Anti-Oxidant and Fucoxanthin Contents of Brown Alga Ishimozuku (Sphaerotrichia divaricata) from the West Coast of Aomori, Japan
Abstract
1. Introduction
2. Results
2.1. Amounts of Total Phenolic Compounds
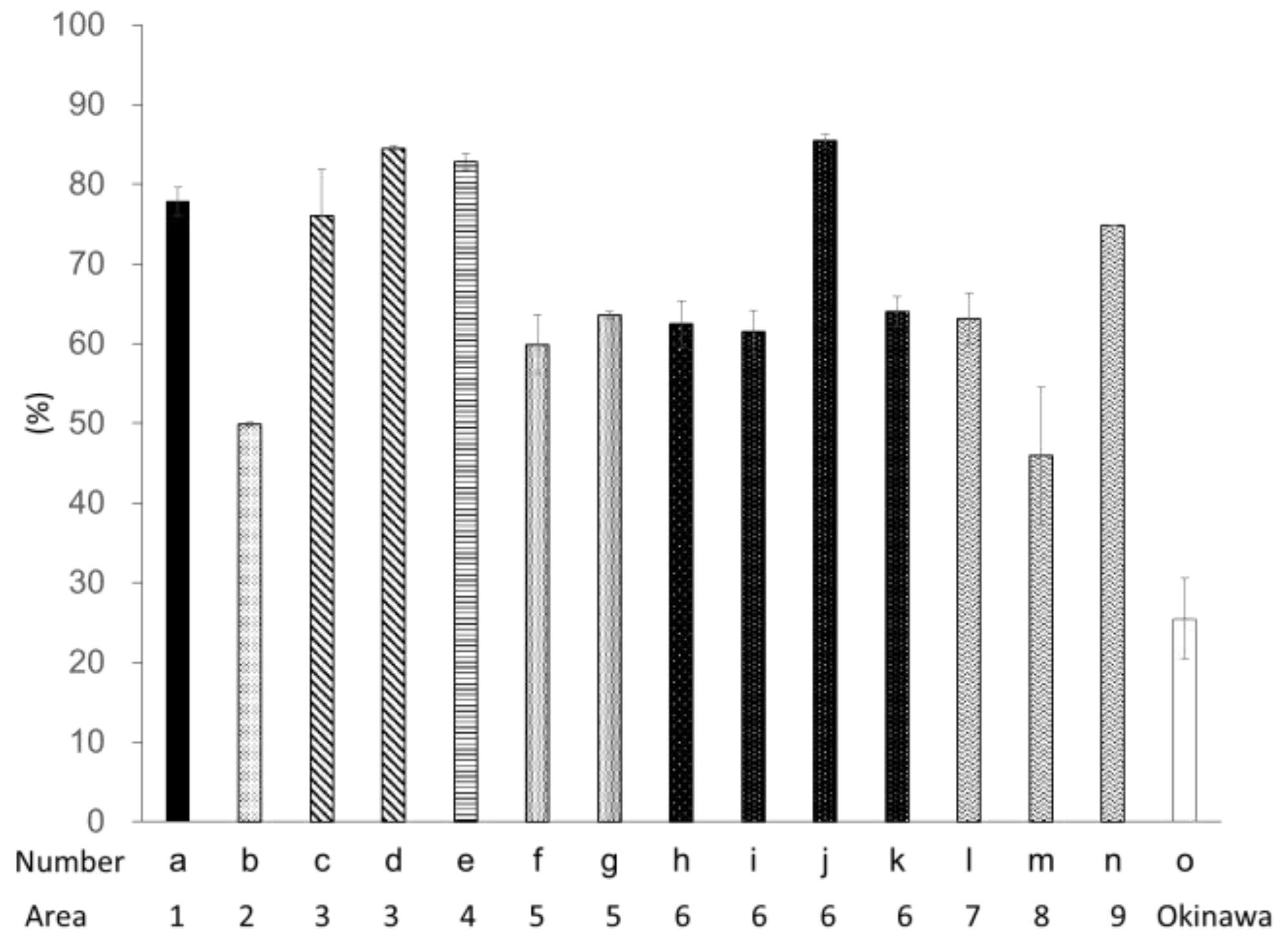
2.2. Anti-Oxidative Activity of Ishimozuku Extract
3. Discussion
4. Material and Methods
4.1. Material
4.2. Determination of Total Contents of Phenolic Compounds
4.3. Fucoxanthin Quantification by High Performance Liquid Chromatography (HPLC) Analysis
4.4. 1,1-Diphenyl-2-Picrylhydrazyl (DPPH) Radical Scavenging Activity
4.5. Hydrogen Peroxide Scavenging Activity
4.6. Statistical Analysis
5. Conclusions
Author Contributions
Acknowledgments
Conflicts of Interest
References
- Liu, J.N.; Yoshida, Y.; Wang, M.Q.; Okai, Y.; Yamashita, U. B Cell stimulating activity of seaweed extracts. Int. J. Immunopharmacol. 1997, 19, 135–142. [Google Scholar] [CrossRef]
- Suetsuna, K.; Maekawa, K.; Chen, J.R. Antihypertensive effects of Undaria pinnatifida (Wakame) peptide on blood pressure in spontaneously hypertensive rats. J. Nutr. Biochem. 2004, 15, 267–272. [Google Scholar] [CrossRef] [PubMed]
- Soeda, S.; Ohmagari, Y.; Shimeno, H.; Nagamatsu, A. Preparation of oversulfated fucoidan fragments and evaluation of their antithrombotic activities. Thromb. Res. 1993, 72, 247–256. [Google Scholar] [CrossRef]
- Jiménez-Escrig, A.; Sánchez-Muniz, F.J. Dietary fibre from edible seaweeds: Chemical structure, physicochemical properties and effects on cholesterol metabolism. Nutr. Res. 2000, 20, 585–598. [Google Scholar] [CrossRef]
- Li, B.; Lu, F.; Wei, X.J.; Zhao, R.X. Fucoidan: structure and bioactivity. Molecules 2008, 13, 1671–1695. [Google Scholar] [CrossRef] [PubMed]
- Pallela, R.; Na-Young, Y.; Kim, S.K. Anti-photoaging and photoprotective compounds derived from marine organisms. Mar. Drugs 2010, 8, 1189–1202. [Google Scholar] [CrossRef] [PubMed]
- Cooper, D.A.; Eldridge, A.L.; Peters, J.C. Dietary carotenoids and lung cancer: A review of recent research. Nutr. Rev. 1999, 57, 133–145. [Google Scholar] [CrossRef]
- Willett, W.C. Diet and cancer: one view at the start of the millennium. Cancer Epidemiol. Biomarkers Prev. 2001, 10, 3–8. [Google Scholar] [PubMed]
- Riboli, E.; Norat, T. Epidemiologic evidence of the protective effect of fruit and vegetables on cancer risk. Am. J. Clin. Nutr. 2003, 78, 559s–569s. [Google Scholar] [CrossRef] [PubMed]
- Chew, B.P.; Park, J.S. Carotenoid action on the immune response. J. Nutr. 2004, 134, 257s–261s. [Google Scholar] [CrossRef] [PubMed]
- Krinsky, N.I.; Johnson, E.J. Carotenoid actions and their relation to health and disease. Mol. Aspects Med. 2005, 26, 459–516. [Google Scholar] [CrossRef] [PubMed]
