Leptogorgins A–C, Humulane Sesquiterpenoids from the Vietnamese Gorgonian Leptogorgia sp.
Abstract
1. Introduction
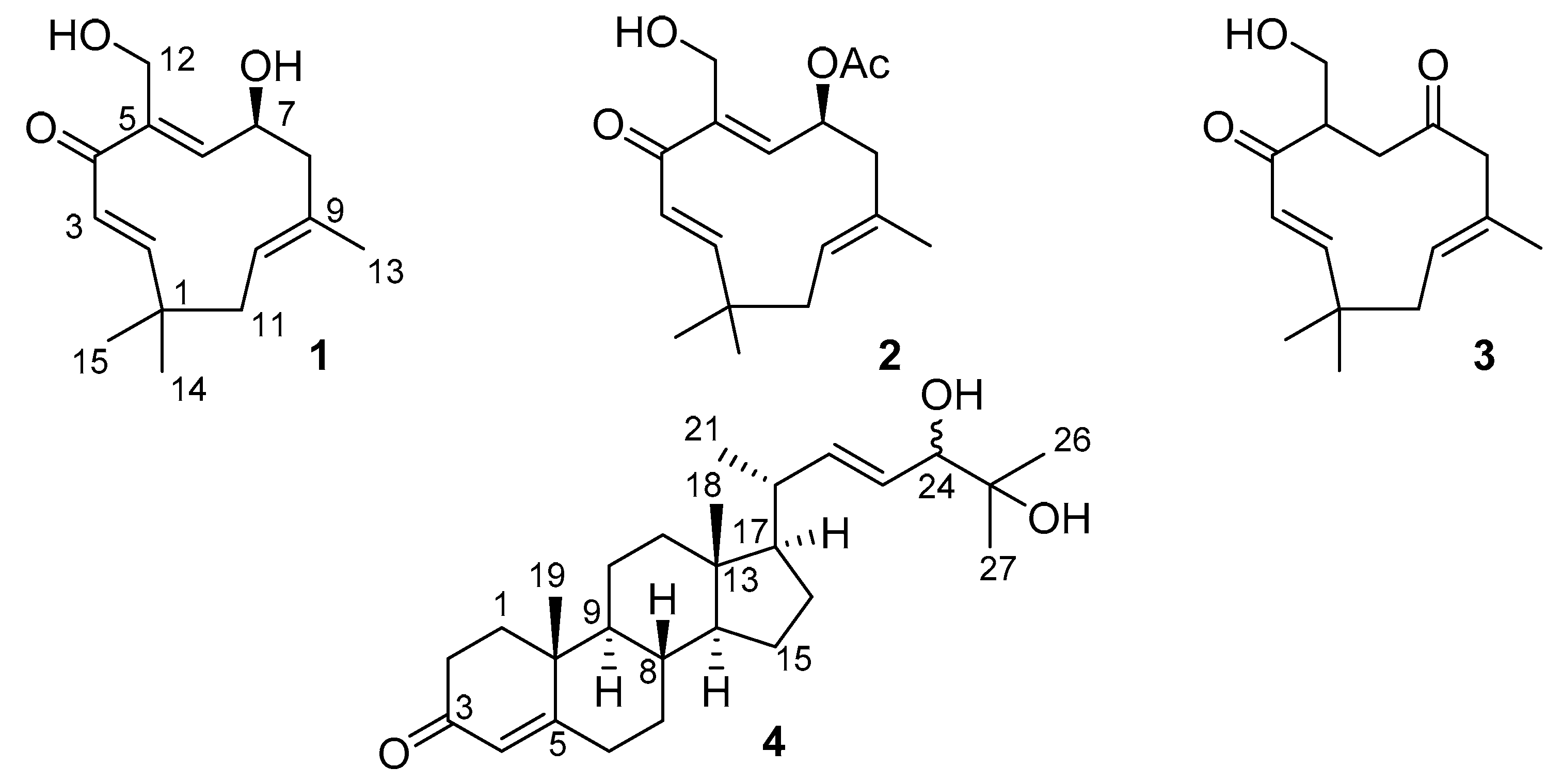
2. Results and Discussion
3. Materials and Methods
3.1. General Procedures
3.2. Animal Material
3.3. Extraction and Isolation
3.4. Compound Characterization Data
3.5. Bioactivity Assay
3.5.1. Reagents
3.5.2. Cell Lines and Culture Conditions
3.5.3. In Vitro MTT-Based Drug Sensitivity Assay
3.5.4. Colony Formation Assay
4. Conclusions
Supplementary Materials
Author Contributions
Funding
Acknowledgments
Conflicts of Interest
References
- Carroll, A.R.; Copp, B.R.; Davis, R.A.; Keyzers, R.A.; Prinsep, M.R. Marine Natural Products. Nat. Prod. Rep. 2020, 37, 175–223. [Google Scholar] [CrossRef] [PubMed]
- Dorta, E.; Diaz-Marrero, A.R.; Brito, I.; Cueto, M.; D’Croz, L.; Darias, J. The oxidation profile at C-18 of furanocembranolides may provide a taxonomical marker for several genera of octocorals. Tetrahedron 2007, 63, 9057–9062. [Google Scholar] [CrossRef]
- Ortega, M.J.; Zubia, E.; Sanchez, M.C.; Carballo, J.L. Cembrane diterpenes from the gorgonian Leptogorgia laxa. J. Nat. Prod. 2008, 71, 1637–1639. [Google Scholar] [CrossRef] [PubMed]
- Gerhart, D.J.; Coll, J.C. Pukalide, a widely distributed octocoral diterpenoid, includes vomiting in fish. J. Chem. Ecol. 1993, 19, 2697–2704. [Google Scholar] [CrossRef] [PubMed]
- Gutierrez, M.; Capson, T.L.; Guzman, C.M.; Gonzalez, J.; Ortega-Barria, E.; Quinoa, E.; Riguera, R. Leptolide, a new furanocembranolide diterpene from Leptogorgia alba. J. Nat. Prod. 2005, 68, 614–616. [Google Scholar] [CrossRef]
- Diaz-Marrero, A.R.; Porras, G.; Gueto, M.; D’Croz, L.; Lorenzo, M.; San-Martin, A.; Darias, J. Leptogorgolide, a biogenetically interesting 1,4-diketo-cembranoid that reinforcesthe oxidation profile of C-18 as taxonomical marker for octocorals. Tetrahedron 2009, 65, 6029–6033. [Google Scholar] [CrossRef]
