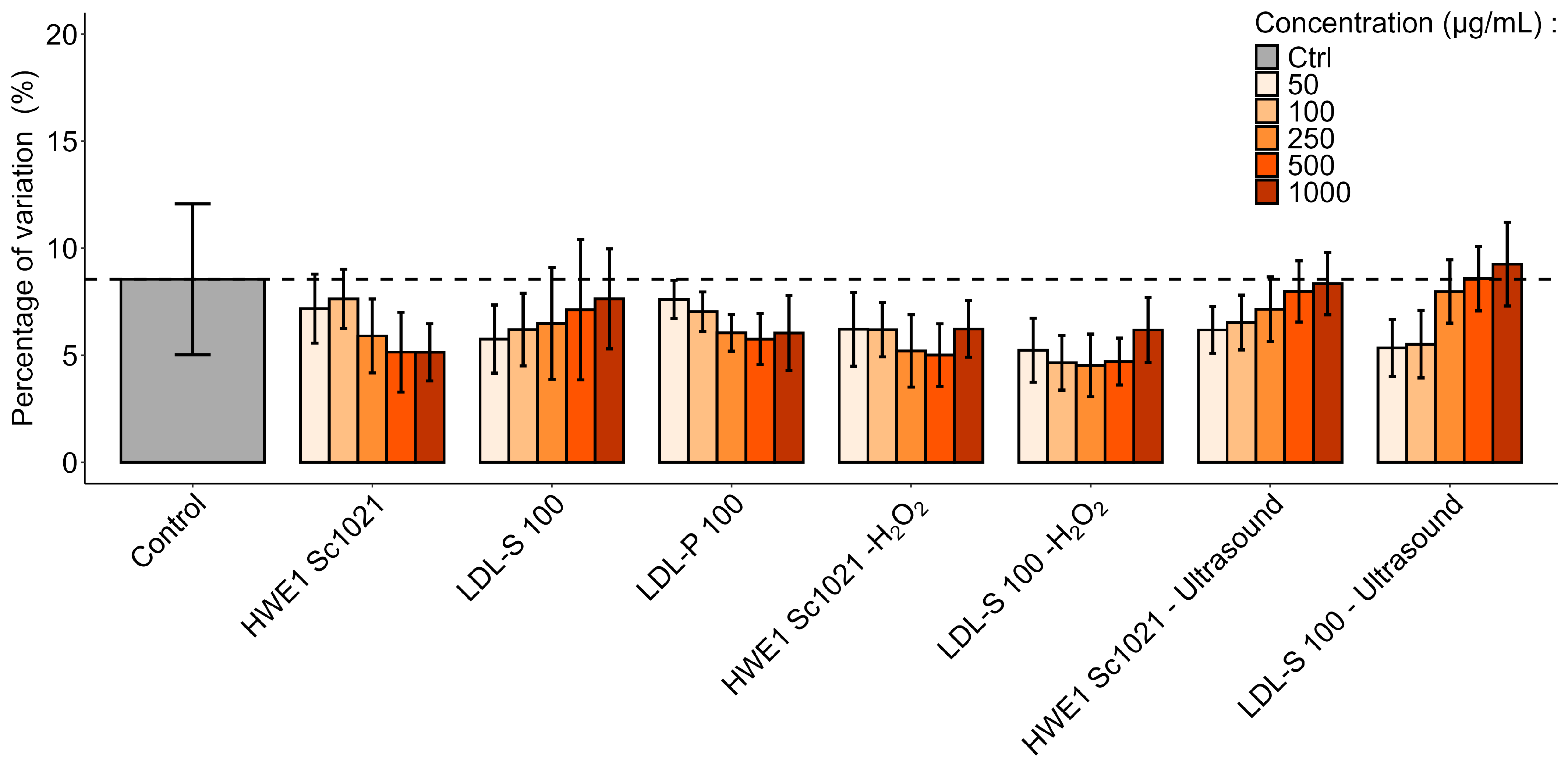
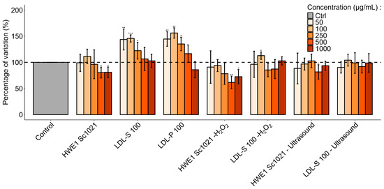
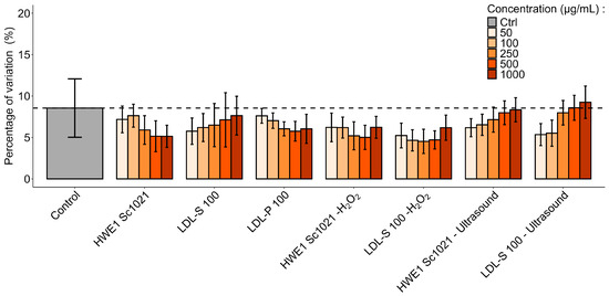
2.5. Evaluation of Polysaccharides and Low-Molecular-Weight Fractions of S. chordalis on Fibroblast Proliferation and Viability
3. Discussion
3.1. Composition of the Algal Material
3.2. Extraction and Purification of Polysaccharides from Solieria chordalis
3.3. Depolymerization of Carrageenan-Rich Fractions for LMW Production
3.3.1. Study of Parameters Influencing Depolymerization Using Ultrasound
3.3.2. Depolymerization of the Crude Extract HWE1 Sc1021 Using Hydrogen Peroxide and Ultrasound
3.3.3. Depolymerization of LDL-S 100 Using Hydrogen Peroxide and Ultrasound
3.4. Effects of Carrageenan-Rich Extracts and Low-Molecular-Weight Fractions on Human Dermal Fibroblast Proliferation and Viability
4. Materials and Methods
4.1. Algal Material
4.2. Extraction and Purification of Sulfated Polysaccharides
4.3. Sulfated Polysaccharide Depolymerization Using Two Methods
4.4. Chemical and Biochemical Characterization
4.4.1. Compositional Analysis of Algal Material and Extracts
4.4.2. High-Pressure Size-Exclusion Chromatography (HPSEC)
4.4.3. High-Performance Anion-Exchange Chromatography (HPAEC-PAD)
4.5. Fourier Transform Infrared Spectroscopy
4.6. Biological Activity
4.6.1. Cell Culture
4.6.2. WST-1 Assay
4.6.3. LDH Cytotoxicity Assay
4.7. Statistical Analysis
5. Conclusions
Supplementary Materials
Author Contributions
Funding
Institutional Review Board Statement
Data Availability Statement
Acknowledgments
Conflicts of Interest
References
- Burlot, A.-S.; Freile-Pelegrín, Y.; Bourgougnon, N.; Pliego-Cortés, H.; Boulho, R.; Penuela, A.; Spain, O.; Choulot, M.; Bondu, S.; Terme, N.; et al. Concise Review of the Genus Solieria J. Agardh, 1842. J. Appl. Phycol. 2023, 35, 961–982. [Google Scholar] [CrossRef]
- Spain, O.; Hardouin, K.; Bourgougnon, N.; Michalak, I. Enzyme-Assisted Extraction of Red Seaweed Solieria chordalis (C.Agardh) J. Agardh 1842—the Starting Point for the Production of Biostimulants of Plant Growth and Biosorbents of Metal Ions. Biomass Conv. Bioref. 2022, 14, 1621–1635. [Google Scholar] [CrossRef]
- Choulot, M.; Michalak, I.; Jing, L.; Szymczycha-Madeja, A.; Wełna, M.; Bourgougnon, N.; Le Guillard, C. The Enzyme-Assisted Extraction of Compounds of Interest in Agriculture: Case Study of the Red Seaweed Solieria chordalis (C. Agardh) J. Agardh. Algal Res. 2023, 75, 103239. [Google Scholar] [CrossRef]
- Bondu, S.; Deslandes, E.; Fabre Marie, S.; Berthou, C.; Guangli, Y. Carrageenan from Solieria chordalis (Gigartinales): Structural Analysis and Immunological Activities of the Low Molecular Weight Fractions. Carbohydr. Polym. 2010, 81, 448–460. [Google Scholar] [CrossRef]
- Kendel, M.; Wielgosz-Collin, G.; Bertrand, S.; Roussakis, C.; Bourgougnon, N.; Bedoux, G. Lipid Composition, Fatty Acids and Sterols in the Seaweeds Ulva armoricana, and Solieria chordalis from Brittany (France): An Analysis from Nutritional, Chemotaxonomic, and Antiproliferative Activity Perspectives. Mar. Drugs 2015, 13, 5606–5628. [Google Scholar] [CrossRef]
- Knutsen, S.H.; Myslabodski, D.E.; Larsen, B.; Usov, A.I. A Modified System of Nomenclature for Red Algal Galactans. Bot. Mar. 1994, 37, 163–169. [Google Scholar] [CrossRef]
