Accuracy of a Novel Smartphone-Based Log Measurement App in the Prototyping Phase
Abstract
1. Introduction
2. Materials and Methods
2.1. App Description and Data Used in This Study
2.2. Location of the Study
2.3. Experimental Design and Data Collection
2.4. Data Processing
2.5. Data Analysis
3. Results
3.1. Log Biometrics Based on Manual Measurement
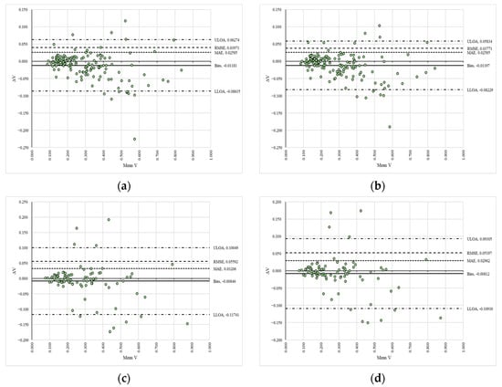
3.2. Trends, Agreement, and Differences in the Algorithm’s Estimates
3.3. Trends, Agreement, and Differences in the Replicates
3.4. Trends, Agreement, and Differences Between the Raters
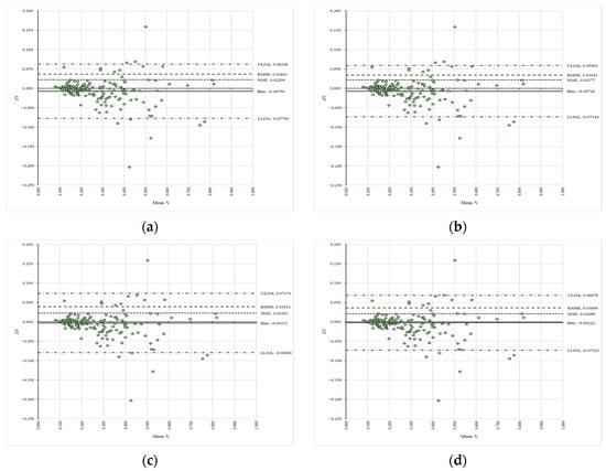
3.5. Agreement Between Digital and Manual Data
3.6. Time Efficiency
4. Discussion
5. Conclusions
Supplementary Materials
Author Contributions
Funding
Institutional Review Board Statement
Informed Consent Statement
Data Availability Statement
Acknowledgments
Conflicts of Interest
References
- Digitalisation in Europe—2024 Edition. Available online: https://ec.europa.eu/eurostat/web/interactive-publications/digitalisation-2024 (accessed on 8 July 2025).
- Rijswijk, K.; Klerkx, L.; Bacco, M.; Bartolini, F.; Bulten, E.; Debruyne, L.; Dessein, J.; Scotti, I.; Brunori, G. Digital transformation of agriculture and rural areas: A socio-cyber-physical system framework to support responsibilisation. J. Rural Stud. 2021, 85, 79–90. [Google Scholar] [CrossRef]
- Ferrari, A.; Bacco, M.; Gaber, K.; Jedlitschka, A.; Hess, S.; Kaipainen, J.; Koltsida, P.; Toli, E.; Brunori, G. Drivers, barriers and impacts of digitalisation in rural areas from the viewpoint of experts. Inf. Softw. Technol. 2022, 145, 106816. [Google Scholar] [CrossRef]
- Király, K.; Dunai, L.; Calado, L.; Kocsis, A.B. Demountable shear connectors–constructional details and push-out tests. ce/papers 2023, 6, 53–58. [Google Scholar] [CrossRef]
- Bonke, V.; Fecke, W.; Michels, M.; Musshoff, O. Willingness to pay for smartphone apps facilitating sustainable crop protection. Agron. Sustain. Dev. 2018, 38, 51. [Google Scholar] [CrossRef]
- DESIRA. Digitisation: Economic and Social Impacts on Rural Areas. Available online: https://desira2020.agr.unipi.it/ (accessed on 8 July 2025).
