Abstract
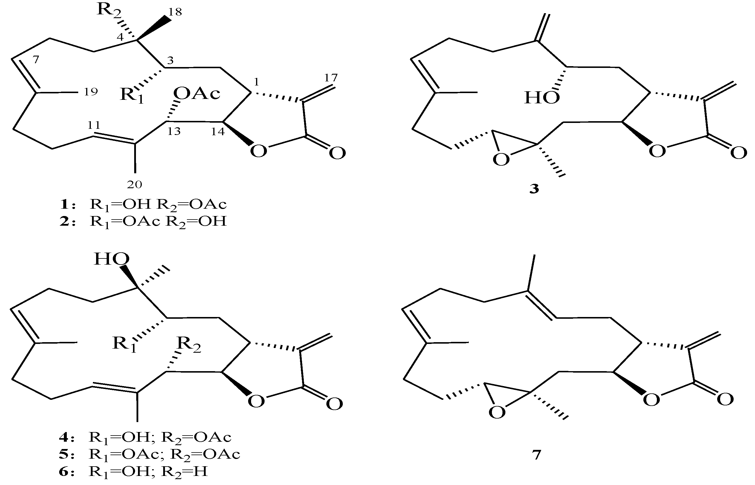
New cembranoids, sarcocrassocolides P–R (1–3) and four known compounds (4–7) were isolated from the soft coral Sarcophyton crassocaule. The structures of the metabolites were determined by extensive spectroscopic analysis. Compounds 3–5 and 7 were shown to exhibit cytotoxicity toward a limited panel of cancer cell lines and all compounds 1–7 displayed potent in vitro anti-inflammatory activity in lipopolysaccharide (LPS)-stimulated RAW264.7 macrophage cells by inhibiting the expression of inducible nitric oxide synthase (iNOS) protein. Compound 7 also showed significant activity in reducing the accumulation of cyclooxygenase-2 (COX-2) protein in the same macrophage cells.
1. Introduction
Marine terpenoids are of considerable interest due to their unique structures and wide range of biological activities [1]. The macrocyclic cembrane-derived compounds are known to be the major diterpenoidal metabolites in soft corals [2,3,4,5,6,7,8,9]. In previous studies of the secondary metabolites from soft corals of Taiwan waters, a series of bioactive cembranoids was discovered from soft corals belonging to the genera Sinularia [10,11,12,13,14,15,16,17], Lobophytum [18,19,20,21], Sarcophyton [22,23,24,25,26,27,28] and Pachyclavularia [29]. Some of these metabolites have been shown to exhibit cytotoxic activity against the growth of various cancer cell lines [11,12,13,15,17,19,20,21,22,23,24,25,26,27,28], and/or anti-inflammatory activity [10,11,14,15,16,17,18,19]. Our previous studies on the chemical constituents of a Dongsha Atoll soft coral S. crassocaule have yielded 15 new cembranoids, sarcocrassocolides A–O, of which several compounds were shown to exhibit significant cytotoxic and anti-inflammatory activities [30,31,32]. Our continuing chemical study on the same collection of this organism again led to the isolation of three new cembranoids, sarcocrassocolides P–R (1–3) (Chart 1 and Supplementary Figures S1–S9) along with four known compounds, crassocolides A, B, D, and E (4–7) [23] (Chart 1). The structures of 1–3 were established by extensive spectroscopic analysis, including careful examination of 2D NMR (1H–1H COSY, HSQC, HMBC and NOESY) correlations. The cytotoxicity of compounds 1–7 against human colon adenocarcinoma (DLD-1), human T-cell acute lymphoblastic leukemia (CCRF-CEM), and human promyelocytic leukemia (HL-60) cell lines was studied, and the ability of 1–7 to inhibit the up-regulation of pro-inflammatory iNOS (inducible nitric oxide synthase) and COX-2 (cyclooxygenase-2) proteins in LPS (lipopolysaccharide)-stimulated RAW264.7 macrophage cells was also examined. Compounds 1–7 were shown to exhibit cytotoxicity towards the above cancer cells, with 5 being the most cytotoxic.
Chart 1.
Structures of new metabolites 1–3, and known compounds 4–7.
Chart 1.
Structures of new metabolites 1–3, and known compounds 4–7.