- Seifried, H.E.; Anderson, D.E.; Fisher, E.I.; Milner, J.A. A review of the interaction among dietary antioxidants and reactive oxygen species. J. Nutr. Biochem. 2007, 18, 567–579. [Google Scholar] [CrossRef] [PubMed]
- Kotake-Nara, E.; Kushiro, M.; Zhang, H.; Sugawara, T.; Miyashita, K.; Nagao, A. Carotenoids affect proliferation of human prostate cancer cells. J. Nutr. 2001, 131, 3303–3306. [Google Scholar] [CrossRef] [PubMed]
- Kotake-Nara, E.; Terasaki, M.; Nagao, A. Characterization of apoptosis induced by fucoxanthin in human promyelocytic leukemia cells. Biosci. Biotechnol. Biochem. 2005, 69, 224–227. [Google Scholar] [CrossRef] [PubMed]
- Kim, J.M.; Araki, S.; Kim, D.J.; Park, C.B.; Takasuka, N.; Baba-Toriyama, H.; Ota, T.; Nir, Z.; Khachik, F.; Shimidzu, N.; et al. Chemopreventive effects of carotenoids and curcumins on mouse colon carcinogenesis after 1,2-dimethylhydrazine initiation. Carcinogenesis 1998, 19, 81–85. [Google Scholar] [CrossRef] [PubMed]
- Terasaki, M.; Ogawa, Y.; Endo, T.; Maeda, H.; Hamada, J.; Osada, K.; Miyashita, K.; Mutoh, M. Glycine is a predictor for a suppressive effect of fucoxanthinol on colonosphere formation under hypoxia. Anticancer Res. 2018, 38, 2169–2179. [Google Scholar] [PubMed]
- Maeda, H.; Hosokawa, M.; Sashima, T.; Funayama, K.; Miyashita, K. Fucoxanthin from edible seaweed, Undaria pinnatifida, shows antiobesity effect through UCP1 expression in white adipose tissues. Biochem. Biophys. Res. Commun. 2005, 332, 392–397. [Google Scholar] [CrossRef] [PubMed]
- Maeda, H.; Hosokawa, M.; Sashima, T.; Funayama, K.; Miyashita, K. Effect of medium-chain triacylglycerols on anti-obesity effect of fucoxanthin. J. Oleo Sci. 2007, 56, 615–621. [Google Scholar] [CrossRef] [PubMed]
- Maeda, H.; Hosokawa, M.; Sashima, T.; Miyashita, K. Dietary combination of fucoxanthin and fish oil attenuates the weight gain of white adipose tissue and decreases blood glucose in obese/diabetic KK-Ay mice. J. Agric. Food Chem. 2007, 55, 7701–7706. [Google Scholar] [CrossRef] [PubMed]
- Maeda, H.; Hosokawa, M.; Sashima, T.; Murakami-Funayama, K.; Miyashita, K. Anti-obesity and anti-diabetic effects of fucoxanthin on diet-induced obesity conditions in a murine model. Mol. Med. Rep. 2009, 2, 897–902. [Google Scholar] [CrossRef] [PubMed]
- Terasaki, M.; Hirose, A.; Narayan, B.; Baba, Y.; Kawagoe, C.; Yasui, H.; Saga, N.; Hosokawa, M.; Miyashita, K. Evaluation of recoverable functional lipid components of several brown seaweeds (phaeophyta) from Japan with special reference to fucoxanthin and fucosterol contents (1). J. Phycol. 2009, 45, 974–980. [Google Scholar] [CrossRef] [PubMed]