- Baumüller, H. The little we know: An exploratory literature review on the utility of mobile phone-enabled services for smallholder farmers. J. Int. Dev. 2018, 30, 134–154. [Google Scholar] [CrossRef]
- Sivakumar, S.; Bijoshkumar, G.; Rajasekharan, A.; Panicker, V.; Paramasivam, S.; Manivasagam, V.S.; Manalil, S. Evaluating the expediency of smartphone applications for Indian farmers and other stakeholders. AgriEngineering 2022, 4, 656–673. [Google Scholar] [CrossRef]
- Nyakonda, T.; Tsietsi, M.; Terzoli, A.; Dlodlo, N. An RFID flock management system for rural areas. In Proceedings of the 2019 Open Innovations (OI), Cape Town, South Africa, 2–4 October 2019; IEEE: New York, NY, USA, 2019; pp. 78–82. [Google Scholar] [CrossRef]
- Delgado, F.J.; Delgado, J.; González-Crespo, J.; Cava, R.; Ramírez, R. High-pressure processing of a raw milk cheese improved its food safety maintaining the sensory quality. Food Sci. Technol. Int. 2013, 19, 493–501. [Google Scholar] [CrossRef]
- Michels, M.; Bonke, V.; Musshoff, O. Understanding the adoption of smartphone apps in dairy herd management. J. Dairy Sci. 2019, 102, 9422–9434. [Google Scholar] [CrossRef]
- Eichler Inwood, S.E.; Dale, V.H. State of apps targeting management for sustainability of agricultural landscapes. A review. Agron. Sustain. Dev. 2019, 39, 8. [Google Scholar] [CrossRef]
- Magnuson, R.; Erfanifard, Y.; Kulicki, M.; Gasica, T.A.; Tangwa, E.; Mielcarek, M.; Stereńczak, K. Mobile Devices in Forest Mensuration: A Review of Technologies and Methods in Single Tree Measurements. Remote Sens. 2024, 16, 3570. [Google Scholar] [CrossRef]
- Borz, S.A.; Morocho Toaza, J.M.; Forkuo, G.O.; Marcu, M.V. Potential of Measure app in estimating log biometrics: A comparison with conventional log measurement. Forests 2022, 13, 1028. [Google Scholar] [CrossRef]
- Niţă, M.D.; Borz, S.A. Accuracy of a Smartphone-based freeware solution and two shape reconstruction algorithms in log volume measurements. Comput. Electron. Agric. 2023, 205, 107653. [Google Scholar] [CrossRef]
- Tatsumi, S.; Yamaguchi, K.; Furuya, N. ForestScanner: A mobile application for measuring and mapping trees with LiDAR-equipped iPhone and iPad. Methods Ecol. Evol. 2023, 14, 1603–1609. [Google Scholar] [CrossRef]
- Häkli, J.; Sirkka, A.; Jaakkola, K.; Puntanen, V.; Nummila, K. Challenges and Possibilities of RFID in the Forest Industry. In Radio Frequency Identification from System to Applications; IntechOpen: London, UK, 2013. [Google Scholar] [CrossRef][Green Version]
- He, Z.; Turner, P. A systematic review on technologies and industry 4.0 in the forest supply chain: A framework identifying challenges and opportunities. Logistics 2021, 5, 88. [Google Scholar] [CrossRef]
- Figorilli, S.; Antonucci, F.; Costa, C.; Pallottino, F.; Raso, L.; Castiglione, M.; Pinci, E.; Menesatti, P. A blockchain implementation prototype for the electronic open source traceability of wood along the whole supply chain. Sensors 2018, 18, 3133. [Google Scholar] [CrossRef]
- SINTETIC: Harnessing the Digital Revolution in the Forest-Based Sector. Available online: https://sinteticproject.eu/ (accessed on 30 April 2025).
- Ulrich, K.T.; Eppinger, S.D. Product Design and Development, 6th ed.; McGraw-Hill: New York, NY, USA, 2016. [Google Scholar]
- Apple Developer Documentation, n.d. Capturing Depth Using the LiDAR Camera. Available online: https://developer.apple.com/documentation/avfoundation/capturing-depth-using-the-lidar-camera (accessed on 30 April 2025).
