Two-Dimensional Phononic Crystal Based Sensor for Characterization of Mixtures and Heterogeneous Liquids
Abstract
1. Introduction
2. Materials and Methods
3. Results
3.1. Theoretical Calculations of Band Diagrams of Transmission Spectra of a 2D Phononic Crystal with a Liquid-Filled Cavity Defect
3.2. Experiments with a Water–Propanol Mixtures
3.3. Experiments with a Water–Fuel Emulsion
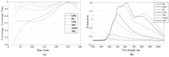
3.3.1. Preparation and Properties of Water–Fuel Emulsion
3.3.2. Measurement of the Transmission Spectra of Acoustic Waves through the PnC Sensor
4. Discussion
5. Conclusions
- –
- The proposed phononic crystal with a liquid-filled defect provides a high-Q cavity resonance;
- –
- In the proposed PnC sensor, the resonance frequency and the Q-factor are dependent on volumetric physical properties of the liquids;
- –
- The dominant property that determines the resonance frequency is the composition of the liquid;
- –
- The dominant factor usually determining the Q-factor are viscous losses at the solid–liquid interfaces;
- –
- The radial (axisymmetric) vibration mode avoids shear displacement at the solid–liquid interface;
- –
- Hence, the radial (axisymmetric) mode in cylindrical liquid-filled resonators gives access to the highest Q-factor (compared to other possible modes);
- –
- The axisymmetric mode is, therefore, the key to an enhanced sensitivity of the PnC sensor to liquid analyte properties;
- –
- The design of the PnC is the key to an optimal transduction of the plane wave into the radial cavity mode and backwards;
- –
- Among others, changes in the chemical composition of the liquid or an increase in the concentration of droplets in heterogeneous liquids are examples of indirect sensor output values.
Author Contributions
Funding
Institutional Review Board Statement
Informed Consent Statement
Data Availability Statement
Acknowledgments
Conflicts of Interest
Appendix A. Details of PnC Sensor Numerical Modelling
Appendix B. Aspects of PnC Sensor Configuration and Sensitivity




Appendix C. Aspects of Dynamic Light Scattering Measurements
References
- Sigalas, M.M.; Economou, E.N. Elastic and Acoustic Wave Band Structure. J. Sound Vib. 1992, 158, 377–382. [Google Scholar] [CrossRef]
- Kushwaha, M.S.; Halevi, P.; Martinez, G.; Dobrzynski, L.; Djafari-Rouhani, B. Theory of Acoustic Band Structure of Periodic Composites. Phys. Rev. B. 1994, 49, 2313–2322. [Google Scholar] [CrossRef] [PubMed]
- Graff, K.F. Wave Motion in Elastic Solids; Dover Publications: New York, NY, USA, 1975. [Google Scholar]
- Zen, N.; Puurtinen, T.A.; Isotalo, T.J.; Chaudhuri, S.; Maasilta, I.J. Engineering Thermal Conductance Using a Two-Dimensional Phononic Crystal. Nat. Commun. 2014, 5, 3435. [Google Scholar] [CrossRef] [PubMed]
- Lucklum, R.; Ke, M.; Zubtsov, M. Two-Dimensional Phononic Crystal Sensor Based on a Cavity Mode. Sens Actuators B Chem. 2012, 171–172, 271–277. [Google Scholar] [CrossRef]
- Bourquin, Y.; Wilson, R.; Zhang, Y.; Reboud, J.; Cooper, J.M. Phononic Crystals for Shaping Fluids. Adv. Mater. 2011, 23, 1458–1462. [Google Scholar] [CrossRef]
- Cang, Y.; Jin, Y.; Djafari-Rouhani, B.; Fytas, G. Fundamentals, Progress and Perspectives on High-Frequency Phononic Crystals. J. Phys. D Appl. Phys. 2022, 55, 193002. [Google Scholar] [CrossRef]
- Vasileiadis, T.; Varghese, J.; Babacic, V.; Gomis-Bresco, J.; Navarro Urrios, D.; Graczykowski, B. Progress and Perspectives on Phononic Crystals. J. Appl. Phys. 2021, 129, 160901. [Google Scholar] [CrossRef]