- Boulho, R.; Marty, C.; Freile-Pelegrín, Y.; Robledo, D.; Bourgougnon, N.; Bedoux, G. Antiherpetic (HSV-1) Activity of Carrageenans from the Red Seaweed Solieria chordalis (Rhodophyta, Gigartinales) Extracted by Microwave-Assisted Extraction (MAE). J. Appl. Phycol. 2017, 29, 2219–2228. [Google Scholar] [CrossRef]
- Pliego-Cortés, H.; Hardouin, K.; Bedoux, G.; Marty, C.; Cérantola, S.; Freile-Pelegrín, Y.; Robledo, D.; Bourgougnon, N. Sulfated Polysaccharides from Seaweed Strandings as Renewable Source for Potential Antivirals against Herpes Simplex Virus 1. Mar. Drugs 2022, 20, 116. [Google Scholar] [CrossRef]
- Jousselin, C.; Pliego-Cortés, H.; Damour, A.; Garcia, M.; Bodet, C.; Robledo, D.; Bourgougnon, N.; Lévêque, N. Anti-SARS-CoV-2 Activity of Polysaccharides Extracted from Halymenia floresii and Solieria chordalis (Rhodophyta). Mar. Drugs 2023, 21, 348. [Google Scholar] [CrossRef] [PubMed]
- Patel, A.K.; Laroche, C.; Marcati, A.; Ursu, A.V.; Jubeau, S.; Marchal, L.; Petit, E.; Djelveh, G.; Michaud, P. Separation and Fractionation of Exopolysaccharides from Porphyridium cruentum. Bioresour. Technol. 2013, 145, 345–350. [Google Scholar] [CrossRef] [PubMed]
- Huang, C.-Y.; Huang, C.-Y.; Yang, C.-C.; Lee, T.-M.; Chang, J.-S. Hair Growth-Promoting Effects of Sargassum glaucescens Oligosaccharides Extracts. J. Taiwan. Inst. Chem. Eng. 2022, 134, 104307. [Google Scholar] [CrossRef]
- Chopin, T.; Kerin, B.F.; Mazerolle, R. Phycocolloid Chemistry as a Taxonomic Indicator of Phylogeny in the Gigartinales, Rhodophyceae: A Review and Current Developments Using Fourier Transform Infrared Diffuse Reflectance Spectroscopy. Phycol. Res. 1999, 47, 167–188. [Google Scholar] [CrossRef]
- Freile-Pelegrín, Y.; Azamar, J.A.; Robledo, D. Preliminary Characterization of Carrageenan from the Red Seaweed Halymenia floresii. J. Aquat. Food Product. Technol. 2011, 20, 73–83. [Google Scholar] [CrossRef]
- Gómez-Ordóñez, E.; Rupérez, P. FTIR-ATR Spectroscopy as a Tool for Polysaccharide Identification in Edible Brown and Red Seaweeds. Food Hydrocoll. 2011, 25, 1514–1520. [Google Scholar] [CrossRef]
- Pacheco, D.; Cotas, J.; Domingues, A.; Ressurreição, S.; Bahcevandziev, K.; Pereira, L. Chondracanthus teedei Var. Lusitanicus: The Nutraceutical Potential of an Unexploited Marine Resource. Mar. Drugs 2021, 19, 570. [Google Scholar] [CrossRef]
- Fournière, M.; Latire, T.; Lang, M.; Terme, N.; Bourgougnon, N.; Bedoux, G. Production of Active Poly- and Oligosaccharidic Fractions from Ulva Sp. by Combining Enzyme-Assisted Extraction (EAE) and Depolymerization. Metabolites 2019, 9, 182. [Google Scholar] [CrossRef]
- Hardouin, K.; Burlot, A.-S.; Umami, A.; Tanniou, A.; Stiger-Pouvreau, V.; Widowati, I.; Bedoux, G.; Bourgougnon, N. Biochemical and Antiviral Activities of Enzymatic Hydrolysates from Different Invasive French Seaweeds. J. Appl. Phycol. 2014, 26, 1029–1042. [Google Scholar] [CrossRef]
- Burlot, A.-S.; Bedoux, G.; Bourgougnon, N. Response Surface Methodology for Enzyme-Assisted Extraction of Water- Soluble Antiviral Compounds from the Proliferative Macroalga Solieria chordalis. Enz Eng. 2016, 05. [Google Scholar] [CrossRef]