- Fischler, M.A.; Bolles, R.C. Random sample consensus: A paradigm for model fitting with applications to image analysis and automated cartography. Commun. ACM 1981, 24, 381–395. [Google Scholar] [CrossRef]
- Björheden, R.; Thompson, M.A. An international nomenclature for forest work study. In Proceedings, IUFRO 1995 S3: 04 Subject Area: 20th World Congress, Caring for the Forest: Research in a Changing World. August 1995 6–12; Tampere, Finland. Miscellaneous Report 422; University of Maine: Orono, ME, USA, 2000; pp. 190–215. [Google Scholar]
- Shapiro, S.S.; Wilk, M.B. An analysis of variance test for normality (complete samples). Biometrika 1965, 52, 591–611. [Google Scholar] [CrossRef]
- Breusch, T.S.; Pagan, A.R. A simple test for heteroscedasticity and random coefficient variation. Econom. J. Econom. Soc. 1979, 47, 1287–1294. [Google Scholar] [CrossRef]
- White, H. A heteroskedasticity-consistent covariance matrix estimator and a direct test for heteroskedasticity. Econom. J. Econom. Soc. 1980, 48, 817–838. [Google Scholar] [CrossRef]
- Eisenhauer, J.G. Regression through the origin. Teach. Stat. 2003, 25, 76–80. [Google Scholar] [CrossRef]
- Bland, J.M.; Altman, D.G. Measuring agreement in method comparison studies. Stat. Methods Med. Res. 1999, 8, 135–160. [Google Scholar] [CrossRef] [PubMed]
- Heckman, J.; Ichimura, H.; Smith, J.; Todd, P. Characterizing selection bias using experimental data. Econometrica 1998, 66, 1017–1098. [Google Scholar] [CrossRef]
- Ross, M.G.; Russ, C.; Costello, M.; Hollinger, A.; Lennon, N.J.; Hegarty, R.; Nusbaum, C.; Jaffe, D.B. Characterizing and measuring bias in sequence data. Genome Biol. 2013, 14, R51. [Google Scholar] [CrossRef] [PubMed]
- Willmott, C.J.; Matsuura, K. Advantages of the mean absolute error (MAE) over the root mean square error (RMSE) in assessing average model performance. Clim. Res. 2005, 30, 79–82. [Google Scholar] [CrossRef]
- Chai, T.; Draxler, R.R. Root mean square error (RMSE) or mean absolute error (MAE)?-Arguments against avoiding RMSE in the literature. Geosci. Model Dev. 2014, 7, 1247–1250. [Google Scholar] [CrossRef]
- Karunasingha, D.S.K. Root mean square error or mean absolute error? Use their ratio as well. Inf. Sci. 2022, 585, 609–629. [Google Scholar] [CrossRef]
- Mann, H.B.; Whitney, D.R. On a test of whether one of two random variables is stochastically larger than the other. Ann. Math. Stat. 1947, 18, 50–60. [Google Scholar] [CrossRef]
- Bergmann, R.; Ludbrook, J.; Spooren, W.P. Different outcomes of the Wilcoxon-Mann-Whitney test from different statistics packages. Am. Stat. 2000, 54, 72–77. [Google Scholar] [CrossRef]
- MacFarland, T.W.; Yates, J.M. Introduction to Nonparametric Statistics for the Biological Sciences Using R; Springer: Cham, Switzerland, 2016; pp. 103–132. [Google Scholar] [CrossRef]
- Zaiontz, C. Real Statistics Resource Pack for Excel. 2025. Available online: https://real-statistics.com/ (accessed on 2 April 2025).
