Bromotryptamine and Bromotyramine Derivatives from the Tropical Southwestern Pacific Sponge Narrabeena nigra
Abstract
1. Introduction
2. Results and Discussion
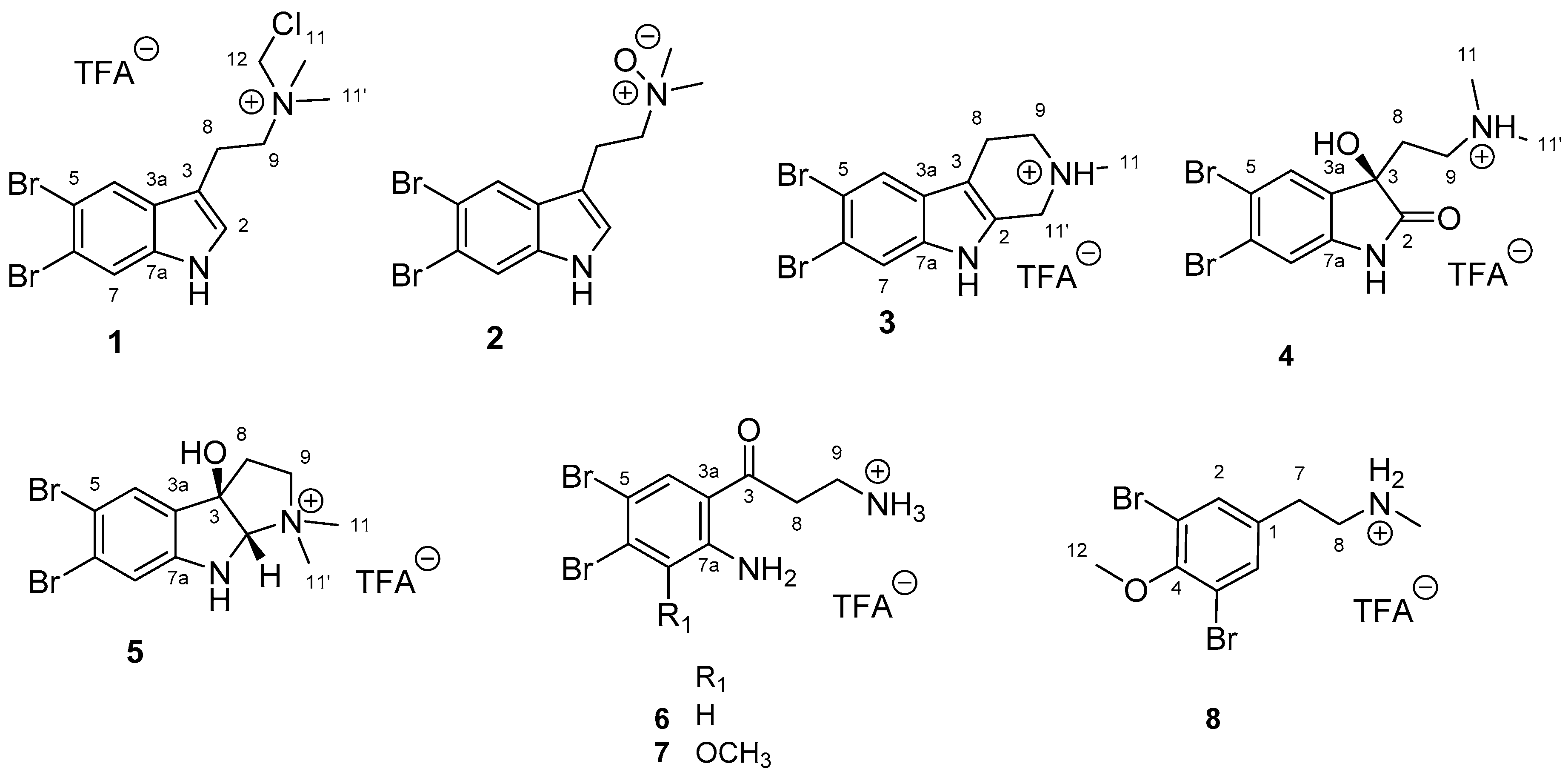
2.1. Isolation and Structure Elucidation
2.2. Biological Assays
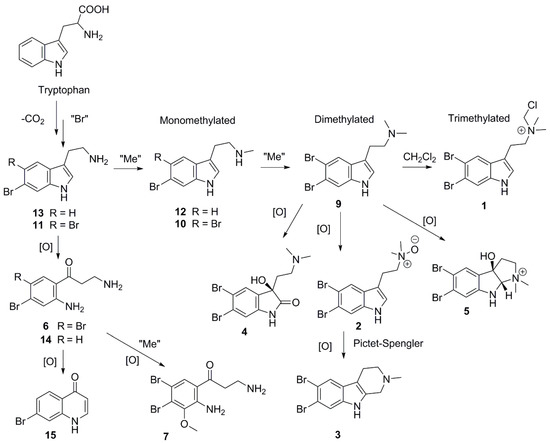
2.3. Biosynthetic Considerations
3. Materials and Methods
3.1. General Experimental Procedures
3.2. Animal Material.
3.3. Extraction and Purification
3.4. Computational Methods
3.5. Bioassays
4. Conclusions
Supplementary Materials
Author Contributions
Funding
Acknowledgments
Conflicts of Interest
References
- Firsova, D.; Mahajan, N.; Solanki, H.; Morrow, C.; Thomas, O.P. Current Status and Perspectives in Marine Biodiscovery. In Bioprospecting: Success, Potential and Constraints; Paterson, R., Lima, N., Eds.; Springer International Publishing AG: Cham, Switzerland, 2017; Volume 16, pp. 29–50. [Google Scholar]
- Jaspars, M.; De Pascale, D.; Andersen, J.H.; Reyes, F.; Crawford, A.D.; Ianora, A. The marine biodiscovery pipeline and ocean medicines of tomorrow. J. Mar. Biol. Assoc. UK 2016, 96, 151–158. [Google Scholar] [CrossRef]
