Absorption Study of Mozuku Fucoidan in Japanese Volunteers
Abstract
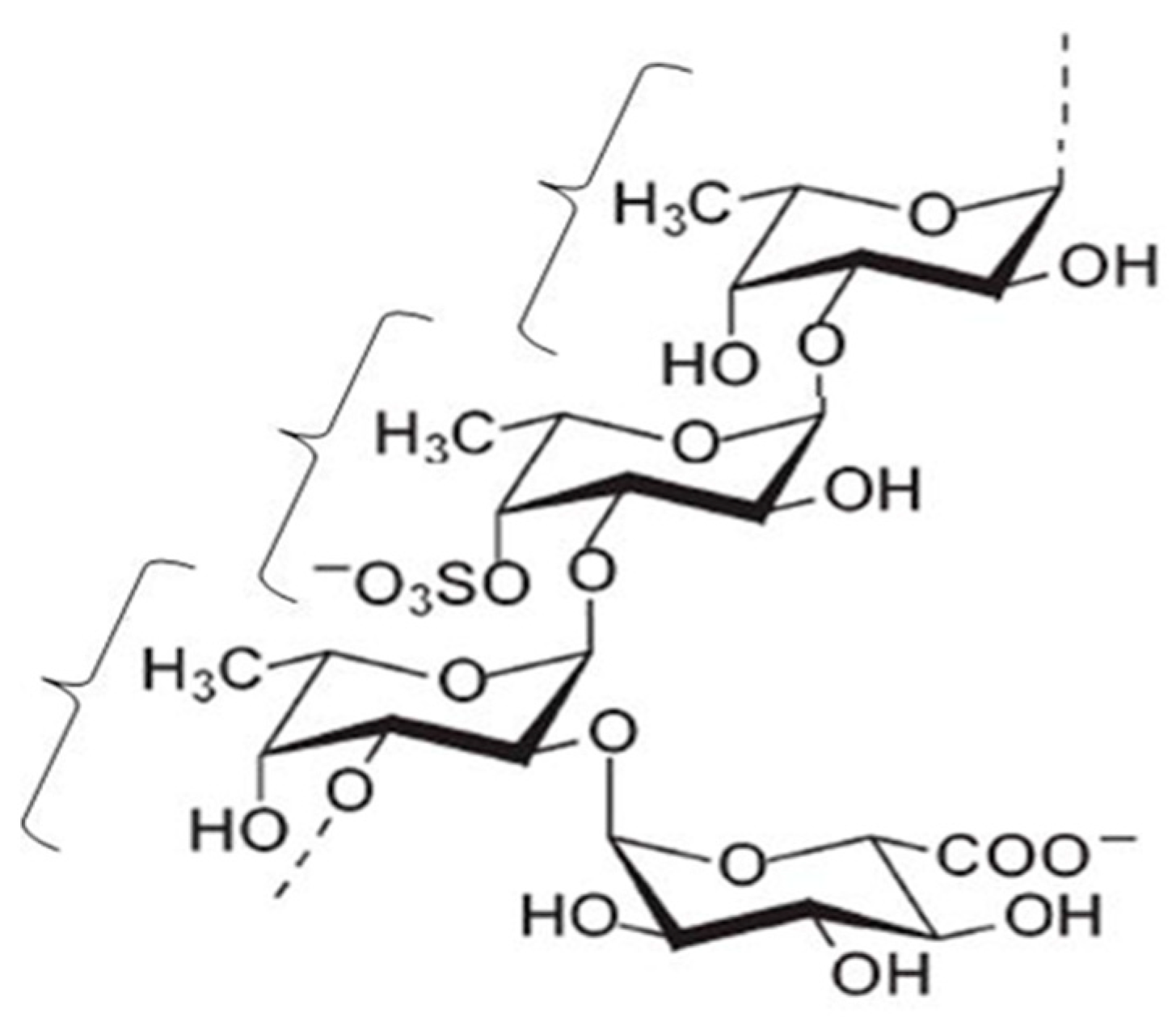
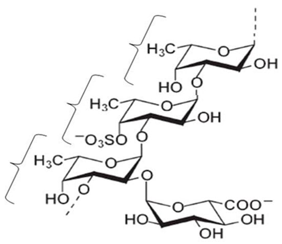
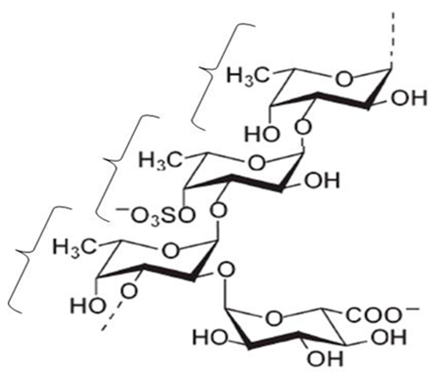
1. Introduction
2. Results
2.1. Maximum Fucoidan Value in Urine
2.2. Statistical Analysis
2.2.1. Estimated Urinary Excretion of Fucoidan
2.2.2. Factors Contributing to the Estimated Urinary Excretion of Fucoidan Evaluated by Multiple Regression Analysis
2.3. Fucoidan Positive and Negative in Urine before Fucoidan Ingestion
3. Discussion
4. Materials and Methods
4.1. Subjects
- a: Urinary fucoidan value before fucoidan ingestion
- b: The creatinine correction value of fucoidan at 3 h after fucoidan ingestion
- c: The creatinine correction value of fucoidan at 6 h after fucoidan ingestion
- d: The creatinine correction value of fucoidan at 9 h after fucoidan ingestion
- h: hour
- [1]: Urinary excretion of fucoidan before fucoidan ingestion
- [2]: Total amount of urinary excretion of fucoidan after fucoidan ingestion
- [3]: Estimated urinary excretion of fucoidan for 9 h after fucoidan ingestion
- * If the amount of urinary excretion of fucoidan before ingestion was higher than the total amount of urinary excretion of fucoidan after fucoidan ingestion, the estimated urinary excretion of fucoidan was judged as 0 (zero).
4.2. Statistical Analysis
Supplementary Materials
Author Contributions
Funding
Acknowledgments
Conflicts of Interest
References
- Fukuda, S.; Saito, H.; Nakaji, S.; Yamada, M.; Ebine, N.; Tsushima, E.; Oka, E.; Kumeta, K.; Tsukamoto, T.; Tokunaga, S. Pattern of dietary fiber intake among the Japanese general population. Eur. J. Clin. Nutr. 2007, 61, 99–103. [Google Scholar] [CrossRef] [PubMed]
- Toma, T. Geographical distribution of the brown alga Tinocladia crassa (Suringar) kylin in Ryukyu islands. Aquac. Sci. 1993, 41, 293–297. [Google Scholar]
- Sho, H. History and characteristics of Okinawan longevity food. Asia Pac. J. Clin. Nutr. 2001, 10, 159–164. [Google Scholar] [CrossRef] [PubMed]
- Nagaoka, M.; Shibata, H.; Kimura-Takagi, I.; Hashimoto, S.; Kimura, K.; Makino, T.; Aiyama, R.; Ueyama, S.; Yokokura, T. Structural study of fucoidan from Cladosiphon okamuranus Tokida. Glycoconj. J. 1999, 16, 19–26. [Google Scholar] [CrossRef] [PubMed]
