Design, Synthesis, and Biological Evaluation of N-Acyl-Hydrazone-Linked Quinazolinone Derivatives with Antioxidant, Antimicrobial, and Anticancer Potential
Abstract
1. Introduction
2. Results
2.1. Chemistry and Spectral Data
2.2. Prediction of Physicochemical Properties and ADMET Profile
2.3. Total Antioxidant Capacity (TAC)
2.4. Antimicrobial Evaluation
2.5. Cytotoxicity Evaluation Against Normal and Cancer Cell Lines
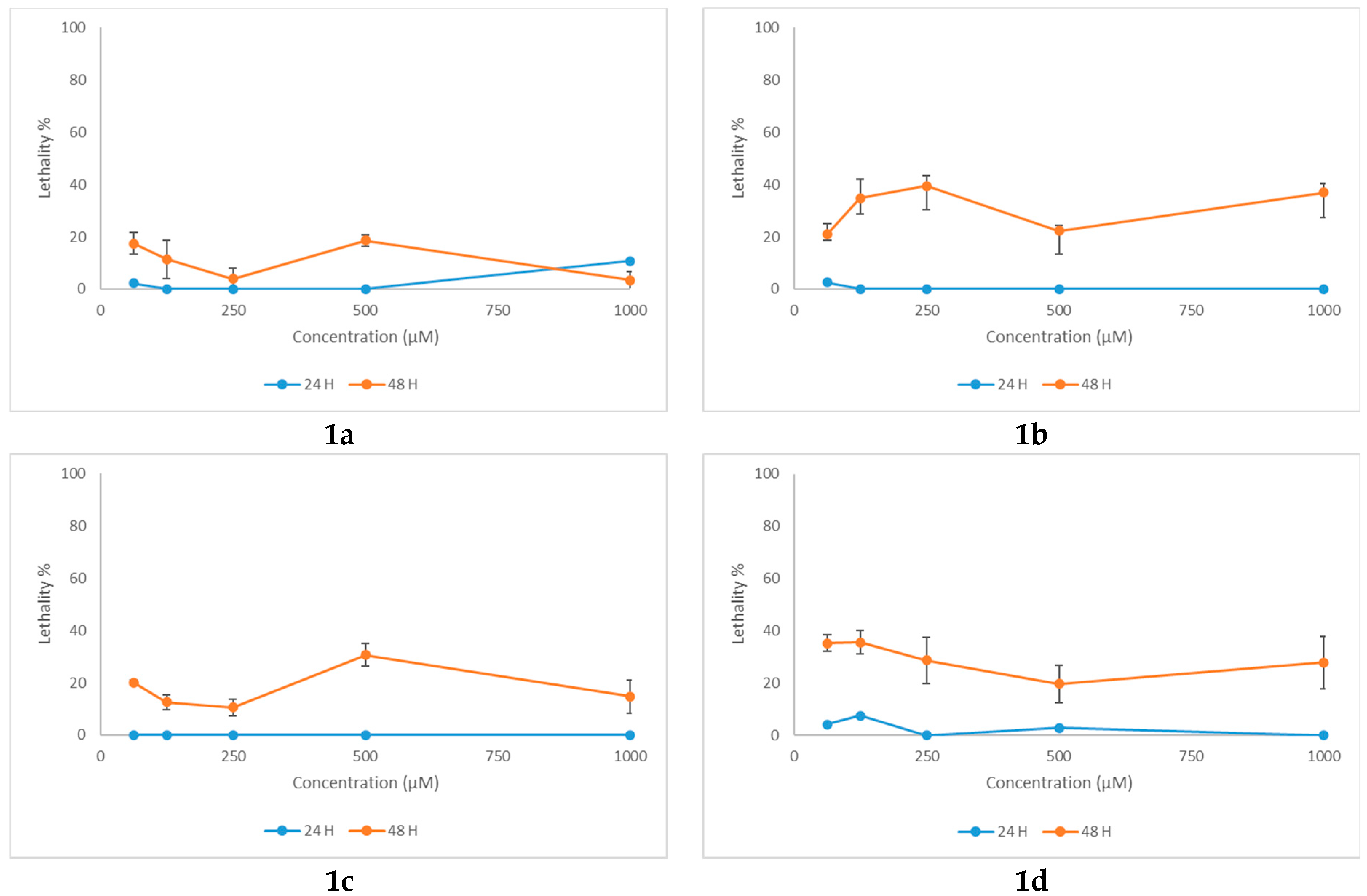
2.6. Artemia franciscana Toxicity Assay
2.7. Molecular Docking
2.7.1. Potential Binding Mode of 1b to DNA Gyrase and DHFR of S. aureus
2.7.2. Potential Binding Mode of Compounds 1b to Sterol 14α-Demethylase
2.7.3. Potential Binding Mode of Compounds 1a–1e to the EGFR Kinase
3. Discussion
4. Materials and Methods
4.1. Chemistry and Spectral Data
4.1.1. General Information
4.1.2. Synthesis and Spectral Characterization
4.2. In Silico ADMET Study and Prediction of Pharmacological Profile
4.3. Total Antioxidant Capacity (TAC)
4.4. Antimicrobial Evaluation
4.4.1. Microbial Strains
4.4.2. Qualitative Assessment of Antimicrobial Activity
4.4.3. Quantitative Assessment of Antimicrobial Activity
4.4.4. Microbicidal Activity Assessment
4.4.5. Microbial Adhesion
4.4.6. Statistical Analysis
4.5. Cytotoxicity Evaluation Against Normal and Cancer Cell Lines
4.5.1. Cell Lines
4.5.2. Cytotoxicity Screening
4.5.3. Cell Viability
4.5.4. Statistical Analysis
4.6. Artemia franciscana Toxicity Assay
4.7. Molecular Docking
5. Conclusions
Supplementary Materials
Author Contributions
Funding
Institutional Review Board Statement
Data Availability Statement
Acknowledgments
Conflicts of Interest
References
- ElZahabi, H.S.A.; Nafie, M.S.; Osman, D.; Elghazawy, N.H.; Soliman, D.H.; EL-Helby, A.A.H.; Arafa, R.K. Design, Synthesis and Evaluation of New Quinazolin-4-One Derivatives as Apoptotic Enhancers and Autophagy Inhibitors with Potent Antitumor Activity. Eur. J. Med. Chem. 2021, 222, 113609. [Google Scholar] [CrossRef]
- Huan, L.C.; Tran, P.-T.T.; Phuong, C.V.; Duc, P.H.; Anh, D.T.; Hai, P.T.; Huong, L.T.T.; Thuan, N.T.; Lee, H.J.; Park, E.J.; et al. Novel 3,4-Dihydro-4-Oxoquinazoline-Based Acetohydrazides: Design, Synthesis and Evaluation of Antitumor Cytotoxicity and Caspase Activation Activity. Bioorg. Chem. 2019, 92, 103202. [Google Scholar] [CrossRef]
- Huan, L.C.; Phuong, C.V.; Truc, L.C.; Thanh, V.N.; Pham-The, H.; Huong, L.T.T.; Thuan, N.T.; Park, E.J.; Ji, A.Y.; Kang, J.S.; et al. (E)-N’-Arylidene-2-(4-Oxoquinazolin-4(3H)-Yl) Acetohydrazides: Synthesis and Evaluation of Antitumor Cytotoxicity and Caspase Activation Activity. J. Enzyme Inhib. Med. Chem. 2019, 34, 465–478. [Google Scholar] [CrossRef]
- Huan, L.C.; Anh, D.T.; Truong, B.X.; Duc, P.H.; Hai, P.T.; Duc-Anh, L.; Huong, L.T.T.; Park, E.J.; Lee, H.J.; Kang, J.S.; et al. New Acetohydrazides Incorporating 2-Oxoindoline and 4-Oxoquinazoline: Synthesis and Evaluation of Cytotoxicity and Caspase Activation Activity. Chem. Biodivers. 2020, 17, e1900670. [Google Scholar] [CrossRef] [PubMed]
- Dung, D.T.M.; Park, E.J.; Anh, D.T.; Hai, P.-T.; Huy, L.D.; Jun, H.W.; Kwon, J.-H.; Young Ji, A.; Kang, J.S.; Tung, T.T.; et al. Design, Synthesis, and Evaluation of Novel (E)-N’-(3-Allyl-2-Hydroxy)Benzylidene-2-(4-Oxoquinazolin-3(4H)-Yl)Acetohydrazides as Antitumor Agents. Arch. Pharm. 2022, 355, 2100216. [Google Scholar] [CrossRef]