- Gallardo, A.B.; Diaz-Marrero, A.R.; de la Rosa, J.M.; D’Croz, L.; Perdomo, G.; Cozar-Castello, I.; Darias, J.; Gueto, M. Chloro-furanocembranolides from Leptogorgia sp. improve pancreatic beta-cell proliferation. Mar. Drugs 2018, 16, 49. [Google Scholar] [CrossRef]
- Cimino, G.; De Rosa, S.; De Stefano, S.; Scognamiglio, G.; Sodano, G. Cholest-4,14-dien-20ξ-diol-3,16-dione, a novel polyoxygenated marine steroid which easily loses the side chain. Tetrahedron Lett. 1981, 22, 3013–3016. [Google Scholar] [CrossRef]
- Cimino, G.; De Rosa, S.; De Stefano, S.; Sodano, G. C-18 Hydroxy steroids from the Mediterranean gorgonian Leptogorgia sarmentosa. Experientia 1984, 40, 246–248. [Google Scholar] [CrossRef]
- Benvegnu, R.; Cimino, G.; De Rosa, S.; De Stefano, S. Guggulsterol-like steroids from the Mediterranean gorgonian Leptogorgia sarmentosa. Experientia 1982, 38, 1443–1444. [Google Scholar] [CrossRef]
- Garrido, L.; Zubia, E.; Ortega, M.J.; Salva, J. Isolation and structure elucidation of new cytotoxic steroids from the gorgonian Leptogorgia sarmentosa. Steroids 2000, 65, 85–88. [Google Scholar] [CrossRef]
- Moritz, M.I.G.; Marostica, L.L.; Bianco, E.M.; Almeida, M.T.R.; Carraro, J.L.; Cabrera, G.M.; Palermo, J.A.; Simoes, C.M.O.; Schenkel, E.P. Polyoxygenated steroids from the octocoral Leptogorgia punicea and in vitro evaluation of their cytotoxic activity. Mar. Drags 2014, 12, 5864–5880. [Google Scholar] [CrossRef] [PubMed]
- Keyzers, R.A.; Gray, C.A.; Schleyer, M.H.; Whibley, C.E.; Hendricks, D.T.; Davies-Coleman, M.T. Malonganenones A–C, novel tetraprenylated alkaloids from the Mozambique gorgonian Leptogorgia gilchristi. Tetrahedron 2006, 62, 2200–2206. [Google Scholar] [CrossRef]
- Miralles, J.; Barnathan, G.; Galonnier, R.; Sall, T.; Samb, A.; Gaydou, E.M.; Kornprobst, J.M. New branched-chain fatty acids from the Senegalese gorgonian Leptogorgia piccola (white and yellow morphs). Lipids 1995, 30, 459–466. [Google Scholar] [CrossRef] [PubMed]
