Dual-Band Planar Microwave Solid Complex Dielectric Constant Sensor System Based on E-Interdigital Structure
Abstract
1. Introduction
2. Proposed Sensing Probe Configuration
2.1. The Structure of the Sensing Probe
| Dimensions | Value (mm) | Dimensions | Value (mm) |
|---|---|---|---|
| L1 | 21.00 | G1 | 0.20 |
| L2 | 8.00 | G2 | 0.40 |
| L3 | 1.00 | G3 | 0.20 |
| W1 | 2.47 | H1 | 0.018 |
| W2 | 12.27 | H2 | 0.018 |
| W3 | 2.50 | H3 | 0.80 |
2.2. The Operating Principle and Equivalent Circuit
3. Measurement Details of the Dielectric Constant
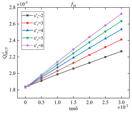
3.1. The Polynomial Fitting of the
3.2. The Rational Taylor Fitting of the
4. Experimental Part
4.1. System Working Principle
4.2. Measurement Result
5. Conclusions
Author Contributions
Funding
Institutional Review Board Statement
Informed Consent Statement
Data Availability Statement
Conflicts of Interest
References
- Xiong, H.; Sun, S.; Jiang, Y. Application of modern new materials in product design. In Proceedings of the 2008 9th International Conference on Computer-Aided Industrial Design and Conceptual Design, Kunming, China, 22–25 November 2008; pp. 759–764. [Google Scholar]
- Rasoulzadeh, A.; Ghobadi, C.; Nourinia, J. A compact Differential Microwave Fluid Sensor for Permittivity Measurement of Ethanol-Water Solution. IEEE Sens. J. 2025, 25, 11024–11032. [Google Scholar] [CrossRef]
- Algamili, A.S.; Khir, M.H.M.; Dennis, J.O.; Ahmed, A.Y.; Alabsi, S.S.; Ba Hashwan, S.S.; Junaid, M.M. A review of actuation and sensing mechanisms in MEMS-based sensor devices. Nanoscale Res. Lett. 2021, 16, 16. [Google Scholar] [CrossRef]
- Chen, S.; Kupershmidt, J.; Korolev, K.A.; Afsar, M.N. A high-resolution quasi optical spectrometer for complex permittivity and loss tangent measurements at millimeter wavelengths. In Proceedings of the IEEE Instrumentation & Measurement Technology Conference, Warsaw, Poland, 1–3 May 2007; pp. 1–5. [Google Scholar]
- Kim, Y.; Goo, S.; Lim, J.S. Multi-Gas analyzer based on tunable filter non-dispersive infrared sensor: Application to the monitoring of eco-friendly gas insulated switchgears. Sensors 2022, 22, 8662. [Google Scholar] [CrossRef]
- Hasar, U.C.; Westgate, C.R.; Ertugrul, M. Noniterative permittivity extraction of lossy liquid materials from reflection asymmetric amplitude-only microwave measurements. Sensors 2009, 19, 419–421. [Google Scholar]
- Liu, C.; Liao, C.; Peng, Y.; Zhang, W.; Wu, B.; Yang, P. Microwave sensors and their applications in dielectric constant measurement. Sensors 2024, 24, 7696. [Google Scholar] [CrossRef] [PubMed]
- Khani, S.; Rezaei, P.; Fakhr, M. Real-time measurement of liquid dielectric constant through label-free meandered microwave sensor. IETE J. Res. 2024, 70, 4606–4616. [Google Scholar] [CrossRef]
- Nikkhah, N.; Keshavarz, R.; Abolhasan, M.; Lipman, J.; Shariati, N. Highly sensitive differential microwave sensor using enhanced spiral resonators for precision dielectric constant measurement. IEEE Sens. J. 2024, 24, 14177–14188. [Google Scholar] [CrossRef]
- Khan, M.T.; Ali, S.M. A brief review of measuring techniques for characterization of dielectric materials. Int. J. Inf. Technol. Electr. Eng. 2012, 1, 1–5. [Google Scholar]
- Chen, L.F.; Ong, C.K.; Neo, C.; Varadan, V.V.; Varadan, V.K. Microwave Electronics: Measurement and Materials Characterization; John Wiley & Sons: Hoboken, NJ, USA, 2004. [Google Scholar]
