Automated Battery Making Fault Classification Using Over-Sampled Image Data CNN Features
Abstract
1. Introduction
- This study collected a dataset from the battery manufacturing plant using a high-megapixel CMOS digital camera with a white LED annular source.
- The collected dataset was imbalanced, and to overcome this problem, this study used the Synthetic Minority Over-sampling Technique (SMOTE) on the image features to generate a sample for the minority class.
- A deep learning model Convolutional Neural Networks (CNNs) was deployed with fine-tuned architecture to extract the features.
- Several machine learning and deep learning models were evaluated using the CNN features and SMOTE over-sampled dataset.
2. Literature Review
3. Materials and Methods
3.1. Dataset Description and Preprocessing
3.2. SMOTE and Splitting
3.3. Convolutional Neural Network Architecture for Feature Extraction
3.4. Machine Learning Models
3.4.1. Support Vector Machine
3.4.2. Logistic Regression
3.4.3. Random Forest
3.4.4. Decision Tree
3.4.5. K-Nearest Neighbor
3.5. Deep Learning Models
- MobileNet-V2 model: MobileNet-V2 is a lightweight enhanced version of V1 that was designed by Google. It was trained on millions of images using a thousand different categories. Since this is a depthwise separable convolution, it just performs a single convolution on each channel rather than mixing all of the convolutions that are performed. MobileNet-v2 is an architecture that takes up very little time and performs computations very efficiently [52].
- VGG-16 model: VGG16 is a well-known and extensive model for large image datasets, which is used for image object recognition. Karen Simonyan and Andrew Zisserman in their paper [53] “Very Deep Convolutional-Networks for Large-Scale Image Recognition”, from Oxford University, offered VGG16 as a CNN approach. The concept for this model was first described in 2013, and the model itself was submitted in 2014 for the ILSVRC ImageNet Challenge. The final results of large-scale image classification (and object identification) models were evaluated in the ImageNet Wide-Scale Visual Recognition Challenge (ILSVRC). When tested on ImageNet, a database of over 14 million images organized into 1000 classes, the model outperformed 92.7% of the top models currently available.
- DenseNet-121 model: DenseNet-121 was designed to improve testing accuracy in a wide variety of classification tasks by addressing vanishing gradient issues [54]. A lengthy transformation between the input and output layers resulted to some extent in information loss. When compared to ResNet, DenseNet performs better on the measures of accuracy, efficiency, and network size. DenseNet-121 uses 166,280 trainable parameters.
- ResNet-50 model: ResNet-50 is a 50-layer convolutional neural network model that outperforms classification tasks and solves the “vanishing gradient” problem [55]. The ResNet-50 model uses 24,061,192 parameters for training with a categorical loss function and 32 batch sizes, one dense layer with 524544 parameters, and a second dense layer, also called a fully connected layer, with 2056 parameters. Furthermore, 50% dropout is added after the first dense layer. The trainable parameters for deep learning are illustrated in Table 4.
3.6. Evaluation Measures
- TP is the rate that refers to the actual positive class that is predicted positively.
- TN is the rate that refers to the correct negative predictions made by the model among all negative samples.
- FP is a false positive rate that states the actual negative predictions that are classified as positive by the model.
- FN is the rate that states that the data belong to the positive class and are predicted as negative by the machine learning algorithm.
4. Results and Discussion
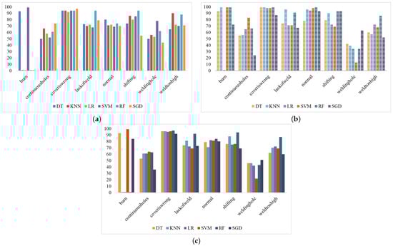
4.1. Results of Machine Learning Models
4.2. Results of Deep Learning Models