- Targett, N.M.; Bishop, S.S.; McConnell, O.J.; Yoder, J.A. Antifouling agents against the benthic marine diatom, Navicula salinicola. Homarine from the gorgonians Leptogorgia virgulata and L. setacea and analogs. J. Chem. Ecol. 1983, 9, 817–829. [Google Scholar] [CrossRef]
- Kingsley, R.J.; Corcoran, M.L.; Krider, K.L.; Kriechbaum, K.L. Thyroxine and vitamin D in the gorgonian Leptogorgia virgulata. Comp. Biochem. Physiol. 2001, 129, 897–907. [Google Scholar] [CrossRef]
- Otto, A.; Wilde, V. Sesqui- di-, and triterpemoids as chemosystematic markers in extant conifers. A review. Bot. Rev. 2001, 67, 141–238. [Google Scholar] [CrossRef]
- Schifrin, A.; Litzenburger, M.; Ringle, M.; Ly, T.T.B.; Bernhardt, R. New sesqiterpene oxidations with CYP260A1 and CYP264B1 from Sorangium cellulosum Soce56. ChemBioChem 2015, 16, 2624–2632. [Google Scholar] [CrossRef]
- Nagashima, F.; Tabuchi, Y.; Ito, T.; Harinantenaia, L.; Asakawa, Y. Terpenoids, Flavonoids, and Acetogenins from some Malagasy plants. Nat. Prod. Commmun. 2016, 11, 153–157. [Google Scholar] [CrossRef]
- Toyota, M.; Omatsu, J.; Braggins, J.; Asakawa, Y. New humulane-type sesquiterpenes from the liverworts Tylimamthus tenellus and Marchantia emarginata subsp tosana. Chem. Pharm. Bull. 2004, 52, 481–484. [Google Scholar] [CrossRef][Green Version]
- Wang, J.F.; He, W.J.; Kong, F.D.; Tian, J.P.; Wang, P.; Zhou, X.J.; Liu, Y.H. Ochramecenes A-I, humulane-derived sesquiterpenoids from the Antharctic fungus Aspergillus ochraceopetaliformis. J. Nat. Prod. 2017, 80, 1725–1733. [Google Scholar] [CrossRef] [PubMed]
- Chen, H.P.; Liu, J. Secondary metaboilites from higher fungi. Prog. Chem. Org. Nat. Prod. 2017, 106, 1–201. [Google Scholar] [CrossRef] [PubMed]
- Wu, Z.; Liu, D.; Proksch, P.; Guo, P.; Lin, W. Punctaporonins H-M: Caryophyllene-type sesquiterpenoids from the sponge-associated fungus Hansfordia sinuosae. Mar. Drugs 2014, 12, 3904–3916. [Google Scholar] [CrossRef] [PubMed]
- Lu, S.Q.; Li, X.W.; Li, S.W.; Cui, Z.; Guo, Y.W.; Hun, G.Y. Sinuhirtins A and B, two uncommon norhumulane-type terpenoids from the South China Sea soft coral Sinularia hirta. Tetrahedron Lett. 2019, 60, 151308. [Google Scholar] [CrossRef]