- Kaatze, U. Measuring the Dielectric Properties of Materials. Ninety-Year Development from Low-Frequency Techniques to Broadband Spectroscopy and High-Frequency Imaging. Meas. Sci. Technol. 2012, 24, 012005. [Google Scholar] [CrossRef]
- Rasoulzadeh, A.; Mohammadi, P. Thickness Measurement of Thin Layers with Double E-Shaped Slots Loaded in a Microstrip Line. IEEE Sens. J. 2022, 23, 1132–1138. [Google Scholar] [CrossRef]
- Shah, S.R.M. Analysis of Thickness Variation in Biological Tissues Using Microwave Sensors for Health Monitoring Applications. IEEE Access 2019, 7, 156033–156043. [Google Scholar] [CrossRef]
- Rasoulzadeh, A.; Ghobadi, C.; Nourinia, J.; Mohammadi, P. Highly Sensitive and Compact Size Microstrip Sensor for Characterization of Solid and Liquid Material with Broad Range Dielectric Constant. IEEE Access 2024, 12, 87864–87872. [Google Scholar] [CrossRef]
- Soltan, A.; Sadeghzadeh, R.; Mohammad, S. Microwave Sensor for Liquid Classification and Dielectric Constant Estimation of Dielectric Materials. Sens. Actuators A Phys. 2022, 336, 113397. [Google Scholar] [CrossRef]
- Pourafzal, A.; Roi-Taravella, T.; Cheffena, M.; Yayilgan, S.Y. A Low-Cost and Accurate Microwave Sensor System for Dielectric Constant Characterization. IEEE Sens. J. 2022, 23, 1234–1248. [Google Scholar] [CrossRef]
- Wu, W.J.; Zhao, W.S.; Wang, D.W.; Yuan, B.; Wang, G. Ultrahigh-Sensitivity Microwave Microfluidic Sensors Based on Modified Complementary Electric-LC and Split-Ring Resonator Structures. IEEE Sens. J. 2021, 21, 18756–18763. [Google Scholar] [CrossRef]
- Ebrahimi, A.; Scott, J.; Ghorbani, K. Ultrahigh-Sensitivity Microwave Sensor for Microfluidic Complex Dielectric Constant Measurement. IEEE Trans. Microw. Theory Tech. 2019, 67, 4269–4277. [Google Scholar] [CrossRef]
- Jha, A.K.; Lamecki, A.; Mrozowski, M.; Bozzi, M. A Highly Sensitive Planar Microwave Sensor for Detecting Direction and Angle of Rotation. IEEE Trans. Microw. Theory Tech. 2020, 68, 1598–1609. [Google Scholar] [CrossRef]
- Teng, C.; Chio, C.H.; Tam, K.W.; Lau, P.Y. Angular Displacement Microwave Sensor with 360° Dynamic Range Using Multi-Mode Resonator. IEEE Sens. J. 2020, 21, 2899–2907. [Google Scholar] [CrossRef]
- Chio, C.H.; Gómez-García, R.; Yang, L.; Tam, K.W.; Choi, W.W.; Ho, S.K. Angular Displacement Sensor Based on Microwave Transversal Signal Interference Principle. IEEE Sens. J. 2020, 20, 11237–11246. [Google Scholar] [CrossRef]
- Khair, N.S.; Yusof, N.A.T.; Wahab, Y.A.; Bari, B.S.; Ayob, N.I.; Zolkapli, M. Substrate-Integrated Waveguide (SIW) Microwave Sensor Theory and Model in Characterising Dielectric Material: A Review. Sens. Int. 2023, 4, 100244. [Google Scholar] [CrossRef]
- Bahar, A.A.M.; Zakaria, Z.; Arshad, M.M.; Dasril, Y.; Alahnomi, R.A. Real-Time Microwave Biochemical Sensor Based on Circular SIW Approach for Aqueous Dielectric Detection. Sci. Rep. 2019, 9, 5467. [Google Scholar]
- Chen, Y.; Huang, J.; Xiang, Y.; Fu, L.; Gu, W.; Wu, Y. Modified SIW Re-Entrant Microfluidic Microwave Sensor for Characterizing Complex Dielectric Constant of Liquids. IEEE Sens. J. 2021, 21, 14838–14846. [Google Scholar]
- Zhang, L.; Su, S.; Xu, F.; Ren, T.; Xiong, J. High-Sensitivity SIW-CSRR Temperature Sensor Based on Microwave Scattering. IEEE Sens. J. 2023, 23, 13900–13908. [Google Scholar] [CrossRef]
- Varshney, P.K.; Akhtar, M.J. Dielectric Constant Estimation of Dielectric Substrate Materials via Enhanced SIW Sensor. IEEE Sens. J. 2021, 21, 12104–12112. [Google Scholar] [CrossRef]
