Novel Potent and Selective DPP-4 Inhibitors: Design, Synthesis and Molecular Docking Study of Dihydropyrimidine Phthalimide Hybrids
Abstract
1. Introduction
2. Result and Discussion
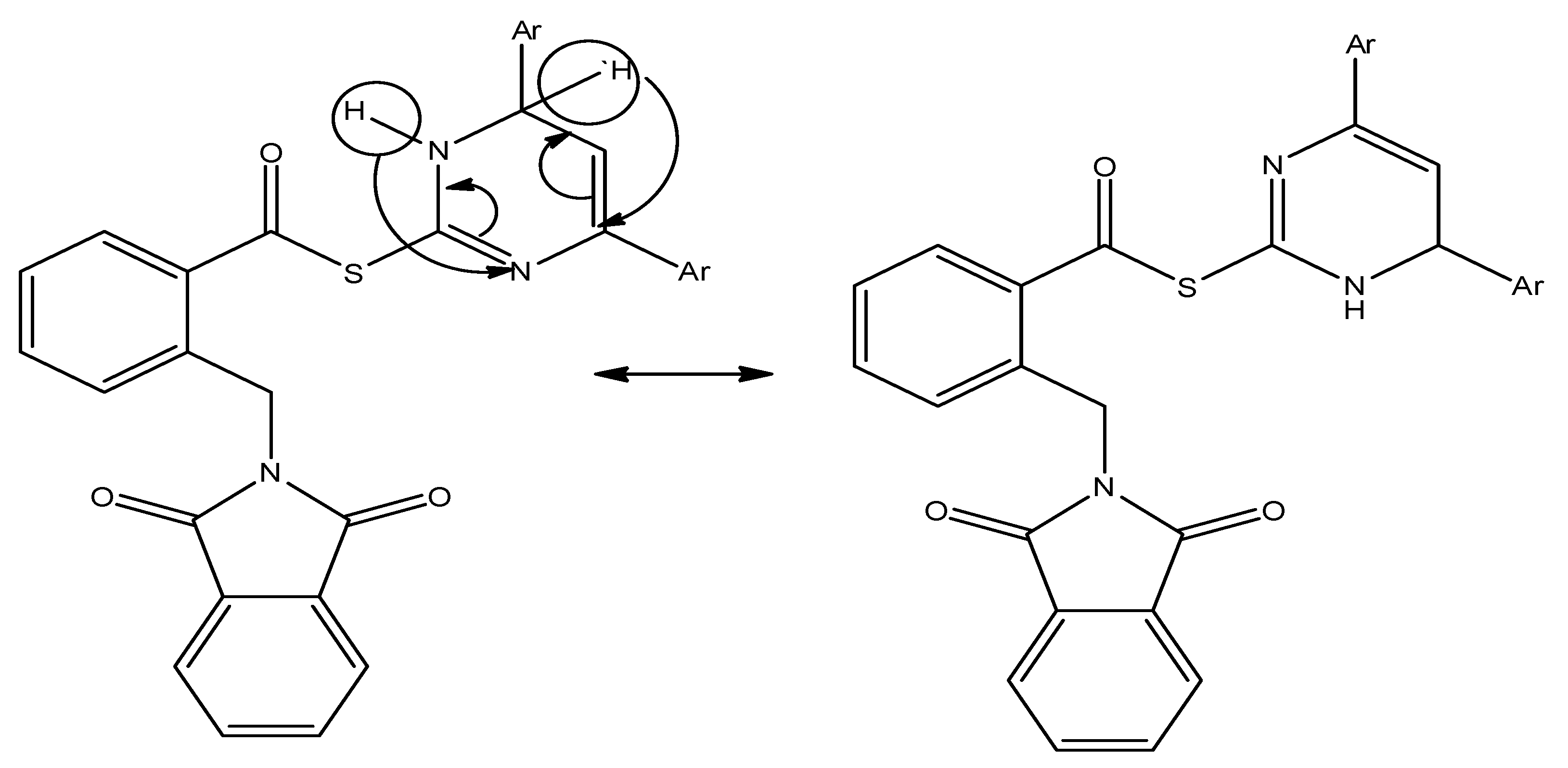
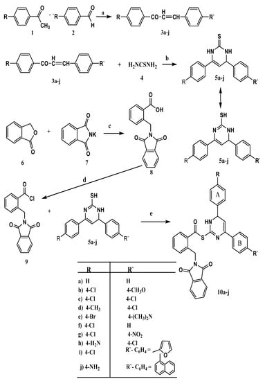
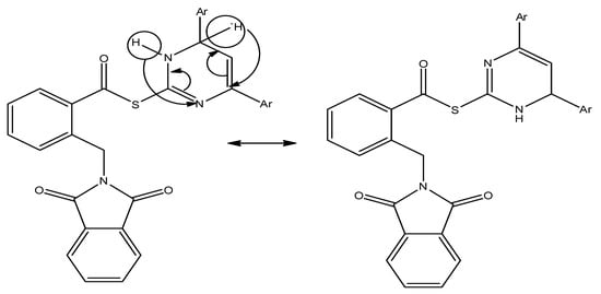
2.1. Chemistry
2.2. Biological Evaluation
2.2.1. In Vitro DPP Inhibition Assay
2.2.2. Effects of Synthesized Hybrids (10a–j) on Cell Viability
2.2.3. Effect of Synthesized Hybrids (10a–j) on In Vivo DPP-4 Activity
2.2.4. Effect of Chronic Treatment of Compounds 10a–j with or without MET on HFD-Induced Type 2 Diabetic rats
2.2.5. Antioxidant Activity
2.2.6. Molecular Docking Study: Docking at the DPP-4 active site
3. Structure Activity Relationship
4. Materials and Methods
4.1. Animals
4.2. Experimental Design
4.3. In Vitro DPP-4, DPP-8 and DPP-9 Inhibition Assay
4.4. Cytotoxicity Test
4.5. In Vivo DPP-4 Inhibition Assay
4.6. In Vivo Oral Glucose Tolerance Test (OGTT) in SD Rats
4.7. Antioxidant Activity (DPPH Method)
4.8. Statistical Analysis
4.9. Molecular Docking
4.10. Chemistry
4.11. Materials
4.12. Synthesis
4.12.1. General Procedure for Synthesis of 4,6-diaryl-3,4-dihydropyrimidine-2(1H)-thiones 5d–g, i, j [53]
4-(4-Chlorophenyl)-6-(p-tolyl)-3,4-dihydropyrimidine-2(1H)-thione (5d)
6-(4-Bromophenyl)-4-(4-(dimethylamino)phenyl)-3,4-dihydropyrimidine-2(1H)-thione (5e)
6-(4-Chlorophenyl)-4-phenyl-3,4-dihydropyrimidine-2(1H)-thione (5f)
6-(4-Chlorophenyl)-4-(4-nitrophenyl)-3,4-dihydropyrimidine-2(1H)-thione (5g)
6-(4-Chlorophenyl)-4-(furan-2-yl)-3,4-dihydropyrimidine-2(1H)-thione (5i)
6-(4-Aminophenyl)-4-(naphthalen-1-yl)-3,4-dihydropyrimidine-2(1H)-thione (5j)
4.12.2. General Procedure for Synthesis of (4,6-diaryl-1,6-dihydropyrimidin-2-yl)-2-((1,3-dioxoisoindolin-2-yl)methyl)benzothioates 10a–j
S-(4,6-Diphenyl-1,6-dihydropyrimidin-2-yl)2-((1,3-dioxoisoindolin-2-yl)methyl)benzothioate (10a)
S-(4-(4-Chlorophenyl)-6-(4-methoxyphenyl)-1,6-dihydropyrimidin-2-yl)2-((1,3-dioxoisoindolin-2-yl)methyl)benzothioate (10b)
S-(4,6-Bis(4-chlorophenyl)-1,6-dihydropyrimidin-2-yl)2-((1,3-dioxoisoindolin-2-yl)methyl)benzothioate (10c)
S-(6-(4-Chlorophenyl)-4-(p-tolyl)-1,6-dihydropyrimidin-2-yl)2-((1,3-dioxoisoindolin-2-yl)methyl)benzothioate (10d)
S-(4-(4-Bromophenyl)-6-(4-(dimethylamino)phenyl)-1,6-dihydropyrimidin-2-yl) 2-((1,3-dioxoisoindolin-2-yl)methyl)benzothioate (10e)
S-(4-(4-Chlorophenyl)-6-phenyl-1,6-dihydropyrimidin-2-yl)2-((1,3-dioxoisoindolin-2-yl)methyl)benzothioate (10f)
