The Relationship Between Thrombophilia and Modifications in First-Trimester Prenatal Screening Markers
Abstract
1. Introduction
2. Materials and Methods
2.1. Study Design
2.2. Study Population
2.3. Assessment of Thrombophilic Mutations
2.4. First-Trimester Screening
2.5. Data Collection
2.6. Statistical Analysis
3. Results
3.1. Demographic Description
3.2. Risk Factors
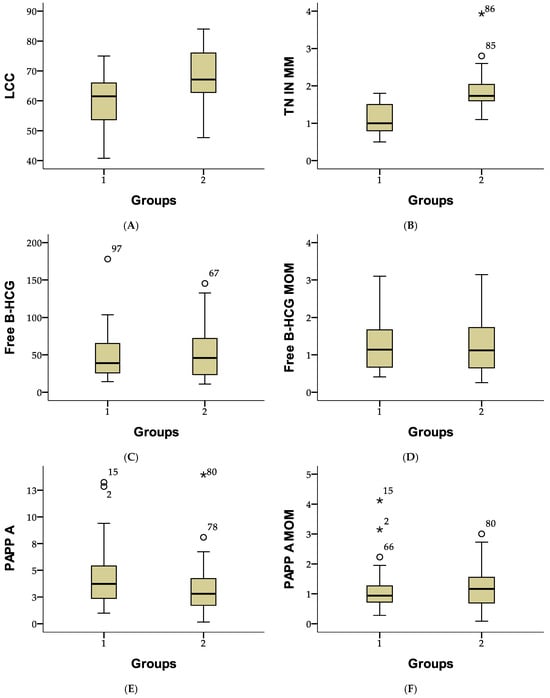
3.3. Ultrasound Parameters
3.4. Correlation
3.5. Relative Risk
3.6. Multivariate Linear Regression
4. Discussion
5. Conclusions
Author Contributions
Funding
Institutional Review Board Statement
Informed Consent Statement
Data Availability Statement
Acknowledgments
Conflicts of Interest
References
- Van Handel, B.; Prashad, S.L.; Hassanzadeh-Kiabi, N.; Huang, A.; Magnusson, M.; Atanassova, B.; Chen, A.; Hamalainen, E.I.; Mikkola, H.K. The first trimester human placenta is a site for terminal maturation of primitive erythroid cells. Blood 2010, 116, 3321–3330. [Google Scholar] [CrossRef] [PubMed]
- Norton, M.E. First-trimester screening for chromosomal abnormalities: Advantages of an instant results approach. Clin. Lab. Med. 2010, 30, 565–571. [Google Scholar] [CrossRef]
- Cicero, S.; Bindra, R.; Rembouskos, G.; Spencer, K.; Nicolaides, K.H. Integrated ultrasound and biochemical screening for trisomy 21 using fetal nuchal translucency, absent fetal nasal bone, free beta-hCG and PAPP-A at 11 to 14 weeks. Prenat. Diagn. 2003, 23, 306–310. [Google Scholar] [CrossRef]
- Romero Infante, X.C.; Uriel, M.; Gutiérrez, A.; Hernández, M.F.; Hernández, A.F.; Jiménez, L.C.; Malagón-Rojas, J.N.; Rincón Franco, S. Behavior of the Genetic Markers at Screening during the First Trimester of Pregnancy in Euploid Fetuses. Rev. Bras. Ginecol. Obs. 2022, 44, 646–653. [Google Scholar] [CrossRef]
- Poon, L.C.; Nicolaides, K.H. Early prediction of preeclampsia. Obstet. Gynecol. Int. 2014, 2014, 297397. [Google Scholar] [CrossRef] [PubMed]
- Basil, B.; Mba, I.N.; Myke-Mbata, B.K.; Adebisi, S.A.; Oghagbon, E.K. A first trimester prediction model and nomogram for gestational diabetes mellitus based on maternal clinical risk factors in a resource-poor setting. BMC Pregnancy Childbirth 2024, 24, 346. [Google Scholar] [CrossRef] [PubMed]
- Khan, S.; Dickerman, J.D. Hereditary thrombophilia. Thromb. J. 2006, 4, 15. [Google Scholar] [CrossRef] [PubMed][Green Version]
- Stevens, S.M.; Woller, S.C.; Bauer, K.A.; Kasthuri, R.; Cushman, M.; Streiff, M.; Lim, W.; Douketis, J.D. Guidance for the evaluation and treatment of hereditary and acquired thrombophilia. J. Thromb. Thrombolysis 2016, 41, 154–164. [Google Scholar] [CrossRef] [PubMed]
- Padda, J.; Khalid, K.; Mohan, A.; Pokhriyal, S.; Batra, N.; Hitawala, G.; Cooper, A.C.; Jean-Charles, G. Factor V Leiden G1691A and Prothrombin Gene G20210A Mutations on Pregnancy Outcome. Cureus 2021, 13, e17185. [Google Scholar] [CrossRef]
- Pereira, R.D.; De Long, N.E.; Wang, R.C.; Yazdi, F.T.; Holloway, A.C.; Raha, S. Angiogenesis in the placenta: The role of reactive oxygen species signaling. Biomed. Res. Int. 2015, 2015, 814543. [Google Scholar] [CrossRef] [PubMed]
- Davenport, W.B.; Kutteh, W.H. Inherited thrombophilias and adverse pregnancy outcomes: A review of screening patterns and recommendations. Obstet. Gynecol. Clin. N. Am. 2014, 41, 133–144. [Google Scholar] [CrossRef] [PubMed]