- Kazhdan, M.; Chuang, M.; Rusinkiewicz, S.; Hoppe, H. Poisson surface reconstruction with envelope constraints. Comput. Graph. Forum 2020, 39, 173–182. [Google Scholar] [CrossRef]
- de Miguel-Díez, F.; Reder, S.; Wallor, E.; Bahr, H.; Blasko, L.; Mund, J.P.; Cremer, T. Further application of using a personal laser scanner and simultaneous localization and mapping technology to estimate the log’s volume and its comparison with traditional methods. Int. J. Appl. Earth Obs. Geoinf. 2022, 109, 102779. [Google Scholar] [CrossRef]
- Purfürst, T.; de Miguel-Díez, F.; Berendt, F.; Engler, B.; Cremer, T. Comparison of Wood Stack Volume Determination between Manual, Photo-Optical, iPad-LiDAR and Handheld-LiDAR Based Measurement Methods. Iforest-Biogeosciences For. 2023, 16, 243. [Google Scholar] [CrossRef]
- Fonweban, J.N. Effect of log formula, log length and method of measurement on the accuracy of volume estimates for three tropical timber species in Cameroon. Commonw. For. Rev. 1997, 76, 114–120. [Google Scholar]
- Ahmad, S.S.S.; Mushar, S.H.M.; Shari, N.H.Z.; Kasmin, F. A Comparative study of log volume estimation by using statistical method. Educ. J. Sci. Math. Technol. 2020, 7, 22–28. [Google Scholar] [CrossRef]
- Xu, M.; Chen, S.; Xu, S.; Mu, B.; Ma, Y.; Wu, J.; Zhao, Y. An accurate handheld device to measure log diameter and volume using machine vision technique. Comput. Electron. Agric. 2024, 224, 109130. [Google Scholar] [CrossRef]
- Gollob, C.; Ritter, T.; Kraßnitzer, R.; Tockner, A.; Nothdurft, A. Measurement of forest inventory parameters with Apple iPad Pro and integrated LiDAR sensor. Remote Sens. 2021, 13, 3129. [Google Scholar] [CrossRef]
- Kärhä, K.; Nurmela, S.; Karvonen, H.; Kivinen, V.P.; Melkas, T.; Nieminen, M. Estimating the accuracy and time consumption of a mobile machine vision application in measuring timber stacks. Comput. Electron. Agric. 2019, 158, 167–182. [Google Scholar] [CrossRef]
- Gollob, C.; Ritter, T.; Nothdurft, A. Forest inventory with long range and high-speed personal laser scanning (PLS) and simultaneous localization and mapping (SLAM) technology. Remote Sens. 2020, 12, 1509. [Google Scholar] [CrossRef]
- Shao, J.; Lin, Y.C.; Wingren, C.; Shin, S.Y.; Fei, W.; Carpenter, J.; Habib, A.; Fei, S. Large-scale inventory in natural forests with mobile LiDAR point clouds. Sci. Remote Sens. 2024, 10, 100168. [Google Scholar] [CrossRef]
- Moskalik, T.; Tymendorf, Ł.; van der Saar, J.; Trzciński, G. Methods of wood volume determining and its implications for forest transport. Sensors 2022, 22, 6028. [Google Scholar] [CrossRef]
- Ferketich, S. Internal consistency estimates of reliability. Res. Nurs. Health 1990, 13, 437–440. [Google Scholar] [CrossRef]
- Koo, T.K.; Li, M.Y. A guideline of selecting and reporting intraclass correlation coefficients for reliability research. J. Chiropr. Med. 2016, 15, 155–163. [Google Scholar] [CrossRef]
- Tavakol, M.; Dennick, R. Making sense of Cronbach’s alpha. Int. J. Med. Educ. 2011, 2, 53–55. [Google Scholar] [CrossRef] [PubMed]
- Strandgard, M. Evaluation of manual log measurement errors and its implications on harvester log measurement accuracy. Int. J. For. Eng. 2009, 20, 9–16. [Google Scholar] [CrossRef]
- Gwet, K.L. Intrarater reliability. Wiley Encycl. Clin. Trials 2008, 4, 473–485. [Google Scholar] [CrossRef]
- Söderberg, J.; Wallerman, J.; Persson, H.J.; Ståhl, G. Sources of error in manual forest inventory measurements. Scand. J. For. Res. 2015, 30, 611–620. [Google Scholar]
- Bate, L.J.; Torgersen, T.R.; Wisdom, M.J.; Garton, E.O. Biased estimation of forest log characteristics using intersect diameters. For. Ecol. Manag. 2009, 258, 635–640. [Google Scholar] [CrossRef]
- Forkuo, G.O.; Borz, S.A. Intra-and Inter-Rater Reliability in Log Volume Estimation Based on Lidar Data and Shape Reconstruction Algorithms: A Case Study on Poplar Logs. SSRN 4948247. 2024. Available online: https://papers.ssrn.com/sol3/papers.cfm?abstract_id=4948247 (accessed on 15 September 2025).