2. Results and Discussion
The HRESIMS spectrum of sarcrocrassocolide P (1) established the molecular formula C24H34O7, appropriate for eight degrees of unsaturation, and the IR spectrum revealed the presence of a hydroxyl (3445 cm−1) and carbonyl (1767 cm−1) group. The 13C NMR and DEPT (Distortionless Enhancement by Polarization Transfer) (Table 1) spectroscopic data showed signals of five methyls (including two acetate methyls), five sp3 methylenes, one sp2 methylene, four sp3 methines (including three oxymethines), two sp2 methines, one sp3 and six sp2 quaternary carbons (including two ester carbonyls). The NMR signals (Table 1) at δC 170.1 (C), 140.5 (C), 120.9 (CH2), 79.1 (CH), and 38.5 (CH), and δH 6.24, 5.65 (each, 1H, d, J = 2.0 Hz), 5.28 (1H, brs), and 3.11 (1H, d, J = 9.5 Hz) showed the presence of an α-methylene-γ-lactonic group by comparing with the NMR data of known cembranoids with the same five-membered lactone ring [30,31,32]. Two trisubstituted double bonds were also identified from NMR signals appearing at δC 135.8 (C), 125.7 (CH) and δH 5.08 (1H, t, J = 7.0 Hz), and at δC 130.3 (C), 127.3 (CH) and δH 5.32 (1H, dd, J = 10.0, 3.5 Hz), respectively. In the COSY spectrum, it was possible to identify three partial structures, which were assembled with the assistance of an HMBC experiment. Key HMBC correlations of H3-18 to C-3, C-4 and C-5; H3-19 to C-7, C-8 and C-9; H3-20 to C-11, C-12 and C-13 and H2-17 to C-1, C-15 and C-16 permitted the establishment of the carbon skeleton (Figure 1). Furthermore, the acetoxy group positioned at C-13 was confirmed from the HMBC correlations of the methyl protons of an acetate (δH 1.99) to the ester carbonyl carbon at δC 169.3 and the oxymethine signal at 77.5 (C-13, CH). The downfield chemical shift for H3-18 (δ 1.44 s) and the 13C NMR signals at δC 89.9 (C) showed the presence of an acetate group at C-4. The geometries of trisubstituted double bonds at C-7/C-8 and C-11/C-12 are both E, as the chemical shifts for C-19 and C-20 were upfield shifted to 16.0 and 14.5 ppm. On the basis of the above analysis, the planar structure of 1 was established. The relative structure of 1 was elucidated by the NOE correlations, as shown in Figure 2. The NOE interaction of H-1 (δ 3.11) with H-3 (δ 3.73) and H-11 (δ 5.32) revealed the β-orientation of H-1 and H-3 [23,30,31,32]. H-3 showed NOE correlation with H3-18 (δ 1.32, s), thus H3-18 should also be positioned on the β-face. The E geometry of the trisubstituted double bonds at C-7/C-8 and C-11/C-12 were confirmed from the NOE correlations of H3-19 (δ 1.67) with one proton of H2-6 (δ 2.26), and H3-20 with H-10. H-14 (δ 5.28) exhibited NOE correlations with both H-13 (δ 5.40) and H3-20, but not with H-1, indicating the α-orientation of both H-13 and H-14. These results, together with other detailed NOE correlations of 1 (Figure 2), unambiguously established the structure of sarcocrassocolide P, as shown in formula 1 (Chart 1). Therefore, the relative stereochemistry of compound 1 was determined.
Table 1.
NMR spectroscopicdata for Sarcrocrassocolides M–O(1–3).
| Sarcrocrassocolide P (1) | Sarcrocrassocolide Q (2) | Sarcrocrassocolide R (3) | ||||
|---|---|---|---|---|---|---|
| position | δC, mult. a | δH (J in Hz) b | δC, mult. a | δH (J in Hz) b | δC, mult. c | δH (J in Hz) d |
| 1 | 38.5, CH | 3.11, brd (9.5) c | 37.7, CH | 3.06, brs | 40.5, CH | 3.02, d (11.0) |
| 2 | 37.3, CH2 | 1.80, m | 35.7, CH2 | 2.05, t (5.0) | 39.3, CH2 | 2.14, m |
| 1.32, ddd (14.5, 10.5, 9.5) | 1.80, m | 1.82, ddd (19.0, 5.5, 1.5) | ||||
| 3 | 73.1, CH | 3.73, t (10.0) | 75.8, CH | 5.04, dd (6.5, 5.0) | 71.6, CH | 4.25, d (5.0) |
| 4 | 89.9, C | 74.7, C | 150.5, C | |||
| 5 | 36.4, CH2 | 1.94, t (11.5) | 37.9, CH2 | 1.68, m | 31.2, CH2 | 2.16, m |
| 1.81, m | 2.12, m | |||||
| 6 | 23.1, CH2 | 2.26, m | 23.1, CH2 | 2.18, m | 23.4, CH2 | 2.59, m |
| 2.15, m | 2.21, m | |||||
| 7 | 125.7, CH | 5.08, t (7.0) | 123.3, CH | 5.13, t (7.0) | 126.3, CH | 5.07, d (10.5) |