- Cheong, K.-L.; Qiu, H.-M.; Du, H.; Liu, Y.; Khan, B.M. Oligosaccharides Derived from Red Seaweed: Production, Properties, and Potential Health and Cosmetic Applications. Molecules 2018, 23, 2451. [Google Scholar] [CrossRef] [PubMed]
- Burlot, A.-S. Valorisation Des Métabolites d’algues Proliférantes Par Voie Enzymatique: Applications Dans Les Domaines de La Nutrition et Santé Animale, Végétale et Humaine, de La Cosmétique et de l’environnement. Ph.D. Thesis, Université de Bretagne Sud, Lorient, France, 2016. [Google Scholar]
- Kravchenko, A.O.; Byankina Barabanova, A.O.; Glazunov, V.P.; Yakovleva, I.M.; Yermak, I.M. Seasonal Variations in a Polysaccharide Composition of Far Eastern Red Seaweed Ahnfeltiopsis flabelliformis (Phyllophoraceae). J. Appl. Phycol. 2018, 30, 535–545. [Google Scholar] [CrossRef]
- Pasqualetti, C.B.; Carvalho, M.A.M.; Mansilla, A.; Avila, M.; Colepicolo, P.; Yokoya, N.S. Variations on Primary Metabolites of the Carrageenan-Producing Red Algae Sarcopeltis skottsbergii from Chile and Sarcopeltis Antarctica from Antarctic Peninsula. Front. Mar. Sci. 2023, 10, 1151332. [Google Scholar] [CrossRef]
- Surget, G.; Le Lann, K.; Delebecq, G.; Kervarec, N.; Donval, A.; Poullaouec, M.-A.; Bihannic, I.; Poupart, N.; Stiger-Pouvreau, V. Seasonal Phenology and Metabolomics of the Introduced Red Macroalga Gracilaria vermiculophylla, Monitored in the Bay of Brest (France). J. Appl. Phycol. 2017, 29, 2651–2666. [Google Scholar] [CrossRef]
- Véliz, K.; Chandía, N.; Rivadeneira, M.; Thiel, M. Seasonal Variation of Carrageenans from Chondracanthus chamissoi with a Review of Variation in the Carrageenan Contents Produced by Gigartinales. J. Appl. Phycol. 2017, 29, 3139–3150. [Google Scholar] [CrossRef]
- O’Colla, P. Floridean Starch. Proc. R. Ir. Academy. Sect. B Biol. Geol. Chem. Sci. 1952, 55, 321–329. [Google Scholar]
- Bondu, S. Analyses Structurales Des Carbohydrates de l’algue Soliera chordalis (Rhodophyta) et Étude de Leurs Fonctions Métaboliques, Possibilités d’application Dans Le Domaine de La Cancérologie-Immunologie. Ph.D. Thesis, Université de Bretagne Occidentale, Brest, France, 2009. [Google Scholar]
- Alba, K.; Kontogiorgos, V. Seaweed Polysaccharides (Agar, Alginate Carrageenan). In Encyclopedia of Food Chemistry; Elsevier: Amsterdam, The Netherlands, 2019; Volume 1, pp. 240–250. ISBN 978-0-12-814045-1. [Google Scholar]
- Azmir, J.; Zaidul, I.S.M.; Rahman, M.M.; Sharif, K.M.; Mohamed, A.; Sahena, F.; Jahurul, M.H.A.; Ghafoor, K.; Norulaini, N.A.N.; Omar, A.K.M. Techniques for Extraction of Bioactive Compounds from Plant Materials: A Review. J. Food Eng. 2013, 117, 426–436. [Google Scholar] [CrossRef]
- Suwal, S.; Perreault, V.; Marciniak, A.; Tamigneaux, É.; Deslandes, É.; Bazinet, L.; Jacques, H.; Beaulieu, L.; Doyen, A. Effects of High Hydrostatic Pressure and Polysaccharidases on the Extraction of Antioxidant Compounds from Red Macroalgae, Palmaria palmata and Solieria chordalis. J. Food Eng. 2019, 252, 53–59. [Google Scholar] [CrossRef]
- Harrysson, H.; Hayes, M.; Eimer, F.; Carlsson, N.-G.; Toth, G.B.; Undeland, I. Production of Protein Extracts from Swedish Red, Green, and Brown Seaweeds, Porphyra umbilicalis Kützing, Ulva lactuca Linnaeus, and Saccharina latissima (Linnaeus) J. V. Lamouroux Using Three Different Methods. J. Appl. Phycol. 2018, 30, 3565–3580. [Google Scholar] [CrossRef]
