EEG Signal Complexity Measurements to Enhance BCI-Based Stroke Patients’ Rehabilitation
Abstract
1. Introduction
2. Related Works
3. Methods and Materials
3.1. Data Description
3.2. Preprocessing Stage
3.2.1. Conventional Filtering
3.2.2. Independent Component Analysis (ICA)
3.3. Features Extraction
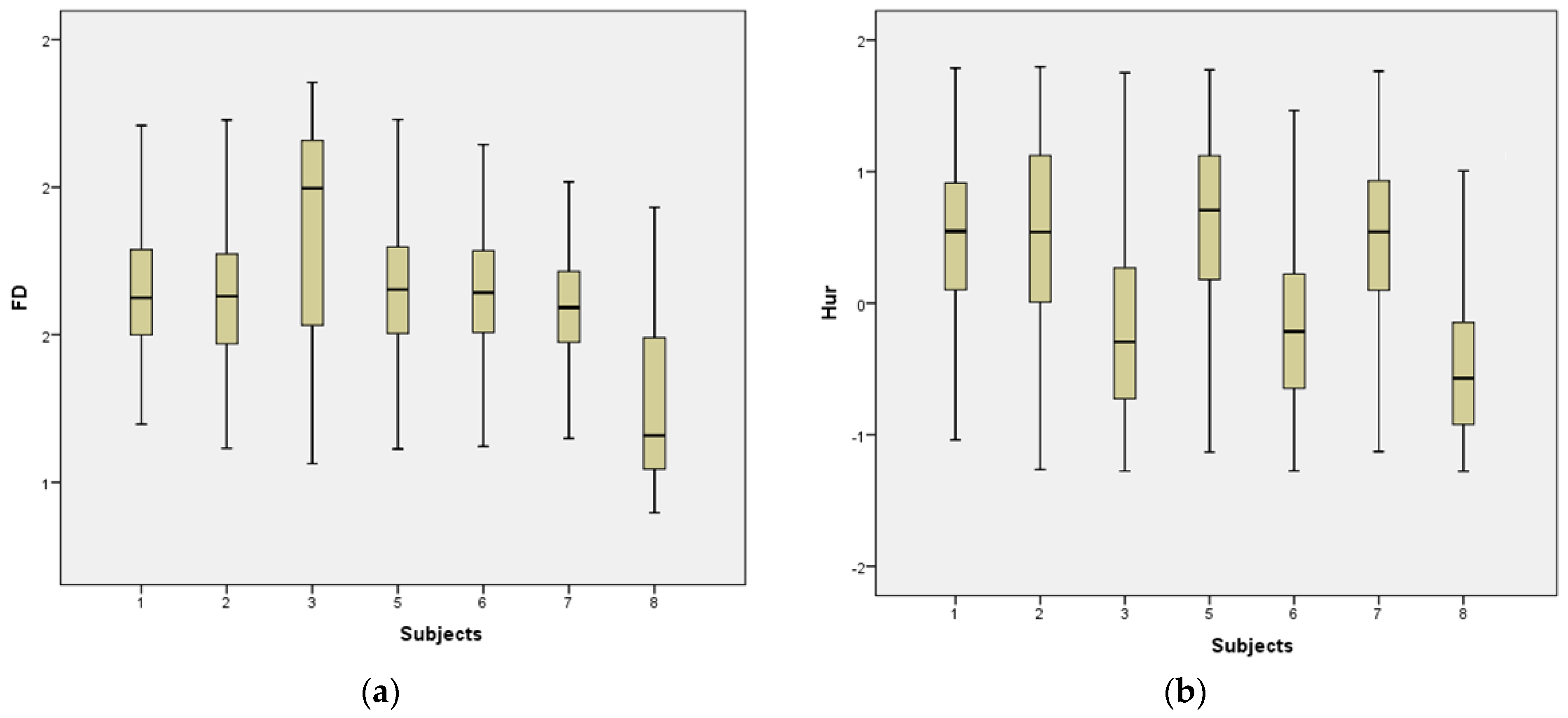
3.3.1. Complexity Analysis
Fractal Dimension ()
Hurst Exponent ()
- Calculate the logarithmic retunes of detrended time series with length , where has length of original time series.
- Split the time series into m adjoining subsets of length n, where , and The segments of each subset calls , with .The average of each subset is counted by:
- Calculate the addition of deviation from the average for each subset of as:
- The mean relative range of any single subset is calculated as:
- In this step, standard deviation of each subgroup is considered:
- The range of each subset is rescaled by the related standard deviation . Therefore, the average measures for each window with length n is:All above steps should be repeated for different time periods.
- Plot versus : The slope of this graph shows the [18].values could be calculated using a rescaled range formula estimated by the above steps.