4.3. Training and Validation Accuracy Curves
4.4. Training and Validation Loss Curves
4.5. K-Fold Cross-Validation Results
4.6. Comparison of Other State-of-the-Art Models with Our Model
5. Conclusions
Author Contributions
Funding
Institutional Review Board Statement
Informed Consent Statement
Data Availability Statement
Conflicts of Interest
References
- Chiang, Y.M. Building a better battery. Science 2010, 330, 1485–1486. [Google Scholar] [CrossRef] [PubMed]
- Borah, R.; Hughson, F.; Johnston, J.; Nann, T. On battery materials and methods. Mater. Today Adv. 2020, 6, 100046. [Google Scholar] [CrossRef]
- Lee, S.S.; Kim, T.H.; Hu, S.J.; Cai, W.W.; Abell, J.A. Joining technologies for automotive lithium-ion battery manufacturing: A review. In Proceedings of the International Manufacturing Science and Engineering Conference, Erie, PA, USA, 12–15 October 2010; Volume 49460, pp. 541–549. [Google Scholar]
- Brand, M.J.; Schmidt, P.A.; Zaeh, M.F.; Jossen, A. Welding techniques for battery cells and resulting electrical contact resistances. J. Energy Storage 2015, 1, 7–14. [Google Scholar] [CrossRef]
- Fonseka, C.; Jayasinghe, J. Implementation of an automatic optical inspection system for solder quality classification of THT solder joints. IEEE Trans. Compon. Packag. Manuf. Technol. 2018, 9, 353–366. [Google Scholar] [CrossRef]
- He, Y.; Yang, K.; Wang, X.; Huang, H.; Chen, J. Quality Prediction and Parameter Optimisation of Resistance Spot Welding Using Machine Learning. Appl. Sci. 2022, 12, 9625. [Google Scholar] [CrossRef]
- Escobar, C.A.; Morales-Menendez, R. Machine learning and pattern recognition techniques for information extraction to improve production control and design decisions. In Advances in Data Mining. Applications and Theoretical Aspects, Proceedings of the 17th Industrial Conference, ICDM 2017, New York, NY, USA, 12–13 July 2017; Springer: Cham, Switzerland, 2017; pp. 286–300. [Google Scholar]
- Memon, S.A.; Javed, Q.; Kim, W.G.; Mahmood, Z.; Khan, U.; Shahzad, M. A Machine-Learning-Based Robust Classification Method for PV Panel Faults. Sensors 2022, 22, 8515. [Google Scholar] [CrossRef]
- Gao, M.; Qu, J.; Lan, H.; Wu, Q.; Lin, H.; Dong, Z.; Zhang, W. An active and passive hybrid battery equalization strategy used in group and between groups. Electronics 2020, 9, 1744. [Google Scholar] [CrossRef]
- Ye, M.; Song, X.; Xiong, R.; Sun, F. A novel dynamic performance analysis and evaluation model of series-parallel connected battery pack for electric vehicles. IEEE Access 2019, 7, 14256–14265. [Google Scholar] [CrossRef]
- Xiong, R. Core Algorithm of Battery Management System for EVs; China Machine Press: Beijing, China, 2018. [Google Scholar]
- Xiong, J.; Banvait, H.; Li, L.; Chen, Y.; Xie, J.; Liu, Y.; Wu, M.; Chen, J. Failure detection for overdischarged Li-ion batteries. In Proceedings of the 2012 IEEE International Electric Vehicle Conference, Greenville, SC, USA, 4–8 March 2012; pp. 1–5. [Google Scholar]
- Muddappa, V.K.; Anwar, S. Electrochemical model based fault diagnosis of li-ion battery using fuzzy logic. In Proceedings of the ASME International Mechanical Engineering Congress and Exposition. American Society of Mechanical Engineers, Montreal, QC, Canada, 14–20 November 2014; Volume 46483, p. V04BT04A048. [Google Scholar]
- Yao, L.; Fang, Z.; Xiao, Y.; Hou, J.; Fu, Z. An intelligent fault diagnosis method for lithium battery systems based on grid search support vector machine. Energy 2021, 214, 118866. [Google Scholar] [CrossRef]
- Yang, Y.; Pan, L.; Ma, J.; Yang, R.; Zhu, Y.; Yang, Y.; Zhang, L. A high-performance deep learning algorithm for the automated optical inspection of laser welding. Appl. Sci. 2020, 10, 933. [Google Scholar] [CrossRef]
- Yang, Y.; Yang, R.; Pan, L.; Ma, J.; Zhu, Y.; Diao, T.; Zhang, L. A lightweight deep learning algorithm for inspection of laser welding defects on safety vent of power battery. Comput. Ind. 2020, 123, 103306. [Google Scholar] [CrossRef]