- Nakazato, K.; Takada, H.; Iha, M.; Nagamine, T. Attenuation of N-nitrosodiethylamine-induced liver fibrosis by high-molecular-weight fucoidan derived from Cladosiphon okamuranus. J. Gastroenterol. Hepatol. 2010, 25, 1692–1701. [Google Scholar] [CrossRef] [PubMed]
- Wu, L.; Sun, J.; Su, X.; Yu, Q.; Yu, Q.; Zhang, P. A review about the development of fucoidan in antitumor activity: Progress and challenges. Carbohydr. Polym. 2016, 10, 96–111. [Google Scholar] [CrossRef] [PubMed]
- Fitton, J.H. Therapies from fucoidan; multifunctional marine polymers. Mar. Drugs 2011, 9, 1731–1760. [Google Scholar] [CrossRef] [PubMed]
- Cardoso, M.L.; Xavier, C.A.; Bezerra, M.B.; Paiva, A.O.; Carvalho, M.F.; Benevides, N.M.; Rocha, F.A.; Leite, E.L. Assessment of zymosan-induced leukocyte influx in a rat model using sulfated polysaccharides. Planta Med. 2010, 76, 113–119. [Google Scholar] [CrossRef] [PubMed]
- Cumashi, A.; Ushakova, N.A.; Preobrazhenskaya, M.E.; D’Incecco, A.; Piccoli, A.; Totani, L.; Tinari, N.; Morozevich, G.E.; Berman, A.E.; Bilan, M.I.; et al. Consorzio interuniversitario nazionale per la bio-oncologia, Italy. A comparative study of the anti-inflammatory, anticoagulant, antiangiogenic, and antiadhesive activities of nine different fucoidans from brown seaweeds. Glycobiology 2007, 17, 541–552. [Google Scholar] [CrossRef] [PubMed]
- Maruyama, H.; Tamauchi, H.; Iizuka, M.; Nakano, T. The role of NK cells in antitumor activity of dietary fucoidan from Undaria pinnatifida sporophylls (Mekabu). Planta Med. 2006, 72, 1415–1417. [Google Scholar] [CrossRef] [PubMed]
- Myers, S.P.; Mulder, A.M.; Baker, D.G.; Robinson, S.R.; Rolfe, M.I.; Brooks, L.; Fitton, J.H. Effects of fucoidan from Fucus vesiculosus in reducing symptoms of osteoarthritis: A randomized placebo-controlled trial. Biologics 2016, 26, 81–88. [Google Scholar]
- Takahashi, H.; Kawaguchi, M.; Kitamura, K.; Narumiya, S.; Kawamura, M.; Tengan, I.; Nishimoto, S.; Hanamure, Y.; Majima, Y.; Tsubura, S.; et al. An exploratory study on the anti-inflammatory effects of fucoidan in relation to quality of life in advanced cancer patients. Integr. Cancer Ther. 2018, 17, 282–291. [Google Scholar] [CrossRef] [PubMed]