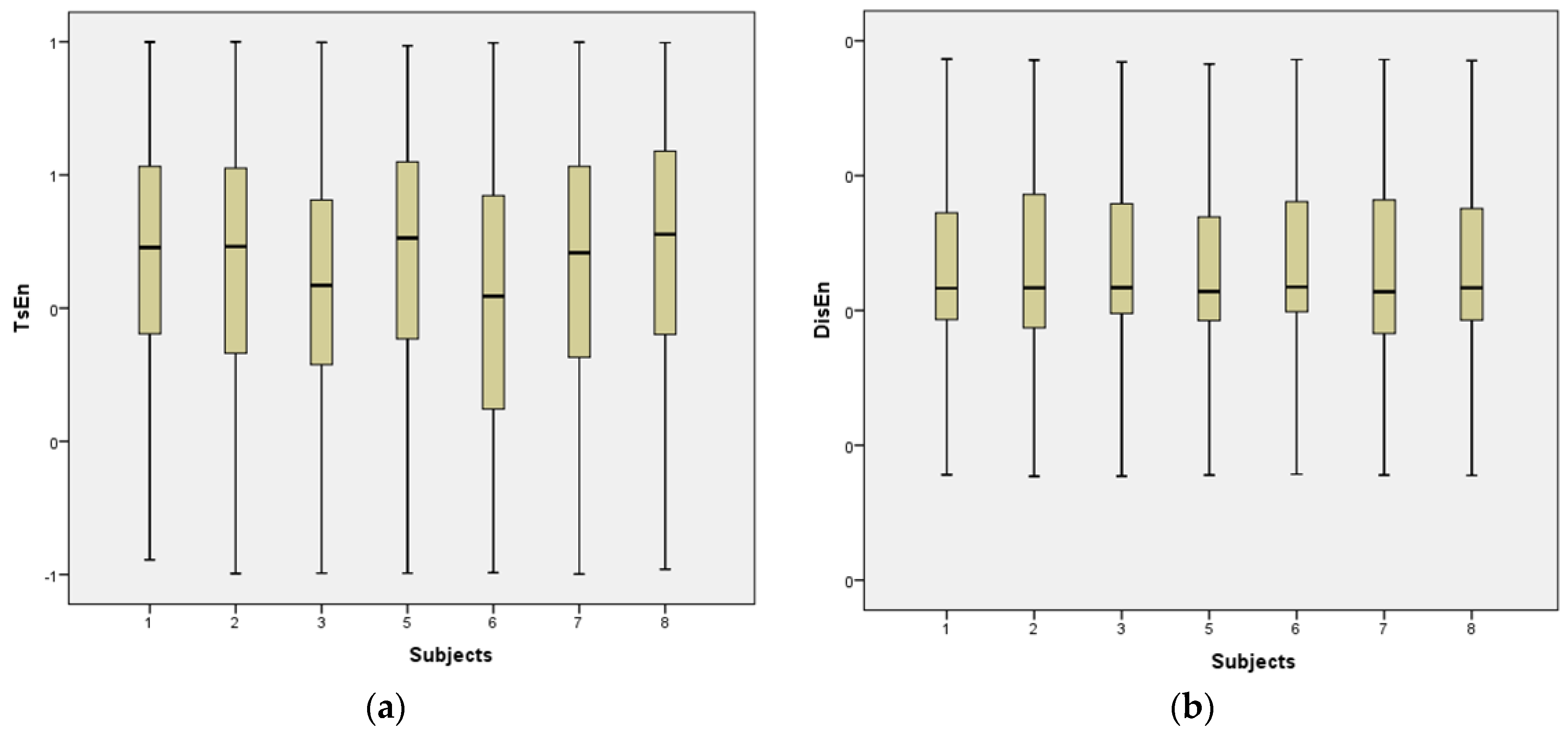
3.3.2. Entropy Analysis
Tsallis Entropy ()
Dispersion Entropy ()
3.4. Statistical Significance Analysis
3.5. Laplacian Eigenmap () Dimensionality Reduction Algorithm
3.6. Classification Stage
4. Results and Discussion
4.1. Results of Preprocessing Stage
4.2. Results of Features Extraction
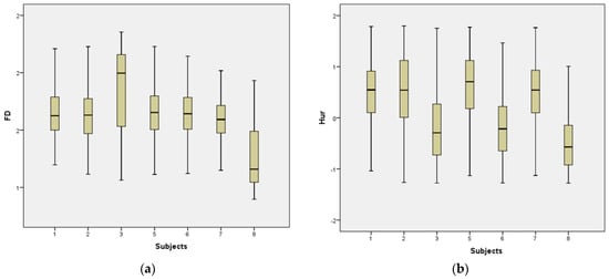
4.2.1. Complexity Analysis
4.2.2. Entropy Analysis
4.3. Results of Statistical Significance Analysis
4.4. Results of Classification Stage
5. Conclusions
Author Contributions
Funding
Institutional Review Board Statement
Informed Consent Statement
Data Availability Statement
Conflicts of Interest
References
- Al-Qazzaz, N.; Ali, S.H.; Ahmad, S.A.; Islam, S.; Mohamad, K. Cognitive impairment and memory dysfunction after a stroke diagnosis: A post-stroke memory assessment. Neuropsychiatr. Dis. Treat. 2014, 10, 1677–1691. [Google Scholar] [CrossRef] [PubMed]
- Li, C.; Jia, T.; Xu, Q.; Ji, L.; Pan, Y. Brain-Computer Interface Channel-Selection Strategy Based on Analysis of Event-Related Desynchronization Topography in Stroke Patients. J. Health Eng. 2019, 2019, 3817124. [Google Scholar] [CrossRef]
- Djamal, E.C.; Ramadhan, R.I.; Mandasari, M.I.; Djajasasmita, D. Identification of post-stroke EEG signal using wavelet and convolutional neural networks. Bull. Electr. Eng. Inform. 2020, 9, 1890–1898. [Google Scholar] [CrossRef]
- Li, H.; Ding, M.; Zhang, R.; Xiu, C. Motor imagery EEG classification algorithm based on CNN-LSTM feature fusion network. Biomed. Signal Process Control 2021, 72, 103342. [Google Scholar] [CrossRef]
- Al-Qazzaz, N.K.; Alyasseri, Z.A.A.; Abdulkareem, K.H.; Ali, N.S.; Al-Mhiqani, M.N.; Guger, C. EEG feature fusion for motor imagery: A new robust framework towards stroke patients rehabilitation. Comput. Biol. Med. 2021, 137. [Google Scholar] [CrossRef]
- Lee, W.H.; Kim, E.; Gil Seo, H.; Oh, B.-M.; Nam, H.S.; Kim, Y.J.; Lee, H.H.; Kang, M.-G.; Kim, S.; Bang, M.S. Target-oriented motor imagery for grasping action: Different characteristics of brain activation between kinesthetic and visual imagery. Sci. Rep. 2019, 9, 1–14. [Google Scholar] [CrossRef] [PubMed]
- Lebedev, M.A.; Nicolelis, M.A.L. Brain-Machine Interfaces: From Basic Science to Neuroprostheses and Neurorehabilitation. Physiol. Rev. 2017, 97, 767–837. [Google Scholar] [CrossRef]
- Cheng, N.; Phua, K.S.; Lai, H.S.; Tam, P.K.; Tang, K.Y.; Cheng, K.K.; Yeow, R.C.-H.; Ang, K.K.; Guan, C.; Lim, J.H. Brain-Computer Interface-Based Soft Robotic Glove Rehabilitation for Stroke. IEEE Trans. Biomed. Eng. 2020, 67, 3339–3351. [Google Scholar] [CrossRef]
- Mane, R.; Chouhan, T.; Guan, C. BCI for stroke rehabilitation: Motor and beyond. J. Neural Eng. 2020, 17, 041001. [Google Scholar] [CrossRef]
- Igasaki, T.; Takemoto, J.; Sakamoto, K. Relationship Between Kinesthetic/Visual Motor Imagery Difficulty and Event-Related Desynchronization/Synchronization. In Proceedings of the 2018 40th Annual International Conference of the IEEE Engineering in Medicine and Biology Society (EMBC), Honolulu, HI, USA, 8–21 July 2018; pp. 1911–1914. [Google Scholar]