- Prado-Fernández, J.; Rodríguez-Vázquez, J.A.; Tojo, E.; Andrade, J.M. Quantitation of κ-, ι- and λ-Carrageenans by Mid-Infrared Spectroscopy and PLS Regression. Anal. Chim. Acta 2003, 480, 23–37. [Google Scholar] [CrossRef]
- Deslandes, E.; Floc‘h, J.-Y.; Bodeau-Bellion, C.; Brault, D.; Braud, J.P. Short Communication. Bot. Mar. 1985, 28, 317–318. [Google Scholar] [CrossRef]
- Usov, A.I. Polysaccharides of the Red Algae. In Advances in Carbohydrate Chemistry and Biochemistry; Elsevier: Amsterdam, The Netherlands, 2011; Volume 65, pp. 115–217. ISBN 978-0-12-385520-6. [Google Scholar]
- Gómez-Ordóñez, E.; Jiménez-Escrig, A.; Rupérez, P. Molecular Weight Distribution of Polysaccharides from Edible Seaweeds by High-Performance Size-Exclusion Chromatography (HPSEC). Talanta 2012, 93, 153–159. [Google Scholar] [CrossRef]
- Campo, V.L.; Kawano, D.F.; da Silva, D.B.; Carvalho, I. Carrageenans: Biological Properties, Chemical Modifications and Structural Analysis—A Review. Carbohydr. Polym. 2009, 77, 167–180. [Google Scholar] [CrossRef]
- Diharmi, A.; Fardiaz, D.; Andarwulan, N.; Heruwati, E.S. Chemical and Physical Characteristics of Carrageenan Extracted from Eucheuma spinosum Harvested from Three Different Indonesian Coastal Sea Regions. Phycol. Res. 2017, 65, 256–261. [Google Scholar] [CrossRef]
- Premarathna, A.D.; Ahmed, T.A.E.; Kulshreshtha, G.; Humayun, S.; Shormeh Darko, C.N.; Rjabovs, V.; Hammami, R.; Critchley, A.T.; Tuvikene, R.; Hincke, M.T. Polysaccharides from Red Seaweeds: Effect of Extraction Methods on Physicochemical Characteristics and Antioxidant Activities. Food Hydrocoll. 2024, 147, 109307. [Google Scholar] [CrossRef]
- Jaulneau, V.; Lafitte, C.; Jacquet, C.; Fournier, S.; Salamagne, S.; Briand, X.; Esquerré-Tugayé, M.-T.; Dumas, B. Ulvan, a Sulfated Polysaccharide from Green Algae, Activates Plant Immunity through the Jasmonic Acid Signaling Pathway. J. Biomed. Biotechnol. 2010, 1–11. [Google Scholar] [CrossRef] [PubMed]
- Flórez-Fernández, N.; González-Muñoz, M.J.; Domínguez, H. Feasibility of Posthydrolysis Processing of Hydrothermal Extracts from Sargassum muticum. Algal Res. 2017, 27, 73–81. [Google Scholar] [CrossRef]
- Tarman, K.; Zuhair, M.W.; Uju; Pari, R.F. Ultrasound-Assisted Depolymerization of Carrageenan from Kappaphycus alvarezii Hydrolized by a Marine Fungus. IOP Conf. Ser. Earth Environ. Sci. 2023, 1137, 012048. [Google Scholar] [CrossRef]
- Tecson, M.G.; Abad, L.V.; Ebajo, V.D.; Camacho, D.H. Ultrasound-Assisted Depolymerization of Kappa-Carrageenan and Characterization of Degradation Product. Ultrason. Sonochemistry 2021, 73, 105540. [Google Scholar] [CrossRef] [PubMed]
- Szu, S.C.; Zon, G.; Schneerson, R.; Robbins, J.B. Ultrasonic Irradiation of Bacterial Polysaccharides. Characterization of the Depolymerized Products and Some Applications of the Process. Carbohydr. Res. 1986, 152, 7–20. [Google Scholar] [CrossRef]
- Xiao, J.; Chen, X.; Zhan, Q.; Zhong, L.; Hu, Q.; Zhao, L. Effects of Ultrasound on the Degradation Kinetics, Physicochemical Properties and Prebiotic Activity of Flammulina velutipes Polysaccharide. Ultrason. Sonochemistry 2022, 82, 105901. [Google Scholar] [CrossRef]
- Zhou, C.; Ma, H. Ultrasonic Degradation of Polysaccharide from a Red Algae (Porphyra yezoensis). J. Agric. Food Chem. 1995, 54, 2223–2228. [Google Scholar] [CrossRef]