- Maeda, H. Anti-obesity and anti-diabetic activities of algae. In Functional Ingredients from Algae for Foods and Nutraceuticals; Domínguez, H., Ed.; Woodhead Publishing Limited: Sawston, Cambridge, UK, 2013; pp. 453–472. [Google Scholar]
- Jiménez-Escrig, A.; Jiménez-Jiménez, I.; Pulido, R.; Saura, C.; Fulgencio, D. Antioxidant activity of fresh and processed edible seaweeds. J. Sci. Food Agric. 2001, 81, 530–534. [Google Scholar] [CrossRef]
- Nagai, T.; Yukimoto, T. Preparation and functional properties of beverages made from sea algae. Food Chem. 2003, 81, 327–332. [Google Scholar] [CrossRef]
- Machu, L.; Misurcova, L.; Ambrozova, J.V.; Orsavova, J.; Mlcek, J.; Sochor, J.; Jurikova, T. Phenolic content and antioxidant capacity in algal food products. Molecules 2015, 20, 1118–1133. [Google Scholar] [CrossRef] [PubMed]
- Shibata, T.; Kawaguchi, S.; Hama, Y.; Inagaki, M.; Yamaguchi, K.; Nakamura, T. Local and chemical distribution of phlorotannins in brown algae. J. Appl. Phycol. 2004, 16, 291–296. [Google Scholar] [CrossRef]
- Iwai, K.; Yoshino, A.; Sudo, Y. A search for culture seaweed (Cladosiphon okamuranus Tokida) having highly functional component, and method for preservation. Okinawa Prefect. Fish. Res. Ext. Cent. Rep. 2018, 78, 16–25. (In Japanese) [Google Scholar]
- Fábregas, J.; Otero, A.; Maseda, A.; Domínguez, A. Two-stage cultures for the production of astaxanthin from Haematococcus pluvialis. J. Biotechnol. 2001, 89, 65–71. [Google Scholar] [CrossRef]
- Lobo, V.; Patil, A.; Phatak, A.; Chandra, N. Free radicals, antioxidants and functional foods: Impact on human health. Pharmacogn. Rev. 2010, 4, 118–126. [Google Scholar] [CrossRef] [PubMed]
- Abidov, M.; Ramazanov, Z.; Seifulla, R.; Grachev, S. The effects of Xanthigen in the weight management of obese premenopausal women with non-alcoholic fatty liver disease and normal liver fat. Diabetes Obes. Metab. 2010, 12, 72–81. [Google Scholar] [CrossRef] [PubMed]
- Li, Y.; Iwata, K.; Sonoda, K. Focoxanthin supplementation reduces body fat in over weight humans—A randomized, placebo controlled study—. Jpn. Pharmacol. Ther. 2015, 9, 1317–1322. [Google Scholar]
- Maeda, H.; Kanno, S.; Kodate, M.; Hosokawa, M.; Miyashita, K. Fucoxanthinol, metabolite of fucoxanthin, improves obesity-induced inflammation in adipocyte cells. Mar. Drugs 2015, 13, 4799–4813. [Google Scholar] [CrossRef] [PubMed]
- Mikami, N.; Hosokawa, M.; Miyashita, K.; Sohma, H.; Ito, Y.M.; Kokai, Y. Reduction of HbA1c levels by fucoxanthin-enriched akamoku oil possibly involves the thrifty allele of UCP1: A randomized controlled trial in normal-weight and obese Japanese adults. J. Nutr. Sci. 2017, 6, 1–9. [Google Scholar] [CrossRef] [PubMed]
