Open-Ring Butenolides from a Marine-Derived Anti-Neuroinflammatory Fungus Aspergillus terreus Y10
Abstract
:1. Introduction
2. Results
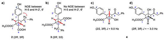
2.1. Structural Identification of New Compounds
2.2. Cytotoxicity
2.3. Inhibitory Effect of Compounds on Lipopolysaccharide (LPS)-Induced Tumor Necrosis Factor (TNF-α) Generation
3. Discussion
4. Materials and Methods
4.1. General Experimental Procedures
4.2. Eletronic Circular Dichroism (ECD) Calculations
4.3. Fungal Strain and Fermentation
4.4. Extraction and Isolation
4.5. Cell Cultivation
4.6. CCK-8 Cytotoxicity Assay
4.7. TNF-α Quantification by Enzyme-Linked Immunosorbent Assay (ELISA)
Supplementary Materials
Author Contributions
Funding
Conflicts of Interest
References
- Cutler, H.G. Biologically active natural products from fungi: Templates for tomorrow′s pesticides. ACS Symp. Ser. 1984, 14, 153–170. [Google Scholar]
- Ibrahim, S.R.; Mohamed, G.A.; Moharram, A.M.; Youssef, D.T. Aegyptolidines A and B: New pyrrolidine alkaloids from the fungus Aspergillus aegyptiacus. Phytochem. Lett. 2015, 12, 90–93. [Google Scholar] [CrossRef]
- Lubertozzi, D.; Keasling, J.D. Developing Aspergillus as a host for heterologous expression. Biotechnol. Adv. 2009, 27, 53–75. [Google Scholar] [CrossRef] [PubMed]
- Parvatkar, R.R.; D′Souza, C.; Tripathi, A.; Naik, C.G. Aspernolides A and B, butenolides from a marine-derived fungus Aspergillus terreus. Phytochemistry 2009, 70, 128–132. [Google Scholar] [CrossRef] [PubMed]
- Haritakun, R.; Rachtawee, P.; Chanthaket, R.; Boonyuen, N.; Isaka, M. Butyrolactones from the fungus Aspergillus terreus BCC 4651. Chem. Pharm. Bull. 2010, 58, 1545–1548. [Google Scholar] [CrossRef] [PubMed]
- Guo, F.; Li, Z.; Xu, X.; Wang, K.; Shao, M.; Zhao, F.; Wang, H.; Hua, H.; Pei, Y.; Bai, J. Butenolide derivatives from the plant endophytic fungus Aspergillus terreus. Fitoterapia 2016, 113, 44–50. [Google Scholar] [CrossRef] [PubMed]
- Sun, Y.; Liu, J.; Li, L.; Gong, C.; Wang, S.; Yang, F.; Hua, H.; Lin, H. New butenolide derivatives from the marine sponge-derived fungus Aspergillus terreus. Bioorgan. Med. Chem. Lett. 2018, 28, 315–318. [Google Scholar] [CrossRef] [PubMed]
- He, F.; Bao, J.; Zhang, X.Y.; Tu, Z.C.; Shi, Y.M.; Qi, S.H. Asperterrestide A, a cytotoxic cyclic tetrapeptide from the marine-derived fungus Aspergillus terreus SCSGAF0162. J. Nat. Prod. 2013, 76, 1182–1186. [Google Scholar] [CrossRef] [PubMed]
- Dewi, R.T.; Tachibana, S.; Darmawan, A. Effect on α-glucosidase inhibition and antioxidant activities of butyrolactone derivatives from Aspergillus terreus MC751. Med. Chem. Res. 2014, 23, 454–460. [Google Scholar] [CrossRef]
- Liao, W.Y.; Shen, C.N.; Lin, L.H.; Yang, Y.L.; Han, H.Y.; Chen, J.W.; Kuo, S.C.; Wu, S.H.; Liaw, C.C. Asperjinone, a nor-neolignan, and terrein, a suppressor of ABCG2-expressing breast cancer cells, from thermophilic Aspergillus terreus. J. Nat. Prod. 2012, 75, 630–635. [Google Scholar] [CrossRef] [PubMed]
- Wang, Y.; Zheng, J.; Liu, P.; Wang, W.; Zhu, W. Three new compounds from Aspergillus terreus PT06-2 grown in a high salt medium. Mar. Drugs 2011, 9, 1368–1378. [Google Scholar] [CrossRef] [PubMed]