- Snelgrove, P.V.R. An Ocean of Discovery: Biodiversity Beyond the Census of Marine Life. Planta Med. 2016, 82, 790–799. [Google Scholar] [CrossRef]
- Blunt, J.W.; Carroll, A.R.; Copp, B.R.; Davis, R.A.; Keyzers, R.A.; Prinsep, M.R. Marine natural products. Nat. Prod. Rep. 2018, 35, 8–53. [Google Scholar] [CrossRef] [PubMed]
- Bowen, B.W.; Rocha, L.A.; Toonen, R.J.; Karl, S.A. The origins of tropical marine biodiversity. Trends Ecol. Evol. 2013, 28, 359–366. [Google Scholar] [CrossRef] [PubMed]
- Tara-Expeditions-Foundation Annual report 2017. Available online: https://oceans.taraexpeditions.org/en/ (accessed on 25 April 2019).
- Chancerelle, Y. Coral reefs of Wallis and Futuna: Biological monitoring, health and future. Rev. Ecol.-Terre Vie 2008, 63, 133–143. [Google Scholar]
- Pichon, M. Scleractinia of New Caledonia: Check list of reef dwelling species. In Compendium of Marine Species from New-Caledonia, 2nd ed.; Payri, C.E., Richer de Forges, B., Eds.; IRD: Noumea, New-Caledonia, France, 2007; pp. 149–157. [Google Scholar]
- Eléonore Vandel, M.P. Pascale Joannot. In Taxonomic Inventory of Scleractinia in French Overseas Territories, Proceedings of the 12th International Coral Reef Symposium, Cairns, Australia, 9–13 June 2012; James Cook University: Townsville, Australia.