- Savić, A.M.; Lontis, E.R.; Mrachacz-Kersting, N.; Popović, M.B. Dynamics of movement-related cortical potentials and sensorimotor oscillations during palmar grasp movements. Eur. J. Neurosci. 2019, 51, 1962–1970. [Google Scholar] [CrossRef]
- Wang, B.A.; Viswanathan, S.; Abdollahi, R.O.; Rosjat, N.; Popovych, S.; Daun, S.; Grefkes, C.; Fink, G.R. Frequency-specific modulation of connectivity in the ipsilateral sensorimotor cortex by different forms of movement initiation. Neuroimage 2017, 159, 248–260. [Google Scholar] [CrossRef] [PubMed]
- Balbi, M.; Xiao, D.; Vega, M.J.; Hu, H.; Vanni, M.P.; Bernier, L.-P.; LeDue, J.; MacVicar, B.; Murphy, T.H. Gamma frequency activation of inhibitory neurons in the acute phase after stroke attenuates vascular and behavioral dysfunction. Cell Rep. 2021, 34, 108696. [Google Scholar] [CrossRef] [PubMed]
- Jia, X.; Song, Y.; Yang, L.; Xie, L. Joint spatial and temporal features extraction for multi-classification of motor imagery EEG. Biomed. Signal Process Control 2021, 71, 103247. [Google Scholar] [CrossRef]
- Sadiq, M.T.; Yu, X.; Yuan, Z.; Zeming, F.; Rehman, A.U.; Ullah, I.; Li, G.; Xiao, G. Motor Imagery EEG Signals Decoding by Multivariate Empirical Wavelet Transform-Based Framework for Robust Brain–Computer Interfaces. IEEE Access 2019, 7, 171431–171451. [Google Scholar] [CrossRef]
- Gottlibe, M.; Rosen, O.; Weller, B.; Mahagney, A.; Omar, N.; Khuri, A.; Srugo, I.; Genizi, J. Stroke identification using a portable EEG device—A pilot study. Neurophysiol. Clin. 2020, 50, 21–25. [Google Scholar] [CrossRef] [PubMed]
- Selim, S.; Tantawi, M.M.; Shedeed, H.A.; Badr, A. A CSP\AM-BA-SVM Approach for Motor Imagery BCI System. IEEE Access 2018, 6, 49192–49208. [Google Scholar] [CrossRef]
- Ak, A.; Topuz, V.; Midi, I. Motor Imagery Eeg Signal Classification Using Image Processing Technique over Googlenet Deep Learning Algorithm for Controlling the Robot Manipulator. Biomed. Signal Process Control 2022, 72, 103295. [Google Scholar] [CrossRef]
- Rithwik, P.; Benzy, V.; Vinod, A. High accuracy decoding of motor imagery directions from EEG-based brain computer interface using filter bank spatially regularised common spatial pattern method. Biomed. Signal Process Control 2021, 72, 103241. [Google Scholar] [CrossRef]
- Mabrouk, M.S. Non-Invasive Eeg-Based Bci System for Left or Right Hand Movement. Majlesi J. Electr. Eng. 2011, 3, 46–52. [Google Scholar]
- Mazher, M.; Aziz, A.A.; Malik, A.S.; Amin, H.U. An EEG-Based Cognitive Load Assessment in Multimedia Learning Using Feature Extraction and Partial Directed Coherence. IEEE Access 2017, 5, 14819–14829. [Google Scholar] [CrossRef]
- Chellappan, K.; Mohsin, N.K.; Bin Ali, S.H.; Islam, S. Post-stroke brain memory assessment framework. In Proceedings of the the IEEE-EMBS Conference on Biomedical Engineering and Sciences, Langkawi, Malaysia, 17–19 December 2012. pp. 189–194. [Google Scholar] [CrossRef]
- Al-Qazzaz, N.K.; Ali, S.H.; Ahmad, S.A.; Chellappan, K.; Islam, S.; Escudero, J. Role of EEG as Biomarker in the Early Detection and Classification of Dementia. Sci. World J. 2014, 2014, 906038. [Google Scholar] [CrossRef]