- Chen, S.P.; Su, J.H.; Yeh, H.C.; Ahmed, A.F.; Dai, C.F.; Wu, Y.C.; Sheu, J.H. Novel norhumulene and xeniaphyllane-derived terpenoids from a Formosan Soft Coral Sinularia gibberosa. Chem. Pharm. Bull. 2009, 57, 162–166. [Google Scholar] [CrossRef][Green Version]
- Zhang, R.; Feng, X.; Su, G.; Mu, Z.; Zhang, H.; Zhao, Y.; Jiao, S.; Cao, L.; Chen, S.; Tu, P.; et al. Bioactive sesquiterpenoids from the peeled stems of Syringa pinnatifolia. J. Nat. Prod. 2018, 81, 1711–1720. [Google Scholar] [CrossRef]
- Yu, F.; Okomoto, S.; Harada, H.; Yamasaki, K.; Misawa, N.; Utsumi, R. Zingiber zerumbet CYP71BA1 catalyses the conversion of α-humulene to 8-hydroxy-α-humulene. Cell. Mol. Life Sci. 2011, 68, 1033–1040. [Google Scholar] [CrossRef]
- Kirana, C.; Mcintosh, G.H.; Record, I.R.; Jones, G.P. Antitumor activity of extract of Zinger aromaticum and its bioactive sesquiterpenoid zerumbone. Nutr. Cancer 2003, 45, 218–225. [Google Scholar] [CrossRef]
- Dyshlovoy, S.A.; Menchinskaya, E.S.; Venz, S.; Rast, S.; Amann, K.; Hauschild, J.; Otte, K.; Kalinin, V.I.; Silchenko, A.S.; Avilov, S.A.; et al. The marine triterpene glycoside frondoside A exhibits activity in vitro and in vivo in prostate cancer. Int. J. Cancer 2016, 138, 2450–2465. [Google Scholar] [CrossRef]
- Dyshlovoy, S.A.; Venz, S.; Hauschild, J.; Tabakmakher, K.M.; Otte, K.; Madanchi, R.; Walther, R.; Guzii, A.G.; Makarieva, T.N.; Shubina, L.K.; et al. Antimigrating activity of marine alkaloid monanchocidin A, proteome-based discovery and confirmation. Proteomics 2016, 16, 1590–1603. [Google Scholar] [CrossRef]
- Dyshlovoy, S.A.; Hauschild, J.; Amann, K.; Tabakmakher, K.M.; Venz, S.; Walther, R.; Guzii, A.G.; Makarieva, T.N.; Shubina, L.K.; Fedorov, S.N.; et al. Marine alkaloid Monanchocidin A overcomes drug resistance by induction of autophagy and lysosomal membrane permeabilization. Oncotarget 2015, 6, 17328–17341. [Google Scholar] [CrossRef] [PubMed]