- Youssouf, L.; Lallemand, L.; Giraud, P.; Soulé, F.; Bhaw-Luximon, A.; Meilhac, O.; D’Hellencourt, C.L.; Jhurry, D.; Couprie, J. Ultrasound-Assisted Extraction and Structural Characterization by NMR of Alginates and Carrageenans from Seaweeds. Carbohydr. Polym. 2017, 166, 55–63. [Google Scholar] [CrossRef] [PubMed]
- Hmelkov, A.B.; Zvyagintseva, T.N.; Shevchenko, N.M.; Rasin, A.B.; Ermakova, S.P. Ultrasound-Assisted Extraction of Polysaccharides from Brown Alga Fucus evanescens. Structure and Biological Activity of the New Fucoidan Fractions. J. Appl. Phycol. 2018, 30, 2039–2046. [Google Scholar] [CrossRef]
- Alboofetileh, M.; Rezaei, M.; Tabarsa, M.; You, S. Ultrasound-Assisted Extraction of Sulfated Polysaccharide from Nizamuddinia zanardinii: Process Optimization, Structural Characterization, and Biological Properties. J. Food Process Eng. 2019, 42, e12979. [Google Scholar] [CrossRef]
- Kawadkar, A.S.; Gogate, P.R. Intensified Depolymerization Using Ultrasound – A Review of Mechanisms, Reactors, Operating Conditions and Applications. Chem. Eng. Process. 2023, 191, 109446. [Google Scholar] [CrossRef]
- Yermak, I.M.; Barabanova, A.O.; Aminin, D.L.; Davydova, V.N.; Sokolova, E.V.; Solov’eva, T.F.; Kim, Y.H.; Shin, K.S. Effects of Structural Peculiarities of Carrageenans on Their Immunomodulatory and Anticoagulant Activities. Carbohydr. Polym. 2012, 87, 713–720. [Google Scholar] [CrossRef] [PubMed]
- Rostami, Z.; Tabarsa, M.; You, S.; Rezaei, M. Relationship between Molecular Weights and Biological Properties of Alginates Extracted under Different Methods from Colpomenia peregrina. Process Biochem. 2017, 58, 289–297. [Google Scholar] [CrossRef]
- Duan, J.; Kasper, D.L. Oxidative Depolymerization of Polysaccharides by Reactive Oxygen/Nitrogen Species. Glycobiology 2011, 21, 401–409. [Google Scholar] [CrossRef] [PubMed]
- Zhang, Z.; Song, T.; Cai, W.; Wang, F.; Lv, G. Effects of Different Depolymerisation Methods on the Physicochemical and Antioxidant Properties of Polysaccharides Derived from Sparassis latifolia. Process Biochem. 2021, 110, 110–117. [Google Scholar] [CrossRef]
- Rochas, C.; Heyraud, A. Acid and Enzymic Hydrolysis of Kappa Carrageenan. Polym. Bull. 1981, 5, 81–86. [Google Scholar] [CrossRef]
- Bertolini, A.C.; Mestres, C.; Colonna, P.; Raffi, J. Free Radical Formation in UV- and Gamma-Irradiated Cassava Starch. Carbohydr. Polym. 2001, 44, 269–271. [Google Scholar] [CrossRef]
- Meillisa, A.; Woo, H.-C.; Chun, B.-S. Production of Monosaccharides and Bio-Active Compounds Derived from Marine Polysaccharides Using Subcritical Water Hydrolysis. Food Chem. 2015, 171, 70–77. [Google Scholar] [CrossRef]
- Vinatoru, M.; Mason, T.J.; Calinescu, I. Ultrasonically Assisted Extraction (UAE) and Microwave Assisted Extraction (MAE) of Functional Compounds from Plant Materials. TrAC Trends Anal. Chem. 2017, 97, 159–178. [Google Scholar] [CrossRef]
- Kawakishi, S.; Kito, Y.; Namiki, M. Radiation-Induced Degradation of d-Glucose in Anaerobic Condition. Agric. Biol. Chem. 1977, 41, 951–957. [Google Scholar] [CrossRef]
- Delattre, C.; Michaud, P.; Courtois, B.; Courtois, J. Oligosaccharides Engineering from Plants and Algae—Applications in Biotechnology and Therapeutic. Minerva Biotecnol. 2005, 17, 117. [Google Scholar]