- Al-Qazzaz, N.K.; Sabir, M.K.; Al-Timemy, A.H.; Grammer, K. An integrated entropy-spatial framework for automatic gender recognition enhancement of emotion-based EEGs. Med. Biol. Eng. Comput. 2022, 60, 531–550. [Google Scholar] [CrossRef] [PubMed]
- Al-Qazzaz, N.K.; Sabir, M.K.; Ali, S.H.B.M.; Ahmad, S.A.; Grammer, K. Multichannel Optimization With Hybrid Spectral- Entropy Markers for Gender Identification Enhancement of Emotional-Based EEGs. IEEE Access 2021, 9, 107059–107078. [Google Scholar] [CrossRef]
- Al-Qazzaz, N.K.; Ali, S.H.B.M.; Ahmad, S.A.; Islam, M.S.; Escudero, J. Discrimination of stroke-related mild cognitive impairment and vascular dementia using EEG signal analysis. Med. Biol. Eng. Comput. 2017, 56, 137–157. [Google Scholar] [CrossRef] [PubMed]
- Al-Qazzaz, N.K.; Ali, S.H.M.; Ahmad, S.A. Comparison of the Effectiveness of AICA-WT Technique in Discriminating Vascular Dementia EEGs. In Proceedings of the the 2018 2nd International Conference on BioSignal Analysis, Processing and Systems (ICBAPS), Ku-ching, Malaysia, 24–26 July 2018; pp. 109–112. [Google Scholar] [CrossRef]
- Alafeef, M.; Fraiwan, M. On the diagnosis of idiopathic Parkinson’s disease using continuous wavelet transform complex plot. J. Ambient. Intell. Humaniz. Comput. 2018, 10, 2805–2815. [Google Scholar] [CrossRef]
- Majidov, I.; Whangbo, T. Efficient Classification of Motor Imagery Electroencephalography Signals Using Deep Learning Methods. Sensors 2019, 19, 1736. [Google Scholar] [CrossRef]
- Al-Qazzaz, N.K.; Ali, S.H.M.; Ahmad, S.A. Entropy-Based EEG Markers for Gender Identification of Vascular Dementia Pa-tients. In Proceedings of the 3rd International Conference for Innovation in Biomedical Engineering and Life Sciences (ICIBEL), Kuala Lumpur, Malaysia, 6–7 December 2019; Ibrahim, F., Usman, J., Ahmad, M.Y., Hamzah, N., Eds.; Springer: Cham, Switzerland, 2019; Volume 81. [Google Scholar]
- Fraiwan, M.; Alafeef, M.; Almomani, F. Gauging human visual interest using multiscale entropy analysis of EEG signals. J. Ambient. Intell. Humaniz. Comput. 2020, 12, 2435–2447. [Google Scholar] [CrossRef]
- Liu, C.; Wang, H.; Lu, Z. EEG classification for multiclass motor imagery BCI. In Proceedings of the 2013 25th Chinese Control and Decision Conference (CCDC), Guiyang, China, 25–27 May 2013; pp. 4450–4453. [Google Scholar]
- Krishna, D.H.; Pasha, I.; Savithri, T.S. Classification of EEG Motor Imagery Multi Class Signals Based on Cross Correlation. Procedia Comput. Sci. 2016, 85, 490–495. [Google Scholar] [CrossRef]
- Narayan, Y. Motor-Imagery Eeg Signals Classificationusing Svm, Mlp and Lda Classifiers. Turk. J. Comput. Math. Educ. (TURCOMAT) 2021, 12, 3339–3344. [Google Scholar] [CrossRef]
- Rejer, I.; Górski, P. Independent component analysis in a motor imagery brain computer interface. In Proceedings of the IEEE EUROCON 2017—17th International Conference on Smart Technologies, Ohrid, Macedonia, 6–8 July 2017; pp. 126–131. [Google Scholar]