| 8 | 135.8, C | 136.5, C | 133.9, C | |||
| 9 | 39.4, CH2 | 2.28, m | 37.6, CH2 | 2.21, m | 36.7, CH2 | 2.29, d (13.0) |
| 2.09, m | 2.09, m | |||||
| 10 | 24.7, CH2 | 2.44, qd (10.0, 2.5) | 24.6, CH2 | 2.34, m | 24.4, CH2 | 2.17, m |
| 2.11, m | 2.24, m | 1.31, m | ||||
| 11 | 127.3, CH | 5.32, dd (10.0, 3.5) | 129.3, CH | 5.32, brt (7.0) | 61.7, CH | 2.56, dd (11.0, 4.0) |
| 12 | 130.3, C | 129.2, C | 59.7, C | |||
| 13 | 77.5, CH | 5.40, s | 76.5, CH | 5.37, s | 46.5, CH2 | 2.00, dd (14.0, 11.5) |
| 1.24, d (14.0) | ||||||
| 14 | 79.1, CH | 5.28, brs | 82.7, CH | 4.43, dd (5.0, 2.0) | 81.1, CH | 4.32, d (11.5) |
| 15 | 140.5, C | 140.5, C | 139.5, C | |||
| 16 | 170.1, C | 169.8, C | 170.1, C | |||
| 17 | 120.9, CH2 | 6.24, d (2.0) | 122.2, CH2 | 6.23, d (2.5) | 123.2, CH2 | 6.29, d (1.5) |
| 5.65, d (2.0) | 5.78, d (2.5) | 5.69, d (1.5) | ||||
| 18 | 19.7, CH3 | 1.44, s | 24.4, CH3 | 1.44, s | 107.3, CH2 | 5.17, s |
| 4.78, s | ||||||
| 19 | 16.0, CH3 | 1.67, s | 16.8, CH3 | 1.65, s | 14.9, CH3 | 1.76, s |
| 20 | 14.5, CH3 | 1.72, s | 14.6, CH3 | 1.72, s | 17.5, CH3 | 1.38, s |
| 4-OAc | 22.1, CH3 | 2.04, s | ||||
| 172.1, C | ||||||
| 3-OAc | 21.2, CH3 | 2.08, s | ||||
| 170.4, C | ||||||
| 13-OAc | 20.8, CH3 | 1.99, s | 20.8, CH3 | 2.03, s | ||
| 169.3, C | 169.5, C | |||||
a Spectra recorded at 125 MHz in CDCl3; b Spectra recorded at 500 MHz in CDCl3; c Spectra recorded at 100 MHz in CDCl3; d Spectra recorded at 400 MHz in CDCl3.
Figure 1.
COSY and HMBC correlations for 1 and 3.
Figure 1.
COSY and HMBC correlations for 1 and 3.

Figure 2.
Key NOESY correlations for 1–3.
Figure 2.
Key NOESY correlations for 1–3.

Sarcocrassocolide Q (2), with a molecular formula of C24H34O7, was obtained as a colorless oil. Comparison of its 1H and 13C NMR data with those of 1 suggested that 2 has the same molecular formula, and showed that a hydroxy group at C-3 and the acetoxy group at C-4 in 1 were replaced by an acetoxy and hydroxy group in 2, respectively, as confirmed by the downfield shifted δ value of C-3 (δC 73.1) of 1, relative to that of 2 (δC 75.8), and the HMBC correlation from H-3 (δ 5.04) to the carbonyl carbon resonating at δ 170.4. The E geometry of the trisubstituted double bonds at C-7/C-8 and C-11/C-12 were assigned from the upper field chemical shift of C-19 (δ 16.8) and C-20 (δ 14.6). Further analysis of the NOE interactions revealed that 2 possessed the same relative configurations at C-1, C-3, C-4, C-13, and C-14 as those of 1 (Figure 2).
Compound 3 was shown by HRESIMS to possess the molecular formula C20H28O4 (m/z 355.1888 [M + Na]+). The IR spectrum of 3 also revealed the presence of hydroxy (3420 cm−1) and carbonyl (1752 cm−1) groups. Comparison of the 1H and 13C NMR data (Table 1) of compounds 3 and that of crassocolide E showed that the structure of 3 has some similarity to that of crassocolide E [23]. It was found that a C-3/C-4 double bond in crassocolide E was replaced by a 1,1-disubstituted carbon–carbon double bond at C-4/C-18 and a hydroxy group at C-3 in 3, as confirmed by HMBC correlations observed from H2-18 to C-3 (δC 71.6), C-4 (δC 150.5), and C-5 (δC 31.2). The planar structure of 3 was elucidated by analyzing the COSY and HMBC correlations (Figure 1). The relative stereochemistry of 3 was confirmed from the key NOESY correlations (Figure 2). Assuming the β-orientation of H-1, correlations of H-1 with both of one proton of H2-18 (δ 5.17) and one proton of H2-13, which was assigned as H-13β (δ 1.24), but not with H-3; H-13β with H-11 (δ 2.56); H-11 with H-14 (δ 4.32); H3-20 with H-13α (δ 2.00); and one proton of H-9 (δ 2.09) with H-7, which did not show NOE correlation with H3-19, revealed the β-orientations of H-1 and H-11, the α-orientation of H-14, the E geometry of the trisubstituted double bond, and the trans stereochemistry of 11,12-epoxide. These results, together with other detailed NOE correlations of 3, established the structure of sarcocrassocolide R, as shown in formula 3 (Chart 1).