- Cristodoro, M.; Messa, M.; Tossetta, G.; Marzioni, D.; Dell’Avanzo, M.; Inversetti, A.; Di Simone, N. First Trimester Placental Biomarkers for Pregnancy Outcomes. Int. J. Mol. Sci. 2024, 25, 6136. [Google Scholar] [CrossRef] [PubMed]
- Papamichail, M.; Fasoulakis, Z.; Daskalakis, G.; Theodora, M.; Rodolakis, A.; Antsaklis, P. Importance of Low Pregnancy Associated Plasma Protein-A (PAPP-A) Levels During the First Trimester as a Predicting Factor for Adverse Pregnancy Outcomes: A Prospective Cohort Study of 2636 Pregnant Women. Cureus 2022, 14, e31256. [Google Scholar] [CrossRef] [PubMed]
- Turner, J.M.; Kumar, S. Low First Trimester Pregnancy-Associated Plasma Protein-A Levels Are Not Associated with an Increased Risk of Intrapartum Fetal Compromise or Adverse Neonatal Outcomes: A Retrospective Cohort Study. J. Clin. Med. 2020, 9, 1108. [Google Scholar] [CrossRef] [PubMed]
- Iordache, O.; Anastasiu-Popov, D.M.; Anastasiu, D.M.; Craina, M.; Dahma, G.; Sacarin, G.; Silaghi, C.; Citu, C.; Daniluc, R.; Hinoveanu, D.; et al. A Retrospective Assessment of Thrombophilia in Pregnant Women with First and Second Trimester Pregnancy Loss. Int. J. Environ. Res. Public Health 2022, 19, 16500. [Google Scholar] [CrossRef] [PubMed]
- Conner, S.N.; Longman, R.E.; Cahill, A.G. The role of ultrasound in the diagnosis of fetal genetic syndromes. Best. Pract. Res. Clin. Obstet. Gynaecol. 2014, 28, 417–428. [Google Scholar] [CrossRef]
- Kirovakov, Z.; Hinkova, N.; Konova, E. The impact of inherited thrombophilia on first trimester combined aneuploidy screening parameters. Acta Medica Bulg. 2024, 51, 22–27. [Google Scholar] [CrossRef]
- Ormesher, L.; Simcox, L.E.; Tower, C.; Greer, I.A. ‘To test or not to test’, the arguments for and against thrombophilia testing in obstetrics. Obstet. Med. 2017, 10, 61–66. [Google Scholar] [CrossRef]
- Rodger, M.A.; Walker, M.C.; Smith, G.N.; Wells, P.S.; Ramsay, T.; Langlois, N.J.; Carson, N.; Carrier, M.; Rennicks White, R.; Shachkina, S.; et al. Is thrombophilia associated with placenta-mediated pregnancy complications? A prospective cohort study. J. Thromb. Haemost. 2014, 12, 469–478. [Google Scholar] [CrossRef]
- Samfireag, M.; Potre, C.; Potre, O.; Tudor, R.; Hoinoiu, T.; Anghel, A. Approach to Thrombophilia in Pregnancy-A Narrative Review. Medicina 2022, 58, 692. [Google Scholar] [CrossRef]
- Simcox, L.E.; Ormesher, L.; Tower, C.; Greer, I.A. Thrombophilia and Pregnancy Complications. Int. J. Mol. Sci. 2015, 16, 28418–28428. [Google Scholar] [CrossRef] [PubMed]
- Nicolaides, K.H. First-trimester screening for chromosomal abnormalities. In Proceedings of the Seminars in Perinatology; WB Saunders: Philadelphia, PA, USA, 2005; pp. 190–194. [Google Scholar]
- Falcon, O.; Auer, M.; Gerovassili, A.; Spencer, K.; Nicolaides, K. Screening for trisomy 21 by fetal tricuspid regurgitation, nuchal translucency and maternal serum free β-hCG and PAPP-A at 11+ 0 to 13+ 6 weeks. Ultrasound Obstet. Gynecol. Off. J. Int. Soc. Ultrasound Obstet. Gynecol. 2006, 27, 151–155. [Google Scholar] [CrossRef] [PubMed]
- Sapantzoglou, I.; Giourga, M.; Kontopoulou, A.M.; Pergialiotis, V.; Daskalaki, M.A.; Antsaklis, P.; Theodora, M.; Thomakos, N.; Daskalakis, G. Low PAPPA and Its Association with Adverse Pregnancy Outcomes in Twin Pregnancies: A Systematic Review of the Literature and Meta-Analysis. J. Clin. Med. 2024, 13, 6637. [Google Scholar] [CrossRef] [PubMed]