- Assi, E.B.; Rihana, S.; Sawan, M. 33% Classification Accuracy Improvement in a Motor Imagery Brain Computer Interface. J. Biomed. Sci. Eng. 2017, 10, 326–341. [Google Scholar] [CrossRef]
- Ghumman, M.K.; Singh, S. Performance evaluation of SVM-RBF classification method for brain-computer interface. J. Xi’an Univ. Arch. Technol 2020, 12, 841–848. [Google Scholar]
- Debanjan, P.; Chakraborty, M. A Novel Methodology to Study the Cognitive Load Induced Eeg Complexity Changes: Chaos, Fractal and Entropy Based Approach. Biom. Signal Process Control 2021, 64, 102277. [Google Scholar]
- Tangermann, M.; Müller, K.-R.; Aertsen, A.; Birbaumer, N.; Braun, C.; Brunner, C.; Leeb, R.; Mehring, C.; Miller, K.J.; Müller-Putz, G.R.; et al. Review of the BCI competition IV. Front. Neurosci. 2012, 6, 55. [Google Scholar]
- Zhao, X.; Liu, D.; Ma, L.; Liu, Q.; Chen, K.; Xie, S.; Ai, Q. Deep CNN model based on serial-parallel structure optimization for four-class motor imagery EEG classification. Biomed. Signal Process. Control. 2021, 72, 103338. [Google Scholar] [CrossRef]
- James, C.J.; Hesse, C.W. Independent component analysis for biomedical signals. Physiol. Meas. 2004, 26, R15–R39. [Google Scholar] [CrossRef]
- VIGÁRIO, R.; OJA, E. Independence: A new criterion for the analysis of the electromagnetic fields in the global brain? Neural Netw. 2000, 13, 891–907. [Google Scholar] [CrossRef]
- Javier, E.; Hornero, R.; Abásolo, D.; Fernández, A. Blind Source Separation to Enhance Spectral and Non-Linear Features of Magnetoencephalogram Recordings. Application to Alzheimer’s Disease. Med. Eng. Phys. 2001, 7, 872–879. [Google Scholar]
- Escudero, J.; Hornero, R.; Abasolo, D.; Fernandez, A.; Lopez-Coronado, M. Artifact Removal in Magnetoencephalogram Background Activity With Independent Component Analysis. IEEE Trans. Biomed. Eng. 2007, 54, 1965–1973. [Google Scholar] [CrossRef]
- Escudero, J.; Hornero, R.; Poza, J.; Abásolo, D.; Fernández, A. Assessment of classification improvement in patients with Alzheimer’s disease based on magnetoencephalogram blind source separation. Artif. Intell. Med. 2008, 43, 75–85. [Google Scholar] [CrossRef]
- Cichocki, A.; Shishkin, S.L.; Musha, T.; Leonowicz, Z.; Asada, T.; Kurachi, T. Eeg Filtering Based on Blind Source Separation (Bss) for Early Detection of Alzheimer’s Disease. Clin. Neurophysiol. 2005, 116, 729–737. [Google Scholar] [CrossRef] [PubMed]
- Jin, S.-H.; Jeong, J.; Jeong, D.-G.; Kim, D.-J.; Kim, S.Y. Nonlinear dynamics of the EEG separated by independent component analysis after sound and light stimulation. Biol. Cybern. 2002, 86, 395–401. [Google Scholar] [CrossRef]
- Al-Qazzaz, N.K.; Ali SH, B.M.; Ahmad, S.A. Recognition Enhancement of Dementia Patients’ Working Memory Using Entropy-Based Features and Local Tangent Space Alignment Algorithm. In Advances in Non-Invasive Biomedical Signal Sensing and Processing with Machine Learning; Springer International Publishing: Cham, Switzerland, 2023; pp. 345–373. [Google Scholar]
- Belouchrani, A.; Abed-Meraim, K.; Cardoso, J.-F.; Moulines, E. A blind source separation technique using second-order statistics. IEEE Trans. Signal Process. 1997, 45, 434–444. [Google Scholar] [CrossRef]