S-(4-(4-Chlorophenyl)-6-(4-nitrophenyl)-1,6-dihydropyrimidin-2-yl)2-((1,3-dioxoisoindolin-2-yl)methyl)benzothioate (10g)
S-(4-(4-Aminophenyl)-6-(4-chlorophenyl)-1,6-dihydropyrimidin-2-yl)2-((1,3-dioxoisoindolin-2-yl)methyl)benzothioate (10h)
S-(4-(4-Chlorophenyl)-6-(furan-2-yl)-1,6-dihydropyrimidin-2-yl)2-((1,3-dioxoisoindolin-2-yl)methyl)benzothioate (10i)
S-(4-(4-Aminophenyl)-6-(naphthalen-1-yl)-1,6-dihydropyrimidin-2-yl)2-((1,3-dioxoisoindolin-2-yl)methyl)benzothioate (10j)
5. Conclusions
Supplementary Materials
Author Contributions
Funding
Institutional Review Board Statement
Informed Consent Statement
Data Availability Statement
Conflicts of Interest
References
- Reimann, M.; Bonifaci, E.; Solimena, M.; Schwarz, P.E.; Ludwig, B.; Hanefeld, M.; Bornstein, S.R. An update on preventive and regenerative therapies in diabetes mellitus. Pharmacol. Ther. 2009, 121, 317–331. [Google Scholar] [CrossRef]
- Kitabchi, A.E.; Umpierrez, G.E.; Miles, J.M.; Fisher, J.N. Hyperglycemic crises in adult patients with diabetes. Diabetes Care 2009, 32, 1335–1343. [Google Scholar] [CrossRef]
- He, Z.X.; Zhou, Z.W.; Yang, Y.X.; Yang, T.X.; Pan, S.Y.; Qiu, J.X.; Zhou, S.F. A perspective overview of clinically approved oral antidiabetic agents for the treatment of type 2 diabetes mellitus. Clin. Exp. Pharmacol. Physiol. 2015, 42, 125–138. [Google Scholar] [CrossRef]
- Tahrani, A.A.; Bailey, C.J.; Prato, S.D.; Barnett, A.H. Management of type 2 diabetes: New and future developments in treatment. Lancet 2011, 378, 182–197. [Google Scholar] [CrossRef]
- Moller, D.E. New drug targets for type 2 diabetes and the metabolic syndrome. Nature 2001, 414, 821–827. [Google Scholar] [CrossRef] [PubMed]
- Drucker, D.J. Therapeutic potential of dipeptidyl peptidase IV inhibitors for the treatment of type 2 diabetes. Expet. Opin. Investig. Drugs 2003, 12, 87–100. [Google Scholar] [CrossRef] [PubMed]
- Zhong, J.; Gong, J.; Goud, J.; Srinivasamahraj, A.; Rajagopalan, S. Recent Advances in Dipeptidyl-Peptidase-4 Inhibition Therapy: Lessons from the Bench and Clinical Trials. J. Diabetes Res. 2015, 1–14. [Google Scholar] [CrossRef]
- Aulinger, B.A.; Bedorf, A.G.; Kutscherauer, H.J.; De, J.J.; Holst, G.; Göke, B.; Schirra, J. Defining the role of GLP-1 in the enteroinsulinar axis in type 2 diabetes using DPP-4 inhibition and GLP-1 receptor blockade. Diabetes 2014, 63, 1079–1092. [Google Scholar] [CrossRef]
- Mulvihill, E.E.; Drucker, D.J. Pharmacology, Physiology, and Mechanisms of Action of Dipeptidyl Peptidase-4 Inhibitors. Endocr. Rev. 2014, 35, 992–1019. [Google Scholar] [CrossRef]