- Chen, Z.; Xiong, R.; Tian, J.; Shang, X.; Lu, J. Model-based fault diagnosis approach on external short-circuit of lithium-ion battery used in electric vehicles. Appl. Energy 2016, 184, 365–374. [Google Scholar] [CrossRef]
- Dey, S.; Biron, Z.A.; Tatipamula, S.; Das, N.; Mohon, S.; Ayalew, B.; Pisu, P. Model-based real-time thermal fault diagnosis of Lithium-ion batteries. Control Eng. Pract. 2016, 56, 37–48. [Google Scholar] [CrossRef]
- Liu, Z.; He, H. Sensor fault detection and isolation for a lithium-ion battery pack in electric vehicles using adaptive extended Kalman filter. Appl. Energy 2017, 185, 2033–2044. [Google Scholar] [CrossRef]
- Nuhic, A.; Terzimehic, T.; Soczka-Guth, T.; Buchholz, M.; Dietmayer, K. Health diagnosis and remaining useful life prognostics of lithium-ion batteries using data-driven methods. J. Power Sources 2013, 239, 680–688. [Google Scholar] [CrossRef]
- Ardeshiri, R.R.; Balagopal, B.; Alsabbagh, A.; Ma, C.; Chow, M.Y. Machine learning approaches in battery management systems: State of the art: Remaining useful life and fault detection. In Proceedings of the 2020 2nd IEEE International Conference on Industrial Electronics for Sustainable Energy Systems (IESES), Cagliari, Italy, 1–3 September 2020; Volume 1, pp. 61–66. [Google Scholar]
- Yang, S.; Xu, B.; Peng, H. Isolation and Grading of Faults in Battery Packs Based on Machine Learning Methods. Electronics 2022, 11, 1494. [Google Scholar] [CrossRef]
- Sabri, N.; Tlemcani, A.; Chouder, A. Real-time diagnosis of battery cells for stand-alone photovoltaic system using machine learning techniques. Rev. Roum. Sci. Tech.-Ser. Electrotech. Energetique 2021, 66, 105–110. [Google Scholar]
- Naha, A.; Khandelwal, A.; Agarwal, S.; Tagade, P.; Hariharan, K.S.; Kaushik, A.; Yadu, A.; Kolake, S.M.; Han, S.; Oh, B. Internal short-circuit detection in Li-ion batteries using supervised machine learning. Sci. Rep. 2020, 10, 1301. [Google Scholar] [CrossRef]
- Greve, L.; Fehrenbach, C. Mechanical testing and macro-mechanical finite element simulation of the deformation, fracture, and short-circuit initiation of cylindrical Lithium ion battery cells. J. Power Sources 2012, 214, 377–385. [Google Scholar] [CrossRef]
- Li, X.; Dai, K.; Wang, Z.; Han, W. Lithium-ion batteries fault diagnostic for electric vehicles using sample entropy analysis method. J. Energy Storage 2020, 27, 101121. [Google Scholar] [CrossRef]
- Zhu, Y.; Yang, R.; He, Y.; Ma, J.; Guo, H.; Yang, Y.; Zhang, L. A Lightweight multiscale attention semantic segmentation algorithm for detecting laser welding defects on safety vent of power battery. IEEE Access 2021, 9, 39245–39254. [Google Scholar] [CrossRef]
- Chawla, N.V.; Bowyer, K.W.; Hall, L.O.; Kegelmeyer, W.P. SMOTE: Synthetic minority over-sampling technique. J. Artif. Intell. Res. 2002, 16, 321–357. [Google Scholar] [CrossRef]
- Rustam, F.; Aslam, N.; De La Torre Díez, I.; Khan, Y.D.; Mazón, J.L.V.; Rodríguez, C.L.; Ashraf, I. White Blood Cell Classification Using Texture and RGB Features of Oversampled Microscopic Images. Healthcare 2022, 10, 2230. [Google Scholar] [CrossRef] [PubMed]
- Sultana, F.; Sufian, A.; Dutta, P. Advancements in image classification using convolutional neural network. In Proceedings of the 2018 Fourth International Conference on Research in Computational Intelligence and Communication Networks (ICRCICN), Kolkata, India, 22–23 November 2018; pp. 122–129. [Google Scholar]
- Biswas, G.C.; Choudhury, S.; Rabbani, M.M.; Das, J. A Review on Potential Electrochemical Point-of-Care Tests Targeting Pandemic Infectious Disease Detection: COVID-19 as a Reference. Chemosensors 2022, 10, 269. [Google Scholar] [CrossRef]
- Musaev, M.; Khujayorov, I.; Ochilov, M. Image approach to speech recognition on CNN. In Proceedings of the 2019 3rd International Symposium on Computer Science and Intelligent Control, Amsterdam, The Netherlands, 25–27 September 2019; pp. 1–6. [Google Scholar]