Known compounds 4–7 (
+7.0, +31.6, +21.9 and +108.9, respectively), were found to have identical spectroscopic data and close specific optical rotations with those of previously discovered compounds, crassocolide A (
+6.5), B (
+26.5), D (
+16.8) and E (
+99.6), respectively [23]. Thus, the structures of compounds 4–7 were confirmed.
+7.0, +31.6, +21.9 and +108.9, respectively), were found to have identical spectroscopic data and close specific optical rotations with those of previously discovered compounds, crassocolide A (
+6.5), B (
+26.5), D (
+16.8) and E (
+99.6), respectively [23]. Thus, the structures of compounds 4–7 were confirmed.The cytotoxicity of compounds 1–7 against the proliferation of a limited panel of cancer cell lines, including DLD-1, CCRF-CEM, and HL-60 carcinoma cell lines was evaluated. The results (Table 2) showed that all compounds 3–5, 7 were found to exhibit significant cytotoxicity against all or part of the above carcinoma cell lines. Compound 5 was found to be the most cytotoxic. The inhibition of LPS-induced up-regulation of pro-inflammatory proteins iNOS and COX-2 in RAW264.7 macrophage cells was measured by immunoblot analysis (Figure 3). At a concentration of 10 µM of each compound, 1–7 were found to potently reduce the levels of iNOS protein to 1.3% ± 0.3%, 2.4% ± 0.4%, 1.2% ± 0.3%, 3.5% ± 0.9%, 3.2% ± 0.7%, 3.2% ± 0.6%, and 1.4% ± 0.4% respectively, relative to the control cells stimulated with LPS only. At the same concentration metabolites 1, 3, 5, and 6 did not show activity in inhibiting the expression of the pro-inflammatory COX-2 protein with LPS treatment, but compounds 2, 4, and 7 could reduce the expression of COX-2 to 58.3% ± 20.5%, 59.4% ± 21.4%, and 32.0% ± 15.3%. Thus, compounds 1–7 might be useful anti-inflammatory agents, while 7 could be regarded as a promising COX-2 inhibitor. Compounds 3–5 and 7, in particular 5, are worthy of further anticancer studies.
Table 2.
Cytotoxicity (ED50 µM) of compounds 1–3.
| Compound | DLD-1 a | CCRF-CEM b | HL-60 c |
|---|---|---|---|
| 1 | 21.8 | 48.8 | 24.9 |
| 2 | 35.8 | 73.1 | 18.6 |
| 3 | 10.0 | 28.1 | 8.7 |
| 4 | 5.7 | 6.3 | (–) d |
| 5 | 3.8 | 8.7 | 7.3 |
| 6 | 27.7 | 41.9 | 34.6 |
| 7 | 7.9 | 11.1 | 8.4 |
| Doxorubicin | 0.77 | 1.16 | 0.046 |
a DLD-1: human colon adenocarcinoma; b CCRF-CEM: human T-cell acute lymphoblastic leukaemia; c HL-60: human promyelocytic leukemia; d (–): ED50 > 50 µM.
Figure 3.
Effect of compounds 1–7 on the expression of inducible nitric oxide synthase (iNOS) and cyclooxygenase-2 (COX-2) proteins in RAW264.7 macrophage cells by immunoblot analysis. (A) Immunoblots of iNOS and β-actin; (B) Immunoblots of COX-2 and β-actin. The values are mean ± SEM. (n = 6). Relative intensity of the lipopolysaccharide (LPS) alone stimulated group was taken as 100%; * Significantly different from LPS alone stimulated group (* p < 0.05); a stimulated with LPS; b stimulated with LPS in the presence of 1–7 (10 µM).
Figure 3.
Effect of compounds 1–7 on the expression of inducible nitric oxide synthase (iNOS) and cyclooxygenase-2 (COX-2) proteins in RAW264.7 macrophage cells by immunoblot analysis. (A) Immunoblots of iNOS and β-actin; (B) Immunoblots of COX-2 and β-actin. The values are mean ± SEM. (n = 6). Relative intensity of the lipopolysaccharide (LPS) alone stimulated group was taken as 100%; * Significantly different from LPS alone stimulated group (* p < 0.05); a stimulated with LPS; b stimulated with LPS in the presence of 1–7 (10 µM).