- Kim, H.R.; Sim, C.J. A New Species of the Genus Narrabeena (Demospongiae: Dictyoceratida: Thorectidae) from Korea. Korean J. Syst. Zool. 2010, 26, 83–86. [Google Scholar] [CrossRef]
- Prawat, H.; Mahidol, C.; Kaweetripob, W.; Wittayalai, S.; Ruchirawat, S. Iodo-sesquiterpene hydroquinone and brominated indole alkaloids from the Thai sponge Smenospongia sp. Tetrahedron 2012, 68, 6881–6886. [Google Scholar] [CrossRef]
- Tasdemir, D.; Bugni Timothy, S.; Mangalindan Gina, C.; Concepción Gisela, P.; Harper Mary, K.; Ireland Chris, M. Cytotoxic Bromoindole Derivatives and Terpenes from the Philippine Marine Sponge Smenospongia sp. Z. Naturforsch. C Biosci. 2002, 57, 914. [Google Scholar] [CrossRef]
- Schoenfeld, R.C.; Conova, S.; Rittschof, D.; Ganem, B. Cytotoxic, antifouling bromotyramines: A synthetic study on simple marine natural products and Their analogues. Bioorg. Med. Chem. Lett. 2002, 12, 823–825. [Google Scholar] [CrossRef]
- Longeon, A.; Copp, B.R.; Quevrain, E.; Roue, M.; Kientz, B.; Cresteil, T.; Petek, S.; Debitus, C.; Bourguet-Kondracki, M.L. Bioactive Indole Derivatives from the South Pacific Marine Sponges Rhopaloeides odorabile and Hyrtios sp. Mar. Drugs 2011, 9, 879–888. [Google Scholar] [CrossRef]
- Kochanowska, A.J.; Rao, K.V.; Childress, S.; El-Alfy, A.; Matsumoto, R.R.; Kelly, M.; Stewart, G.S.; Sufka, K.J.; Hamann, M.T. Secondary Metabolites from Three Florida Sponges with Antidepressant Activity. J. Nat. Prod. 2008, 71, 186–189. [Google Scholar] [CrossRef] [PubMed]
- Djura, P.; Stierle, D.B.; Sullivan, B.; Faulkner, D.J. Some Metabolites of the Marine Sponges Smenospongia aurea and Smenospongia (Polyfibrospongia) echina. J. Org. Chem. 1980, 45, 1435–1441. [Google Scholar] [CrossRef]
- Tymiak, A.A.; Rinehart, K.L.; Bakus, G.J. Constituents of morphologically similar sponges: Aplysina and Smenospongia species. Tetrahedron 1985, 41, 1039–1047. [Google Scholar] [CrossRef]
- Van Lear, G.E.; Morton, G.O.; Fulmor, W. New antibacterial bromoindole metabolites from the marine sponge Polyfibrospongia maynardii. Tetrahedron Lett. 1973, 14, 299–300. [Google Scholar] [CrossRef]
- Pénez, N.; Culioli, G.; Pérez, T.; Briand, J.-F.; Thomas, O.P.; Blache, Y. Antifouling Properties of Simple Indole and Purine Alkaloids from the Mediterranean Gorgonian Paramuricea clavata. J. Nat. Prod. 2011, 74, 2304–2308. [Google Scholar] [CrossRef]
- Fahy, E.; Potts, B.C.M.; Faulkner, D.J.; Smith, K. 6-Bromotryptamine Derivatives from the Gulf of California Tunicate Didemnum candidum. J. Nat. Prod. 1991, 54, 564–569. [Google Scholar] [CrossRef]
- Olsen, E.K.; Hansen, E.; L, W.K.M.; Isaksson, J.; Sepcic, K.; Cergolj, M.; Svenson, J.; Andersen, J.H. Marine AChE inhibitors isolated from Geodia barretti: natural compounds and their synthetic analogs. Org. Biomol. Chem. 2016, 14, 1629–1640. [Google Scholar] [CrossRef] [PubMed]
- Al Tarabeen, M.; Hassan Aly, A.; Perez Hemphill Catalina, F.; Rasheed, M.; Wray, V.; Proksch, P. New nitrogenous compounds from a Red Sea sponge from the Gulf of Aqaba. Z. Naturforsch. C Biosci. 2015, 70, 75. [Google Scholar] [CrossRef] [PubMed]
