Predictive Value of the CA-125 Elimination Rate Constant K (KELIM) in Predicting Progression-Free Survival and Overall Survival in Epithelial Ovarian Cancer
Abstract
1. Introduction
2. Materials and Methods
2.1. Study Design and Participants
2.2. Follow-Up
2.3. Clinical Data Collection
2.4. Calculation of the KELIM Score
2.5. Statistical Anaylses
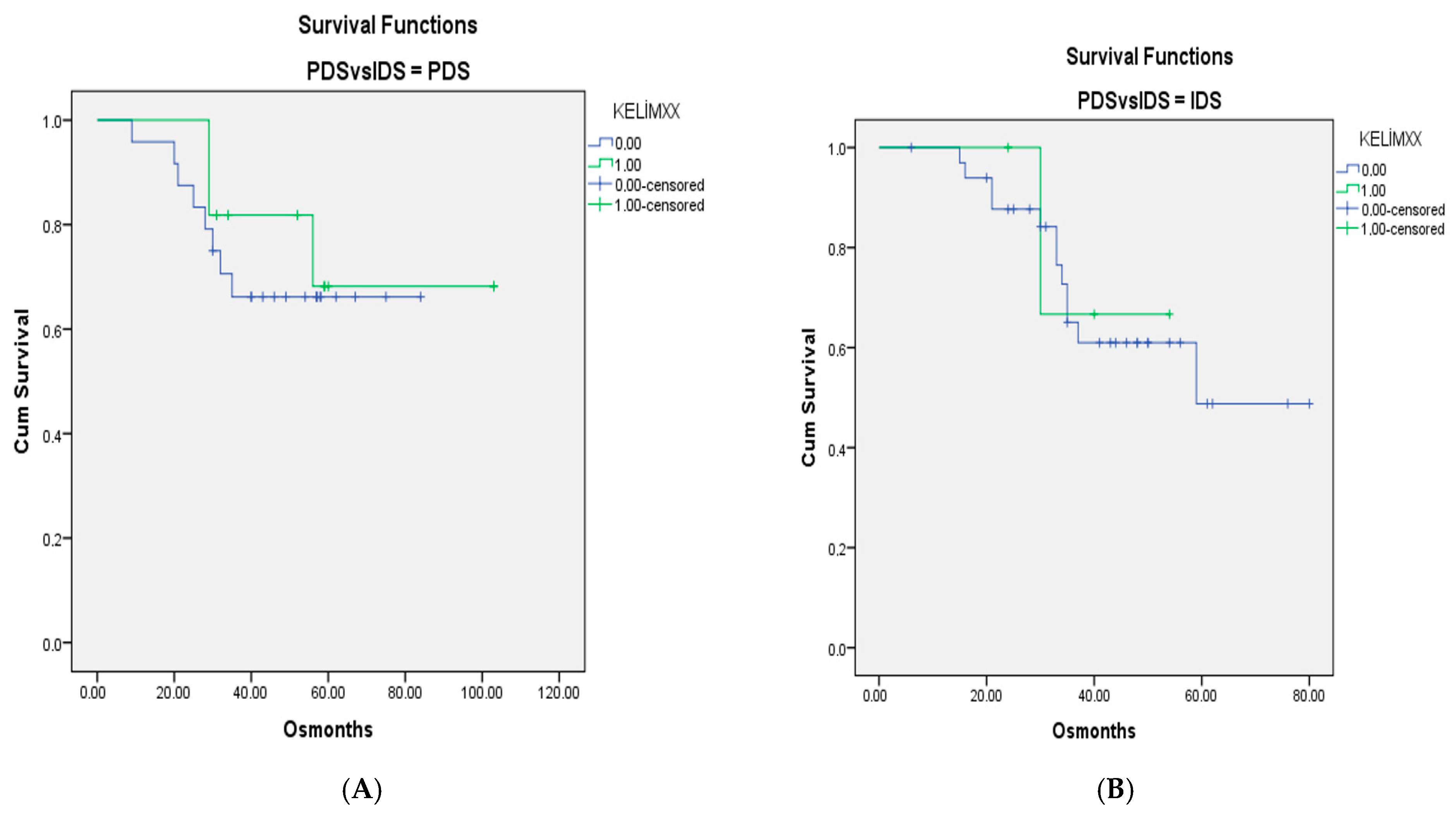
3. Results
4. Discussion
5. Conclusions
Author Contributions
Funding
Institutional Review Board Statement
Informed Consent Statement
Data Availability Statement
Acknowledgments
Conflicts of Interest
References
- Siegel, R.L.; Miller, K.D.; Wagle, N.S.; Jemal, A. Cancer statistics, 2023. CA Cancer J. Clin. 2023, 73, 17–48. [Google Scholar]
- Torre, L.A.; Trabert, B.; DeSantis, C.E.; Miller, K.D.; Samimi, G.; Runowicz, C.D.; Gaudet, M.M.; Jemal, A.; Siegel, R.L. Ovarian cancer statistics, 2018. CA Cancer J. Clin. 2018, 68, 284–296. [Google Scholar]
- You, B.; Van Wagensveld, L.; Tod, M.; Sonke, G.; Kruitwagen, R.; Du Bois, A.; Selle, F.; Perren, T.; Pfisterer, J.; Joly, F.; et al. 815MO The impact of chemosensitivity assessed by modeled CA-125 KELIM on the likelihood of long progression-free survivorship (PS) after 1st line treatment in ovarian cancer: An analysis of 4,450 patients. Ann. Oncol. 2020, 31, S616. [Google Scholar]
- Colombo, N.; Sessa, C.; du Bois, A.; Ledermann, J.; McCluggage, W.G.; McNeish, I.; Morice, P.; Pignata, S.; Ray-Coquard, I.; Vergote, I.; et al. ESMO–ESGO consensus conference recommendations on ovarian cancer: Pathology and molecular biology, early and advanced stages, borderline tumours and recurrent disease. Int. J. Gynecol. Cancer 2019, 29, 728–760. [Google Scholar]
- You, B.; Freyer, G.; Gonzalez-Martin, A.; Lheureux, S.; McNeish, I.; Penson, R.T.; Pignata, S.; Pujade-Lauraine, E. The role of the tumor primary chemosensitivity relative to the success of the medical-surgical management in patients with advanced ovarian carcinomas. Cancer Treat. Rev. 2021, 100, 102294. [Google Scholar]
- Reid, B.M.; Permuth, J.B.; Sellers, T.A. Epidemiology of ovarian cancer: A review. Cancer Biol. Med. 2017, 14, 9–32. [Google Scholar]
- Rutten, M.J.; Van De Vrie, R.; Bruining, A.; Spijkerboer, A.M.; Mol, B.W.; Kenter, G.G.; Buist, M.R. Predicting surgical outcome in patients with International Federation of Gynecology and Obstetrics stage III or IV ovarian cancer using computed tomography: A systematic review of prediction models. Int. J. Gynecol. Cancer 2015, 25, 407–415. [Google Scholar]
- Rodriguez, N.; Rauh-Hain, J.A.; Shoni, M.; Berkowitz, R.S.; Muto, M.G.; Feltmate, C.; Schorge, J.O.; del Carmen, M.G.; Matulonis, U.A.; Horowitz, N.S. Changes in serum CA-125 can predict optimal cytoreduction to no gross residual disease in patients with advanced stage ovarian cancer treated with neoadjuvant chemotherapy. Gynecol. Oncol. 2012, 125, 362–366. [Google Scholar]