- Gwet, K.L. Handbook of Inter-Rater Reliability: The Definitive Guide to Measuring the Extent of Agreement Among Raters; Advanced Analytics, LLC: Oxford, MS, USA, 2014. [Google Scholar]
- Kottner, J.; Audigé, L.; Brorson, S.; Donner, A.; Gajewski, B.J.; Hróbjartsson, A.; Roberts, C.; Shoukri, M.; Streiner, D.L. Guidelines for reporting reliability and agreement studies (GRRAS) were proposed. J. Clin. Epidemiol. 2011, 64, 96–106. [Google Scholar] [CrossRef]
- Di Stefano, F.; Chiappini, S.; Gorreja, A.; Balestra, M.; Pierdicca, R. Mobile 3D scan LiDAR: A literature review. Geomat. Nat. Hazards Risk 2021, 12, 2387–2429. [Google Scholar] [CrossRef]
- Raj, T.; Hanim Hashim, F.; Baseri Huddin, A.; Ibrahim, M.F.; Hussain, A. A survey on LiDAR scanning mechanisms. Electronics 2020, 9, 741. [Google Scholar] [CrossRef]
- Nurminen, T.; Korpunen, H.; Uusitalo, J. Time consumption of timber measurement and quality assessment in roadside scaling. Silva Fenn. 2006, 40, 533–547. [Google Scholar] [CrossRef]
- Spinelli, R.; Magagnotti, N.; Schweier, J.; O’Neal, J.; Kanzian, C.; Kühmaier, M. Time consumption and productivity of mechanized and manual log-making in forest operations. Comput. Electron. Agric. 2016, 128, 154–162. [Google Scholar]
- Borz, S.A.; Proto, A.R. Application and accuracy of smart technologies for measurements of roundwood: Evaluation of time consumption and efficiency. Comput. Electron. Agric. 2022, 197, 106990. [Google Scholar] [CrossRef]
- Moik, L.; Gollob, C.; Ofner-Graff, T.; Sarkleti, V.; Ritter, T.; Tockner, A.; Witzmann, S.; Kraßnitzer, R.; Stampfer, K.; Nothdurft, A. Measurement of sawlog stacks on an individual log basis using LiDAR. Comput. Electron. Agric. 2025, 237, 110493. [Google Scholar] [CrossRef]
- Costa, C.; Figorilli, S.; Proto, A.R.; Colle, G.; Sperandio, G.; Gallo, P.; Antonucci, F.; Pallottino, F.; Menesatti, P. Digital stereovision system for dendrometry, georeferencing and data management. Biosyst. Eng. 2018, 174, 126–133. [Google Scholar] [CrossRef]
- Michels, M.; Fecke, W.; Feil, J.H.; Musshoff, O.; Pigisch, J.; Krone, S. Smartphone adoption and use in agriculture: Empirical evidence from Germany. Precis. Agric. 2020, 21, 403–425. [Google Scholar] [CrossRef]





| Dependent Variable | Independent Variable | Number of Observations | Parameters of the Model for Actual Values | Parameters of the Model for Differences |
|---|---|---|---|---|
| VAPP2_S1R1 | VAPP1_S1R1 | 155 | C = 1.0041 R2 = 0.9996 | C = −0.0041 R2 = 0.0430 |
| VAPP2_S1R2 | VAPP1_S1R2 | 155 | C = 1.0006 R2 = 0.9998 | C = −0.0006 R2 = 0.0014 |
| VAPP2_S2R1 | VAPP1_S2R1 | 155 | C = 1.0035 R2 = 0.9999 | C = −0.0035 R2 = 0.0844 |
| VAPP2_S2R2 | VAPP1_S2R2 | 89 | C = 0.9994 R2 = 0.9996 | C = −0.0006 R2 = 0.0009 |
| Dependent Variable | Independent Variable | Number of Observations | Parameters of the Model for Actual Values | Parameters of the Model for Differences |
|---|---|---|---|---|
| VAPP1_S1R2 | VAPP1_S1R1 | 155 | C = 1.0231 R2 = 0.9888 | C = −0.0231 R2 = 0.0431 |
| VAPP2_S1R2 | VAPP2_S1R1 | 155 | C = 1.0199 R2 = 0.9900 | C = −0.0199 R2 = 0.0364 |
| VAPP1_S2R2 | VAPP1_S2R1 | 89 | C = 1.0117 R2 = 0.9867 | C = −0.0017 R2 = 0.0098 |
| VAPP2_S2R2 | VAPP2_S2R1 | 89 | C = 1.0082 R2 = 0.9886 | C = −0.0082 R2 = 0.0057 |