- Deacon, C.F. Dipeptidyl peptidase-4 inhibitors in the treatment of type 2 diabetes: A comparative review. Diabetes Obes. Metab. 2011, 13, 7–18. [Google Scholar] [CrossRef]
- Holst, J.J. The physiology of glucagon-like peptide 1. Physiol. Rev. 2007, 87, 1409–1439. [Google Scholar] [CrossRef]
- White, J. Efficacy and safety of incretin based therapies: Clinical trial data. J. Am. Pharm. Assoc. 2009, 49, 30–40. [Google Scholar] [CrossRef] [PubMed]
- Aulifa, D.L.; Adnyana, I.K.; Levita, J.; Sukrasno, S. 4-Hydroxyderricin Isolated from the Sap of Angelica keiskei Koidzumi: Evaluation of Its Inhibitory Activity towards Dipeptidyl Peptidase-IV. Sci. Pharm. 2019, 87, 30. [Google Scholar] [CrossRef]
- Kim, D.; Wang, L.; Beconi, M.; Eiermann, G.J.; Fisher, M.H.; He, H.; Hickey, G.J.; Kowalchick, J.E.; Leiting, B.; Lyons, K.; et al. (2R)-4-oxo-4-[3-(trifluoromethyl)-5,6-dihydro[1,2,4]triazolo[4,3-a]pyrazin-7(8H)-yl]-1-(2,4,5-trifluorophenyl)butan-2-amine: A potent, orally active dipeptidyl peptidase IV inhibitor for the treatment of type 2 diabetes. J. Med. Chem. 2005, 48, 141–151. [Google Scholar] [CrossRef]
- Naik, T.A.; Chikhalia, K.H. Studies on Synthesis of Pyrimidine Derivatives and their Pharmacological Evaluation. E-J. Chem. 2007, 4, 60–66. [Google Scholar] [CrossRef]
- Bhosle, M.R.; Deshmukh, A.R.; Pal, S.; Srivastava, A.K.; Mane, R.A. Synthesis of new thiazolylmethoxyphenyl pyrimidines and antihyperglycemic evaluation of the pyrimidines, analogues isoxazolines and pyrazolines. Bioorg. Med. Chem. Lett. 2015, 25, 2442–2446. [Google Scholar] [CrossRef] [PubMed]
- Keche, A.P.; Hatnapure, G.D.; Tale, R.H.; Rodge, A.H.; Birajdar, S.S.; Kamble, V.M. A novel pyrimidine derivatives with aryl urea, thiourea and sulfonamide moieties: Synthesis, anti-inflammatory and antimicrobial evaluation. Bioorg. Med. Chem. Lett. 2012, 22, 3445–3448. [Google Scholar] [CrossRef]
- Khanage1, S.G.; Raju, S.A.; Mohite, P.B.; Pandhare, R.B. Synthesis and Pharmacological Evaluation of Some New Pyrimidine Derivatives Containing 1,2,4-Triazole. Adv. Pharm. Bull. 2012, 2, 213–222. [Google Scholar] [CrossRef]
- Suresh, L.; Kumar, P.S.V.; Poornachandra, Y.; Kumar, C.G.; Chandramouli, G.V.P. Design, synthesis and evaluation of novel pyrazolo-pyrimido[4,5-d]pyrimidine derivatives as potent antibacterial and biofilm inhibitors. Bioorg. Med. Chem. Lett. 2017, 27, 1451–1457. [Google Scholar] [CrossRef] [PubMed]