- Van Wagoner, R.M.; Jompa, J.; Tahir, A.; Ireland, C.M. Trypargine Alkaloids from a Previously Undescribed Eudistoma sp. Ascidian. J. Nat. Prod. 1999, 62, 794–797. [Google Scholar] [CrossRef] [PubMed]
- Albrizio, S.; Ciminiello, P.; Fattorusso, E.; Magno, S.; Pansini, M. Chemistry of Verongida sponges. I. Constituents of the Caribbean sponge Pseudoceratina crassa. Tetrahedron 1994, 50, 783–788. [Google Scholar] [CrossRef]
- Afoullouss, S.; Calabro, K.; Genta-Jouve, G.; Gegunde, S.; Alfonso, A.; Nesbitt, R.; Morrow, C.; Alonso, E.; Botana, L.M.; Allcock, A.L.; Thomas, O.P. Treasures from the Deep: Characellides as Anti-Inflammatory Lipoglycotripeptides from the Sponge Characella pachastrelloides. Org. Lett. 2019, 21, 246–251. [Google Scholar] [CrossRef]
- Buchanan, M.S.; Carroll, A.R.; Pass, D.; Quinn, R.J. NMR spectral assignments of a new chlorotryptamine alkaloid and its analogues from Acacia confusa. Magn. Reson. Chem. 2007, 45, 359–361. [Google Scholar] [CrossRef]
- Capon, R.J. Extracting value: mechanistic insights into the formation of natural product artifacts – case studies in marine natural products. Nat. Prod. Rep. 2019. [Google Scholar] [CrossRef]
- El-Shazly, A.; Wink, M. Tetrahydroisoquinoline and beta-carboline alkaloids from Haloxylon articulatum (Cav.) Bunge (Chenopodiaceae). Z. Naturforsch. C Biosci. 2003, 58, 477–480. [Google Scholar] [CrossRef]
- Cheng, G.-G.; Li, D.; Hou, B.; Li, X.-N.; Liu, L.; Chen, Y.-Y.; Lunga, P.-K.; Khan, A.; Liu, Y.-P.; Zuo, Z.-L.; et al. Melokhanines A–J, Bioactive Monoterpenoid Indole Alkaloids with Diverse Skeletons from Melodinus khasianus. J. Nat. Prod. 2016, 79, 2158–2166. [Google Scholar] [CrossRef]
- Ruiz-Sanchis, P.; Savina, S.A.; Albericio, F.; Álvarez, M. Structure, Bioactivity and Synthesis of Natural Products with Hexahydropyrrolo[2,3-b]indole. Chem. A Eur. J. 2011, 17, 1388–1408. [Google Scholar] [CrossRef]
- Yan, A.; Liu, Z.; Song, L.; Wang, X.; Zhang, Y.; Wu, N.; Lin, J.; Liu, Y. Idebenone Alleviates Neuroinflammation and Modulates Microglial Polarization in LPS-Stimulated BV2 Cells and MPTP-Induced Parkinson’s Disease Mice. Front. Cell. Neurosci. 2018, 12, 529. [Google Scholar] [CrossRef]
- Markoutsa, E.; Xu, P. Redox Potential-Sensitive N-Acetyl Cysteine-Prodrug Nanoparticles Inhibit the Activation of Microglia and Improve Neuronal Survival. Mol Pharm 2017, 14, 1591–1600. [Google Scholar] [CrossRef]
- Colton, C.A. Heterogeneity of microglial activation in the innate immune response in the brain. J. Neuroimmune Pharmacol. 2009, 4, 399–418. [Google Scholar] [CrossRef]
- Cravotto, G.; Giovenzana, G.B.; Palmisano, G.; Penoni, A.; Pilati, T.; Sisti, M.; Stazi, F. Convolutamydine A: the first authenticated absolute configuration and enantioselective synthesis. Tetrahedron: Asymmetry 2006, 17, 3070–3074. [Google Scholar] [CrossRef]
- Zhang, H.-P.; Kamano, Y.; Ichihara, Y.; Kizu, H.; Komiyama, K.; Itokawa, H.; Pettit, G.R. Isolation and structure of convolutamydines B ∼ D from marine bryozoan Amathia convoluta. Tetrahedron 1995, 51, 5523–5528. [Google Scholar] [CrossRef]