3. Experimental Section
3.1. General Experimental Procedures
Optical rotations were measured on a JASCO P-1020 polarimeter. Ultraviolet spectra were recorded on a JASCO V-650 spectrophotometer. IR spectra were recorded on a JASCO FT/IR-4100 infrared spectrophotometer. NMR spectra were recorded on a Varian 400MR FT-NMR (or Varian Unity INOVA500 FT-NMR) instrument at 400 MHz (or 500 MHz) for 1H and 100 MHz (or 125 MHz) for 13C in CDCl3. LRMS and HRMS were obtained by ESI on a Bruker APEX II mass spectrometer. Silica gel (Merck, 230–400 mesh) was used for column chromatography. Precoated silica gel plates (Merck, Kieselgel 60 F-254, 0.2 mm) were used for analytical TLC. High-performance liquid chromatography was performed on a Hitachi L-7100 HPLC apparatus with a Merck Hibar Si-60 column (250 × 21 mm, 7 µm) and on a Hitachi L-2455 HPLC apparatus with a Supelco C18 column (250 × 21.2 mm, 5 µm).
3.2. Animal Material
S. crassocaule (specimen No. 20070402) was collected by hand, using scuba off the coast of Dongsha, Taiwan, in April 2007, at a depth of 5–10 m, and stored in a freezer until extraction. A voucher sample was deposited at the Department of Marine Biotechnology and Resources, National Sun Yat-sen University.
3.3. Extraction and Separation
The frozen bodies of S. crassocaule (0.5 kg, wet wt) were minced and exhaustively extracted with EtOAc (1 L × 5). The EtOAc extract (7.3 g) was chromatographed over silica gel by column chromatography and eluted with EtOAc in n-hexane (0%–100%, stepwise) then with acetone in EtOAc (50%–100%, stepwise) to yield 28 fractions. Fraction 10, eluting with n-hexane–EtOAc (6:1), was further purified over silica gel using n-hexane–acetone (7:1) to afford six subfractions (A1–A5). Subfraction A3 was separated by normal-phase HPLC using CH2Cl2–Acetone (40:1) to afford 7 (79.8 mg). Fraction 15, eluting with n-hexane–EtOAc (2:1), was further purified over silica gel using n-hexane–acetone (3:1) to afford six subfractions (B1–B5). Subfraction B4 was separated by reverse-phase HPLC using MeOH–H2O (2.3:1) to afford 1 (5.8 mg). Fraction 18, eluting with n-hexane–EtOAc (1:1), was further purified over silica gel using n-hexane–acetone (3:1) to afford eight subfractions (C1–C6). Subfraction C6 was separated by reversed-phase HPLC using MeOH–H2O (1.5:1 and 1.2:1) to afford 2 (1.5 mg), 3 (1.6 mg), 4 (3.5 mg), 5 (4.3 mg), and 6 (13.8 mg).
Sarcocrassocolide P (1): colorless oil;
−76 (c 0.4, CHCl3); IR (neat) νmax 3445, 2924, 2851, 1767, 1733, 1652, 1435, 1371, and 1229 cm−1; UV (MeOH) λmax 205 (log ε = 3.5); 13C and 1H NMR data, see Table 1; ESIMS m/z 457 [M + Na]+; HRESIMS m/z 457.2199 [M + Na]+ (calcd. for C24H34O7Na, 457.2202).
−76 (c 0.4, CHCl3); IR (neat) νmax 3445, 2924, 2851, 1767, 1733, 1652, 1435, 1371, and 1229 cm−1; UV (MeOH) λmax 205 (log ε = 3.5); 13C and 1H NMR data, see Table 1; ESIMS m/z 457 [M + Na]+; HRESIMS m/z 457.2199 [M + Na]+ (calcd. for C24H34O7Na, 457.2202).Sarcocrassocolide Q (2): colorless oil;
−84 (c 0.1, CHCl3); IR (neat) νmax 3445, 2917, 2849, 1750, 1733, 1653, 1434, 1372, and 1236 cm−1; UV (MeOH) λmax 214 (log ε = 3.8); 13C and 1H NMR data, see Table 1; ESIMS m/z 457 [M + Na]+; HRESIMS m/z 457.2201 [M + Na]+ (calcd. for C24H34O7Na, 457.2202).
−84 (c 0.1, CHCl3); IR (neat) νmax 3445, 2917, 2849, 1750, 1733, 1653, 1434, 1372, and 1236 cm−1; UV (MeOH) λmax 214 (log ε = 3.8); 13C and 1H NMR data, see Table 1; ESIMS m/z 457 [M + Na]+; HRESIMS m/z 457.2201 [M + Na]+ (calcd. for C24H34O7Na, 457.2202).Sarcocrassocolide R (3): colorless oil;
−178 (c 0.1, CHCl3); IR (neat) νmax 3420, 2931, 1751, 1654, 1450, 1375, and 1270 cm−1; UV (MeOH) λmax 213 (log ε = 3.7); 13C and 1H NMR data, see Table 1; ESIMS m/z 355 [M + Na]+; HRESIMS m/z 355.1888 [M + Na]+ (calcd. for C20H28O4Na, 355.1885).