- Alam, O.; Khan, S.A.; Siddiqui, N.; Ahsan, W.; Verma, S.P.; Gilani, S.J. Antihypertensive activity of newer 1,4-dihydro-5-pyrimidine carboxamides: Synthesis and pharmacological evaluation. Eur. J. Med. Chem. 2010, 45, 5113–5119. [Google Scholar] [CrossRef]
- Zhang, J.; Peng, J.-F.; Bai, Y.-B.; Wang, P.; Wang, T.; Gao, J.-M.; Zhang, Z.-T. Synthesis of pyrazolo[1,5-a]pyrimidine derivatives and their antifungal activities against phytopathogenic fungi in vitro. Mol. Divers. 2016, 20, 887–896. [Google Scholar] [CrossRef] [PubMed]
- Chitre, T.S.; Kathiravan, M.K.; Chothe, A.S.; Rakholiya, V.K.; Asgaonkar, K.D.; Shital, M. Synthesis and Antitubercular activity of some substituted pyrimidine derivatives. J. Pharm. Res. 2011, 4, 1882–1883. [Google Scholar]
- Jha, V.; Bhadoriya, K.S. Synthesis, pharmacological evaluation and molecular docking studies of pyrimidinedione based DPP-4 inhibitors as antidiabetic agents. J. Mol. Struct. 2018, 1158, 96–105. [Google Scholar] [CrossRef]
- Lia, N.; Wanga, L.-J.; Jianga, B.; Guoa, S.-J.; Lia, X.-Q.; Chene, X.-C.; Luoa, J.; Lia, C.; Wange, Y.; Shia, D.-Y. Design, synthesis and biological evaluation of novel pyrimidinedione derivatives as DPP-4 inhibitors. Bioorg. Med. Chem. Lett. 2018, 28, 2131–2135. [Google Scholar] [CrossRef]
- Kushwaha, N.; Kaushik, D. Recent Advances and Future Prospects of Phthalimide Derivatives. J. Appl. Pharm. Sci. 2016, 6, 159–171. [Google Scholar] [CrossRef]
- Lima, L.M.; Castro, P.; Machado, A.L.; Fraga, C.A.; Lugnier, C.; de Moraes, V.L.; Barreiro, E.J. Synthesis and anti-inflammatory activity of phthalimide derivatives designed as new thalidomide analogues. Bioorg. Med. Chem. 2002, 10, 3067–3073. [Google Scholar] [CrossRef]
- Reddy, C.U.M.; Jayakar, B.; Srinivasan, R. Synthesis and antimicrobial activity of a N-phthalimido and acetimido derivatives from amino acids and anhydrides. Int. J. Pharma Bio Sci. 2010, 1, 81–86. [Google Scholar]
- Sena, V.L.M.; Srivastava, R.M.; Silva, R.O.; Lima, V.L.M. Synthesis and hypolipidemic activity of N-substituted phthalimides. Part V. Farmaco 2003, 58, 1283–1288. [Google Scholar] [CrossRef]
- Kathuria, V.; Pathak, D.P. Synthesis and anticonvulsant activity of some N-substitutedphthalimide analogues. Pharm. Innov. 2012, 1, 55–59. [Google Scholar]
- Sharma, U.; Kumar, P.; Kumar, N.; Singh, B. Recent advances in the chemistry of phthalimide analogues and their therapeutic potential. Mini-Rev. Med. Chem. 2010, 10, 678–704. [Google Scholar] [CrossRef]
- Kok, S.H.; Gambari, R.; Chui, C.H.; Yuen, M.C.; Lin, E.R.S.; Wong, F.Y.; Lau, G.Y.; Cheng, W.S.; Lam, S.H.; Chan, K.H.; et al. Synthesis and anticancer activity of benzothiazole containing phthalimide on human carcinoma cell lines. Bioorg. Med. Chem. 2008, 16, 3626–3631. [Google Scholar] [CrossRef] [PubMed]