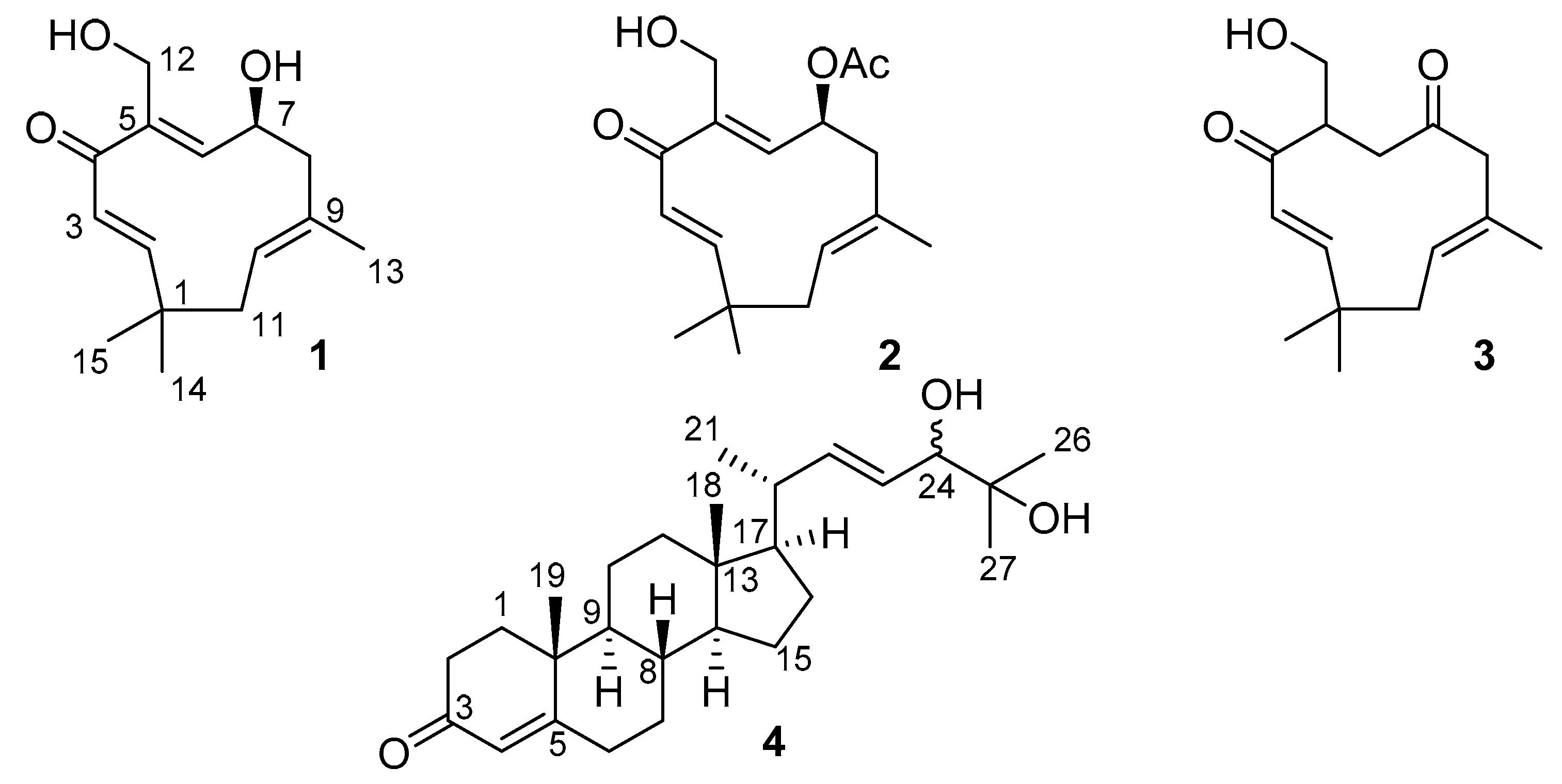
| Position | 1 | 2 | 3 | |||
|---|---|---|---|---|---|---|
| δC | δH mult (J in Hz) | δC | δH mult (J in Hz) | δC | δH mult (J in Hz) | |
| 1 | 38.0 C | - | 38.1 C | - | 40.4 * C | - |
| 2 | 164.8 CH | 6.32, d (16.3) | 162.8 CH | 6.24, d (16.3) | 152.7 CH | 6.29, d (16.1) |
| 3 | 128.1 CH | 5.97, d (16.3) | 128.1 CH | 6.07, d (16.3) | 128.4 CH | 5.76, d (16.1) |
| 4 | 200.8 C | - | 199.4 C | - | 204.3 C | - |
| 5 | 143.0 C | - | 145.2 C | 48.6 CH | 3.38, m | |
| 6 | 133.8 CH | 5.75, d (10.6) | 129.5 C | 5.70, dt (10.6; 1.3) | 41.2 CH2 | 2.43, dd (16.9; 2.9) |
| 2.73, dd (16.9; 9.7) | ||||||
| 7 | 71.7 CH | 4.21 td (10.6; 5.4) | 72.9 CH | 5.28, td (10.6; 5.1) | 204.3 C | |
| 8 | 45.3 CH2 | 1.96, m | 42.7 CH2 | 2.03, m | 54.1 CH2 | 3.00, d (12.4) |
| 2.68, dd (12.2; 5.4) | 2.69, dd (12.5; 5.1) | 3.15, d (12.4) | ||||
| 9 | 132.4 C | - | 128.1 C | - | 127.8 C | - |
| 10 | 125.9 CH | 5.22, brd (12.5) | 127.1 C | 5.32, m | 129.0 CH | 5.37, ddd (10.5; 5.7, 1.2) |
| 11 | 40.7 CH2 | 1.95, m | 40.7 | 1.97, m | 40.2 * CH2 | 2.00, m |
| 2.40, t (12.5) | 2.39, t (12.6) | 2.07, m | ||||
| 12 | 64.7 CH2 | 4.25, d (13.3) | 64.8 CH2 | 4.26, dd (13.2; 4.6) | 63.0 CH2 | 3.78, m |
| 4.38, d (13.3) | 4.40, dd (13.2; 6.3) | 3.89, m | ||||
| 13 | 20.1 CH3 | 1.72, s | 20.0 CH3 | 1.73, s | 19.0 CH3 | 1.64, s |
| 14 | 24.0 CH3 | 1.18, s | 23.9 CH3 | 1.21, s | 28.8 CH3 | 1.21, s |
| 15 | 29.1 CH3 | 1.13, s | 29.2 CH3 | 1.13, s | 24.3 CH3 | 1.09, s |
| COCH3 | 169.7 C | - | ||||
| COCH3 | 21.2 CH3 | 1.98, s | ||||
| Position | δC | δH mult (J in Hz) | Position | δC | δH mult (J in Hz) |
|---|---|---|---|---|---|
| 1 | 35.7 CH2 | 1.70, m | 16 | 28.5 CH2 | 1.29, m |
| 2.03, m | 1.70, m | ||||
| 2 | 34.0 CH2 | 2.34, m | 17 | 55.6 CH | 1.19, m |
| 2.42, m | |||||
| 3 | 199.5 | - | 18 | 12.2 CH3 | 0.74, s |
| 4 | 123.8 CH | 5.72 s | 19 | 17.4 CH3 | 1.19, s |
| 5 | 171.4C | - | 20 | 39.8 CH | 2.14, m |
| 6 | 32.9 CH2 | 2.27, ddd (14.7; 4.1; 2.4) | 21 | 20.3 CH3 | 1.04, d (6.6) |
| 2.40, m | |||||