- Lu, Y.T.; Chen, C.P.; Sun, F.J.; Chen, Y.Y.; Wang, L.K.; Chen, C.Y. Associations between first-trimester screening biomarkers and maternal characteristics with gestational diabetes mellitus in Chinese women. Front. Endocrinol. 2024, 15, 1383706. [Google Scholar] [CrossRef] [PubMed]
- Martinelli, I.; Taioli, E.; Cetin, I.; Marinoni, A.; Gerosa, S.; Villa, M.V.; Bozzo, M.; Mannucci, P.M. Mutations in coagulation factors in women with unexplained late fetal loss. N. Engl. J. Med. 2000, 343, 1015–1018. [Google Scholar] [CrossRef] [PubMed]
- Spencer, K. The influence of smoking on maternal serum PAPP-A and free beta hCG levels in the first trimester of pregnancy. Prenat. Diagn. 1999, 19, 1065–1066. [Google Scholar] [CrossRef]
- Ekelund, C.; Wright, D.; Ball, S.; Kirkegaard, I.; Nørgaard, P.; Sørensen, S.; Friis-Hansen, L.; Jørgensen, F.S.; Tørring, N.; Bech, B.H. Prospective study evaluating performance of first-trimester combined screening for trisomy 21 using repeat sampling of maternal serum markers PAPP-A and free β-hCG. Ultrasound Obstet. Gynecol. 2012, 40, 276–281. [Google Scholar] [CrossRef] [PubMed]
- Sharifzadeh, M.; Adibi, A.; Kazemi, K.; Hovsepian, S. Normal reference range of fetal nuchal translucency thickness in pregnant women in the first trimester, one center study. J. Res. Med. Sci. 2015, 20, 969–973. [Google Scholar] [CrossRef]
- Rey, E.; Kahn, S.R.; David, M.; Shrier, I. Thrombophilic disorders and fetal loss: A meta-analysis. Lancet 2003, 361, 901–908. [Google Scholar] [CrossRef] [PubMed]
- Kupferminc, M.J.; Eldor, A.; Steinman, N.; Many, A.; Bar-Am, A.; Jaffa, A.; Fait, G.; Lessing, J.B. Increased frequency of genetic thrombophilia in women with complications of pregnancy. N. Engl. J. Med. 1999, 340, 9–13. [Google Scholar] [CrossRef]




| Parameters | Groups | Total | ||||
|---|---|---|---|---|---|---|
| I | II | |||||
| Mean | SD | Mean | SD | Mean | SD | |
| Age | 29.84 | 3.97 | 34.00 | 3.87 | 32.30 | 4.40 |
| Maternal weight | 68.74 | 13.62 | 66.98 | 12.49 | 67.70 | 12.93 |
| Height | 163.79 | 5.03 | 166.19 | 6.36 | 165.21 | 5.94 |
| BMI | 25.60 | 4.91 | 24.20 | 3.92 | 24.77 | 4.39 |
| Weeks pregnant | 11.95 | 0.65 | 12.52 | 0.74 | 12.29 | 0.76 |
| Days of pregnancy accuracy | 3.35 | 2.06 | 3.37 | 2.13 | 3.36 | 2.09 |
| Parity | 0.98 | 1.26 | 0.74 | 0.85 | 0.84 | 1.04 |
| Pearson Correlation | Age | Maternal Weight | Height | BMI | Weeks Pregnant | Days of Pregnancy | |
|---|---|---|---|---|---|---|---|
| LCC | r | 0.240 * | −0.021 | 0.046 | −0.047 | 0.867 ** | 0.104 |
| p | 0.014 | 0.834 | 0.641 | 0.632 | 0.000 | 0.291 | |
| TN IN MM | r | 0.210 * | 0.042 | 0.193 * | −0.042 | 0.471 ** | 0.036 |
| p | 0.031 | 0.671 | 0.049 | 0.673 | 0.000 | 0.719 | |
| Free B HCG | r | 0.034 | −0.264 ** | 0.099 | −0.329 ** | −0.216 * | −0.020 |
| p | 0.729 | 0.007 | 0.313 | 0.001 | 0.027 | 0.840 | |
| Free B HCG MOM | r | 0.050 | −0.093 | 0.166 | −0.176 | −0.075 | −0.044 |
| p | 0.612 | 0.344 | 0.090 | 0.073 | 0.450 | 0.655 | |
| PAPP A | r | 0.059 | −0.249 * | −0.047 | −0.247 * | 0.167 | 0.130 |
| p | 0.550 | 0.010 | 0.635 | 0.011 | 0.090 | 0.186 | |
| PAPP A MOM | r | 0.209 * | −0.048 | 0.111 | −0.096 | 0.081 | 0.003 |