- Lu, F.; Tan, Q.; Ji, Y.; Guo, Q.; Guo, Y.; Xiong, J. Novel Metamaterial-Inspired High-Temperature Microwave Sensor in Harsh Environments. Sensors 2018, 18, 2879. [Google Scholar] [CrossRef]
- Cao, Y.; Ruan, C.; Chen, K.; Zhang, X. Research on a High-Sensitivity Asymmetric Metamaterial Structure and Its Application as Microwave Sensor. Sci. Rep. 2022, 12, 1255. [Google Scholar] [CrossRef]
- Chretiennot, T.; Dubuc, D.; Grenier, K. Microwave and Microfluidic Planar Resonator for Efficient and Accurate Complex Dielectric Constant Characterization of Aqueous Solutions. IEEE Trans. Microw. Theory Tech. 2012, 61, 972–978. [Google Scholar] [CrossRef]
- Jirousek, E.P. Material Characterization Using Complementary Split Ring Resonators. Ph.D. Thesis, Technische Universität Wien, Vienna, Austria, 2022. [Google Scholar]
- Zhang, X.; Ruan, C.; Chen, K. High-Sensitivity Microwave Sensor for Liquid Characterization Using a Complementary Circular Spiral Resonator. Sensors 2019, 19, 787. [Google Scholar] [CrossRef] [PubMed]
- Bahl, I.; Stuchly, S.S. Analysis of a Microstrip Covered with a Lossy Dielectric. IEEE Trans. Microw. Theory Tech. 1980, 28, 104–109. [Google Scholar] [CrossRef]
- Mohammadi, P.; Teimouri, H.; Mohammadi, A.; Demir, S.; Kara, A. Dual-Band, Miniaturized Dielectric Constant Measurement Sensor with Negative-Order SIW Resonator. IEEE Sens. J. 2021, 21, 22695–22702. [Google Scholar] [CrossRef]











| Material | Reference Value | System Measurement | VNA Measurement | |||
|---|---|---|---|---|---|---|
| F4BM220 | 2.2 | 0.001 | 2.17 | 0.0017 | 2.18 | 0.0016 |
| PVC | 3.25 | 0.04 | 3.21 | 0.0383 | 3.21 | 0.0394 |
| RO4003C | 3.55 | 0.0027 | 3.48 | 0.0022 | 3.50 | 0.0021 |
| R04350B | 3.66 | 0.004 | 3.62 | 0.0037 | 3.66 | 0.0035 |
| Kappa438 | 4.38 | 0.005 | 4.33 | 0.0042 | 4.35 | 0.0047 |
| FR4 | 4.4 | 0.02 | 4.36 | 0.0198 | 4.41 | 0.0191 |
Disclaimer/Publisher’s Note: The statements, opinions and data contained in all publications are solely those of the individual author(s) and contributor(s) and not of MDPI and/or the editor(s). MDPI and/or the editor(s) disclaim responsibility for any injury to people or property resulting from any ideas, methods, instructions or products referred to in the content. |
© 2025 by the authors. Licensee MDPI, Basel, Switzerland. This article is an open access article distributed under the terms and conditions of the Creative Commons Attribution (CC BY) license (https://creativecommons.org/licenses/by/4.0/).
Share and Cite
Shi, H.; Zhang, X.; Huang, L.; Wang, K.; Wang, Z. Dual-Band Planar Microwave Solid Complex Dielectric Constant Sensor System Based on E-Interdigital Structure. Sensors 2025, 25, 5789. https://doi.org/10.3390/s25185789
Shi H, Zhang X, Huang L, Wang K, Wang Z. Dual-Band Planar Microwave Solid Complex Dielectric Constant Sensor System Based on E-Interdigital Structure. Sensors. 2025; 25(18):5789. https://doi.org/10.3390/s25185789
Chicago/Turabian StyleShi, Haoyang, Xuchun Zhang, Lin Huang, Kun Wang, and Zanyang Wang. 2025. "Dual-Band Planar Microwave Solid Complex Dielectric Constant Sensor System Based on E-Interdigital Structure" Sensors 25, no. 18: 5789. https://doi.org/10.3390/s25185789
APA StyleShi, H., Zhang, X., Huang, L., Wang, K., & Wang, Z. (2025). Dual-Band Planar Microwave Solid Complex Dielectric Constant Sensor System Based on E-Interdigital Structure. Sensors, 25(18), 5789. https://doi.org/10.3390/s25185789