- Shimazawa, R.; Takayama, H.; Kato, F.; Kato, M.; Hashimote, Y. Nonpeptide small-molecular inhibitors of dipeptidyl peptidase IV:N-phenylphthalimide analogs. Bioorg. Med. Chem. Lett. 1999, 9, 559–562. [Google Scholar] [CrossRef]
- Motoshima, K.; Sugita, K.; Hashimoto, Y.; Ishikawa, M. Non- competitive and selective dipeptidyl peptidase IV inhibitors with phenethylphenylphthalimide skeleton derived from thalidomide-related a-glucosidase inhibitors and liver X receptor antagonists. Bioorg. Med. Chem. Lett. 2011, 21, 3041–3045. [Google Scholar] [CrossRef]
- Tomovic, K.; Ilic, B.S.; Miljkovic, M.; Dimov, S.; Yancheva, D.; Mavrova, M.K.T.; Kocic, G. Benzo[4,5]thieno[2,3-d]pyrimidine phthalimide derivative, one of the rare noncompetitive inhibitors of dipeptidyl peptidase-4. Arch. Pharm. Chem. Life. Sci. 2020, 353, 1900238. [Google Scholar] [CrossRef] [PubMed]
- Ducki, S. Antimitotic chalcones and related compounds as inhibitors of tubulin assembly. Anti-Cancer Agents Med. Chem. 2009, 9, 336–347. [Google Scholar] [CrossRef] [PubMed]
- Bornstein, J.; Bedell, S.F.; Drummond, P.E.; Kosloski, C.L. The synthesis of α-amino-o-tolualdehyde diethylacetal and its attempted conversion to pseudoisoindole. J. Amer. Chem. Soc. 1955, 78, 83–86. [Google Scholar] [CrossRef]
- Nabeno, M.; Akahoshi, F.; Kishida, H. A comparative study of the binding modes of recently launched dipeptidyl peptidase IV inhibitors in the active site. Biochem. Biophys. Res. Commun. 2013, 434, 191–196. [Google Scholar] [CrossRef]
- Hiramatsu, H.; Yamamoto, A.; Kyono, K. The crystal structure of human dipeptidyl peptidase IV (DPPIV) complex with diprotin A. Bio. Chem. 2004, 385, 561–564. [Google Scholar] [CrossRef]
- Banno, Y.; Miyamoto, Y.; Sasaki, M.; Oi, S.; Asakawa, T.O.; Kataoka, K.; Takeuchi, N.; Suzuki, K.I.; Kosaka, T.; Tsubotani, S.; et al. Identification of 3-aminomethyl-1,2-dihydro-4-phenyl-1-isoquinolones: A new class of potent, selective, and orally active non-peptide dipeptidyl peptidase IV inhibitors that form a unique interaction with Lys554. Bioorg. Med. Chem. 2011, 19, 4953–4970. [Google Scholar] [CrossRef]
- Ojeda-Montes, M.J.; Gimeno, A.; Tomas-Hernández, S.; Cereto-Massagué, A.; Beltrán-Debón, R.; Valls, C.; Mulero, M.; Pujadas, G.; Garcia-Vallvé, S. Activity and selectivity cliffs for DPP-IV inhibitors: Lessons we can learn from SAR studies and their application to virtual screening. Med. Res. Rev. 2018, 38, 1874–1915. [Google Scholar] [CrossRef]