−178 (c 0.1, CHCl3); IR (neat) νmax 3420, 2931, 1751, 1654, 1450, 1375, and 1270 cm−1; UV (MeOH) λmax 213 (log ε = 3.7); 13C and 1H NMR data, see Table 1; ESIMS m/z 355 [M + Na]+; HRESIMS m/z 355.1888 [M + Na]+ (calcd. for C20H28O4Na, 355.1885).3.4. Cytotoxicity Testing
Cell lines were purchased from the American Type Culture Collection (ATCC). Cytotoxicity assays of the tested compounds 1–7 were performed using the MTT [3-(4,5-dimethylthiazol-2-yl)-2,5-diphenyltetrazolium bromide] colorimetric method [33]. To measure the cytotoxicity activities of tested compounds, three concentrations in DMSO with three replications were performed on each cell line. Doxorubicin and DMSO were used as positive and negative controls, respectively in this assay.
3.5. In Vitro Anti-Inflammatory Assay
Macrophage (RAW264.7) cells were purchased from ATCC. In vitro anti-inflammatory activities of compounds 1–7 were measured by examining the inhibition of lipopolysaccharide (LPS) induced upregulation of iNOS (inducible nitric oxide synthetase) and COX-2 (cyclooxygenase-2) proteins in macrophages cells using western blotting analysis [34]. For statistical analysis, all of the data were analyzed by a one-way analysis of variance (ANOVA), followed by the Student-Newman-Keuls post hoc test for multiple comparisons. A significant difference was defined as a p value of <0.05.
4. Conclusions
Our investigation demonstrated that the soft coral, S. crassocaule, is a good source of bioactive substances. Compounds 1–7, in particular 7, are potentially anti-inflammatory and may become lead compounds in future anti-inflammation drug development. Compounds 3–5, and 7, in particular 5, are worthy of further anticancer studies. These results suggest that continuing investigation of novel secondary metabolites together with the potentially useful bioactivities from this marine organism are worthwhile for future drug development.
Supplementary Files
Acknowledgments
This research was supported by grants from the National Science Council (100-2320-B-110-001-MY2), NSYSU-KMU JOINT RESEARCH PROJECT (NSYSUKMU 02C030117) and Aim for the Top University Program (02C030205) from Ministry of Education of Taiwan, awarded to Jyh-Horng Sheu.
Conflicts of Interest
The authors declare no conflict of interest.
References
- Blunt, J.W.; Copp, B.R.; Keyzers, R.A.; Munro, M.H.G.; Prinsep, M.R. Marine natural products. Nat. Prod. Rep. 2013, 30, 237–323. [Google Scholar] [CrossRef]
- Bishara, A.; Rudi, A.; Benayahu, Y.; Kashman, Y. Three biscembranoids and their monomeric counterpart cembranoid, a biogenetic diels-alder precursor, from the soft coral Sarcophyton elegans. J. Nat. Prod. 2007, 70, 1951–1954. [Google Scholar] [CrossRef]
- Bensemhoun, J.; Rudi, A.; Bombarda, I.; Gaydou, E.M.; Kashman, Y.; Aknin, M. Flexusines A and B and epimukulol from the soft coral Sarcophyton flexuosum. J. Nat. Prod. 2008, 71, 1262–1264. [Google Scholar] [CrossRef]
- Marrero, J.; Benítez, J.; Rodríguez, A.D.; Zhao, H.; Raptis, R.G. Bipinnatins K–Q, Minor cembrane-type diterpenes from the west Indian gorgonian Pseudopterogorgia kallos: Isolation, structure assignment, and evaluation of biological activities. J. Nat. Prod. 2008, 71, 381–389. [Google Scholar] [CrossRef]
- Shi, Y.-P.; Rodríguez, A.D.; Barnes, C.L.; Sánchez, J.A.; Raptis, R.G.; Baran, P. New terpenoid constituents from Eunicea pinta. J. Nat. Prod. 2002, 65, 1232–1241. [Google Scholar] [CrossRef]