- Shao, L.H.; Fan, S.L.; Meng, Y.F.; Gan, Y.Y.; Shao, W.B.; Wang, Z.C.; Chen, D.P.; Ouyang, G.P. Design, Synthesis, Biological Activities and 3D-QSAR Studies of Quinazolinone Derivatives Containing Hydrazone Structural Units. New J. Chem. 2021, 45, 4626–4631. [Google Scholar] [CrossRef]
- Emam, A.M.; Dahal, A.; Singh, S.S.; Tosso, R.D.; Ibrahim, S.M.; El-Sadek, M.; Jois, S.D.; Enriz, R.D.; Kothayer, H. Quinazoline-Tethered Hydrazone: A Versatile Scaffold toward Dual Anti-TB and EGFR Inhibition Activities in NSCLC. Arch. Pharm. 2021, 354, 2100281. [Google Scholar] [CrossRef]
- Zayed, M.F.; Rateb, H.S.; Ahmed, S.; Khaled, O.A.; Ibrahim, S.R.M. Quinazolinone-Amino Acid Hybrids as Dual Inhibitors of EGFR Kinase and Tubulin Polymerization. Molecules 2018, 23, 1699. [Google Scholar] [CrossRef]
- Zayed, M.F.; Ahmed, S.; Ihmaid, S.; Ahmed, H.E.A.; Rateb, H.S.; Ibrahim, S.R.M. Design, Synthesis, Cytotoxic Evaluation and Molecular Docking of New Fluoroquinazolinones as Potent Anticancer Agents with Dual EGFR Kinase and Tubulin Polymerization Inhibitory Effects. Int. J. Mol. Sci. 2018, 19, 1731. [Google Scholar] [CrossRef]
- Zayed, M.F.; Ahmed, H.E.A.; Ihmaid, S.; Omar, A.S.M.; Abdelrahim, A.S. Synthesis and Screening of Some New Fluorinated Quinazolinone-Sulphonamide Hybrids as Anticancer Agents. J. Taibah Univ. Med. Sci. 2015, 10, 333–339. [Google Scholar] [CrossRef]
- Liu, S.; Wang, W.; Jiang, L.; Wan, S.; Zhang, L.; Yu, R.; Jiang, T. 2-Pyridinyl-4(3H)-Quinazolinone: A Scaffold for Anti-Influenza A Virus Compounds. Chem. Biol. Drug Des. 2015, 86, 1221–1225. [Google Scholar] [CrossRef]
- Kassem, A.F.; Ragab, S.S.; Omar, M.A.; Altwaijry, N.A.; Abdelraof, M.; Temirak, A.; Saleh, A.; Srour, A.M. New Quinazolone–Sulfonate Conjugates with an Acetohydrazide Linker as Potential Antimicrobial Agents: Design, Synthesis and Molecular Docking Simulations. RSC Adv. 2025, 15, 1033–1048. [Google Scholar] [CrossRef]
- Donka, S.B.; Kethineni, S.; Valaparla, B.Y.; Bheemreddy, A.; Meti, M.D.; More, U.A.; Kotakadi, V.S.; Vatturu, M.; Doddaga, S. Design, Synthesis, and Antimicrobial Evaluation of Novel Quinazoline Piperazine Phosphorodiamidate Hybrids as Potent DNA Gyrase Inhibitors. Sci. Rep. 2025, 15, 33964. [Google Scholar] [CrossRef]
- Peng, J.W.; Yin, X.D.; Li, H.; Ma, K.Y.; Zhang, Z.J.; Zhou, R.; Wang, Y.L.; Hu, G.F.; Liu, Y.Q. Design, Synthesis, and Structure-Activity Relationship of Quinazolinone Derivatives as Potential Fungicides. J. Agric. Food Chem. 2021, 69, 4604–4614. [Google Scholar] [CrossRef]
- El-Gazzar, A.B.A.; Youssef, M.M.; Youssef, A.M.S.; Abu-Hashem, A.A.; Badria, F.A. Design and Synthesis of Azolopyrimidoquinolines, Pyrimidoquinazolines as Anti-Oxidant, Anti-Inflammatory and Analgesic Activities. Eur. J. Med. Chem. 2009, 44, 609–624. [Google Scholar] [CrossRef] [PubMed]
- Marshall, C.M.; Federice, J.G.; Bell, C.N.; Cox, P.B.; Njardarson, J.T. An Update on the Nitrogen Heterocycle Compositions and Properties of U.S. FDA-Approved Pharmaceuticals (2013–2023). J. Med. Chem. 2024, 67, 11622–11655. [Google Scholar] [CrossRef]
- Sahoo, B.M.; Battik, B.K. New Quinazolines: Synthesis, Medicinal and Pharmacological Activities. In Organic and Medicinal Chemistry; Nova Science Publishers, Inc.: Hauppauge, NY, USA, 2018; Volume 2, pp. 97–155. ISBN 9781536148565. [Google Scholar]
- Viegas-Junior, C.; Danuello, A.; da Silva Bolzani, V.; Barreiro, E.J.; Fraga, C.A.M. Molecular Hybridization: A Useful Tool in the Design of New Drug Prototypes. Curr. Med. Chem. 2007, 14, 1829–1852. [Google Scholar] [CrossRef] [PubMed]
- Fraga, C.A.M. Drug Hybridization Strategies: Before or After Lead Identification? Expert Opin. Drug Discov. 2009, 4, 605–609. [Google Scholar] [CrossRef]