- Piratelo, P.H.M.; de Azeredo, R.N.; Yamao, E.M.; Maidl, G.; de Jesus, L.P.; de Arruda Penteado Neto, R.; Coelho, L.D.S.; Leandro, G.V. Convolutional neural network applied for object recognition in a warehouse of an electric company. In Proceedings of the 2021 14th IEEE International Conference on Industry Applications (INDUSCON), Sao Paulo, Brazil, 15–18 August 2021; pp. 293–299. [Google Scholar]
- Lee, H.J.; Kim, K.T.; Park, J.H.; Bere, G.; Ochoa, J.J.; Kim, T. Convolutional neural network-based false battery data detection and classification for battery energy storage systems. IEEE Trans. Energy Convers. 2021, 36, 3108–3117. [Google Scholar] [CrossRef]
- Saha, S. A comprehensive guide to convolutional neural networks—The ELI5 way. Towards Data Sci. 2018, 15, 15. [Google Scholar]
- Reshi, A.A.; Rustam, F.; Mehmood, A.; Alhossan, A.; Alrabiah, Z.; Ahmad, A.; Alsuwailem, H.; Choi, G.S. An efficient CNN model for COVID-19 disease detection based on X-ray image classification. Complexity 2021, 2021, 6621607. [Google Scholar] [CrossRef]
- Rustam, F.; Ishaq, A.; Munir, K.; Almutairi, M.; Aslam, N.; Ashraf, I. Incorporating CNN Features for Optimizing Performance of Ensemble Classifier for Cardiovascular Disease Prediction. Diagnostics 2022, 12, 1474. [Google Scholar] [CrossRef]
- Wu, H.; Gu, X. Max-pooling dropout for regularization of convolutional neural networks. In Neural Information Processing, Proceedings of the 22nd International Conference, ICONIP 2015, Istanbul, Turkey, 9–12 November 2015; Springer: Cham, Switzerland, 2015; pp. 46–54. [Google Scholar]
- Siddiqui, H.U.R.; Saleem, A.A.; Brown, R.; Bademci, B.; Lee, E.; Rustam, F.; Dudley, S. Non-invasive driver drowsiness detection system. Sensors 2021, 21, 4833. [Google Scholar] [CrossRef]
- Rupapara, V.; Rustam, F.; Aljedaani, W.; Shahzad, H.F.; Lee, E.; Ashraf, I. Blood cancer prediction using leukemia microarray gene data and hybrid logistic vector trees model. Sci. Rep. 2022, 12, 1000. [Google Scholar] [CrossRef]
- George, A.; Ravindran, A.; Mendieta, M.; Tabkhi, H. Mez: An adaptive messaging system for latency-sensitive multi-camera machine vision at the iot edge. IEEE Access 2021, 9, 21457–21473. [Google Scholar] [CrossRef]
- George, A. Distributed Messaging System for the IoT Edge. Ph.D. Thesis, The University of North Carolina at Charlotte, Charlotte, NC, USA, 2020. [Google Scholar]
- Rustam, F.; Mushtaq, M.F.; Hamza, A.; Farooq, M.S.; Jurcut, A.D.; Ashraf, I. Denial of Service Attack Classification Using Machine Learning with Multi-Features. Electronics 2022, 11, 3817. [Google Scholar] [CrossRef]
- Rustam, F.; Ashraf, I.; Jurcut, A.D.; Bashir, A.K.; Zikria, Y.B. Malware detection using image representation of malware data and transfer learning. J. Parallel Distrib. Comput. 2023, 172, 32–50. [Google Scholar] [CrossRef]
- Yin, Z.; Hou, J. Recent advances on SVM based fault diagnosis and process monitoring in complicated industrial processes. Neurocomputing 2016, 174, 643–650. [Google Scholar] [CrossRef]
- Zhang, Z.; Han, H.; Cui, X.; Fan, Y. Novel application of multi-model ensemble learning for fault diagnosis in refrigeration systems. Appl. Therm. Eng. 2020, 164, 114516. [Google Scholar] [CrossRef]
- Yan, J.; Lee, J. Degradation assessment and fault modes classification using logistic regression. J. Manuf. Sci. Eng. 2005, 127, 912–914. [Google Scholar] [CrossRef]
- Rigatti, S.J. Random forest. J. Insur. Med. 2017, 47, 31–39. [Google Scholar] [CrossRef] [PubMed]
- Quinlan, J.R. Learning decision tree classifiers. ACM Comput. Surv. (CSUR) 1996, 28, 71–72. [Google Scholar] [CrossRef]
- Amato, G.; Falchi, F. kNN based image classification relying on local feature similarity. In Proceedings of the Third International Conference on Similarity Search and Applications, Istanbul, Turkey, 18–19 September 2010; pp. 101–108. [Google Scholar]