- Naeem, M.; Brunner, C.; Leeb, R.; Graimann, B.; Pfurtscheller, G. Seperability of four-class motor imagery data using independent components analysis. J. Neural Eng. 2006, 3, 208–216. [Google Scholar] [CrossRef]
- Affinito, M.; Carrozzi, M.; Accardo, A.; Bouquet, F. Use of the fractal dimension for the analysis of electroencephalographic time series. Biol. Cybern. 1997, 77, 339–350. [Google Scholar] [CrossRef]
- Esteller, R.; Vachtsevanos, G.; Echauz, J.; Litt, B. A comparison of waveform fractal dimension algorithms. IEEE Trans. Circuits Syst. I Fundam. Theory Appl. 2001, 48, 177–183. [Google Scholar] [CrossRef]
- Higuchi, T. Approach to an irregular time series on the basis of the fractal theory. Phys. D Nonlinear Phenom. 1988, 31, 277–283. [Google Scholar] [CrossRef]
- Doyle, T.L.A.; Dugan, E.L.; Humphries, B.; Newton, R.U. Discriminating between elderly and young using a fractal dimension analysis of centre of pressure. Int. J. Med. Sci. 2004, 1, 11–20. [Google Scholar] [CrossRef]
- Klonowski, W.; Olejarczyk, E.; Stepien, R. Epileptic Seizures’ in Economic Organism. Phys. A Stat. Mech. Its Appl. 2004, 342, 701–707. [Google Scholar] [CrossRef]
- Tsallis, C. Possible generalization of Boltzmann-Gibbs statistics. J. Stat. Phys. 1988, 52, 479–487. [Google Scholar] [CrossRef]
- Rostaghi, M.; Azami, H. Dispersion Entropy: A Measure for Time-Series Analysis. IEEE Signal Process Lett. 2016, 23, 610–614. [Google Scholar] [CrossRef]
- Xiang, J.; Li, C.; Li, H.; Cao, R.; Wang, B.; Han, X.; Chen, J. The detection of epileptic seizure signals based on fuzzy entropy. J. Neurosci. Methods 2015, 243, 18–25. [Google Scholar] [CrossRef]
- McBride, J.; Zhao, X.; Nichols, T.; Vagnini, V.; Munro, N.; Berry, D.; Jiang, Y. Scalp EEG-Based Discrimination of Cognitive Deficits After Traumatic Brain Injury Using Event-Related Tsallis Entropy Analysis. IEEE Trans. Biomed. Eng. 2012, 60, 90–96. [Google Scholar] [CrossRef]
- Azami, H.; Escudero, J. Amplitude- and Fluctuation-Based Dispersion Entropy. Entropy 2018, 20, 210. [Google Scholar] [CrossRef] [PubMed]
- Belkin, M.; Niyogi, P. Laplacian eigenmaps and spectral techniques for embedding and clustering. Adv. Neural Inf. Process. Syst. 2001, 14, 585–591. [Google Scholar]
- Leo, B. Random forests. Mach. Learn. 2001, 45, 5–32. [Google Scholar]
- Steyrl, D.; Scherer, R.; Faller, J.; Müller-Putz, G.R. Random forests in non-invasive sensorimotor rhythm brain-computer interfaces: A practical and convenient non-linear classifier. Biomed. Eng. / Biomed. Tech. 2015, 61, 77–86. [Google Scholar] [CrossRef]
- Vakharia, V.; Castelli, I.E.; Bhavsar, K.; Solanki, A. Bandgap prediction of metal halide perovskites using regression machine learning models. Phys. Lett. A 2022, 422, 1–9. [Google Scholar] [CrossRef]

















| Study | Denoising Technique | Feature Extraction | Classifiers |
|---|---|---|---|
| Liu et al. [33] | Bandpass filter (0.5–100) Hz, notch filter | CSP | SVM, KNN |