- Lee, Y.J.; Lee, I.H.; Kim, Y.-J.; Chung, Y.S.; Lee, J.-Y.; Nam, E.J.; Kim, S.; Kim, S.W.; Kim, Y.T. Evaluation of various kinetic parameters of CA-125 in patients with advanced-stage ovarian cancer undergoing neoadjuvant chemotherapy. PLoS ONE 2018, 13, e0203366. [Google Scholar]
- You, B.; Colomban, O.; Heywood, M.; Lee, C.; Davy, M.; Reed, N.; Pignata, S.; Varsellona, N.; Emons, G.; Rehman, K.; et al. The strong prognostic value of KELIM, a model-based parameter from CA 125 kinetics in ovarian cancer: Data from CALYPSO trial (a GINECO-GCIG study). Gynecol. Oncol. 2013, 130, 289–294. [Google Scholar]
- Rustin, G.J.S.; Quinn, M.; Thigpen, T.; Du Bois, A.; Pujade-Lauraine, E.; Jakobsen, A.; Eisenhauer, E.; Sagae, S.; Greven, K.; Vergote, I.; et al. Re: New guidelines to evaluate the response to treatment in solid tumors (ovarian cancer). J. Natl. Cancer Inst. 2004, 96, 487–488. [Google Scholar]
- Lee, C.K.; Friedlander, M.; Brown, C.; Gebski, V.J.; Georgoulopoulos, A.; Vergote, I.; Pignata, S.; Donadello, N.; Schmalfeldt, B.; Delva, R.; et al. Early decline in cancer antigen 125 as a surrogate for progression-free survival in recurrent ovarian cancer. J. Natl. Cancer Inst. 2011, 103, 1338–1342. [Google Scholar]
- Morgan, R.D.; McNeish, I.A.; Cook, A.D.; James, E.C.; Lord, R.; Dark, G.; Glasspool, R.M.; Krell, J.; Parkinson, C.; Poole, C.J.; et al. Objective responses to first-line neoadjuvant carboplatin–paclitaxel regimens for ovarian, fallopian tube, or primary peritoneal carcinoma (ICON8): Post-hoc exploratory analysis of a randomised, phase 3 trial. Lancet Oncol. 2021, 22, 277–288. [Google Scholar]
- Colomban, O.; Tod, M.; Leary, A.; Ray-Coquard, I.; Lortholary, A.; Hardy-Bessard, A.C.; Pfisterer, J.; Du Bois, A.; Kurzeder, C.; Burges, A.; et al. Early modeled longitudinal CA-125 kinetics and survival of ovarian cancer patients: A GINECO AGO MRC CTU study. Clin. Cancer Res. 2019, 25, 5342–5350. [Google Scholar]
- Corbaux, P.; You, B.; Glasspool, R.M.; Yanaihara, N.; Tinker, A.V.; Lindemann, K.; Ray-Coquard, I.L.; Mirza, M.R.; Subtil, F.; Colomban, O.; et al. Survival Prognostic and Surrogate Values of the Early Modeled Ca-125 Kelim Score in First-Line Treatment of Ovarian Cancer: Results from The Gcig Individual Patient Data Meta-Analysis. Ann. Oncol. 2022, 32, S744. [Google Scholar] [CrossRef]
- Rizzuto, I.; Stavraka, C.; Chatterjee, J.; Borley, J.; Hopkins, T.G.; Gabra, H.; Ghaem-Maghami, S.; Huson, L.; Blagden, S.P. Risk of ovarian cancer relapse score: A prognostic algorithm to predict relapse following treatment for advanced ovarian cancer. Int. J. Gynecol. Cancer 2015, 25, 416–422. [Google Scholar]