- Guo, G.; Wang, H.; Bell, D.; Bi, Y.; Greer, K. KNN model-based approach in classification. In On the Move to Meaningful Internet Systems 2003: CoopIS, DOA, and ODBASE, Proceedings of the OTM Confederated International Conferences, CoopIS, DOA, and ODBASE 2003, Catania, Sicily, Italy, 3–7 November 2003; Springer: Berlin/Heidelberg, Germany, 2003; pp. 986–996. [Google Scholar]
- Shen, Y.; Sun, H.; Xu, X.; Zhou, J. Detection and positioning of surface defects on galvanized sheet based on improved MobileNet v2. In Proceedings of the 2019 Chinese Control Conference (CCC), Guangzhou, China, 27–30 July 2019; pp. 8450–8454. [Google Scholar]
- Simonyan, K.; Zisserman, A. Very deep convolutional networks for large-scale image recognition. arXiv 2014, arXiv:1409.1556. [Google Scholar]
- Huang, G.; Liu, S.; Van der Maaten, L.; Weinberger, K.Q. Condensenet: An efficient densenet using learned group convolutions. In Proceedings of the IEEE Conference on Computer Vision and Pattern Recognition, Salt Lake City, UT, USA, 18–23 June 2018; pp. 2752–2761. [Google Scholar]
- Wen, L.; Li, X.; Gao, L. A transfer convolutional neural network for fault diagnosis based on ResNet-50. Neural Comput. Appl. 2020, 32, 6111–6124. [Google Scholar] [CrossRef]
- Miah, Y.; Prima, C.N.E.; Seema, S.J.; Mahmud, M.; Shamim Kaiser, M. Performance comparison of machine learning techniques in identifying dementia from open access clinical datasets. In Advances on Smart and Soft Computing; Springer: Singapore, 2021; pp. 79–89. [Google Scholar]
- Rustam, F.; Siddique, M.A.; Siddiqui, H.U.R.; Ullah, S.; Mehmood, A.; Ashraf, I.; Choi, G.S. Wireless capsule endoscopy bleeding images classification using CNN based model. IEEE Access 2021, 9, 33675–33688. [Google Scholar] [CrossRef]
- Ismail, W.N.; Rajeena, P.P.F.; Ali, M.A.S. MULTforAD: Multimodal MRI Neuroimaging for Alzheimer’s Disease Detection Based on a 3D Convolution Model. Electronics 2022, 11, 3893. [Google Scholar] [CrossRef]
- Buongiorno, D.; Prunella, M.; Grossi, S.; Hussain, S.M.; Rennola, A.; Longo, N.; Di Stefano, G.; Bevilacqua, V.; Brunetti, A. Inline Defective Laser Weld Identification by Processing Thermal Image Sequences with Machine and Deep Learning Techniques. Appl. Sci. 2022, 12, 6455. [Google Scholar] [CrossRef]







| Ref | Models | Dataset | Aim | Limitations |
|---|---|---|---|---|
| [15] | SqueezeNet | Welding defect images | Automatic inspection of laser welding defects using deep learning. | The experiments in the study used a large dataset, but some classes were imbalanced. They caused over-fitting of the model. |
| [16] | VGG model | Laser welding images | Given large datasets, a pre-trained SqueezeNet was utilized to detect the welding fault of the safety vent on the power battery. | The study solved the two and three classification problems and did not use machine learning to detect the faults. Furthermore, it did not conduct cross-dataset experiments. |
| [17] | First-order RC model | Lithium cells | The basic aim was to improve the accuracy of detecting external short-circuits in lithium batteries using the DPSO and RC algorithms. | These methods were only used to identify battery defects and their levels; they were unable to detect accidents in a responsible way and may have missed certain battery faults. |
| [20] | SVM | Battery cells | SVM-based estimation of the state-of-health and prediction of the remaining useful life of lithium batteries. | The results were unsatisfactory. |
| [22] | mRVM | Battery packs | Detection of common battery pack defects using machine learning models. | The likelihood of effective fault isolation was relatively low. |
| [24] | SVM | Battery data | Automated and real-time internal short-circuit fault detection using powerful machine learning models. | The deep transfer learning approach was not used. |