- Sanduja, M.; Gupta, J.; Virmani, T. Recent Advancements in Uracil and 5-Fluorouracil Hybrids as Potential Anticancer Agents: A Review. J. Appl. Pharm. Sci. 2020, 10, 129–146. [Google Scholar] [CrossRef]
- Soltan, O.M.; Shoman, M.E.; Abdel-Aziz, S.A.; Narumi, A.; Konno, H.; Abdel-Aziz, M. Molecular Hybrids: A Five-Year Survey on Structures of Multiple Targeted Hybrids of Protein Kinase Inhibitors for Cancer Therapy. Eur. J. Med. Chem. 2021, 225, 113768. [Google Scholar] [CrossRef] [PubMed]
- Murugappan, S.; Dastari, S.; Jungare, K.; Barve, N.M.; Shankaraiah, N. Hydrazide-Hydrazone/Hydrazone as Enabling Linkers in Anti-Cancer Drug Discovery: A Comprehensive Review. J. Mol. Struct. 2024, 1307, 138012. [Google Scholar] [CrossRef]
- Dyniewicz, J.; Lipinski, P.F.J.; Kosson, P.; Lesniak, A.; Bochynska-Czyz, M.; Muchowska, A.; Tourwe, D.; Ballet, S.; Misicka, A.; Lipkowski, A.W. Hydrazone Linker as a Useful Tool for Preparing Chimeric Peptide/Nonpeptide Bifunctional Compounds. ACS Med. Chem. Lett. 2017, 8, 73–77. [Google Scholar] [CrossRef]
- El-Mahdy, R.Y.; Galal, N.; Lotfy, R.; Arafa, R.K. Structure-Based Design of New Anticancer N3-Substituted Quinazolin-4-Ones as Type I ATP-Competitive Inhibitors Targeting the Deep Hydrophobic Pocket of EGFR. Comput. Biol. Med. 2025, 186, 109640. [Google Scholar] [CrossRef] [PubMed]
- Karamanolis, N.N.; Kounatidis, D.; Vallianou, N.G.; Dimitriou, K.; Tsaroucha, E.; Tsioulos, G.; Anastasiou, I.A.; Mavrothalassitis, E.; Karampela, I.; Dalamaga, M. Unraveling the Anti-Cancer Mechanisms of Antibiotics: Current Insights, Controversies, and Future Perspectives. Antibiotics 2024, 14, 9. [Google Scholar] [CrossRef] [PubMed]
- Krátký, M.; Konečná, K.; Brablíková, M.; Janoušek, J.; Pflégr, V.; Maixnerová, J.; Trejtnar, F.; Vinšová, J. Iodinated 1,2-Diacylhydrazines, Benzohydrazide-Hydrazones and Their Analogues as Dual Antimicrobial and Cytotoxic Agents. Bioorg. Med. Chem. 2021, 41, 116209. [Google Scholar] [CrossRef] [PubMed]
- Krátký, M.; Bősze, S.; Baranyai, Z.; Stolaříková, J.; Vinšová, J. Synthesis and Biological Evolution of Hydrazones Derived from 4-(Trifluoromethyl)Benzohydrazide. Bioorg. Med. Chem. Lett. 2017, 27, 5185–5189. [Google Scholar] [CrossRef]
- Krátký, M.; Konečná, K.; Brokešová, K.; Maixnerová, J.; Trejtnar, F.; Vinšová, J. Optimizing the Structure of (Salicylideneamino)Benzoic Acids: Towards Selective Antifungal and Anti-Staphylococcal Agents. Eur. J. Pharm. Sci. 2021, 159, 105732. [Google Scholar] [CrossRef]
- Krátký, M.; Konečná, K.; Janoušek, J.; Brablíková, M.; Janďourek, O.; Trejtnar, F.; Stolaříková, J.; Vinšová, J. 4-Aminobenzoic Acid Derivatives: Converting Folate Precursor to Antimicrobial and Cytotoxic Agents. Biomolecules 2020, 10, 9. [Google Scholar] [CrossRef]
- Hekal, M.H.; Abu El-Azm, F.S.M.; Atta-Allah, S.R. Ecofriendly and Highly Efficient Microwave-Induced Synthesis of Novel Quinazolinone-Undecyl Hybrids with in Vitro Antitumor Activity. Synth. Commun. 2019, 49, 2630–2641. [Google Scholar] [CrossRef]
- Tang, Y.Z.; Liu, Z.Q. Quantitative Structure—Activity Relationship of Hydroxyl-Substituent Schiff Bases in Radical-Induced Hemolysis of Human Erythrocytes. Cell Biochem. Funct. 2008, 26, 185–191. [Google Scholar] [CrossRef]
- Bratu, M.; Nuta, D.C.; Caproiu, M.T.; Missir, A.V.; Limban, C.; Chirita, I.C.; Morusciag, L. New Acylated Derivatives of 2-Methyl-4-Oxo-Quinazolin-3(4H)-Il-Acetohydroxamic Acid. Farmacia 2014, 62, 664–673. [Google Scholar]