- Butovsky, O.; Jedrychowski, M.P.; Moore, C.S.; Cialic, R.; Lanser, A.J.; Gabriely, G.; Koeglsperger, T.; Dake, B.; Wu, P.M.; Doykan, C.E.; et al. Identification of a unique molecular and functional microglia signature in health and disease. Int. J. Dev. Neurosci 2015, 47, 5. [Google Scholar] [CrossRef] [PubMed]
- Colonna, M.; Butovsky, O. Microglia Function in the Central Nervous System During Health and Neurodegeneration. Annu. Rev. Immunol. 2017, 35, 441–468. [Google Scholar] [CrossRef] [PubMed]
- Li, Q.Y.; Barres, B.A. Microglia and macrophages in brain homeostasis and disease. Nat. Rev. Immunol. 2018, 18, 225–242. [Google Scholar] [CrossRef] [PubMed]
- Du, L.; Zhang, Y.; Chen, Y.; Zhu, J.; Yang, Y.; Zhang, H.L. Role of Microglia in Neurological Disorders and Their Potentials as a Therapeutic Target. Mol. Neurobiol. 2017, 54, 7567–7584. [Google Scholar] [CrossRef] [PubMed]
- Perry, V.H.; Teeling, J. Microglia and macrophages of the central nervous system: The contribution of microglia priming and systemic inflammation to chronic neurodegeneration. Semin. Immunopathol. 2013, 35, 601–612. [Google Scholar] [CrossRef] [PubMed]
- Sanchez-Guajardo, V.; Tentillier, N.; Romero-Ramos, M. The relation between alpha-synuclein and microglia in parkinson’s disease: recent developments. Neuroscience 2015, 302, 47–58. [Google Scholar] [CrossRef] [PubMed]
- Xu, L.; He, D.; Bai, Y. Microglia-mediated inflammation and neurodegenerative disease. Mol. Neurobiol. 2016, 53, 6709–6715. [Google Scholar] [CrossRef] [PubMed]
- Lin, T.; Lu, C.; Shen, Y. Secondary metabolites of Aspergillus sp. F1, a commensal fungal strain of Trewia nudiflora. Nat. Prod. Res. 2009, 23, 77–85. [Google Scholar] [CrossRef] [PubMed]
- Nitta, K.; Fujita, N.; Yoshimura, T.; Arai, K.; Yamamoto, Y. Metabolic Products of Aspergillus-Terreus.9. Biosynthesis of Butyrolactone Derivatives Isolated from Strains-Ifo-8835 and Strain-Ifo-4100. Chem. Pharm. Bull. 1983, 31, 1528–1533. [Google Scholar] [CrossRef]
- Zhang, P.; Li, X.M.; Wang, J.N.; Li, X.; Wang, B.G. New butenolide derivatives from the marine-derived fungus Paecilomyces variotii with DPPH radical scavenging activity. Phytochem. Lett. 2015, 11, 85–88. [Google Scholar] [CrossRef]
- Morishima, H.; Fujita, K.; Nakano, M.; Atsumi, S.; Ookubo, M.; Kitagawa, M.; Matsumoto, H.; Okuyama, A.; Okabe, T.; Et, A. Preparation, antitumor activity, and formulations of dihydrofuran compounds. Jpn. Kokai Tokkyo Koho JP 1994, 6100445. [Google Scholar]
- Dewi, R.T.; Tachibana, S.; Fajriah, S.; Hanafi, M. α-Glucosidase inhibitor compounds from Aspergillus terreus RCC1 and their antioxidant activity. Med. Chem. Res. 2015, 24, 737–743. [Google Scholar] [CrossRef]
- Wu, Z.; Xie, Z.; Wu, M.; Li, X.; Li, W.; Ding, W.; She, Z.; Li, C. New Antimicrobial Cyclopentenones from Nigrospora sphaerica ZMT05, a Fungus Derived from Oxya chinensis Thunber. J. Agric. Food Chem. 2018, 66, 5368–5372. [Google Scholar] [CrossRef] [PubMed]






| Position | 1H-NMR [δH (J in Hz)] | 1C-NMR [δC] | ||||||
|---|---|---|---|---|---|---|---|---|
| 1 | 2 | 3 | 4 | 1 | 2 | 3 | 4 | |
| 1 | 172.9 | 173.9 | 173.3 | 173.4 | ||||
| 2 | 3.59 d (11.6) | 3.61 d (11.0) | 4.34 dd (9.0, 7.3) | 124.3 | 52.1 | 53.3 | 71.9 | |