- Carle, J.S.; Christophersen, C. Bromo-substituted physostigmine alkaloids from a marine bryozoa Flustra foliacea. J. Am. Chem. Soc. 1979, 101, 4012–4013. [Google Scholar] [CrossRef]
- Carle, J.S.; Christophersen, C. Marine alkaloids. 2. Bromo alkaloids from a marine bryozoan Flustra foliacea. Isolation and structure elucidation. J. Org. Chem. 1980, 45, 1586–1589. [Google Scholar] [CrossRef]
- Carle, J.S.; Christophersen, C. Marine alkaloids. 3. Bromo-substituted alkaloids from the marine bryozoan Flustra foliacea, flustramine C and flustraminol A and B. J. Org. Chem. 1981, 46, 3440–3443. [Google Scholar] [CrossRef]
- Blackman, A.J.; Matthews, D.J.; Narkowicz, C.K. β-Carboline alkaloids from the marine bryozoan Costaticella hastata. J. Nat. Prod. 1987, 50, 494–496. [Google Scholar] [CrossRef]
- Salmoun, M.; Devijver, C.; Daloze, D.; Braekman, J.-C.; van Soest, R.W.M. 5-Hydroxytryptamine-Derived Alkaloids from Two Marine Sponges of the Genus Hyrtios. J. Nat. Prod. 2002, 65, 1173–1176. [Google Scholar] [CrossRef]
- Mokhlesi, A.; Stuhldreier, F.; Wex, K.W.; Berscheid, A.; Hartmann, R.; Rehberg, N.; Sureechatchaiyan, P.; Chaidir, C.; Kassack, M.U.; Kalscheuer, R.; et al. Cyclic Cystine-Bridged Peptides from the Marine Sponge Clathria basilana Induce Apoptosis in Tumor Cells and Depolarize the Bacterial Cytoplasmic Membrane. J. Nat. Prod. 2017, 80, 2941–2952. [Google Scholar] [CrossRef]
- Tian, X.-R.; Tang, H.-F.; Li, Y.-S.; Lin, H.-W.; Zhang, X.-Y.; Feng, J.-T.; Zhang, X. Studies on the chemical constituents from marine bryozoan Cryptosula pallasiana. Rec. Nat. Prod. 2015, 9, 628–632. [Google Scholar]
- Brogan, J.T.; Stoops, S.L.; Crews, B.C.; Marnett, L.J.; Lindsley, C.W. Total Synthesis of (+)-7-Bromotrypargine and Unnatural Analogues: Biological Evaluation Uncovers Activity at CNS Targets of Therapeutic Relevance. ACS Chem. Neurosci. 2011, 2, 633–639. [Google Scholar] [CrossRef]
- Wang, D.; Feng, Y.; Murtaza, M.; Wood, S.; Mellick, G.; Hooper, J.N.A.; Quinn, R.J. A Grand Challenge: Unbiased Phenotypic Function of Metabolites from Jaspis splendens against Parkinson’s Disease. J. Nat. Prod. 2016, 79, 353–361. [Google Scholar] [CrossRef]
- Aoki, S.; Ye, Y.; Higuchi, K.; Takashima, A.; Tanaka, Y.; Kitagawa, I.; Kobayashi, M. Novel neuronal nitric oxide synthase (nNOS) selective inhibitors, aplysinopsin-type indole alkaloids, from marine sponge Hyrtios erecta. Chem. Pharm. Bull. 2001, 49, 1372–1374. [Google Scholar] [CrossRef]
- Pimentel, S.M.V.; Bojo, Z.P.; Roberto, A.V.D.; Lazaro, J.E.H.; Mangalindan, G.C.; Florentino, L.M.; Lim-Navarro, P.; Tasdemir, D.; Ireland, C.M.; Concepcion, G.P. Platelet Aggregation Inhibitors from Philippine Marine Invertebrate Samples Screened in a New Microplate Assay. Mar. Biotechnol. 2003, 5, 395–400. [Google Scholar] [CrossRef]
- Ciminiello, P.; Dell’Aversano, C.; Fattorusso, E.; Magno, S.; Pansini, M. Chemistry of Verongida sponges. 10. Secondary metabolite composition of the Caribbean sponge Verongula gigantea. J. Nat. Prod. 2000, 63, 263–266. [Google Scholar] [CrossRef]
- Tian, L.-W.; Feng, Y.; Shimizu, Y.; Pfeifer, T.; Wellington, C.; Hooper, J.N.A.; Quinn, R.J. Aplysinellamides A-C, Bromotyrosine-Derived Metabolites from an Australian Aplysinella sp. Marine Sponge. J. Nat. Prod. 2014, 77, 1210–1214. [Google Scholar] [CrossRef]