- Reis, D.C.; Despaigne, A.A.R.; Silva, J.G.D.; Silva, N.F.; Vilela, C.F.; Mendes, I.C.; Takahashi, J.A.; Beraldo, H. Structural Studies and Investigation on the Activity of Imidazole-Derived Thiosemicarbazones and Hydrazones against Crop-Related Fungi. Molecules 2013, 18, 12645–12662. [Google Scholar] [CrossRef]
- Sourour, T.; Dalila, F.; Sousa, J.L.C.; Silva, A.M.S.; Messaoud, L. Synthesis and Characterization of Novel Benzothiazinonic N-Acylhydrazone Derivatives. Polycycl. Aromat. Compd. 2024, 45, 1197–1210. [Google Scholar] [CrossRef]
- Daina, A.; Michielin, O.; Zoete, V. SwissADME: A Free Web Tool to Evaluate Pharmacokinetics, Drug-Likeness and Medicinal Chemistry Friendliness of Small Molecules. Sci. Rep. 2017, 7, 42717. [Google Scholar] [CrossRef]
- Daina, A.; Michielin, O.; Zoete, V. SwissTargetPrediction: Updated Data and New Features for Efficient Prediction of Protein Targets of Small Molecules. Nucleic Acids Res. 2019, 47, W357–W364. [Google Scholar] [CrossRef]
- Nickel, J.; Gohlke, B.O.; Erehman, J.; Banerjee, P.; Rong, W.W.; Goede, A.; Dunkel, M.; Preissner, R. SuperPred: Update on Drug Classification and Target Prediction. Nucleic Acids Res. 2014, 42, W26–W31. [Google Scholar] [CrossRef] [PubMed]
- Filimonov, D.A.; Lagunin, A.A.; Gloriozova, T.A.; Rudik, A.V.; Druzhilovskii, D.S.; Pogodin, P.V.; Poroikov, V.V. Prediction of the Biological Activity Spectra of Organic Compounds Using the Pass Online Web Resource. Chem. Heterocycl. Compd. 2014, 50, 444–457. [Google Scholar] [CrossRef]
- Valko, M.; Leibfritz, D.; Moncol, J.; Cronin, M.T.D.; Mazur, M.; Telser, J. Free Radicals and Antioxidants in Normal Physiological Functions and Human Disease. Int. J. Biochem. Cell Biol. 2007, 39, 44–84. [Google Scholar] [CrossRef]
- Cushnie, T.P.T.; Lamb, A.J. Antimicrobial Activity of Flavonoids. Int. J. Antimicrob. Agents 2005, 26, 343–356. [Google Scholar] [CrossRef]
- Phaniendra, A.; Jestadi, D.B.; Periyasamy, L. Free Radicals: Properties, Sources, Targets, and Their Implication in Various Diseases. Indian J. Clin. Biochem. 2015, 30, 11–26. [Google Scholar] [CrossRef]
- López-Lázaro, M. Dual Role of Hydrogen Peroxide in Cancer: Possible Relevance to Cancer Chemoprevention and Therapy. Cancer Lett. 2007, 252, 1–8. [Google Scholar] [CrossRef]
- Grigalius, I.; Petrikaite, V. Relationship between Antioxidant and Anticancer Activity of Trihydroxyflavones. Mol. A J. Synth. Chem. Nat. Prod. Chem. 2017, 22, 2169. [Google Scholar] [CrossRef] [PubMed]
- Pisoschi, A.M.; Pop, A. The Role of Antioxidants in the Chemistry of Oxidative Stress: A Review. Eur. J. Med. Chem. 2015, 97, 55–74. [Google Scholar] [CrossRef]
- Baquero, F. Threats of Antibiotic Resistance: An Obliged Reappraisal. Int. Microbiol. 2021, 24, 499–506. [Google Scholar] [CrossRef]
- Church, N.A.; McKillip, J.L. Antibiotic Resistance Crisis: Challenges and Imperatives. Biologia 2021, 76, 1535–1550. [Google Scholar] [CrossRef]
- Karnwal, A.; Jassim, A.Y.; Mohammed, A.A.; Al-Tawaha, A.R.M.S.; Selvaraj, M.; Malik, T. Addressing the Global Challenge of Bacterial Drug Resistance: Insights, Strategies, and Future Directions. Front. Microbiol. 2025, 16, 1517772. [Google Scholar] [CrossRef]
- Landini, P.; Antoniani, D.; Burgess, J.G.; Nijland, R. Molecular Mechanisms of Compounds Affecting Bacterial Biofilm Formation and Dispersal. Appl. Microbiol. Biotechnol. 2010, 86, 813–823. [Google Scholar] [CrossRef] [PubMed]