- Maezaki, H.; Tawada, M.; Yamashita, B.T.; Miyamoto, Y.Y.; Yamamoto, Y.; Ikedo, K.; Kosaka, T.; Tsubotani, S.A.; Tani, T.; Asakawa, N.; et al. Design of potent dipeptidyl peptidase IV (DPP-4) inhibitors by employing a strategy to form a salt bridge with Lys554. Bioorg. Med. Chem. Lett. 2017, 27, 3565–3571. [Google Scholar] [CrossRef] [PubMed]
- Li, S.; Xu, H.; Cui, S.; Wu, F.; Zhang, Y.; Su, M.; Gong, Y.; Qiu, S.; Jiao, Q.; Qin, C.; et al. Discovery and rational design of natural-product-derived 2-Phenyl-3,4-dihydro-2H-benzo[f]chromen-3-amine analogs as novel and potent dipeptidyl peptidase 4 (DPP-4) inhibitors for the treatment of type 2 diabetes. J. Med. Chem. 2016, 59, 6772–6790. [Google Scholar] [CrossRef]
- Ji, X.; Su, M.; Wang, J.; Deng, G.; Deng, S.; Li, Z.; Tang, C.; Li, J.; Li, J.; Zhao, L.; et al. Design, synthesis and biological evaluation of hetero-aromatic moieties substituted pyrrole-2-carbonitrile derivatives as dipeptidyl peptidase IV inhibitors. Eur. J. Med. Chem. 2014, 75, 111–122. [Google Scholar] [CrossRef] [PubMed]
- Li, S.; Qin, C.; Cui, S.; Xu, H.; Wu, F.; Wang, J.; Su, M.; Fang, X.; Li, D.; Jiao, Q. Discovery of a naturalproduct-derived preclinical candidate for once-weekly treatment of type 2 diabetes. J. Med. Chem. 2019, 62, 2348–2361. [Google Scholar] [CrossRef]
- Kim, S.; Wanibuchi, H.; Hamaguchi, A.; Miura, K.; Yamanaka, S.; Iwao, H. Angiotensin blockade improves cardiac and renal complications of type II diabetic rats. Hypertension 1997, 30, 1054–1061. [Google Scholar] [CrossRef]
- Qiu, X.; Yang, S.; Liu, W.; Zhu, H. (E)-1-(4-Chlorophenyl)-3-(4-methoxyphenyl)prop-2-en-1-one. Acta Cryst. 2006, E62, 1627–1628. [Google Scholar] [CrossRef]
- Wang, L.; Yang, W.; Zhang, D. 1,3-Bis(4-chlorophenyl)prop-2-en-1-one. Acta Cryst. E 2005, 61, 2820–2822. [Google Scholar] [CrossRef]
- Asiri, A.M.; Karabacak, M.; Sakthivel, S.; Al-youbi, A.O.; Muthu, S.; Hamed, S.A.; Renuga, S.; Alagesan, T. Synthesis, molecular structure, spectral investigation on (E)-1-(4-bromophenyl)-3-(4-(dimethylamino) phenyl) prop-2-en-1-one. J. Mol. Str. 2016, 1103, 145–155. [Google Scholar] [CrossRef]
- Yamuna, T.S.; Yathirajan, H.S.; Jasinski, J.P.; Keeley, A.C.; Narayana, B.; Sarojini, B.K. (2E)-1- (4-Chlorophenyl)-3-(4-nitrophenyl)prop-2-en-1-one. Acta Cryst. E 2013, 69, 790–791. [Google Scholar] [CrossRef] [PubMed]
- Patil, P.S.; Teh, J.B.; Fun, H.K.; Abdul Razak, I.; Dharmaprakash, S.M. 3-(4-Methoxyphenyl)-1-(4-nitrophenyl)prop-2-en-1-one. Acta Cryst. E 2006, 62, 896–898. [Google Scholar] [CrossRef]