- Blois, M.S. Antioxidant determinations by the use of a stable free radical. Nature 1958, 181, 1199–1200. [Google Scholar] [CrossRef]





| Sample Number | Area Number | Year | Days | Total Polyphenol (mg/g Dry Weight) | Fucoxanthin (µg/g Dry Weight) |
|---|---|---|---|---|---|
| a | Area 1 | 2016 | 22 June | 0.714 ± 0.023 * | 483.6 ± 11.9 |
| b | Area 2 | 2015 | 7 July | 0.308 ± 0.065 | 105.6 ± 4.60 |
| c | Area 3 | 2015 | 2 July | 0.597 ± 0.178 * | 521.3 ± 94.1 # |
| d | Area 3 | 2015 | 16 September | 0.911 ± 0.065 * | 1148.5 ± 18.9 # |
| e | Area 4 | 2015 | 9 September | 0.727 ± 0.004 * | 762.7 ± 7.20 # |
| f | Area 5 | 2015 | 2 July | 0.375 ± 0.013 * | 387.9 ± 3.30 |
| g | Area 5 | 2016 | 7 July | 0.390 ± 0.010 * | 327.9 ± 3.50 |
| h | Area 6 | 2015 | 22 June | 0.431 ± 0.011 * | 511.1 ± 4.40 # |
| i | Area 6 | 2016 | 24 June | 0.296 ± 0.004 | 435.3 ± 11.03 |
| j | Area 6 | 2016 | 19 August | 0.958 ± 0.012 * | 553.46 ± 12.74 # |
| k | Area 6 | 2016 | 15 September | 0.471 ± 0.012 * | 415.62 ± 11.03 |
| l | Area 7 A) | 2014 | 30 July | 0.592 ± 0.024 * | 403.1 ± 40.7 |
| m | Area 8 A) | 2014 | 30 July | 0.525 ± 0.048 * | 593.2 ± 101 # |
| n | Area 9 A) | 2014 | 30 July | 0.935 ± 0.075 * | 845.0 ± 74.2 # |
| o | Okinawa, Japan | 2014 | July | 0.082 ± 0.011 | 153.8 ± 5.80 |
© 2018 by the authors. Licensee MDPI, Basel, Switzerland. This article is an open access article distributed under the terms and conditions of the Creative Commons Attribution (CC BY) license (http://creativecommons.org/licenses/by/4.0/).
Share and Cite
Maeda, H.; Fukuda, S.; Izumi, H.; Saga, N. Anti-Oxidant and Fucoxanthin Contents of Brown Alga Ishimozuku (Sphaerotrichia divaricata) from the West Coast of Aomori, Japan. Mar. Drugs 2018, 16, 255. https://doi.org/10.3390/md16080255
Maeda H, Fukuda S, Izumi H, Saga N. Anti-Oxidant and Fucoxanthin Contents of Brown Alga Ishimozuku (Sphaerotrichia divaricata) from the West Coast of Aomori, Japan. Marine Drugs. 2018; 16(8):255. https://doi.org/10.3390/md16080255
Chicago/Turabian StyleMaeda, Hayato, Satoru Fukuda, Hikari Izumi, and Naotsune Saga. 2018. "Anti-Oxidant and Fucoxanthin Contents of Brown Alga Ishimozuku (Sphaerotrichia divaricata) from the West Coast of Aomori, Japan" Marine Drugs 16, no. 8: 255. https://doi.org/10.3390/md16080255
APA StyleMaeda, H., Fukuda, S., Izumi, H., & Saga, N. (2018). Anti-Oxidant and Fucoxanthin Contents of Brown Alga Ishimozuku (Sphaerotrichia divaricata) from the West Coast of Aomori, Japan. Marine Drugs, 16(8), 255. https://doi.org/10.3390/md16080255