- Shin, S.; Jiang, D.; Yu, J.; Yang, C.; Jeong, W.; Li, J.; Bae, J.; Shin, J.; An, K.; Kim, W.; et al. Interaction Dynamics of Liposomal Fatty Acids with Gram-Positive Bacterial Membranes. ACS Appl. Mater. Interfaces 2025, 17, 23666–23679. [Google Scholar] [CrossRef]
- Xiong, Y.; Chen, J.; Sun, X.; Xu, G.; Li, P.; Deng, Q.; Yu, Z.; Chen, Z.; Zheng, J. The Antibacterial and Antibiofilm Activity of Telithromycin Against Enterococcus Spp. Isolated From Patients in China. Front. Microbiol. 2021, 11, 616797. [Google Scholar] [CrossRef]
- Yuan, G.; Guan, Y.; Yi, H.; Lai, S.; Sun, Y.; Cao, S. Antibacterial Activity and Mechanism of Plant Flavonoids to Gram-Positive Bacteria Predicted from Their Lipophilicities. Sci. Rep. 2021, 111, 10471. [Google Scholar] [CrossRef] [PubMed]
- Khabib, M.N.H.; Sivasanku, Y.; Lee, H.B.; Kumar, S.; Kue, C.S. Alternative Animal Models in Predictive Toxicology. Toxicology 2022, 465, 153053. [Google Scholar] [CrossRef] [PubMed]
- European Parliament and Council. Regulation (EC) No 1272/2008 on Classification, Labelling and Packaging of Substances and Mixtures (CLP). Available online: https://eur-lex.europa.eu/legal-content/EN/TXT/?uri=CELEX%3A32008R1272 (accessed on 23 June 2025).
- Xue, W.; Wang, Y.; Lian, X.; Li, X.; Pang, J.; Kirchmair, J.; Wu, K.; Han, Z.; You, X.; Zhang, H.; et al. Discovery of N-Quinazolinone-4-Hydroxy-2-Quinolone-3-Carboxamides as DNA Gyrase B-Targeted Antibacterial Agents. J. Enzyme Inhib. Med. Chem. 2022, 37, 1620–1631. [Google Scholar] [CrossRef]
- Xue, W.; Li, X.; Ma, G.; Zhang, H.; Chen, Y.; Kirchmair, J.; Xia, J.; Wu, S. N-Thiadiazole-4-Hydroxy-2-Quinolone-3-Carboxamides Bearing Heteroaromatic Rings as Novel Antibacterial Agents: Design, Synthesis, Biological Evaluation and Target Identification. Eur. J. Med. Chem. 2020, 188, 112022. [Google Scholar] [CrossRef] [PubMed]
- Osman, E.O.; Emam, S.H.; Sonousi, A.; Kandil, M.M.; Abdou, A.M.; Hassan, R.A. Design, Synthesis, Anticancer, and Antibacterial Evaluation of Some Quinazolinone-Based Derivatives as DHFR Inhibitors. Drug Dev. Res. 2023, 84, 888–906. [Google Scholar] [CrossRef]
- Monk, B.C.; Sagatova, A.A.; Hosseini, P.; Ruma, Y.N.; Wilson, R.K.; Keniya, M.V. Fungal Lanosterol 14α-Demethylase: A Target for next-Generation Antifungal Design. Biochim. Biophys. Acta-Proteins Proteom. 2020, 1868, 140206. [Google Scholar] [CrossRef]
- Debeljak, N.; Fink, M.; Rozman, D. Many Facets of Mammalian Lanosterol 14α-Demethylase from the Evolutionarily Conserved Cytochrome P450 Family CYP51. Arch. Biochem. Biophys. 2003, 409, 159–171. [Google Scholar] [CrossRef]
- Emami, S.; Tavangar, P.; Keighobadi, M. An Overview of Azoles Targeting Sterol 14α-Demethylase for Antileishmanial Therapy. Eur. J. Med. Chem. 2017, 135, 241–259. [Google Scholar] [CrossRef]
- Șandor, A.; Ionuț, I.; Marc, G.; Oniga, I.; Eniu, D.; Oniga, O. Structure–Activity Relationship Studies Based on Quinazoline Derivatives as EGFR Kinase Inhibitors (2017–Present). Pharmaceuticals 2023, 16, 534. [Google Scholar] [CrossRef]
- Tariq, A.; Shoaib, M.; Qu, L.; Shoukat, S.; Nan, X.; Song, J. Exploring 4th Generation EGFR Inhibitors: A Review of Clinical Outcomes and Structural Binding Insights. Eur. J. Pharmacol. 2025, 997, 177608. [Google Scholar] [CrossRef]
- Yadav, P.; Yadav, R.; Jain, S.; Vaidya, A. Caspase-3: A Primary Target for Natural and Synthetic Compounds for Cancer Therapy. Chem. Biol. Drug Des. 2021, 98, 144–165. [Google Scholar] [CrossRef] [PubMed]