- Fichou, D.; Watanabe, T.; Takeda, T.; Miyata, S.; Goto, y.; Nakayama, M. Influence of the ring substitution on the second harmonic generation of chalcone derivatives. Jap. J. App. Phys. 1988, 27, 429–430. [Google Scholar] [CrossRef]
- Safaei-Ghomi, J.; Ghasemzadeh, M.A. Ultrasound-assisted synthesis of dihydropyrimidine-2-thiones. J. Serb. Chem. Soc. 2011, 76, 679–684. [Google Scholar] [CrossRef]
- Al-Hajjar, F.H.; Al-Farkh, Y.A.; Hammoud, H.S. Synthesis and spectroscopic studies of the pyrimidine-2(1H)-thione derivatives. Can. J. Chem. 1979, 57, 2734–2742. [Google Scholar] [CrossRef]
- Ghomi, J.; Ghasemzadeh, M.A. Preparation of 4,6-diaryl-3,4-dihydropyrimidine-2(1H)-thiones in an ionic liquid. Org. Prep. Proc. Int. 2012, 44, 527–531. [Google Scholar] [CrossRef]
- Desai, N.C.; Pandya, D.D.; Satodiya, H.M.; Rajpara, K.M.; Joshi, V.V.; Vaghani, H.V. An efficient, solvent free microwave-assisted synthesis and antimicrobial screening of 1,6-dihydropyrimidine analogues. Med. Chem. Res. 2012, 21, 4412–4421. [Google Scholar] [CrossRef]









| Compound No. | DPP-4 IC50 (nM) * | DPP-8 IC50 (µM) * | DPP-9 IC50 (µM) * |
|---|---|---|---|
| 10a | 19.74 ± 1.27 | >100 | >100 |
| 10b | 3.78 ± 0.23 | >100 | >100 |
| 10c | 14.71 ± 0.82 | >100 | >100 |
| 10d | 2.19 ± 0.14 | >100 | >100 |
| 10e | 1.42 ± 0.11 | >100 | >100 |
| 10f | 31.52 ± 2.41 | >100 | >100 |
| 10g | 0.51 ± 0.03 | >100 | >100 |
| 10h | 10.37 ± 0.54 | >100 | >100 |
| 10i | 0.66 ± 0.04 | >100 | >100 |
| 10j | 7.35 ± 0.36 | >100 | >100 |
| Alogliptin | 5.71 ± 0.21 | >100 | >100 |
| Compound No. (100 µM) | % DPPH Scavenging * |
|---|---|
| 10a | 73.85 ± 2.46 |
| 10b | 74.28 ± 1.69 |
| 10c | 52.39 ± 0.93 |
| 10d | 80.16 ± 1.38 |
| 10e | 87.21 ± 2.58 |
| 10f | 57.63 ± 2.14 |
| 10g | 49.47 ± 1.08 |
| 10h | 85.74 ± 2.76 |
| 10i | 69.11 ± 1.44 |
| 10j | 93.52 ± 1.65 |
| Compound No. | Types of Interactions | Energy Scores |
|---|---|---|
| 10a | - One hydrogen bonding interaction with Arg 125 (3.14 Å). | −8.68 |
| 10b | - One π-cation interaction with Lys 554 (4.06 Å) - One π-hydrogen bonding interaction with Trp 629 (4.23 Å). | −9.12 |
| 10c | - Two hydrogen bonding interaction with Arg 125 and Tyr 547 (3.18 Å, 2.77 Å). - One π-hydrogen bonding interaction with His 126 (4.03 Å). | −7.74 |
| 10d | - Three hydrogen bonding interaction with Arg 125 (2.85 Å, 3.01 Å, 3.22 Å). - One hydrogen bonding interaction with Tyr 457 (2.71 Å). - One π-hydrogen bonding interaction with Tyr 547 (4.20 Å). | −8.14 |