- Tocaciu, S.; Oliver, L.J.; Lowenthal, R.M.; Peterson, G.M.; Patel, R.; Shastri, M.; McGuinness, G.; Olesen, I.; Fitton, J.H. The Effect of Undaria pinnatifida fucoidan on the pharmacokinetics of letrozole and tamoxifen in patients with breast cancer. Integr. Cancer Ther. 2018, 17, 99–105. [Google Scholar] [CrossRef] [PubMed]
- Tsai, H.L.; Tai, C.J.; Huang, C.W.; Chang, F.R.; Wang, J.Y. Efficacy of low-molecular weight fucoidan as a supplemental therapy in metastatic colorectal cancer patients: A double-blind randomized controlled trial. Mar. Drugs 2017, 21, 122. [Google Scholar] [CrossRef] [PubMed]
- Negishi, H.; Mori, M.; Mori, H.; Yamori, Y. Supplementation of elderly japanese men and women with fucoidan from seaweed increases immune responses to seasonal influenza vaccination. J. Nutr. 2013, 143, 1794–1798. [Google Scholar] [CrossRef] [PubMed]
- Garcia-Vaquero, M.; Rajauria, G.; O’Doherty, J.V.; Sweeney, T. Polysaccharides from macroalgae: Recent advances, innovative technologies and challenges in extraction and purification. Food Res. Int. 2017, 99, 1011–1020. [Google Scholar] [CrossRef] [PubMed]
- Jiao, G.; Yu, G.; Zhang, J.; Ewart, H.S. Chemical structures and bioactivities of sulfated polysaccharides from marine algae. Mar. Drugs 2011, 9, 196–223. [Google Scholar] [CrossRef] [PubMed]
- Zhang, Z.; Till, S.; Jiang, C.; Knappe, S.; Reutterer, S.; Scheiflinger, F.; Szabo, C.M.; Dockal, M. Structure-activity relationship of the pro- and anticoagulant effects of Fucus vesiculosus fucoidan. Thromb. Haemost. 2014, 111, 429–437. [Google Scholar] [PubMed]
- Michel, C.; Lahaye, M.; Bonnet, C.; Mabeau, S.; Barry, J.L. In vitro fermentation by human faecal bacteria of total and purified dietary fibers from brown seaweeds. Br. J. Nutr. 1996, 75, 263–280. [Google Scholar] [CrossRef] [PubMed]
- Lynch, M.B.; Sweeney, T.; Callan, J.J.; O’Sullivan, J.T.; O’Doherty, J.V. The effect of dietary Laminaria-derived laminarin and fucoidan on nutrient digestibility, nitrogen utilisation, intestinal microflora and volatile fatty acid concentration in pigs. J. Sci. Food Agric. 2010, 90, 430–437. [Google Scholar] [CrossRef] [PubMed]
- Irhimeh, M.R.; Fitton, J.H.; Lowenthal, R.M.; Kongtawelert, P. A quantitative method to detect fucoidan in human plasma using a novel antibody. Methods Find. Exp. Clin. Pharmacol. 2005, 27, 705–710. [Google Scholar] [CrossRef] [PubMed]