| 3 | 3.28 m | 3.13 m | 4.06, d (9.2) | 156.6 | 49.4 | 51.8 | 59.9 | |
| 4 | 6.53 br. d (7.3) | 12.40 br. s [COOH] | 12.38 br. s [COOH] | 97.7 | 175.5 | 174.1 | 207.6 | |
| 5 | 3.70 d (15.2) & 3.59 d (15.4) | 2.62 dd (13.9, 3.9) & 2.37, dd (13.9, 7.9) | 2.67 dd (13.4, 9.9) & 2.63 (13.4, 3.5) | 3.50 d (16.3) &3.47 d (16.5) | 29.0 | 34.3 | 37.1 | 47.4 |
| 1′ | 122.1 | 127.4 | 127.5 | 125.6 | ||||
| 2′, 6′ | 7.45 d (8.1) | 7.18 d (8.4) | 7.08 d (8.4) | 7.00, d (8.4) | 130.7 | 130.1 | 129.8 | 130.9 |
| 3′, 5′ | 6.84 d (7.9) | 6.84 d (8.3) | 6.67 d (8.3) | 6.72, d (8.4) | 116.0 | 116.1 | 115.6 | 115.8 |
| 4′ | 159.7 | 157.4 | 157.3 | 157.2 | ||||
| 1″ | 127.9 | 128.3 | 129.1 | 124.9 | ||||
| 2″ | 6.88 br. s | 6.63 br. s | 6.80 d (1.7) | 6.58 br. s | 129.5 | 130.3 | 130.1 | 130.9 |
| 3″ | 128.1 | 126.7 | 127.1 | 127.5 | ||||
| 4″ | 153.8 | 153.8 | 153.8 | 154.0 | ||||
| 5″ | 6.68 d (8.1) | 6.67 d (8.1) | 6.65 d (7.7) | 6.65 d (8.1) | 115.3 | 114.9 | 115.1 | 115.0 |
| 6″ | 6.82 br. d (9.0) | 6.65 dd (8.1,1.7) | 6.71, dd (8.1,1.7) | 6.59 dd (8.1, 1.8) | 126.3 | 127.3 | 127.3 | 128.2 |
| 1‴ | 3.15, 2H, br. d (7.3) | 3.21 dd (15.8, 8.1) & 3.17 dd (15.8, 7.9) | 3.16, 2H, br. d (7.2) | 3.13, 2H, br. d (7.3) | 28.4 | 28.4 | 28.6 | 28.4 |
| 2‴ | 5.20 br. t (7.3) | 5.28 br. t (7.1) | 5.25 br. t (7.3) | 5.20 br. t (7.3) | 123.2 | 123.3 | 123.4 | 123.3 |
| 3‴ | 131.8 | 131.6 | 131.5 | 131.6 | ||||
| 4‴ | 1.66, 3H, s | 1.76, 3H, s | 1.69, 3H, s | 1.67, 3H, s | 26.0 | 26.0 | 26.0 | 26.0 |
| 5‴ | 1.62, 3H, s | 1.71, 3H, s | 1.67, 3H, s | 1.64, 3H, s | 18.0 | 18.1 | 18.1 | 18.1 |
| COOCH3 | 3.53, 3H, s | 3.58, 3H, s | 3.56, 3H, s | 51.3 | 52.4 | 52.0 | ||
| 2/4-OH | 7.80 br. d (8.1) [4-OH] | 5.70, d (7.2) [2-OH] | ||||||
| 4′-OH | 10.09 br. s | 9.59 br. s | 9.50 br. s | 9.41, br.s | ||||
| 4″-OH | 9.18 br. s | 9.19 br.s | 9.16 br.s | 9.18, br.s | ||||
© 2018 by the authors. Licensee MDPI, Basel, Switzerland. This article is an open access article distributed under the terms and conditions of the Creative Commons Attribution (CC BY) license (http://creativecommons.org/licenses/by/4.0/).
Share and Cite
Yang, L.-H.; Ou-Yang, H.; Yan, X.; Tang, B.-W.; Fang, M.-J.; Wu, Z.; Chen, J.-W.; Qiu, Y.-K. Open-Ring Butenolides from a Marine-Derived Anti-Neuroinflammatory Fungus Aspergillus terreus Y10. Mar. Drugs 2018, 16, 428. https://doi.org/10.3390/md16110428
Yang L-H, Ou-Yang H, Yan X, Tang B-W, Fang M-J, Wu Z, Chen J-W, Qiu Y-K. Open-Ring Butenolides from a Marine-Derived Anti-Neuroinflammatory Fungus Aspergillus terreus Y10. Marine Drugs. 2018; 16(11):428. https://doi.org/10.3390/md16110428
Chicago/Turabian StyleYang, Long-He, Han Ou-Yang, Xia Yan, Bo-Wen Tang, Mei-Juan Fang, Zhen Wu, Jing-Wei Chen, and Ying-Kun Qiu. 2018. "Open-Ring Butenolides from a Marine-Derived Anti-Neuroinflammatory Fungus Aspergillus terreus Y10" Marine Drugs 16, no. 11: 428. https://doi.org/10.3390/md16110428
APA StyleYang, L.-H., Ou-Yang, H., Yan, X., Tang, B.-W., Fang, M.-J., Wu, Z., Chen, J.-W., & Qiu, Y.-K. (2018). Open-Ring Butenolides from a Marine-Derived Anti-Neuroinflammatory Fungus Aspergillus terreus Y10. Marine Drugs, 16(11), 428. https://doi.org/10.3390/md16110428