| 10e | -Three hydrogen bonding interaction with Arg 125 (2.83 Å, 3.01 Å, 3.24 Å). - One hydrogen bonding interaction with Tyr 547 (2.73 Å). | −8.15 |
| 10f | - One hydrogen bonding interaction with Asp 545 (3.14 Å). - One π-cation interaction with Lys 554 (4.87 Å). | −7.74 |
| 10g | - Two hydrogen bonding interaction with Lys 554 and Glu 206 (2.97 Å and 3.09 Å). | −9.45 |
| 10h | - Two hydrogen bonding interaction with ASP 545 and VAL 546 (3.07 Å and 2.83 Å). | −9.32 |
| 10i | - Two hydrogen bonding interaction with Tyr 547 and Glu 206 (2.89 Å and 3.63 Å). - Two hydrogen bonding interaction with Arg 125 (3.34 Å and 2.91 Å). | −8.50 |
| 10j | - Three hydrogen bonding interaction with Glu 205, Glu 206 and Tyr 631 (3.16 Å, 3.12 Å and 3.53 Å). - One H-π interaction with Trp 629 (4.33 Å). - One π-H interaction with Tyr 456 (4.21 Å). | −7.72 |
| Alogliptin | - Five hydrogen bonding interaction with Glu 205, Glu 206, Tyr 631, Arg 125 (2.78 Å and 2.96 Å, 2.90 Å, 3.35 Å and 2.97 Å). - Three ionic bond with Glu 206 and Glu 205 (2.96 Å, 2.90 Å and 3.95 Å). | −7.92 |
Publisher’s Note: MDPI stays neutral with regard to jurisdictional claims in published maps and institutional affiliations. |
© 2021 by the authors. Licensee MDPI, Basel, Switzerland. This article is an open access article distributed under the terms and conditions of the Creative Commons Attribution (CC BY) license (http://creativecommons.org/licenses/by/4.0/).
Share and Cite
Mourad, A.A.E.; Khodir, A.E.; Saber, S.; Mourad, M.A.E. Novel Potent and Selective DPP-4 Inhibitors: Design, Synthesis and Molecular Docking Study of Dihydropyrimidine Phthalimide Hybrids. Pharmaceuticals 2021, 14, 144. https://doi.org/10.3390/ph14020144
Mourad AAE, Khodir AE, Saber S, Mourad MAE. Novel Potent and Selective DPP-4 Inhibitors: Design, Synthesis and Molecular Docking Study of Dihydropyrimidine Phthalimide Hybrids. Pharmaceuticals. 2021; 14(2):144. https://doi.org/10.3390/ph14020144
Chicago/Turabian StyleMourad, Ahmed A. E., Ahmed E. Khodir, Sameh Saber, and Mai A. E. Mourad. 2021. "Novel Potent and Selective DPP-4 Inhibitors: Design, Synthesis and Molecular Docking Study of Dihydropyrimidine Phthalimide Hybrids" Pharmaceuticals 14, no. 2: 144. https://doi.org/10.3390/ph14020144
APA StyleMourad, A. A. E., Khodir, A. E., Saber, S., & Mourad, M. A. E. (2021). Novel Potent and Selective DPP-4 Inhibitors: Design, Synthesis and Molecular Docking Study of Dihydropyrimidine Phthalimide Hybrids. Pharmaceuticals, 14(2), 144. https://doi.org/10.3390/ph14020144