| Krishna et al. [34] | Moving average filter, band pass filter | Cross-correlation | SVM, KNN, LDA, NB, DT |
| Rejer et al. [36] | FastICA algorithm | Power band | SVM |
| Assi et al. [37] | Temporal filtering, spatial filtering, K means-ICA | Band power, DWT-band power, DWT-coherence, DWT-PLV | LDA and SVM |
| Selim et al. [17] | Butterworth filter | CSP | SVM |
| Ghumman et al. [38] | ICA | CSP | SVM |
| Narayan et al. [35] | Butterworth filter (8 to 30) Hz, notch filter, ICA | CSP, PCA | SVM, LDA |
| Al-Qazzaz et al. [5] | Conventional filtering, AICA WT denoising technique | Time domain, frequency domain, entropy domain | SVM, KNN, RF |
| Subject ID | Sex | Age | Handedness |
|---|---|---|---|
| S1 | Female | 22 | Right |
| S2 | Female | 24 | Right |
| S3 | Male | 26 | Right |
| S5 | Male | 24 | Right |
| S6 | Female | 23 | Right |
| S7 | Male | 25 | Left |
| S8 | Male | 23 | Right |
| S9 | Male | 17 | Right |
| LA | RA | Foot | Tongue | Value | |
|---|---|---|---|---|---|
| S1 | 0.863 ± 0.045 | 0.86 ± 0.054 | 0.874 ± 0.041 | 0.854 ± 0.04 | 0.05 |
| S2 | 0.815 ± 0.061 | 0.894 ± 0.058 | 0.899 ± 0.056 | 0.82 ± 0.054 | 0.05 |
| S3 | 0.843 ± 0.069 | 0.792 ± 0.049 | 0.785 ± 0.061 | 0.795 ± 0.057 | 0.05 |
| S5 | 0.894 ± 0.043 | 0.873 ± 0.044 | 0.847 ± 0.065 | 0.872 ± 0.055 | 0.05 |
| S6 | 0.775 ± 0.051 | 0.806 ± 0.045 | 0.808 ± 0.06 | 0.794 ± 0.049 | 0.05 |
| S7 | 0.879 ± 0.048 | 0.835 ± 0.046 | 0.872 ± 0.045 | 0.877 ± 0.046 | 0.05 |
| S8 | 0.807 ± 0.056 | 0.757 ± 0.052 | 0.777 ± 0.055 | 0.719 ± 0.051 | 0.05 |
| S9 | 0.739 ± 0.054 | 0.758 ± 0.049 | 0.768 ± 0.068 | 0.775 ± 0.054 | 0.05 |
| LA | RA | Foot | Tongue | Value | |
|---|---|---|---|---|---|
| S1 | 1.658 ± 0.067 | 1.654 ± 0.045 | 1.728 ± 0.077 | 1.575 ± 0.042 | 0.05 |
| S2 | 1.569 ± 0.071 | 1.758 ± 0.065 | 1.679 ± 0.071 | 1.6 ± 0.088 | 0.05 |
| S3 | 1.635 ± 0.082 | 1.575 ± 0.072 | 1.881 ± 0.039 | 1.852 ± 0.05 | 0.05 |
| S5 | 1.714 ± 0.075 | 1.694 ± 0.073 | 1.682 ± 0.116 | 1.621 ± 0.085 | 0.05 |
| S6 | 1.647 ± 0.079 | 1.668 ± 0.088 | 1.635 ± 0.076 | 1.649 ± 0.057 | 0.05 |
| S7 | 1.59 ± 0.095 | 1.65 ± 0.069 | 1.606 ± 0.053 | 1.671 ± 0.07 | 0.05 |
| S8 | 1.473 ± 0.061 | 1.388 ± 0.065 | 1.374 ± 0.053 | 1.643 ± 0.083 | 0.05 |
| S9 | 1.65 ± 0.086 | 1.447 ± 0.098 | 1.607 ± 0.063 | 1.588 ± 0.098 | 0.05 |
| LA | RA | Foot | Tongue | Value | |
|---|---|---|---|---|---|
| S1 | 3.096 ± 0.181 | 3.169 ± 0.112 | 3.15 ± 0.097 | 3.173 ± 0.078 | 0.05 |
| S2 | 3.169 ± 0.088 | 3.164 ± 0.155 | 3.115 ± 0.174 | 3.153 ± 0.12 | 0.05 |
| S3 | 3.153 ± 0.101 | 3.205 ± 0.071 | 3.066 ± 0.179 | 3.112 ± 0.082 | 0.05 |
| S5 | 3.134 ± 0.099 | 3.105 ± 0.192 | 3.1 ± 0.251 | 3.169 ± 0.114 | 0.05 |
| S6 | 3.048 ± 0.159 | 3.132 ± 0.078 | 3.107 ± 0.113 | 3.093 ± 0.286 | 0.05 |
| S7 | 3.198 ± 0.102 | 3.156 ± 0.067 | 3.151 ± 0.112 | 3.12 ± 0.111 | 0.05 |
| S8 | 3.151 ± 0.098 | 3.193 ± 0.097 | 3.091 ± 0.418 | 3.129 ± 0.154 | 0.05 |
| S9 | 3.078 ± 0.14 | 3.157 ± 0.095 | 3.117 ± 0.116 | 3.159 ± 0.089 | 0.05 |
| LA | RA | Foot | Tongue | Value | |
|---|---|---|---|---|---|
| S1 | 1.382 ± 0.012 | 1.379 ± 0.028 | 1.385 ± 0.003 | 1.385 ± 0.001 | 0.05 |