- Beauxis, Y.; Genta-Jouve, G. MetWork: A web server for natural products anticipation. Bioinformatics 2018, 35, 1795–1796. [Google Scholar] [CrossRef]
- Moore, B.S.; Luhavaya, H.; Sigrist, R.; Chekan, J.R.; McKinnie, S.M.K. Biosynthesis of l-4-Chlorokynurenine, a Lipopeptide Antibiotic Non-Proteinogenic Amino Acid and Antidepressant Prodrug. Angew. Chem. Int. Ed. 2019, 58, 1–7. [Google Scholar]
- Wang, M.; Carver, J.J.; Phelan, V.V.; Sanchez, L.M.; Garg, N.; Peng, Y.; Nguyen, D.D.; Watrous, J.; Kapono, C.A.; Luzzatto-Knaan, T.; et al. Sharing and community curation of mass spectrometry data with Global Natural Products Social Molecular Networking. Nat. Biotechnol. 2016, 34, 828. [Google Scholar] [CrossRef]
- Audoin, C.; Cocandeau, V.; Thomas, P.O.; Bruschini, A.; Holderith, S.; Genta-Jouve, G. Metabolome Consistency: Additional Parazoanthines from the Mediterranean Zoanthid Parazoanthus Axinellae. Metabolites 2014, 4, 421–432. [Google Scholar] [CrossRef]
- Willoughby, P.H.; Jansma, M.J.; Hoye, T.R. A guide to small-molecule structure assignment through computation of (1H and 13C) NMR chemical shifts. Nat. Prot. 2014, 9, 643. [Google Scholar] [CrossRef]
- Tomasi, J.; Mennucci, B.; Cammi, R. Quantum Mechanical Continuum Solvation Models. Chem. Rev. 2005, 105, 2999–3094. [Google Scholar] [CrossRef]
- Bruhn, T.; Schaumlöffel, A.; Hemberger, Y.; Bringmann, G. SpecDis: Quantifying the Comparison of Calculated and Experimental Electronic Circular Dichroism Spectra. Chirality 2013, 25, 243–249. [Google Scholar] [CrossRef]
- Bhattacharya, S.; Gachhui, R.; Sil, P.C. Hepatoprotective properties of kombucha tea against TBHP-induced oxidative stress via suppression of mitochondria dependent apoptosis. Pathophysiology 2011, 18, 221–234. [Google Scholar] [CrossRef]
- Leirós, M.; Sánchez, J.A.; Alonso, E.; Rateb, M.E.; Houssen, W.E.; Ebel, R.; Jaspars, M.; Alfonso, A.; Botana, L.M. Spongionella secondary metabolites protect mitochondrial function in cortical neurons against oxidative stress. Mar. Drugs 2014, 12, 700–718. [Google Scholar] [CrossRef]
- González-Scarano, F.; Baltuch, G. Microglia as mediators of inflammatory and degenerative diseases. Annu. Rev. Neurosci. 1999, 22, 219–240. [Google Scholar] [CrossRef]
- Stanley, C.P.; Maghzal, G.J.; Ayer, A.; Talib, J.; Giltrap, A.M.; Shengule, S.; Wolhuter, K.; Wang, Y.; Chadha, P.; Suarna, C.; et al. Singlet molecular oxygen regulates vascular tone and blood pressure in inflammation. Nature 2019, 566, 548–552. [Google Scholar] [CrossRef]








| Position | 9 a | 1 b | 2 b | 3 a | 4 b | 5 a | 6 a | 7 a |
|---|---|---|---|---|---|---|---|---|
| 2 | 7.26 | 7.30, s | 7.26, s | - | - | 5.18, s | - | - |
| 4 | 7.93, s | 7.98, s | 7.99, s | 7.85, s | 7.73, s | 7.62, s | 7.98, s | 7.87, s |
| 7 | 7.70, s | 7.74, s | 7.72, s | 7.72, s | 7.25, s | 7.14, s | 7.19, s | - |
| 8a 8b | 3.14, t (7.5) | 3.27, AA’XX’ (JAX 12 JAX’ 5) | 3.33 c | 3.11, t (6.0) | 2.43, dt (15.0, 7.5) 2.06, ddd (15.0, 7.5, 5.0) | 2.73, m 2.57, m | 3.35, t (6.0) | 3.37, t (6.0) |