- Jørgensen, T.L.; Teiblum, S.; Paludan, M.; Poulsen, L.Ø.; Jørgensen, A.Y.S.; Bruun, K.H.; Hallas, J.; Herrstedt, J. Significance of age and comorbidity on treatment modality, treatment adherence, and prognosis in elderly ovarian cancer patients. Gynecol. Oncol. 2012, 127, 367–374. [Google Scholar]
- Hofstetter, G.; Concin, N.; Braicu, I.; Chekerov, R.; Sehouli, J.; Cadron, I.; Van Gorp, T.; Trillsch, F.; Mahner, S.; Ulmer, H.; et al. The time interval from surgery to start of chemotherapy significantly impacts prognosis in patients with advanced serous ovarian carcinoma—Analysis of patient data in the prospective OVCAD study. Gynecol. Oncol. 2013, 131, 15–20. [Google Scholar]
- Van Wagensveld, L.; Colomban, O.; van der Aa, M.A.; Freyer, G.; Sonke, G.S.; Kruitwagen, R.F.; You, B. Confirmation of the utility of the CA-125 elimination rate (KELIM) as an indicator of the chemosensitivity in advanced-stage ovarian cancer in a “real-life setting”. J. Gynecol. Oncol. 2024, 35, e34. [Google Scholar]
- Corbaux, P.; You, B.; Glasspool, R.; Yanaihara, N.; Tinker, A.; Lindemann, K.; Mirza, M.; Ray-Coquard, I.; Subtil, F.; Colomban, O.; et al. 792P Prognostic role of the modeled CA-125 KELIM in early FIGO stage I and II ovarian cancers (OC): A GCIG individual-patient data meta-analysis. Ann. Oncol. 2023, 34 (Suppl. 2), S531–S532. [Google Scholar]
- You, B.; Robelin, P.; Tod, M.; Louvet, C.; Lotz, J.-P.; Abadie-Lacourtoisie, S.; Fabbro, M.; Desauw, C.; Bonichon-Lamichhane, N.; Kurtz, J.-E.; et al. CA-125 elimination rate constant K (KELIM) is a marker of chemosensitivity in patients with ovarian cancer: Results from the phase II CHIVA trial. Clin. Cancer Res. 2020, 26, 4625–4632. [Google Scholar]
- You, B.; Clamp, A.; Cook, A.; McNeish, I.; Colomban, O. Differential Benefit from Fractionated Dose-Dense First-Line Chemotherapy for Epithelial Ovarian Cancer (EOC) According to Kelim-Evaluated Tumour Primary Chemosensitivity: Exploratory Analysis of Icon-8 Trial. J. Clin. Oncol. 2021, 39, 15. [Google Scholar] [CrossRef]
- Piedimonte, S.; Kim, R.; Bernardini, M.Q.; Atenafu, E.G.; Clark, M.; Lheureux, S.; May, T. Validation of the KELIM score as a predictor of response to neoadjuvant treatment in patients with advanced high grade serous ovarian cancer. Gynecol. Oncol. 2022, 167, 417–422. [Google Scholar]
- Liontos, M.; Papatheodoridi, A.; Kunadis, E.; Svarna, A.; Theofanakis, C.; Fiste, O.; Rouvali, A.; Goula, K.; Markellos, C.; Andrikopoulou, A.; et al. Prognostic and predictive significance of CA-125 elimination rate constant K (KELIM) in ovarian cancer patients treated with neoadjuvant chemotherapy in a real-world setting. J. Clin. Oncol. 2023, 41, e17594. [Google Scholar]