- Rashid, M.A.; Gustafson, K.R.; Boyd, M.R. HIV-Inhibitory cembrane derivatives from a Philippines collection of the soft coral Lobophytum species. J. Nat. Prod. 2000, 63, 531–533. [Google Scholar] [CrossRef]
- König, G.M.; Wright, A.D. New cembranoid diterpenes from the soft coral Sarcophyton ehrenbergi. J. Nat. Prod. 1998, 61, 494–496. [Google Scholar] [CrossRef]
- Wright, A.D.; Nielson, J.L.; Tapiolas, D.M.; Liptrot, C.H.; Motti, C.A. A great barrier reef Sinularia sp. yields two new cytotoxic diterpenes. Mar. Drugs 2012, 10, 1619–1630. [Google Scholar] [CrossRef]
- Yang, B.; Zhou, X.; Huang, H.; Yang, X.-W.; Liu, J.; Lin, X.; Li, X.; Peng, Y.; Liu, Y. New cembrane diterpenoids from a Hainan soft coral Sinularia sp. Mar. Drugs 2012, 10, 2023–2032. [Google Scholar] [CrossRef]
- Chao, C.-H.; Chou, K.-J.; Huang, C.-Y.; Wen, Z.-H.; Hsu, C.-H.; Wu, Y.-C.; Dai, C.-F.; Sheu, J.-H. Bioactive cembranoids from the soft coral Sinularia crassa. Mar. Drugs 2011, 9, 1955–1968. [Google Scholar] [CrossRef]
- Shih, H.-J.; Tseng, Y.-J.; Huang, C.-Y.; Wen, Z.-H.; Dai, C-F.; Sheu, J.-H. Cytotoxic and anti-inflammatory diterpenoids from the Dongsha Atoll soft coral Sinularia flexibilis. Tetrahedron 2012, 68, 244–249. [Google Scholar] [CrossRef]
- Su, J.-H.; Lin, Y.-F.; Lu, Y.; Yeh, H.-C.; Wang, W.-H.; Fan, T.-Y.; Sheu, J.-H. Oxygenated cembranoids from the cultured and wild-type soft corals Sinularia flexibilis. Chem. Pharm. Bull. 2009, 57, 1189–1192. [Google Scholar] [CrossRef]
- Su, J.-H.; Ahmed, A.F.; Sung, P.-J.; Chao, C.-H.; Kuo, Y.-H.; Sheu, J.-H. Manaarenolides A–I, new diterpenoids from the soft coral Sinularia manaarensis. J. Nat. Prod. 2006, 69, 1134–1139. [Google Scholar] [CrossRef]
- Lu, Y.; Huang, C.-Y.; Lin, Y.-F.; Wen, Z.-H.; Su, J.-H.; Kuo, Y.-H.; Chiang, M.Y.; Sheu, J.-H. Anti-inflammatory cembranoids from the soft corals Sinularia querciformis and Sinularia granosa. J. Nat. Prod. 2008, 71, 1754–1759. [Google Scholar] [CrossRef]
- Ahmed, A.F.; Tai, S.-H.; Wen, Z.-H.; Su, J.-H.; Wu, Y.-C.; Hu, W.-P.; Sheu, J.-H. A C-3 methylated isocembranoid and 10-oxocembranoids from a Formosan soft coral Sinularia grandilobata. J. Nat. Prod. 2008, 71, 946–951. [Google Scholar]
- Chen, B.-W.; Chao, C.-H.; Su, J.-H.; Huang, C.-Y.; Dai, C.-F.; Wen, Z.-H.; Sheu, J.-H. A novel symmetric sulfur-containing biscembranoid from the Formosan soft coral Sinularia flexibilis. Tetrahedron Lett. 2010, 44, 5764–5766. [Google Scholar]
- Su, J.-H.; Wen, Z.-H. Bioactive cembrane-based diterpenoids from the soft coral Sinularia triangular. Mar. Drugs 2011, 9, 944–951. [Google Scholar] [CrossRef]
- Cheng, S.-Y.; Wen, Z.-H.; Wang, S.-K.; Chiou, S.-F.; Hsu, C.-H.; Dai, C.-F.; Chiang, M.Y.; Duh, C.-Y. Unprecedented hemiketal cembranolides with anti-inflammatory activity from the soft coral Lobophytum durum. J. Nat. Prod. 2009, 72, 152–155. [Google Scholar] [CrossRef]
- Chao, C.-H.; Wen, Z.-H.; Wu, Y.-C.; Yeh, H.-C.; Sheu, J.-H. Cytotoxic and anti-inflammatory cembranoids from the soft coral Lobophytum crassum. J. Nat. Prod. 2008, 71, 1819–1824. [Google Scholar] [CrossRef]
- Wang, S.-K.; Duh, C.-Y. New Cytotoxic cembranolides from the soft coral Lobophytum michaelae. Mar. Drugs 2012, 10, 306–318. [Google Scholar] [CrossRef]