| S2 | 1.385 ± 0.001 | 1.382 ± 0.017 | 1.38 ± 0.025 | 1.385 ± 0.003 | 0.05 |
| S3 | 1.384 ± 0.003 | 1.385 ± 0.001 | 1.385 ± 0.001 | 1.385 ± 0.001 | 0.05 |
| S5 | 1.385 ± 0.002 | 1.383 ± 0.004 | 1.383 ± 0.009 | 1.385 ± 0.002 | 0.05 |
| S6 | 1.382 ± 0.009 | 1.385 ± 0.001 | 1.385 ± 0.002 | 1.377 ± 0.033 | 0.05 |
| S7 | 1.385 ± 0.003 | 1.385 ± 0.001 | 1.384 ± 0.004 | 1.384 ± 0.006 | 0.075 |
| S8 | 1.384 ± 0.003 | 1.385 ± 0.003 | 1.348 ± 0.161 | 1.385 ± 0.002 | 0.05 |
| S9 | 1.383 ± 0.006 | 1.384 ± 0.003 | 1.385 ± 0.002 | 1.385 ± 0.002 | 0.05 |
| Subjects | SVM Accuracy % | KNN Accuracy % | RF Accuracy % | SVM Precision % | KNN Precision % | RF Precision % | SVM Recall % | KNN Recall % | RF Recall % |
|---|---|---|---|---|---|---|---|---|---|
| S1 | 53.4 | 83.63 | 84.84 | 56.33 | 53.41 | 83.71 | 83.63 | 76.49 | 76.82 |
| S2 | 50.9 | 76.59 | 77.42 | 57.86 | 50.91 | 76.82 | 76.59 | 77.43 | 77.42 |
| S3 | 33.1 | 74.77 | 75.68 | 46.3 | 33.11 | 74.23 | 74.77 | 75.47 | 75.68 |
| S5 | 46.06 | 84.09 | 87.27 | 60.75 | 46.06 | 84.09 | 84.09 | 87.14 | 87.27 |
| S6 | 36.74 | 72.27 | 73.48 | 43.57 | 36.74 | 72.33 | 72.27 | 73.45 | 73.48 |
| S7 | 43.86 | 58.93 | 61.51 | 42.6 | 43.86 | 58.56 | 58.94 | 61.26 | 61.52 |
| S8 | 41.81 | 74.84 | 74.16 | 43.41 | 41.82 | 74.48 | 74.85 | 73.89 | 74.16 |
| S9 | 36.74 | 60.45 | 61.51 | 36.43 | 36.74 | 60.27 | 60.45 | 61.37 | 61.52 |
| Average | 42.83 | 73.2 | 74.48 | 48.41 | 42.83 | 73.06 | 73.2 | 73.31 | 73.48 |
Disclaimer/Publisher’s Note: The statements, opinions and data contained in all publications are solely those of the individual author(s) and contributor(s) and not of MDPI and/or the editor(s). MDPI and/or the editor(s) disclaim responsibility for any injury to people or property resulting from any ideas, methods, instructions or products referred to in the content. |
© 2023 by the authors. Licensee MDPI, Basel, Switzerland. This article is an open access article distributed under the terms and conditions of the Creative Commons Attribution (CC BY) license (https://creativecommons.org/licenses/by/4.0/).
Share and Cite
Al-Qazzaz, N.K.; Aldoori, A.A.; Ali, S.H.B.M.; Ahmad, S.A.; Mohammed, A.K.; Mohyee, M.I. EEG Signal Complexity Measurements to Enhance BCI-Based Stroke Patients’ Rehabilitation. Sensors 2023, 23, 3889. https://doi.org/10.3390/s23083889
Al-Qazzaz NK, Aldoori AA, Ali SHBM, Ahmad SA, Mohammed AK, Mohyee MI. EEG Signal Complexity Measurements to Enhance BCI-Based Stroke Patients’ Rehabilitation. Sensors. 2023; 23(8):3889. https://doi.org/10.3390/s23083889
Chicago/Turabian StyleAl-Qazzaz, Noor Kamal, Alaa A. Aldoori, Sawal Hamid Bin Mohd Ali, Siti Anom Ahmad, Ahmed Kazem Mohammed, and Mustafa Ibrahim Mohyee. 2023. "EEG Signal Complexity Measurements to Enhance BCI-Based Stroke Patients’ Rehabilitation" Sensors 23, no. 8: 3889. https://doi.org/10.3390/s23083889
APA StyleAl-Qazzaz, N. K., Aldoori, A. A., Ali, S. H. B. M., Ahmad, S. A., Mohammed, A. K., & Mohyee, M. I. (2023). EEG Signal Complexity Measurements to Enhance BCI-Based Stroke Patients’ Rehabilitation. Sensors, 23(8), 3889. https://doi.org/10.3390/s23083889