- Lu, J.; Patel, S.; Sharma, N.; Soisson, S.M.; Kishii, R.; Takei, M.; Fukuda, Y.; Lumb, K.J.; Singh, S.B. Structures of Kibdelomycin Bound to Staphylococcus Aureus GyrB and ParE Showed a Novel U-Shaped Binding Mode. ACS Chem. Biol. 2014, 9, 2023–2031. [Google Scholar] [CrossRef]
- Heaslet, H.; Harris, M.; Fahnoe, K.; Sarver, R.; Putz, H.; Chang, J.; Subramanyam, C.; Barreiro, G.; Miller, J.R. Structural Comparison of Chromosomal and Exogenous Dihydrofolate Reductase from Staphylococcus Aureus in Complex with the Potent Inhibitor Trimethoprim. Proteins Struct. Funct. Bioinforma. 2009, 76, 706–717. [Google Scholar] [CrossRef]
- Hargrove, T.Y.; Friggeri, L.; Wawrzak, Z.; Qi, A.; Hoekstra, W.J.; Schotzinger, R.J.; York, J.D.; Guengerich, F.P.; Lepesheva, G.I. Structural Analyses of Candida Albicans Sterol 14α-Demethylase Complexed with Azole Drugs Address the Molecular Basis of Azole-Mediated Inhibition of Fungal Sterol Biosynthesis. J. Biol. Chem. 2017, 292, 6728–6743. [Google Scholar] [CrossRef]
- Wood, E.R.; Truesdale, A.T.; McDonald, O.B.; Yuan, D.; Hassell, A.; Dickerson, S.H.; Ellis, B.; Pennisi, C.; Horne, E.; Lackey, K.; et al. A Unique Structure for Epidermal Growth Factor Receptor Bound to GW572016 (Lapatinib)Relationships Among Protein Conformation, Inhibitor Off-Rate, and Receptor Activity in Tumor Cells. Cancer Res. 2004, 64, 6652–6659. [Google Scholar] [CrossRef] [PubMed]
- Krátký, M.; Konečná, K.; Janďourek, O.; Diepoltová, A.; Vávrová, P.; Voxová, B.; Vejsová, M.; Bárta, P.; Bősze, S. Insight into the Antibacterial Action of Iodinated Imine, an Analogue of Rafoxanide: A Comprehensive Study of Its Antistaphylococcal Activity. Microbiol. Spectr. 2023, 11, e0306422. [Google Scholar] [CrossRef]
- Krátký, M.; Konečná, K.; Janoušek, J.; Janďourek, O.; Maixnerová, J.; Kalivodová, S.; Trejtnar, F.; Vinšová, J. Sulfonamide-Salicylaldehyde Imines Active Against Methicillin- and Trimethoprim/Sulfonamide-Resistant Staphylococci. Future Med. Chem. 2021, 13, 1945–1962. [Google Scholar] [CrossRef] [PubMed]
- Liu, L.F.; Liu, C.C.; Alberts, B.M. Type II DNA Topoisomerases: Enzymes That Can Unknot a Topologically Knotted DNA Molecule via a Reversible Double-Strand Break. Cell 1980, 19, 697–707. [Google Scholar] [CrossRef]
- Nöllmann, M.; Crisona, N.J.; Arimondo, P.B. Thirty Years of Escherichia Coli DNA Gyrase: From In Vivo Function to Single-Molecule Mechanism. Biochimie 2007, 89, 490–499. [Google Scholar] [CrossRef] [PubMed]
- Bates, A.D.; Maxwell, A. Energy Coupling in Type II Topoisomerases: Why Do They Hydrolyze ATP?†. Biochemistry 2007, 46, 7929–7941. [Google Scholar] [CrossRef]
- Champoux, J.J. DNA Topoisomerases: Structure, Function, and Mechanism. Annu. Rev. Biochem. 2001, 70, 369–413. [Google Scholar] [CrossRef]
- Boutin, J.A.; Altieri, F.; Dibavar, A.S.; Spencer, A.C.; Panda, S.S. DNA Gyrase as a Target for Quinolones. Biomedicines 2023, 11, 371. [Google Scholar] [CrossRef]
- Collin, F.; Karkare, S.; Maxwell, A. Exploiting Bacterial DNA Gyrase as a Drug Target: Current State and Perspectives. Appl. Microbiol. Biotechnol. 2011, 92, 479–497. [Google Scholar] [CrossRef]
- Reece, R.J.; Maxwell, A.; Wang, J.C. DNA Gyrase: Structure and Function. Crit. Rev. Biochem. Mol. Biol. 1991, 26, 335–375. [Google Scholar] [CrossRef]
- Pires, D.E.V.; Blundell, T.L.; Ascher, D.B. PkCSM: Predicting Small-Molecule Pharmacokinetic and Toxicity Properties Using Graph-Based Signatures. J. Med. Chem. 2015, 58, 4066–4072. [Google Scholar] [CrossRef]
- ChemSketch, Version 2020.1.2; Advanced Chemistry Development, Inc. (ACD/Labs): Toronto, ON, Canada. Available online: www.acdlabs.com.