- Pengzhan, Y.; Quanbin, Z.; Hong, Z.; Xizhen, N.; Zhien, L. Preparation of Polysaccharides in Different Molecular Weights from Ulva Pertusa Kjellm (Chorophyta). Chin. J. Ocean. Limnol. 2004, 22, 381–385. [Google Scholar] [CrossRef]
- Mason, T.J.; Lorimer, J.P. A General Introduction to Sonochemistry. In Sonochemistry: The Uses of Ultrasound in Chemistry; The Royal Society of Chemistry: Cambridge, UK, 1990; pp. 1–8. [Google Scholar]
- Ashokkumar, M.; Mason, T.J. Sonochemistry. In Kirk-Othmer Encyclopedia of Chemical Technology; John Wiley & Sons, Inc., Ed.; John Wiley & Sons, Inc.: Hoboken, NJ, USA, 2007; pp. 1–34. ISBN 978-0-471-23896-6. [Google Scholar]
- Van de Velde, F.; Knutsen, S.H.; Usov, A.I.; Rollema, H.S.; Cerezo, A.S. 1H and 13C High Resolution NMR Spectroscopy of Carrageenans: Application in Research and Industry. Trends Food Sci. Technol. 2002, 13, 73–92. [Google Scholar] [CrossRef]
- Yan, J.-K.; Wang, Y.-Y.; Ma, H.-L.; Wang, Z.-B. Ultrasonic Effects on the Degradation Kinetics, Preliminary Characterization and Antioxidant Activities of Polysaccharides from Phellinus linteus Mycelia. Ultrason. Sonochemistry 2016, 29, 251–257. [Google Scholar] [CrossRef] [PubMed]
- Wang, C.; Qiu, W.-Y.; Chen, T.-T.; Yan, J.-K. Effects of Structural and Conformational Characteristics of Citrus Pectin on Its Functional Properties. Food Chem. 2021, 339, 128064. [Google Scholar] [CrossRef] [PubMed]
- Yao, Z.; Wu, H.; Zhang, S.; Du, Y. Enzymatic Preparation of κ-Carrageenan Oligosaccharides and Their Anti-Angiogenic Activity. Carbohydr. Polym. 2014, 101, 359–367. [Google Scholar] [CrossRef]
- Zainal Ariffin, S.H.; Yeen, W.W.; Zainol Abidin, I.Z.; Megat Abdul Wahab, R.; Zainal Ariffin, Z.; Senafi, S. Cytotoxicity Effect of Degraded and Undegraded Kappa and Iota Carrageenan in Human Intestine and Liver Cell Lines. BMC Complement. Altern. Med. 2014, 14, 508. [Google Scholar] [CrossRef]
- Caamal-Fuentes, E.; Robledo, D.; Freile-Pelegrín, Y. Physicochemical Characterization and Biological Activities of Sulfated Polysaccharides from Cultivated Solieria filiformis Rhodophyta. Nat. Product. Commun. 2017, 12, 1934578X1701200. [Google Scholar] [CrossRef]
- Souza, R.B.; Frota, A.F.; Silva, J.; Alves, C.; Neugebauer, A.Z.; Pinteus, S.; Rodrigues, J.A.G.; Cordeiro, E.M.S.; de Almeida, R.R.; Pedrosa, R.; et al. Activités in Vitro de La Kappa-Carraghénane Isolée de l’algue Marine Rouge Hypnea musciformis: Potentiel Antimicrobien, Anticancéreux et Neuroprotecteur. Int. J. Biol. Macromol. 2018, 112, 1248–1256. [Google Scholar] [CrossRef] [PubMed]
- Ale, M.T.; Mikkelsen, J.D.; Meyer, A.S. Important Determinants for Fucoidan Bioactivity: A Critical Review of Structure-Function Relations and Extraction Methods for Fucose-Containing Sulfated Polysaccharides from Brown Seaweeds. Mar. Drugs 2011, 9, 2106–2130. [Google Scholar] [CrossRef]
- Fournière, M.; Bedoux, G.; Lebonvallet, N.; Leschiera, R.; Le Goff-Pain, C.; Bourgougnon, N.; Latire, T. Poly- and Oligosaccharide Ulva Sp. Fractions from Enzyme-Assisted Extraction Modulate the Metabolism of Extracellular Matrix in Human Skin Fibroblasts: Potential in Anti-Aging Dermo-Cosmetic Applications. Mar. Drugs 2021, 19, 156. [Google Scholar] [CrossRef]