- Zouzoulas, D.; Tsolakidis, D.; Tzitzis, P.; Sofianou, I.; Chatzistamatiou, K.; Theodoulidis, V.; Topalidou, M.; Timotheadou, E.; Grimbizis, G. The Use of CA-125 KELIM to Identify Which Patients Can Achieve Complete Cytoreduction after Neoadjuvant Chemotherapy in High-Grade Serous Advanced Ovarian Cancer. Cancers 2024, 16, 1266. [Google Scholar]
- Ducoulombier, S.; Golfier, F.; Colomban, O.; Benayoun, D.; Bolze, P.-A.; Tod, M.; You, B. Modeling CA-125 during neoadjuvant chemotherapy for predicting optimal cytoreduction and relapse risk in ovarian cancer. Anticancer. Res. 2017, 37, 6879–6886. [Google Scholar][Green Version]
- Bouvarel, B.; Colomban, O.; Frenel, J.-S.; Loaec, C.; Bourgin, C.; Berton, D.; Freyer, G.; You, B.; Classe, J.-M. Clinical impact of CA-125 ELIMination rate constant K (KELIM) on surgical strategy in advanced serous ovarian cancer patients. Int. J. Gynecol. Cancer. 2024, 34, 574–580. [Google Scholar][Green Version]


| Characteristics | Median (Range) | N (%) | |
|---|---|---|---|
| Age (Years) | 57 (31–82) | ||
| Hospital Stay (Days) | 11 (8–22) | ||
| Tumor Pathology | High-grade serous | 80 (78.4%) | |
| Clear cells | 7 (6.9%) | ||
| Low-grade serous | 9 (8.8%) | ||
| Low-grade endometrioid | 1 (1.0%) | ||
| Mucinous | 5 (4.9%) | ||
| FIGO Stage | I–II | 29 (28.4%) | |
| III–IV | 73 (71.6%) | ||
| Cytoreduction Surgery Performed | Primary | 62 (61.8%) | |
| Interval | 40 (39.2%) | ||
| Residual Disease after IDS* and PDS*: | Maximal | 78 (76.5%) | |
| Optimal (<1 cm) | 19 (18.6%) | ||
| Suboptimal (≥1 cm) | 5 (4.9%) | ||
| Clavien–Dindo Classification | No | 49 (48%) | |
| Grade 1 | 14 (13.7%) | ||
| Grade 2 | 20 (19.6%) | ||
| Grade 3 | 12 (11.8%) | ||
| Grade 4 | 7 (6.9%) | ||
| Grade 5 | 0 (0%) | ||
| Need for ICU* Admission | No | 38 (37.3%) | |
| Yes | 64 (62.7%) |
| Kelim Score | ||||
|---|---|---|---|---|
| (n: 72) < 1 | (n: 30) ≥ 1 | p-Value | ||
| Recurrence n(%) | No | 23 (31.9%) | 19 (63.3%) | 0.004 |
| Yes | 30 (41.7%) | 10 (33.3%) | ||
| Refractory Disease | 19 (26.4%) | 1 (3.3%) | ||
| Cytoreduction n(%) | Maximal | 52 (72.2%) | 26 (86.7%) | 0.288 |
| Optimal (<1 cm) | 16 (22.2%) | 3 (10%) | ||
| Suboptimal (≥1 cm) | 4 (5.6%) | 1 (3.3%) | ||
| Disease Status after Primary Therapy n(%) | Complete Response | 53 (73.6%) | 29 (96.7%) | 0.066 |
| Partial Response | 16 (22.2%) | 1 (3.3%) | ||
| Stable Disease | 2 (2.8%) | 0.(0%) | ||
| PFS* (months) | 12 (0–97) | 32 (2–106) | 0.012 | |
| OS* (months) | 46 (6–97) | 53 (24–106) | 0.139 | |
| Kelim Score | ||||
|---|---|---|---|---|
| (n: 72) < 1 | (n: 30) ≥ 1 | p-Value | ||
| Recurrence n(%) | No | 18 (47.4%) | 16 (66.7%) | 0.066 |
| Yes | 13 (34.2%) | 8 (33.3%) | ||
| Refractory Disease | 7 (18.4%) | 0 (0%) | ||
| Cytoreduction n(%) | Maximal | 32 (84.1%) | 21 (87.5%) | 0.844 |
| Optimal | 3 (7.9%) | 2 (8.3%) | ||
| Suboptimal | 3 (7.9%) | 1 (4.2%) | ||
| Disease Status after Primary Therapy n(%) | Complete Response | 31 (81.6%) | 24 (100%) | 0.083 |