- Ji, K.Y.; Liu, C.; Liu, Z.Q.; Deng, Y.F.; Hou, T.J.; Cao, D.S. Comprehensive Assessment of Nine Target Prediction Web Services: Which Should We Choose for Target Fishing? Brief. Bioinform. 2023, 24, bbad014. [Google Scholar] [CrossRef] [PubMed]
- Bujor, A.; Hanganu, A.; Tecuceanu, V.; Madalan, A.M.; Tudose, M.; Marutescu, L.; Popa, M.; Chifiriuc, C.M.; Zarafu, I.; Ionita, P. Biological Evaluation and Structural Analysis of Some Aminodiphenylamine Derivatives. Antioxidants 2023, 12, 713. [Google Scholar] [CrossRef]
- Roman, R.; Pintilie, L.; Căproiu, M.T.; Dumitrașcu, F.; Nuță, D.C.; Zarafu, I.; Ioniță, P.; Chifiriuc, M.C.; Chiriță, C.; Moroșan, A.; et al. New N-Acyl Thiourea Derivatives: Synthesis, Standardized Quantification Method and In Vitro Evaluation of Potential Biological Activities. Antibiotics 2023, 12, 807. [Google Scholar] [CrossRef] [PubMed]
- Vlad, I.M.; Nuță, D.C.; Ancuceanu, R.V.; Caproiou, M.T.; Dumitrascu, F.; Marinas, I.C.; Chifiriuc, M.C.; Măruţescu, L.G.; Zarafu, I.; Papacocea, I.R.; et al. New O-Aryl-Carbamoyl-Oxymino-Fluorene Derivatives with MI-Crobicidal and Antibiofilm Activity Enhanced by Combination with Iron Oxide Nanoparticles. Molecules 2021, 26, 3002. [Google Scholar] [CrossRef]
- Remes, C.; Paun, A.; Zarafu, I.; Tudose, M.; Caproiu, M.T.; Ionita, G.; Bleotu, C.; Matei, L.; Ionita, P. Chemical and Biological Evaluation of Some New Antipyrine Derivatives with Particular Properties. Bioorg. Chem. 2012, 41–42, 6–12. [Google Scholar] [CrossRef] [PubMed]
- Paun, A.; Zarafu, I.; Caproiu, M.T.; Draghici, C.; Maganu, M.; Cotar, A.I.; Chifiriuc, M.C.; Ionita, P. Synthesis and Microbiological Evaluation of Several Benzocaine Derivatives. Comptes Rendus Chim. 2013, 16, 665–671. [Google Scholar] [CrossRef]
- R Core Team. R: A Language and Environment for Statistical Computing; R Foundation for Statistical Computing: Vienna, Austria, 2025; Available online: www.r-project.org (accessed on 13 December 2025).
- Posit Team. RStudio: Integrated Development Environment for R; Posit Software: PBC, Boston, MA, 2025; Available online: https://www.posit.co/ (accessed on 13 December 2025).
- Ritz, C.; Baty, F.; Streibig, J.C.; Gerhard, D. Dose-Response Analysis Using R. PLoS ONE 2015, 10, e0146021. [Google Scholar] [CrossRef] [PubMed]
- Directive-2010/63-EN–EUR-Lex. Available online: https://eur-lex.europa.eu/legal-content/EN/TXT/?uri=CELEX:32010L0063 (accessed on 9 September 2025).
- Molegro Virtual Docker; Molexus IVS: Rørth Ellevej 3, Rørt, 8300 Odder, Denmark, 2019.
- SPARTAN’24; Parallel Suite License; Wavefunction, Inc.: 18401 Von Karman Ave., Suite 435 Irvine, California 92612, USA, 2024.















| Compound | TAC (%) |
|---|---|
| 1a | 42.7 |
| 1b | 38.9 |
| 1c | 45.1 |
| 1d | 20.5 |
| 1e | 19.3 |
| 1f | 43.4 |
| 2 | 19.7 |
| Compound | Parameter | S. aureus ATCC 25923 | E. faecalis ATCC 9212 | P. aeruginosa ATCC 27853 | E. coli ATCC 25922 | C. albicans ATCC 10231 |
|---|---|---|---|---|---|---|
| 1a | IZD (mm) | 0.00 ± 0.00 | 0.00 ± 0.00 | 0.00 ± 0.00 | 0.00 ± 0.00 | 0.00 ± 0.00 |
| MIC (mg/mL) | 1.25 | 1.25 | 1.25 | 1.25 | 0.625 | |
| MMC (mg/mL) | >5 | 5 | 2.5 | 2.5 | 5 | |
| MICMA (mg/mL) | 2.5 | 1.25 | 0.625 | 1.25 | 0.625 | |
| 1b | IZD (mm) | 12.33 ± 0.58 | 0.00 ± 0.00 | 0.00 ± 0.00 | 0.00 ± 0.00 | 0.00 ± 0.00 |
| MIC (mg/mL) | 0.3125 | >5 | 5 | 1.25 | 0.625 | |
| MMC (mg/mL) | >5 | >5 | 5 | 2.5 | 5 | |
| MICMA (mg/mL) | 1.25 | 5 | 1.25 | 2.5 | 5 | |
| 1c | IZD (mm) | 7.67 ± 0.58 | 7.67 ± 0.58 | 0.00 ± 0.00 | 0.00 ± 0.00 | 6.67 ± 0.58 |
| MIC (mg/mL) | 2.5 | 2.5 | 1.25 | 1.25 | 2.5 | |
| MMC (mg/mL) | 5 | >5 | 2.5 | 5 | 5 | |
| MICMA (mg/mL) | 2.5 | 2.5 | 1.25 | 2.5 | 0.625 | |
| 1d | IZD (mm) | 0.00 ± 0.00 | 0.00 ± 0.00 | 0.00 ± 0.00 | 0.00 ± 0.00 | 0.00 ± 0.00 |