| 7 | 32.0 CH2 | 1.02, m | 22 | 140.8 CH | 5.61, dd (8.6; 15.3) |
| 1.84, m | |||||
| 8 | 35.7 CH | 1.53, m | 23 | 126.0 CH | 5.43, dd (7.3; 15.3) |
| 9 | 53.8 CH | 0.94, m | 24 | 79.7 CH | 3.84, d (7.3) |
| 10 | 38.6 C | - | 25 | 72.8 C | - |
| 11 | 21.0 CH2 | 1.44, ddd (13.6; 17.1; 4.2) | 26 | 23.8 CH3 | 1.15, s |
| 1.54, m | |||||
| 12 | 39.5 CH2 | 1.20, m | 27 | 26.4 CH3 | 1.20, s |
| 2.01, m | |||||
| 13 | 42.5 C | - | |||
| 14 | 55.8 CH | 1.04, m | |||
| 15 | 24.2 CH2 | 1.11, m | |||
| 1.60, m |
© 2020 by the authors. Licensee MDPI, Basel, Switzerland. This article is an open access article distributed under the terms and conditions of the Creative Commons Attribution (CC BY) license (http://creativecommons.org/licenses/by/4.0/).
Share and Cite
Kapustina, I.I.; Makarieva, T.N.; Guzii, A.G.; Kalinovsky, A.I.; Popov, R.S.; Dyshlovoy, S.A.; Grebnev, B.B.; von Amsberg, G.; Stonik, V.A. Leptogorgins A–C, Humulane Sesquiterpenoids from the Vietnamese Gorgonian Leptogorgia sp. Mar. Drugs 2020, 18, 310. https://doi.org/10.3390/md18060310
Kapustina II, Makarieva TN, Guzii AG, Kalinovsky AI, Popov RS, Dyshlovoy SA, Grebnev BB, von Amsberg G, Stonik VA. Leptogorgins A–C, Humulane Sesquiterpenoids from the Vietnamese Gorgonian Leptogorgia sp. Marine Drugs. 2020; 18(6):310. https://doi.org/10.3390/md18060310
Chicago/Turabian StyleKapustina, Irina I., Tatyana N. Makarieva, Alla G. Guzii, Anatoly I. Kalinovsky, Roman S. Popov, Sergey A. Dyshlovoy, Boris B. Grebnev, Gunhild von Amsberg, and Valentin A. Stonik. 2020. "Leptogorgins A–C, Humulane Sesquiterpenoids from the Vietnamese Gorgonian Leptogorgia sp." Marine Drugs 18, no. 6: 310. https://doi.org/10.3390/md18060310
APA StyleKapustina, I. I., Makarieva, T. N., Guzii, A. G., Kalinovsky, A. I., Popov, R. S., Dyshlovoy, S. A., Grebnev, B. B., von Amsberg, G., & Stonik, V. A. (2020). Leptogorgins A–C, Humulane Sesquiterpenoids from the Vietnamese Gorgonian Leptogorgia sp. Marine Drugs, 18(6), 310. https://doi.org/10.3390/md18060310