- Bourgougnon, N. Activité Antivirale et Antiprolifératrice, In Vitro, du Polysaccharide Sulfaté de Schizymenia dubyi (Rhodophytes, Gigartinales). Ph.D. Thesis, Université de Nantes, Nantes, France, 1994. [Google Scholar]
- Dubois, M.; Gilles, K.A.; Hamilton, J.K.; Rebers, P.A.; Smith, F. Colorimetric Method for Determination of Sugars and Related Substances. Anal. Chem. 1956, 28, 350–356. [Google Scholar] [CrossRef]
- Smith, P.K.; Krohn, R.I.; Hermanson, G.T.; Mallia, A.K.; Gartner, F.H.; Provenzano, M.D.; Fujimoto, E.K.; Goeke, N.M.; Olson, B.J.; Klenk, D.C. Measurement of Protein Using Bicinchoninic Acid. Anal. Biochem. 1985, 150, 76–85. [Google Scholar] [CrossRef]
- Jaques, L.B.; Balueux, R.E.; Dietrich, C.P.; Kavanagh, L.W. A Microelectrophoresis Method for Heparin. Can. J. Physiol. Pharmacol. 1968, 46, 351–360. [Google Scholar] [CrossRef] [PubMed]
- Montreuil, J.; Spik, G.; Chosson, A.; Segard, E.; Scheppler, N. Methods of study of the Structure of Glycoproteins. J. Pharm. Belg. 1963, 18, 529–546. [Google Scholar]
- Blumenkrantz, N.; Asboe-Hansen, G. New Method for Quantitative Determination of Uronic Acids. Anal. Biochem. 1973, 54, 484–489. [Google Scholar] [CrossRef]
- Hardouin, K.; Bouyer, R.; Pliego-Cortés, H.; Le Men, T.; Cérantola, S.; Marty, C.; Douzenel, P.; Bedoux, G.; Bourgougnon, N. Chemical Characterization of the Introduced Red Alga Polyopes lancifolius (Halymeniales, Rhodophyta) from the Gulf of Morbihan, France. Phycologia 2022, 61, 616–627. [Google Scholar] [CrossRef]
- Pliego-Cortés, H.; Bedoux, G.; Boulho, R.; Taupin, L.; Freile-Pelegrín, Y.; Bourgougnon, N.; Robledo, D. Stress Tolerance and Photoadaptation to Solar Radiation in Rhodymenia pseudopalmata (Rhodophyta) through Mycosporine-like Amino Acids, Phenolic Compounds, and Pigments in an Integrated Multi-Trophic Aquaculture System. Algal Res. 2019, 41, 101542. [Google Scholar] [CrossRef]












| Alga Sample | Ash Content | Neutral Sugars | Proteins | Sulfate Groups | Uronic Acids |
|---|---|---|---|---|---|
| (% dw) | (% dw) | (% dw) | (% dw) | (% dw) | |
| Sc 1021 | 38.15 ± 1.54 a | 34.36 ± 3.42 a | 14.95 ± 0.64 | 8.80 ± 0.33 | 4.73 ± 0.34 |
| Sc 0622 | 45.00 ± 1.18 b | 26.68 ± 2.05 b | 13.20 ± 0.33 | 8.44 ± 0.29 | 4.18 ± 0.85 |
| Sample | Gal | Glu | Xyl | GlcA |
|---|---|---|---|---|
| HWE1 Sc1021 | 22.70 | 60.24 | 2.38 | 6.48 |
| HWE2 Sc1021 | 41.57 | 45.77 | 0.42 | 9.67 |
| pH 9 Sc1021 | 18.24 | 74.04 | 1.24 | 2.95 |
| HWE1 Sc0622 | 47.13 | 37.16 | 5.44 | 7.70 |
| Wavenumber (cm−1) | Linkage(s)/Group(s) | Unit | Type of Galactan |
|---|---|---|---|
| 1730–1600 | C=O aldehyde or ketone or carboxylic acid or ester group | / | / |
| 1210–1250 | S=O of sulfate esters | / | Kappa (κ), iota (ι), and lambda (λ) |
| 1020 | C-O of 3,6-anhydrogalactose | DA | Kappa (κ), iota (ι), and agar |
| 928–933 | C-O of 3,6-anhydrogalactose | DA | Kappa (κ), iota (ι), and agar |
| 905 | C-O-SO3 on C2 of 3,6-anhydrogalactose | DA2S | Iota (ι) |
| 867 | C-O- SO3on C6 of galactose | G/D6S | Lambda (λ) |
| 848 | C-O- SO3on C2 of galactose | G4S | Kappa (κ) and iota (ι) |
| 825 | C-O- SO3on C2 of galactose | G/D2S | Lambda (λ) |
| 795–805 | C-O- SO3 on C2 of 3,6-anhydrogalactose | DA2S | Iota (ι) |