| [26] | Sample entropy | Battery system | To diagnose battery faults in electric vehicles, a unique approach based on sample entropy was proposed. | The study did not use machine learning to diagnose the defects. |
| [27] | Improved Res2Net | Safety vent welding defect images | An effective multi-scale attention semantic segmentation method for power battery laser fault detection. | The study did not use any feature extractors or machine learning to diagnose the defects. |
| Datasets | Training | Testing | Total |
|---|---|---|---|
| Imbalanced dataset | 3175 | 561 | 3736 |
| Balanced dataset | 5977 | 1055 | 7032 |
| Models | Hyper-Parameters |
|---|---|
| LR | random_state = 200, solver = “sag”, multi_class = “multinomial”, C = 3.0 |
| RF | n_estimators = 300, random_state = 5, max_depth = 300 |
| KNN | Default_parameters |
| DT | max_depth = 300 |
| SVM | kernel = “poly”, C = 3.0, random_state = 500 |
| Models | Parameters | Settings |
|---|---|---|
| CNN | 5,398,998 | loss= “categorical_crossentropy”, lr = 0.001, optimizer = adam, batch_size = 32 |
| DenseNet-121 | 166,280 | loss = “categorical_crossentropy”, dropout = 0.001, optimizer = adam, batch_size = 32 |
| VGG-16 | 137,496 | loss = “categorical_crossentropy”, dropout = 0.001, optimizer = adam, batch_size=32 |
| ResNet-50 | 24,061,192 | loss = “categorical_crossentropy”, dropout = 0.001, optimizer = adam, batch_size = 32 |
| MobileNet-V2 | 662,536 | loss = “categorical_crossentropy”, neurons = 512, dropout = 0.3, lr = 0.001, optimizer = Adamax |
| Imbalanced Dataset | Balanced Dataset | ||||||||
|---|---|---|---|---|---|---|---|---|---|
| Classifiers | Accuracy | Faults | Precision | Recall | F1 Score | Accuracy | Precision | Recall | F1 Score |
| DT | 50 | burn | 53 | 47 | 47 | 73 | 93 | 93 | 93 |
| continuous holes | 50 | 55 | 52 | 50 | 55 | 53 | |||
| cover is wrong | 97 | 88 | 92 | 94 | 99 | 96 | |||
| lack of weld | 18 | 15 | 16 | 73 | 74 | 74 | |||
| normal | 52 | 54 | 53 | 80 | 78 | 79 | |||
| shifting | 28 | 19 | 18 | 74 | 79 | 76 | |||
| welding hole | 38 | 35 | 37 | 50 | 42 | 46 | |||
| weld too high | 64 | 64 | 64 | 65 | 60 | 62 | |||
| KNN | 61 | burn | 100 | 68 | 81 | 79 | 100 | 99 | 100 |
| continuous holes | 62 | 66 | 64 | 66 | 56 | 61 | |||
| cover is wrong | 97 | 100 | 99 | 94 | 99 | 96 | |||
| lack of weld | 45 | 47 | 46 | 70 | 96 | 81 | |||
| normal | 50 | 64 | 56 | 71 | 96 | 71 | |||
| shifting | 61 | 35 | 45 | 86 | 90 | 88 | |||
| welding hole | 45 | 41 | 43 | 56 | 39 | 46 | |||
| weld too high | 73 | 70 | 71 | 90 | 57 | 70 | |||
| LR | 64 | burn | 100 | 74 | 85 | 76 | 100 | 100 | 100 |
| continuous holes | 65 | 67 | 66 | 58 | 65 | 61 | |||
| cover is wrong | 97 | 94 | 96 | 92 | 98 | 95 | |||
| lack of weld | 42 | 33 | 37 | 72 | 71 | 72 | |||
| normal | 59 | 78 | 68 | 72 | 94 | 82 | |||
| shifting | 50 | 35 | 42 | 80 | 72 | 75 | |||
| welding hole | 49 | 38 | 43 | 53 | 34 | 42 | |||
| weld too high | 69 | 84 | 76 | 72 | 72 | 72 | |||
| SVM | 63 | burn | 100 | 74 | 85 | 74 | 99 | 99 | 99 |
| continuous holes | 59 | 86 | 70 | 52 | 83 | 64 | |||
| cover is wrong | 97 | 100 | 97 | 94 | 98 | 96 | |||
| lack of weld | 67 | 10 | 17 | 68 | 71 | 69 | |||
| normal | 57 | 99 | 72 | 69 | 98 | 81 | |||
| shifting | 67 | 6 | 12 | 85 | 69 | 76 | |||
| welding hole | 55 | 10 | 16 | 78 | 13 | 22 | |||
| weld too high | 64 | 89 | 74 | 70 | 68 | 69 | |||
| RF | 65 | burn | 100 | 79 | 88 | 84 | 100 | 99 | 100 |
| continuous holes | 66 | 69 | 68 | 61 | 66 | 63 | |||
| cover is wrong | 97 | 100 | 99 | 94 | 99 | 97 | |||
| lack of weld | 53 | 25 | 34 | 94 | 91 | 92 | |||
| normal | 58 | 91 | 71 | 74 | 99 | 84 | |||
| shifting | 75 | 10 | 17 | 94 | 93 | 94 | |||
| welding hole | 56 | 35 | 43 | 62 | 34 | 43 | |||
| weld too high | 64 | 90 | 75 | 88 | 86 | 87 | |||
| Models | Accuracy% | Faults | Precision% | Recall% | F1 Score% |