| MIC (mg/mL) | 2.5 | 5 | 1.25 | 1.25 | 5 | |
| MMC (mg/mL) | >5 | >5 | 1.25 | 5 | >5 | |
| MICMA (mg/mL) | 2.5 | 5 | 1.25 | 2.5 | 1.25 | |
| 1e | IZD (mm) | 0.00 ± 0.00 | 0.00 ± 0.00 | 0.00 ± 0.00 | 0.00 ± 0.00 | 0.00 ± 0.00 |
| MIC (mg/mL) | 1.25 | 5 | 5 | 5 | 1.25 | |
| MMC (mg/mL) | 5 | >5 | 5 | 5 | 2.5 | |
| MICMA (mg/mL) | 2.5 | 5 | 1.25 | 5 | 2.5 | |
| 1f | IZD (mm) | 0.00 ± 0.00 | 0.00 ± 0.00 | 0.00 ± 0.00 | 0.00 ± 0.00 | 0.00 ± 0.00 |
| MIC (mg/mL) | 2.5 | 1.25 | 1.25 | 1.25 | 1.25 | |
| MMC (mg/mL) | 5 | >5 | 2.5 | 2.5 | 5 | |
| MICMA (mg/mL) | 2.5 | 2.5 | 1.25 | 2.5 | 1.25 | |
| 2 | IZD (mm) | 0.00 ± 0.00 | 0.00 ± 0.00 | 0.00 ± 0.00 | 0.00 ± 0.00 | 6.33 ± 1.53 |
| MIC (mg/mL) | 2.5 | 2.5 | 1.25 | 1.25 | 1.25 | |
| MMC (mg/mL) | >5 | >5 | 5 | 2.5 | 5 | |
| MICMA (mg/mL) | 2.5 | >5 | 1.25 | 1.25 | 1.25 | |
| Ciprofloxacin | IZD (100 μg/mL, mm) | 17.33 ± 0.58 | 8.33 ± 0.58 | 15.33 ± 0.58 | 34.00 ± 2.00 | - |
| MIC (μg/mL) | 0.78 | 0.78 | 0.39 | 0.20 | - | |
| MMC (μg/mL) | 1.56 | 6.25 | 0.39 | 0.78 | - | |
| MICMA (μg/mL) | 0.39 | 0.78 | 0.39 | <0.10 | - | |
| Ketoconazole | IZD (140 μg/mL, mm) | - | - | - | - | 6.5 ± 0.71 |
| MIC (μg/mL) | - | - | - | - | 8.75 | |
| MMC (μg/mL) | - | - | - | - | 35 | |
| MICMA (μg/mL) | - | - | - | - | 0.27 | |
| DMSO | IZD (mm) | 0.00 ± 0.00 | 0.00 ± 0.00 | 0.00 ± 0.00 | 0.00 ± 0.00 | 0.00 ± 0.00 |
| MIC (mg/mL) | 2.5 | 2.5 | 1.25 | 1.25 | 1.25 | |
| MMC (mg/mL) | 5 | >5 | 2.5 | 5 | 5 | |
| MICMA (mg/mL) | 5 | 2.5 | 1.25 | 5 | 1.25 |
Disclaimer/Publisher’s Note: The statements, opinions and data contained in all publications are solely those of the individual author(s) and contributor(s) and not of MDPI and/or the editor(s). MDPI and/or the editor(s) disclaim responsibility for any injury to people or property resulting from any ideas, methods, instructions or products referred to in the content. |
© 2025 by the authors. Licensee MDPI, Basel, Switzerland. This article is an open access article distributed under the terms and conditions of the Creative Commons Attribution (CC BY) license.
Share and Cite
Coandă, M.; Drăghici, C.; Pintilie, L.; Kapronczai, E.-E.; Chiriță, C.; Marinaș, I.-C.; Ancuceanu, R.-V.; Zarafu, I.; Ioniță, P.; Crăciun, D.-I.; et al. Design, Synthesis, and Biological Evaluation of N-Acyl-Hydrazone-Linked Quinazolinone Derivatives with Antioxidant, Antimicrobial, and Anticancer Potential. Pharmaceuticals 2026, 19, 57. https://doi.org/10.3390/ph19010057
Coandă M, Drăghici C, Pintilie L, Kapronczai E-E, Chiriță C, Marinaș I-C, Ancuceanu R-V, Zarafu I, Ioniță P, Crăciun D-I, et al. Design, Synthesis, and Biological Evaluation of N-Acyl-Hydrazone-Linked Quinazolinone Derivatives with Antioxidant, Antimicrobial, and Anticancer Potential. Pharmaceuticals. 2026; 19(1):57. https://doi.org/10.3390/ph19010057
Chicago/Turabian StyleCoandă, Maria, Constantin Drăghici, Lucia Pintilie, Erzsébet-Eleonóra Kapronczai, Cornel Chiriță, Ioana-Cristina Marinaș, Robert-Viorel Ancuceanu, Irina Zarafu, Petre Ioniță, Denisa-Ioana Crăciun, and et al. 2026. "Design, Synthesis, and Biological Evaluation of N-Acyl-Hydrazone-Linked Quinazolinone Derivatives with Antioxidant, Antimicrobial, and Anticancer Potential" Pharmaceuticals 19, no. 1: 57. https://doi.org/10.3390/ph19010057
APA StyleCoandă, M., Drăghici, C., Pintilie, L., Kapronczai, E.-E., Chiriță, C., Marinaș, I.-C., Ancuceanu, R.-V., Zarafu, I., Ioniță, P., Crăciun, D.-I., Hudiță, A., Gălățeanu, B., Limban, C., & Nuță, D. C. (2026). Design, Synthesis, and Biological Evaluation of N-Acyl-Hydrazone-Linked Quinazolinone Derivatives with Antioxidant, Antimicrobial, and Anticancer Potential. Pharmaceuticals, 19(1), 57. https://doi.org/10.3390/ph19010057