- Tokita, Y.; Nakajima, K.; Mochida, H.; Iha, M.; Nagamine, T. Development of a fucoidan-specific antibody and measurement of fucoidan in serum and urine by sandwich ELISA. Biosci. Biotechnol. Biochem. 2010, 74, 350–357. [Google Scholar] [CrossRef] [PubMed]
- Nagamine, T.; Nakazato, K.; Tomioka, S.; Iha, M.; Nakajima, K. Intestinal absorption of fucoidan extracted from the brown seaweed, Cladosiphon okamuranus. Mar. Drugs 2015, 13, 48–64. [Google Scholar] [CrossRef] [PubMed]
- Tokita, Y.; Hirayama, M.; Nakajima, K.; Tamaki, K.; Iha, M.; Nagamine, T. Detection of fucoidan in urine after oral intake of a traditional Japanese seaweed, Okinawa mozuku (Cladosiphon okamuranus Tokida). J. Nutr. Sci. Vitaminol. 2017, 63, 420–422. [Google Scholar] [CrossRef] [PubMed]
- Hehemann, J.H.; Gaelle, C.; Tristan, B.; William, H.; Mirjam, C.; Gurvan, M. Transfer of carbohydrate-active enzymes from marine bacteria to Japanese gut microbiota. Nature 2010, 464, 908–914. [Google Scholar] [CrossRef] [PubMed]
- Song, T.; Xu, H.; Wei, C.; Jiang, T.; Qin, S.; Zhang, W.; Cao, Y.; Hu, C.; Zhang, F.; Qiao, D.; Cao, Y. Horizontal transfer of a novel soil agarase gene from marine bacteria to soil bacteria via human microbiota. Sci. Rep. 2016, 6, 34103. [Google Scholar] [CrossRef] [PubMed]
- Willcox, D.C.; Scapagnini, G.; Willcox, B.J. Healthy aging diets other than the Mediterranean: A focus on the Okinawan diet. Mech. Ageing Dev. 2014, 136–137, 148–162. [Google Scholar] [CrossRef] [PubMed]
- Hirsh, J.; Anand, S.S.; Halperin, J.L.; Fuster, V. Mechanism of action and pharmacology of unfractionated heparin. Arterioscler. Thromb. Vasc. Biol. 2001, 21, 1094–1096. [Google Scholar] [CrossRef] [PubMed]
- Deux, J.F.; Anne, M.P.; Alain, F.L.B.; Laurent, J.F.; Sylvia, C.J.; Françoise, B.; Frank, B.; Michel, J.B.; Didier, L. Low molecular weight fucoidan prevents neointimal hyperplasia in rabbit iliac artery in-stent restenosis model. Arterioscler. Thromb. Vasc. Biol. 2002, 22, 1604–1609. [Google Scholar] [CrossRef] [PubMed]


| Distribution of Urinary Fucoidan | A | B | C | D | E |
|---|---|---|---|---|---|
| Number (%) | 156 (39.4) | 112 (28.3) | 91 (23.0) | 21 (5.3) | 16 (4.0) |
| Parameters | The Estimated Urinary Excretion of Fucoidan (µg/gCr), (Mean ± Standard Deviation (SD)) | p-Value |
|---|---|---|
| In total (n = 396) | 57.1 ± 68.9 | |