| Partial Response | 6 (15.8%) | 0 (0%) | ||
| Stable Disease | 1 (2.6%) | 0 (0%) | ||
| PFS* (months) | 36 (1–97) | 34 (5–103) | 0.409 | |
| OS* (months) | 50 (9–97) | 52 (24–103) | 0.691 | |
| Kelim Score | ||||
|---|---|---|---|---|
| (n: 72) < 1 | (n: 30) ≥ 1 | p-Value | ||
| Recurrence n(%) | No | 5 (14.7%) | 3 (50%) | 0.134 |
| Yes | 17 (50%) | 2 (33.3%) | ||
| Refractory Disease | 12 (35.3%) | 1 (16.7%) | ||
| Cytoreduction n(%) | Maximal | 20 (58.8%) | 5 (83.3%) | 0.511 |
| Optimal | 13 (38.2%) | 1 (16.7%) | ||
| Suboptimal | 1 (2.9%) | 0 (%) | ||
| Disease Status after Primary Therapy n(%) | Complete Response | 22 (64.7%) | 5 (83.3%) | 0.821 |
| Partial Response | 10 (29.4%) | 1 (16.7%) | ||
| Stable Disease | 2 (5.8%) | 0 (0%) | ||
| PFS* (months) | 7.5 (0–48) | 19 (2–106) | 0.373 | |
| OS* (months) | 36 (6–80) | 54 (24–106) | 0.353 | |
Disclaimer/Publisher’s Note: The statements, opinions and data contained in all publications are solely those of the individual author(s) and contributor(s) and not of MDPI and/or the editor(s). MDPI and/or the editor(s) disclaim responsibility for any injury to people or property resulting from any ideas, methods, instructions or products referred to in the content. |
© 2025 by the authors. Published by MDPI on behalf of the Lithuanian University of Health Sciences. Licensee MDPI, Basel, Switzerland. This article is an open access article distributed under the terms and conditions of the Creative Commons Attribution (CC BY) license (https://creativecommons.org/licenses/by/4.0/).
Share and Cite
Yalcin, N.; Alci, A.; Gokkaya, M.; Sari, G.E.; Toptas, T.; Ureyen, I. Predictive Value of the CA-125 Elimination Rate Constant K (KELIM) in Predicting Progression-Free Survival and Overall Survival in Epithelial Ovarian Cancer. Medicina 2025, 61, 1250. https://doi.org/10.3390/medicina61071250
Yalcin N, Alci A, Gokkaya M, Sari GE, Toptas T, Ureyen I. Predictive Value of the CA-125 Elimination Rate Constant K (KELIM) in Predicting Progression-Free Survival and Overall Survival in Epithelial Ovarian Cancer. Medicina. 2025; 61(7):1250. https://doi.org/10.3390/medicina61071250
Chicago/Turabian StyleYalcin, Necim, Aysun Alci, Mustafa Gokkaya, Gulsum Ekin Sari, Tayfun Toptas, and Isin Ureyen. 2025. "Predictive Value of the CA-125 Elimination Rate Constant K (KELIM) in Predicting Progression-Free Survival and Overall Survival in Epithelial Ovarian Cancer" Medicina 61, no. 7: 1250. https://doi.org/10.3390/medicina61071250
APA StyleYalcin, N., Alci, A., Gokkaya, M., Sari, G. E., Toptas, T., & Ureyen, I. (2025). Predictive Value of the CA-125 Elimination Rate Constant K (KELIM) in Predicting Progression-Free Survival and Overall Survival in Epithelial Ovarian Cancer. Medicina, 61(7), 1250. https://doi.org/10.3390/medicina61071250