| 9a 9b | 3.39, t (7.5) | 3.73, AA’XX’ (JAX 12 JAX’ 5) | 3.72, m | 3.83, m 3.53, m | 3.58, dt (15.0, 7.5) 3.37 c | 3.68, m 3.26, m | 3.29, t (6.0) | 3.32 c |
| 11 | 2.93, s | 3.33, s | 3.42, s | 3.12, s | 2.94, s | 3.25, s | - | |
| 11′ | 4.62, m 4.45, m | 3.01, s | - | |||||
| 12 | - | 5.39, s | - | - | - | - | - | - |
| CH3-O | - | - | - | - | - | - | - | 3.81, s |
| Position | 9 | 1 | 2 | 3 | 4 | 5 | 6 | 7 |
|---|---|---|---|---|---|---|---|---|
| 2 | 126.8, CH | 125.6, CH | 126.7, CH | 128.8, C | 180.3, C | 100.7, CH | ||
| 3 | 109.7, C | 107.4, C | 110.1, C | 106.3, C | 75.3, C | 88.4, C | 198.9, C | 199.1. C |
| 3a | 129.1, C | 127.6, C | 129.3, C | 128.1, C | 134.1, C | 134.1, C | 118.2, C | 118.6, C |
| 4 | 123.5, CH | 122.1, CH | 123.7, CH | 123.7, CH | 130.1, CH | 129.8, CH | 136.1, CH | 131.1, CH |
| 5 | 117.5, C | 116.3, C | 117.3, C | 118.2, C | 118.3, C | 115.5, C | 108.7, C | 108.8, C |
| 6 | 115.0, C | 113.8, C | 114.9, C | 115.6, C | 126.5, C | 127.0, C | 132.4, C | 126.6, C |
| 7 | 117.3, CH | 116.1, CH | 117.3, CH | 117.3, CH | 116.6, CH | 116.3, CH | 122.8, CH | 147.7, C |
| 7a | 137.8, CH | 136.4, CH | 137.8, C | 138.0, C | 142.9, C | 149.7, C | 152.4, C | 146.1, C |
| 8 | 21.5, CH2 | 18.0, CH2 | 20.0, CH2 | 19.5, CH2 | 32.6, CH2 | 39.0, CH2 | 36.6, CH2 | 36.8, CH2 |
| 9 | 58.8, CH2 | 62.7, CH2 | 70.9, CH2 | 53.6, CH2 | 54.4, CH2 | 62.2, CH2 | 36.0, CH2 | 36.0, CH2 |
| 11 | 43.5, CH3 | 48.5, CH3 | 57.6, CH3 | 43.1, CH3 | 43.8, CH3 | 46.9, CH3 | ||
| 11′ | 51.8, CH2 | 49.9, CH3 | ||||||
| 12 | 68.2, CH2 | |||||||
| CH3-O | 59.9, CH3 |
© 2019 by the authors. Licensee MDPI, Basel, Switzerland. This article is an open access article distributed under the terms and conditions of the Creative Commons Attribution (CC BY) license (http://creativecommons.org/licenses/by/4.0/).
Share and Cite
Miguel-Gordo, M.; Gegunde, S.; Calabro, K.; Jennings, L.K.; Alfonso, A.; Genta-Jouve, G.; Vacelet, J.; Botana, L.M.; Thomas, O.P. Bromotryptamine and Bromotyramine Derivatives from the Tropical Southwestern Pacific Sponge Narrabeena nigra. Mar. Drugs 2019, 17, 319. https://doi.org/10.3390/md17060319
Miguel-Gordo M, Gegunde S, Calabro K, Jennings LK, Alfonso A, Genta-Jouve G, Vacelet J, Botana LM, Thomas OP. Bromotryptamine and Bromotyramine Derivatives from the Tropical Southwestern Pacific Sponge Narrabeena nigra. Marine Drugs. 2019; 17(6):319. https://doi.org/10.3390/md17060319
Chicago/Turabian StyleMiguel-Gordo, Maria, Sandra Gegunde, Kevin Calabro, Laurence K. Jennings, Amparo Alfonso, Grégory Genta-Jouve, Jean Vacelet, Luis M. Botana, and Olivier P. Thomas. 2019. "Bromotryptamine and Bromotyramine Derivatives from the Tropical Southwestern Pacific Sponge Narrabeena nigra" Marine Drugs 17, no. 6: 319. https://doi.org/10.3390/md17060319
APA StyleMiguel-Gordo, M., Gegunde, S., Calabro, K., Jennings, L. K., Alfonso, A., Genta-Jouve, G., Vacelet, J., Botana, L. M., & Thomas, O. P. (2019). Bromotryptamine and Bromotyramine Derivatives from the Tropical Southwestern Pacific Sponge Narrabeena nigra. Marine Drugs, 17(6), 319. https://doi.org/10.3390/md17060319