| Gender: t-test | ||
| Male (n = 227) | 54.0 ± 69.6 | |
| Female (n = 169) | 61.2 ± 68.7 | n.s 1 |
| Age distribution (years): one-way analysis of variance | ||
| 20–29 (n = 81) | 53.9 ± 57.0 | |
| 30–39 (n = 99) | 62.3 ± 74.5 | |
| 40–49 (n = 81) | 63.9 ± 85.3 | |
| 50–59 (n = 74) | 47.7 ± 48.4 | |
| 60–69 (n = 48) | 62.1 ± 78.3 | |
| >70 (n = 13) | 30.4 ± 21.3 | n.s 1 |
| Residence place: t-test | ||
| Okinawa prefecture (n = 272) | 64.5 ± 72.3 | |
| Outside Okinawa prefecture (n = 124) | 40.9 ± 55.9 | p < 0.01 |
| Habit of eating mozuku: one-way analysis of variance (ANOVA) | ||
| Almost every day (n = 4) | 35.9 ± 54.6 | |
| About 1–3 times a week (n = 45) | 46.6 ± 39.6 | |
| About once every 2 weeks (n = 69) | 57.0 ± 55.0 | |
| About once a month (n = 90) | 61.5 ± 72.0 | |
| About once in 2–3 months (n = 88) | 69.3 ± 86.9 | |
| About 1–2 times a year (n = 85) | 49.2 ± 70.6 | |
| Do not eat/do not like (n = 15) | 40.9 ± 40.3 | n.s 1 |
| Target Variables | t-Value | p-Value |
|---|---|---|
| Residence place | 2.69 | 0.008 |
| Gender | 0.77 | 0.442 |
| Age distribution | −0.76 | 0.449 |
| Habit of eating mozuku | 0.49 | 0.627 |
| Fucoidan Detectors and Non-Detectors | Fucidan Positive (µg/gCr) | Fucidan Negative (µg/gCr) | p-Value |
| Estimated urinary excretion of fucoidan (mean ± SD): t-test | 64.7 ± 35.7 | 34.9 ± 35.7 | p < 0.01 |
| Parameters | Number (%) | Number (%) | p-Value |
| Gender: χ2-test | |||
| Male | 168 (56.9) | 59 (58.4) | |
| Female | 127 (43.1) | 42 (41.6) | n.s 1 |
| Age distribution (years): Wilcoxon rank sum test | |||
| 20–29 | 57 (19.3) | 24 (23.7) | |
| 30–39 | 78 (26.4) | 21 (20.8) | |
| 40–49 | 66 (22.4) | 15 (14.9) | |
| 50–59 | 54 (18.3) | 20 (19.8) | |
| 60–69 | 31 (10.5) | 17 (16.8) | |
| >70 | 9 (3.1) | 4 (4.0) | n.s 1 |
| Residence place: χ2-test | |||
| Okinawa prefecture | 222 (75.3) | 50 (49.5) | |
| Outside Okinawa prefecture | 73 (24.7) | 51(50.5) | p < 0.001 |
| Habit of eating mozuku: χ2-test | |||
| Almost every day | 2 (0.7) | 2 (2.0) | |
| About 1–3 times a week | 40 (13.6) | 5 (5.0) | |
| About once every 2 weeks | 54 (18.3) | 15 (14.9) | |
| About once a month | 64 (21.7) | 26 (25.7) | |
| About once in 2–3 months | 70 (23.7) | 18 (17.8) | |
| About 1–2 times a year | 55 (18.6) | 30 (29.6) | |