|---|---|---|---|---|---|
| CNN | 75 | burn | 94 | 97 | 94 |
| continuous holes | 81 | 45 | 54 | ||
| cover is wrong | 96 | 86 | 91 | ||
| lack of weld | 86 | 58 | 69 | ||
| normal | 77 | 67 | 72 | ||
| shifting | 66 | 84 | 74 | ||
| welding hole | 47 | 79 | 59 | ||
| weld too high | 73 | 82 | 77 | ||
| DenseNet-211 | 74 | burn | 95 | 87 | 91 |
| continuous holes | 69 | 71 | 70 | ||
| cover is wrong | 85 | 95 | 90 | ||
| lack of weld | 72 | 63 | 67 | ||
| normal | 68 | 91 | 78 | ||
| shifting | 69 | 65 | 67 | ||
| welding hole | 57 | 38 | 45 | ||
| weld too high | 69 | 76 | 73 | ||
| VGG-16 | 28 | burn | 99 | 98 | 98 |
| continuous holes | 16 | 100 | 27 | ||
| cover is wrong | 0 | 0 | 0 | ||
| lack of weld | 0 | 0 | 0 | ||
| normal | 0 | 0 | 0 | ||
| shifting | 0 | 0 | 0 | ||
| welding hole | 0 | 0 | 0 | ||
| weld too high | 0 | 0 | 0 | ||
| ResNet-50 | 24 | burn | 33 | 93 | 48 |
| continuous holes | 0 | 0 | 0 | ||
| cover is wrong | 38 | 30 | 33 | ||
| lack of weld | 0 | 0 | 0 | ||
| normal | 50 | 1 | 2 | ||
| shifting | 15 | 74 | 25 | ||
| welding hole | 0 | 0 | 0 | ||
| weld too high | 0 | 0 | 0 | ||
| MobileNet-V2 | 71 | burn | 95 | 93 | 94 |
| continuous holes | 60 | 85 | 70 | ||
| cover is wrong | 88 | 94 | 91 | ||
| lack of weld | 65 | 56 | 60 | ||
| normal | 69 | 63 | 66 | ||
| shifting | 63 | 62 | 63 | ||
| welding hole | 44 | 24 | 31 | ||
| weld too high | 67 | 79 | 73 |
| Models | Accuracy% | Faults | Precision% | Recall% | F1 Score% |
|---|---|---|---|---|---|
| CNN | 65 | burn | 100 | 96 | 98 |
| continuous holes | 69 | 62 | 65 | ||
| cover is wrong | 96 | 85 | 90 | ||
| lack of weld | 56 | 56 | 56 | ||
| normal | 53 | 29 | 38 | ||
| shifting | 96 | 62 | 75 | ||
| welding hole | 47 | 61 | 53 | ||
| weld too high | 72 | 86 | 78 | ||
| DenseNet-211 | 65 | burn | 92 | 96 | 94 |
| continuous holes | 65 | 66 | 65 | ||
| cover is wrong | 93 | 100 | 96 | ||
| lack of weld | 48 | 67 | 56 | ||
| normal | 52 | 94 | 67 | ||
| shifting | 53 | 92 | 67 | ||
| welding hole | 56 | 29 | 38 | ||
| weld too high | 86 | 56 | 67 | ||
| VGG-16 | 41 | burn | 0 | 0 | 0 |
| continuous holes | 33 | 99 | 49 | ||
| cover is wrong | 0 | 0 | 0 | ||
| lack of weld | 12 | 2 | 4 | ||
| normal | 0 | 0 | 0 | ||
| shifting | 0 | 0 | 0 | ||
| welding hole | 0 | 0 | 0 | ||
| weld too high | 64 | 89 | 74 | ||
| ResNet-50 | 41 | burn | 100 | 46 | 63 |
| continuous holes | 24 | 47 | 32 | ||
| cover is wrong | 68 | 100 | 81 | ||
| lack of weld | 39 | 21 | 27 | ||
| normal | 56 | 68 | 61 | ||
| shifting | 81 | 35 | 49 | ||
| welding hole | 48 | 52 | 50 | ||
| weld too high | 100 | 01 | 02 | ||
| MobileNet-V2 | 62 | burn | 100 | 88 | 93 |
| continuous holes | 58 | 77 | 93 | ||
| cover is wrong | 93 | 100 | 96 | ||
| lack of weld | 60 | 49 | 54 | ||
| normal | 46 | 44 | 45 | ||
| shifting | 81 | 59 | 69 | ||
| welding hole | 42 | 31 | 35 | ||
| weld too high | 75 | 83 | 79 |
| CNN 1 | |
|---|---|
| Sequential () preprocessing.Rescaling (1./255, input_shape = (150, 150, 3))) Conv2D (filters = 32, kernel_size = (3, 3), activation = “relu”, kernel_initializer = “he_normal”) MaxPooling2D (pool_size = (2, 2)) Dropout (0.1) Conv2D (filters = 64,kernel_size = (3, 3), activation = “relu”, kernel_initializer = “he_normal”) MaxPooling2D (pool_size = (2, 2)) Dropout (0.2) Conv2D (filters = 256,kernel_size = (3, 3), activation = “relu”, kernel_initializer = “he_normal”) MaxPooling2D (pool_size = (2, 2)) Dropout (0.2) Flatten () Dense (256, activation = “relu”) Dense (512,activation = “relu”) Dense (256, “relu”) | |
| CNN 2 | CNN 3 |