| Dependent Variable | Independent Variable | Number of Observations | Parameters of the Model for Actual Values | Parameters of the Model for Differences |
|---|---|---|---|---|
| VAPP1_S2R1 | VAPP1_S1R1 | 155 | C = 1.0432 R2 = 0.9884 | C = −0.0432 R2 = 0.1270 |
| VAPP2_S2R1 | VAPP2_S1R1 | 155 | C = 1.0431 R2 = 0.9898 | C = −0.0431 R2 = 0.1417 |
| VAPP1_S2R2 | VAPP1_S1R2 | 89 | C = 1.0321 R2 = 0.9732 | C = −0.0458 R2 = 0.0737 |
| VAPP2_S2R2 | VAPP2_S1R2 | 89 | C = 1.0338 R2 = 0.9773 | C = −0.0102 R2 = 0.0083 |
| Dependent Variable | Independent Variable | Number of Observations | Parameters of the Model for Actual Values |
|---|---|---|---|
| VAPP1_S1R1 | VH | 155 | C = 1.0924 R2 = 0.9848 |
| VAPP2_S1R1 | VH | 155 | C = 1.0978 R2 = 0.9860 |
| VAPP1_S1R2 | VH | 155 | C = 1.1236 R2 = 0.9843 |
| VAPP2_S1R2 | VH | 155 | C = 1.1248 R2 = 0.9849 |
| VAPP1_S2R1 | VH | 155 | C = 1.1509 R2 = 0.9928 |
| VAPP2_S2R1 | VH | 155 | C = 1.1551 R2 = 0.9929 |
| VAPP1_S2R2 | VH | 89 | C = 1.1659 R2 = 0.9806 |
| VAPP2_S2R2 | VH | 89 | C = 1.1664 R2 = 0.9824 |
| Dependent Variable | Independent Variable | Number of Observations | Bias | MAE | RMSE |
|---|---|---|---|---|---|
| VAPP1_S1R1 | VH | 155 | −0.0286 | 0.0353 | 0.0489 |
| VAPP2_S1R1 | VH | 155 | −0.0292 | 0.0357 | 0.0487 |
| VAPP1_S1R2 | VH | 155 | −0.0362 | 0.0406 | 0.0559 |
| VAPP2_S1R2 | VH | 155 | −0.0364 | 0.0405 | 0.0557 |
| VAPP1_S2R1 | VH | 155 | −0.0404 | 0.0430 | 0.0536 |
| VAPP2_S2R1 | VH | 155 | −0.0412 | 0.0437 | 0.0546 |
| VAPP1_S2R2 | VH | 89 | −0.0417 | 0.0495 | 0.0668 |
| VAPP2_S2R2 | VH | 89 | −0.0416 | 0.0492 | 0.0654 |
| Variable | Minimum Value | Maximum Value | Mean Value | Median Value | Coefficient of Variation |
|---|---|---|---|---|---|
| TM (s) | 21 | 89 | 31.11 | 29.00 | 25.19 |
| ATM (s) | 17 | 29 | 20.94 | 21.00 | 10.22 |
Disclaimer/Publisher’s Note: The statements, opinions and data contained in all publications are solely those of the individual author(s) and contributor(s) and not of MDPI and/or the editor(s). MDPI and/or the editor(s) disclaim responsibility for any injury to people or property resulting from any ideas, methods, instructions or products referred to in the content. |
© 2025 by the authors. Licensee MDPI, Basel, Switzerland. This article is an open access article distributed under the terms and conditions of the Creative Commons Attribution (CC BY) license (https://creativecommons.org/licenses/by/4.0/).
Share and Cite
Elias, M.; Forkuo, G.O.; Picchi, G.; Nati, C.; Borz, S.A. Accuracy of a Novel Smartphone-Based Log Measurement App in the Prototyping Phase. Sensors 2025, 25, 5847. https://doi.org/10.3390/s25185847
Elias M, Forkuo GO, Picchi G, Nati C, Borz SA. Accuracy of a Novel Smartphone-Based Log Measurement App in the Prototyping Phase. Sensors. 2025; 25(18):5847. https://doi.org/10.3390/s25185847
Chicago/Turabian StyleElias, Mirella, Gabriel Osei Forkuo, Gianni Picchi, Carla Nati, and Stelian Alexandru Borz. 2025. "Accuracy of a Novel Smartphone-Based Log Measurement App in the Prototyping Phase" Sensors 25, no. 18: 5847. https://doi.org/10.3390/s25185847
APA StyleElias, M., Forkuo, G. O., Picchi, G., Nati, C., & Borz, S. A. (2025). Accuracy of a Novel Smartphone-Based Log Measurement App in the Prototyping Phase. Sensors, 25(18), 5847. https://doi.org/10.3390/s25185847