- Lin, S.-T.; Wang, S.-K.; Duh, C.-Y. Cembranoids from the Dongsha Atoll soft coral Lobophytum crassum. Mar. Drugs 2011, 9, 2705–2716. [Google Scholar] [CrossRef]
- Wang, S.-K.; Hsieh, M.-K.; Duh, C.-Y. Three new cembranoids from the Taiwanese soft coral Sarcophyton ehrenbergi. Mar. Drugs 2012, 10, 1433–1444. [Google Scholar] [CrossRef]
- Huang, H.-C.; Ahmed, A.F.; Su, J.-H.; Wu, Y.-C.; Chiang, M.Y.; Sheu, J.-H. Crassocolides A–F, new cembranoids with a trans-fused lactone from the soft coral Sarcophyton crassocaule. J. Nat. Prod. 2006, 69, 1554–1559. [Google Scholar] [CrossRef]
- Huang, H.-C.; Chao, C.-H.; Kuo, Y.-H.; Sheu, J.-H. Crassocolides G–M, cembranoids from a Formosan soft coral Sarcophyton crassocaule. Chem. Biodiv. 2009, 6, 1232–1242. [Google Scholar] [CrossRef]
- Cheng, Y.-B.; Shen, Y.-C.; Kuo, Y.-H.; Khalil, A.T. Cembrane diterpenoids from the Taiwanese soft coral Sarcophyton stolidotum. J. Nat. Prod. 2008, 71, 1141–1145. [Google Scholar] [CrossRef]
- Cheng, S.-Y.; Wang, S.-K.; Chiou, S.-F.; Hsu, C.-H.; Dai, C.-F.; Chiang, M.Y.; Duh, C.-Y. Cembranoids from the octocoral Sarcophyton ehrenbergi. J. Nat. Prod. 2010, 73, 197–203. [Google Scholar] [CrossRef]
- Su, J.-H.; Lu, Y.; Lin, W.-Y.; Wang, W.-H.; Sung, P.-J.; Sheu, J.-H. A cembranoid, trocheliophorol, from the cultured soft coral Sarcophyton trocheliophorum. Chem. Lett. 2010, 39, 172–173. [Google Scholar] [CrossRef]
- Wang, G.-H.; Huang, H.-C.; Su, J.-H.; Huang, C.-Y.; Hsu, C.-H.; Kuo, Y.-H.; Sheu, J.-H. Crassocolides N–P, three cembranoids from the Formosan soft coral Sarcophyton crassocaule Bioorg. Med. Chem. Lett. 2011, 21, 7201–7204. [Google Scholar]
- Sheu, J.-H.; Wang, G.-H.; Duh, C.-Y.; Soong, K. Pachyclavulariolides M-R, six novel diterpenoids from a Taiwanese soft coral Pachyclavularia violacea. J. Nat. Prod. 2003, 66, 662–666. [Google Scholar] [CrossRef]
- Lin, W.-Y.; Su, J.-H.; Lu, Y.; Wen, Z.-H.; Dai, C.-F.; Kuo, Y.-H.; Sheu, J.-H. Cytotoxic and anti-inflammatory cembranoids from the Dongsha Atoll soft coral Sarcophyton crassocaule. Bioorg. Med. Chem. 2010, 18, 1936–1941. [Google Scholar] [CrossRef]
- Lin, W.-Y.; Lu, Y.; Su, J.-H.; Wen, Z.-H.; Dai, C.-F.; Kuo, Y.-H.; Sheu, J.-H. Bioactive cembranoids from the Dongsha Atoll soft coral Sarcophyton crassocaule. Mar. Drugs 2011, 9, 994–1006. [Google Scholar] [CrossRef]
- Lin, W.-Y.; Lu, Y.; Chen, B.-W.; Huang, C.-Y.; Su, J.-H.; Wen, Z.-H.; Dai, C.-F.; Kuo, Y.-H.; Sheu, J.-H. Sarcocrassocolides M–O, bioactive cembranoids from the Dongsha Atoll soft coral Sarcophyton crassocaule. Mar. Drugs 2012, 10, 617–626. [Google Scholar] [CrossRef]
- Scudiero, D.A.; Shoemaker, R.H.; Paull, K.D.; Monks, A.; Tierney, S.; Nofziger, T.H.; Currens, M.J.; Seniff, D.; Boyd, M.R. Evaluation of a soluble tetrazolium/formazan assay for cell growth and drug sensitivity in culture using human and other tumor cell lines. Cancer Res. 1988, 48, 4827–4833. [Google Scholar]
- Wen, Z.-H.; Chao, C.-H.; Wu, M.-H.; Sheu, J.-H. A neuroprotective sulfone of marine origin and the in vivo anti-inflammatory activity of an analogue. Eur. J. Med. Chem. 2010, 45, 5998–6004. [Google Scholar] [CrossRef]
© 2014 by the authors; licensee MDPI, Basel, Switzerland. This article is an open access article distributed under the terms and conditions of the Creative Commons Attribution license (http://creativecommons.org/licenses/by/3.0/).