| Sequential () preprocessing.Rescaling (1./255, input_shape = (150, 150, 3)) Conv2D (filters = 32, kernel_size = (3, 3), activation = “relu”) MaxPooling2D (pool_size = (2, 2)) Conv2D (filters = 64, kernel_size = (3, 3), activation = “relu”) MaxPooling2D (pool_size = (2, 2)) Conv2D (filters = 64, kernel_size = (3, 3), activation = “relu”) MaxPooling2D (pool_size = (2, 2)) Conv2D (filters = 64, kernel_size = (3, 3), activation = “relu”) MaxPooling2D (pool_size = (2, 2)) Dropout (0.2) Flatten ()) Dropout (0.5) Dense (128, activation = “relu”) Dense (256, activation = “relu”)) Dense (512, activation = “relu”)) | Sequential () preprocessing.Rescaling (1./255, input_shape = (150, 150, 3)) Conv2D (filters = 32, kernel_size = (3,3), activation = “relu”) Conv2D (filters = 32, kernel_size = (3, 3), activation = “relu”) Conv2D (filters = 32, kernel_size = (3, 3), activation = “relu”) Conv2D (filters = 32, kernel_size = (3, 3), activation = “relu”) Conv2D (filters = 32, kernel_size = (3, 3), activation = “relu”) MaxPooling2D () Dropout (0.2)) Flatten ()) Dropout (0.5) Dense (128, activation = “relu”) Dense (256, activation = “relu”)) |
| Dense (8, “softmax”)) compile(loss = “categorical_crossentropy”, optimizer = “Adam”, metrics = [“accuracy”]) | |
| Models | Accuracy | Parameters | Faults | Precision | Recall | F1 Score |
|---|---|---|---|---|---|---|
| Fine-tuned CNN 1 | 77 | 21,665,992 | burn | 93 | 99 | 95 |
| continuous holes | 71 | 50 | 58 | |||
| cover is wrong | 94 | 96 | 95 | |||
| lack of weld | 77 | 60 | 68 | |||
| normal | 69 | 94 | 79 | |||
| shifting | 84 | 78 | 81 | |||
| welding hole | 56 | 52 | 54 | |||
| weld too high | 70 | 87 | 78 | |||
| Fine-tuned CNN 2 | 78 | 889,672 | burn | 96 | 99 | 98 |
| continuous holes | 65 | 76 | 70 | |||
| cover is wrong | 96 | 98 | 97 | |||
| lack of weld | 83 | 71 | 76 | |||
| normal | 77 | 81 | 79 | |||
| shifting | 85 | 76 | 80 | |||
| welding hole | 49 | 37 | 42 | |||
| weld too high | 68 | 85 | 76 | |||
| Fine-tuned CNN 3 | 76 | 23,113,096 | burn | 96 | 94 | 95 |
| continuous holes | 62 | 64 | 63 | |||
| cover is wrong | 91 | 93 | 92 | |||
| lack of weld | 83 | 81 | 82 | |||
| normal | 70 | 85 | 82 | |||
| shifting | 79 | 85 | 82 | |||
| welding hole | 49 | 43 | 46 | |||
| weld too high | 78 | 78 | 78 |
| ML Model | Time | DL Model | Time |
|---|---|---|---|
| DT | 9.13 | DenseNet121 | 231 |
| KNN | 0.69 | ResNet50 | 700 |
| LR | 38.29 | VGG16 | 360 |
| SVM | 18.58 | MobileNetV2 | 100 |
| RF | 35.65 | Fine-tuned CNN 1 | 122 |
| SGD | 16.54 | Fine-tuned CNN 2 | 100 |
| Fine-tuned CNN 3 | 361 |
| Models | 10-Fold Accuracy | 05-Fold Accuracy |
|---|---|---|
| DT | 71.246 ± 0.0336 | 71.275 ± 0.0327 |
| KNN | 76.008 ± 0.0310 | 74.999 ± 0.0321 |
| LR | 81.897 ± 0.0255 | 80.930 ± 0.0178 |
| SVM | 80.588 ± 0.0248 | 79.735 ± 0.0148 |
| RF | 81.285 ± 0.0304 | 80.218 ± 0.0340 |
Disclaimer/Publisher’s Note: The statements, opinions and data contained in all publications are solely those of the individual author(s) and contributor(s) and not of MDPI and/or the editor(s). MDPI and/or the editor(s) disclaim responsibility for any injury to people or property resulting from any ideas, methods, instructions or products referred to in the content. |
© 2023 by the authors. Licensee MDPI, Basel, Switzerland. This article is an open access article distributed under the terms and conditions of the Creative Commons Attribution (CC BY) license (https://creativecommons.org/licenses/by/4.0/).
Share and Cite
Din, N.U.; Zhang, L.; Yang, Y. Automated Battery Making Fault Classification Using Over-Sampled Image Data CNN Features. Sensors 2023, 23, 1927. https://doi.org/10.3390/s23041927
Din NU, Zhang L, Yang Y. Automated Battery Making Fault Classification Using Over-Sampled Image Data CNN Features. Sensors. 2023; 23(4):1927. https://doi.org/10.3390/s23041927
Chicago/Turabian StyleDin, Nasir Ud, Li Zhang, and Yatao Yang. 2023. "Automated Battery Making Fault Classification Using Over-Sampled Image Data CNN Features" Sensors 23, no. 4: 1927. https://doi.org/10.3390/s23041927
APA StyleDin, N. U., Zhang, L., & Yang, Y. (2023). Automated Battery Making Fault Classification Using Over-Sampled Image Data CNN Features. Sensors, 23(4), 1927. https://doi.org/10.3390/s23041927