| Crude Polysaccharides | Fractions after Depolymerization | ||
|---|---|---|---|
| HWE1 Sc1021 | HWE1 Sc1021—H2O2 | HWE1 Sc1021—Ultrasound | |
| Neutral sugars (% dw) | 32.31 ± 5.00 b | 29.60 ± 7.21 b | 43.47 ± 1.42 a |
| Proteins (% dw) | 15.64 ± 0.57 c | 18.64 ± 0.33 b | 11.62 ± 0.16 a |
| Sulfate groups (% dw) | 12.20 ± 0.84 c | 6.19 ± 0.49 b | 16.69 ± 0.14 a |
| Uronic acids (% dw) | 6.78 ± 1.14 c | 9.68 ± 0.67 b | 4.81 ± 0.45 a |
| Molecular weight | >1.3 MDa | 7.6 kDa | 23.6 kDa |
| Polydispersity (PD) | / | 1.42 | 3.30 |
| Dialyzed Polysaccharides | Fractions after Depolymerization | ||
|---|---|---|---|
| LDL-S 100 | LDL-S 100—H2O2) | LDL-S 100—Ultrasound | |
| Neutral sugars (% dw) | 40.98 ± 7.01 c | 34.69 ± 9.76 c | 69.49% ± 2.51 a |
| Proteins (% dw) | 15.75 ± 1.06 c | 19.61 ± 0.71 a | 13.21 ± 0.42 b |
| Sulfate groups (% dw) | 11.61 ± 1.18 c | 9.71 ± 1.88 b | 33.67 ± 0.42 a |
| Uronic acids (% dw) | 5.96 ± 0.37 c | 13.86 ± 0.50 a | 8.99 ± 1.97 b |
| Molecular weight | >1.3 MDa | 7.3 kDa | 72.7 kDa |
| Polydispersity (PD) | / | 1.48 | 1.79 |
| Sample Name | Harvest Month | Extraction Method |
|---|---|---|
| HWE1 Sc1021 | October 2021 | HWE |
| HWE2 Sc1021 | October 2021 | HWE |
| pH 9 Sc1021 | October 2021 | pH adjustment followed by HWE |
| HWE1 Sc0622 | June 2022 | HWE |
Disclaimer/Publisher’s Note: The statements, opinions and data contained in all publications are solely those of the individual author(s) and contributor(s) and not of MDPI and/or the editor(s). MDPI and/or the editor(s) disclaim responsibility for any injury to people or property resulting from any ideas, methods, instructions or products referred to in the content. |
© 2024 by the authors. Licensee MDPI, Basel, Switzerland. This article is an open access article distributed under the terms and conditions of the Creative Commons Attribution (CC BY) license (https://creativecommons.org/licenses/by/4.0/).
Share and Cite
Lesgourgues, M.; Latire, T.; Terme, N.; Douzenel, P.; Leschiera, R.; Lebonvallet, N.; Bourgougnon, N.; Bedoux, G. Ultrasound Depolymerization and Characterization of Poly- and Oligosaccharides from the Red Alga Solieria chordalis (C. Agardh) J. Agardh 1842. Mar. Drugs 2024, 22, 367. https://doi.org/10.3390/md22080367
Lesgourgues M, Latire T, Terme N, Douzenel P, Leschiera R, Lebonvallet N, Bourgougnon N, Bedoux G. Ultrasound Depolymerization and Characterization of Poly- and Oligosaccharides from the Red Alga Solieria chordalis (C. Agardh) J. Agardh 1842. Marine Drugs. 2024; 22(8):367. https://doi.org/10.3390/md22080367
Chicago/Turabian StyleLesgourgues, Mathilde, Thomas Latire, Nolwenn Terme, Philippe Douzenel, Raphaël Leschiera, Nicolas Lebonvallet, Nathalie Bourgougnon, and Gilles Bedoux. 2024. "Ultrasound Depolymerization and Characterization of Poly- and Oligosaccharides from the Red Alga Solieria chordalis (C. Agardh) J. Agardh 1842" Marine Drugs 22, no. 8: 367. https://doi.org/10.3390/md22080367
APA StyleLesgourgues, M., Latire, T., Terme, N., Douzenel, P., Leschiera, R., Lebonvallet, N., Bourgougnon, N., & Bedoux, G. (2024). Ultrasound Depolymerization and Characterization of Poly- and Oligosaccharides from the Red Alga Solieria chordalis (C. Agardh) J. Agardh 1842. Marine Drugs, 22(8), 367. https://doi.org/10.3390/md22080367