| p | 0.032 | 0.630 | 0.261 | 0.329 | 0.411 | 0.977 | |
| N | 105 | ||||||
| Pearson Correlation | LCC | TN IN MM | Free B HCG | Free B HCG MoM | PAPP A | PAPP A MoM | |
|---|---|---|---|---|---|---|---|
| LCC | r | 1 | 0.551 ** | −0.182 | −0.034 | 0.232 * | 0.115 |
| p | - | 0.000 | 0.064 | 0.728 | 0.017 | 0.243 | |
| TN IN MM | r | 0.551 ** | 1 | −0.238 * | −0.255 ** | −0.036 | 0.058 |
| p | 0.000 | - | 0.014 | 0.009 | 0.716 | 0.556 | |
| Free B HCG | r | −0.182 | −0.238 * | 1 | 0.902 ** | 0.161 | 0.231 * |
| p | 0.064 | 0.014 | - | 0.000 | 0.101 | 0.018 | |
| Free B HCG MoM | r | −0.034 | −0.255 ** | 0.902 ** | 1 | 0.259 ** | 0.298 ** |
| p | 0.728 | 0.009 | 0.000 | - | 0.008 | 0.002 | |
| PAPP A | r | 0.232 * | −0.036 | 0.161 | 0.259 ** | 1 | 0.789 ** |
| p | 0.017 | 0.716 | 0.101 | 0.008 | - | 0.000 | |
| PAPP A MoM | r | 0.115 | 0.058 | 0.231 * | 0.298 ** | 0.789 ** | 1 |
| p | 0.243 | 0.556 | 0.018 | 0.002 | 0.000 | - | |
| N | 105 | 105 | 105 | 105 | 105 | 105 | |
| Predictor | Effect on PAPP-A | Significance | Effect on NT | Significance | Predictor |
|---|---|---|---|---|---|
| Smoking | Negative | No | Negative | No | Smoking |
| Chronic Hypertension | Positive | No | Positive | No | Chronic Hypertension |
| Pregnancy-Induced Hypertension | Minimal | No | Minimal | No | Pregnancy-Induced Hypertension |
| Parity | Negative | Yes (p = 0.026) | Negative | Borderline (p = 0.079) | Parity |
Disclaimer/Publisher’s Note: The statements, opinions and data contained in all publications are solely those of the individual author(s) and contributor(s) and not of MDPI and/or the editor(s). MDPI and/or the editor(s) disclaim responsibility for any injury to people or property resulting from any ideas, methods, instructions or products referred to in the content. |
© 2025 by the authors. Published by MDPI on behalf of the Lithuanian University of Health Sciences. Licensee MDPI, Basel, Switzerland. This article is an open access article distributed under the terms and conditions of the Creative Commons Attribution (CC BY) license (https://creativecommons.org/licenses/by/4.0/).
Share and Cite
Murvai, V.R.; Radu, C.-M.; Galiș, R.; Ghitea, T.C.; Tătaru-Copos, A.-F.; Vesa, A.-A.; Huniadi, A. The Relationship Between Thrombophilia and Modifications in First-Trimester Prenatal Screening Markers. Medicina 2025, 61, 318. https://doi.org/10.3390/medicina61020318
Murvai VR, Radu C-M, Galiș R, Ghitea TC, Tătaru-Copos A-F, Vesa A-A, Huniadi A. The Relationship Between Thrombophilia and Modifications in First-Trimester Prenatal Screening Markers. Medicina. 2025; 61(2):318. https://doi.org/10.3390/medicina61020318
Chicago/Turabian StyleMurvai, Viorela Romina, Casandra-Maria Radu, Radu Galiș, Timea Claudia Ghitea, Anca-Florina Tătaru-Copos, Alexandra-Alina Vesa, and Anca Huniadi. 2025. "The Relationship Between Thrombophilia and Modifications in First-Trimester Prenatal Screening Markers" Medicina 61, no. 2: 318. https://doi.org/10.3390/medicina61020318
APA StyleMurvai, V. R., Radu, C.-M., Galiș, R., Ghitea, T. C., Tătaru-Copos, A.-F., Vesa, A.-A., & Huniadi, A. (2025). The Relationship Between Thrombophilia and Modifications in First-Trimester Prenatal Screening Markers. Medicina, 61(2), 318. https://doi.org/10.3390/medicina61020318