| Do not eat/do not like | 10 (3.4) | 5 (5.0) | p < 0.001 |
| Target Variables | t-Value | p-Value |
|---|---|---|
| Residence place | 2.20 | 0.030 |
| Gender | −0.80 | 0.425 |
| Age distribution | 1.50 | 0.137 |
| Habit of eating mozuku | −0.63 | 0.531 |
| Parameters | Number (%) 1 | Number (%) 2 | Number (%) 3 | p-Value |
|---|---|---|---|---|
| Gender: χ2-test | ||||
| Male | 227 (57.3) | 146 (53.7) | 81 (65.3) | |
| Female | 169 (42.7) | 126 (46.3) | 43 (34.7) | p < 0.01 |
| Age distribution (years): Wilcoxon rank sum test | ||||
| 20–29 | 81 (20.5) | 64 (23.6) | 17 (13.7) | |
| 30–39 | 99 (25.0) | 59 (21.7) | 40 (32.2) | |
| 40–49 | 81 (20.5) | 55 (20.2) | 26 (21.0) | |
| 50–59 | 74 (18.7) | 47 (17.3) | 27 (21.8) | |
| 60–69 | 48 (12.0) | 36 (13.2) | 12 (9.7) | |
| >70 | 13 (3.3) | 11 (4.0) | 2 (1.6) | n.s 4 |
| Habit of eating mozuku: χ2-test | ||||
| Almost every day | 4 (1.0) | 2 (0.7) | 2 (1.6) | |
| About 1–3 times a week | 45 (11.4) | 41 (15.1) | 4 (3.2) | |
| About once every 2 weeks | 69 (17.4) | 56 (20.6) | 13 (10.5) | |
| About once a month | 90 (22.7) | 60 (22.1) | 30 (24.2) | |
| About once in 2–3 months | 88 (22.2) | 60 (22.1) | 28 (22.6) | |
| About 1–2 times a year | 85 (21.5) | 45 (16.5) | 40 (32.3) | |
| Do not eat/do not like | 15 (3.8) | 8 (2.9) | 7 (5.6) | p < 0.01 |
© 2018 by the authors. Licensee MDPI, Basel, Switzerland. This article is an open access article distributed under the terms and conditions of the Creative Commons Attribution (CC BY) license (http://creativecommons.org/licenses/by/4.0/).
Share and Cite
Kadena, K.; Tomori, M.; Iha, M.; Nagamine, T. Absorption Study of Mozuku Fucoidan in Japanese Volunteers. Mar. Drugs 2018, 16, 254. https://doi.org/10.3390/md16080254
Kadena K, Tomori M, Iha M, Nagamine T. Absorption Study of Mozuku Fucoidan in Japanese Volunteers. Marine Drugs. 2018; 16(8):254. https://doi.org/10.3390/md16080254
Chicago/Turabian StyleKadena, Kizuku, Makoto Tomori, Masahiko Iha, and Takeaki Nagamine. 2018. "Absorption Study of Mozuku Fucoidan in Japanese Volunteers" Marine Drugs 16, no. 8: 254. https://doi.org/10.3390/md16080254
APA StyleKadena, K., Tomori, M., Iha, M., & Nagamine, T. (2018). Absorption Study of Mozuku Fucoidan in Japanese Volunteers. Marine Drugs, 16(8), 254. https://doi.org/10.3390/md16080254