- Maldovan, M. Sound and Heat Revolutions in Phononics. Nature 2013, 503, 209–217. [Google Scholar] [CrossRef]
- Brûlé, S.; Javelaud, E.H.; Enoch, S.; Guenneau, S. Experiments on Seismic Metamaterials: Molding Surface Waves. Phys. Rev. Lett. 2014, 112, 133901. [Google Scholar] [CrossRef]
- Olsson, R.H.; El-Kady Su, M.F.; Tuck, M.R.; McCormick, F.B.; Fleming, J.G. Research on Micro-Sized Acoustic Bandgap Structures; Sandia Report, SAND2010–0044; Sandia National Laboratory: Albuquerque, NM, USA, 2010. [Google Scholar]
- Vasseur, J.O.; Deymier, P.A.; Chenni, B.; Djafari-Rouhani, B.; Dobrzynski, L.; Prevost, D. Experimental and Theoretical Evidence for the Existence of Absolute Acoustic Band Gaps in Two-Dimensional Solid Phononic Crystals. Phys. Rev. Lett. 2001, 86, 3012–3015. [Google Scholar] [CrossRef]
- Li, X.F.; Ni, X.; Feng, L.; Lu, M.H.; He, C.; Chen, Y.F. Tunable Unidirectional Sound Propagation through a Sonic-Crystal-Based Acoustic Diode. Phys. Rev. Lett. 2011, 106, 084301. [Google Scholar] [CrossRef]
- Gorishnyy, T.; Ullal, C.K.; Maldovan, M.; Fytas, G.; Thomas, E.L. Hypersonic Phononic Crystals. Phys. Rev. Lett. 2005, 94, 115501. [Google Scholar] [CrossRef]
- El-Kady, I.; Olsson, R.H.; Hopkins, P.E.; Leseman, Z.C.; Goettler, D.F.; Kim, B.; Reinke, M.; Su, M.F. Phonon Manipulation with Phononic Crystals; Sandia Report, SAND2012–0127; Sandia National Laboratory: Albuquerque, NM, USA, 2012. [Google Scholar]
- Lucklum, R.; Li, J. Phononic Crystals for Liquid Sensor Applications. Meas. Sci. Technol. 2009, 20, 124014. [Google Scholar] [CrossRef]
- Lucklum, R.; Zubtsov, M.; Pennec, Y.; Lucklum, F. 2D and 3D Phononic Crystals—A New Class of (Bio)Chemical Microsensors and Sensor Networks. In Proceedings of the Sixth International Conference on Sensor Device Technologies and Applications (SENSORDEVICES 2015), Venice, Italy, 23–28 August 2015; pp. 60–62, ISBN 978-1-61208-426-8. [Google Scholar]
- Salman, A.; Kaya, O.A.; Cicek, A. Determination of Concentration of Ethanol in Water by a Linear Waveguide in a 2-Dimensional Phononic Crystal Slab. Sens. Actuators A 2014, 208, 50–55. [Google Scholar] [CrossRef]
- Sarvazyan, A.P.; Chalikian, T.V. Theoretical Analysis of an Ultrasonic Interferometer for Precise Measurements at High Pressures. Ultrasonics 1991, 29, 119–124. [Google Scholar] [CrossRef]
- Lucklum, R.; Mukhin, N.; Rouhani, B.D.; Pennec, Y. Phononic Crystal Sensors: A New Class of Resonant Sensors—Chances and Challenges for the Determination of Liquid Properties. Front. Mech. Eng. 2021, 7, 705194. [Google Scholar] [CrossRef]
- Oseev, A.; Zubtsov, M.; Lucklum, R. Gasoline Properties Determination with Phononic Crystal Cavity Sensor. Sens. Actuators B Chem. 2013, 189, 208–212. [Google Scholar] [CrossRef]
- Oseev, A.; Mukhin, N.V.; Lucklum, R.; Zubtsov, M.; Schmidt, M.P.; Redka, D.; Kozyrev, A.; Hirsch, S. Towards Macroporous Phononic Crystal Based Structures for FBAR Applications. Theoretical Investigation of Technologically Competitive Solutions. Microsyst. Technol. 2018, 24, 2389–2399. [Google Scholar] [CrossRef]
- Mukhin, N.; Kutia, M.; Oseev, A.; Steinmann, U.; Palis, S.; Lucklum, R. Narrow Band Solid-Liquid Composite Arrangements: Alternative Solutions for Phononic Crystal-Based Liquid Sensors. Sensors 2019, 19, 3743. [Google Scholar] [CrossRef]
- Mukhin, N.; Lucklum, R. QCM Based Sensor for Detecting Volumetric Properties of Liquids. Curr. Appl. Phys. 2019, 19, 679–682. [Google Scholar] [CrossRef]
- Schaafs, W. Molecular Acoustics. In Group II Molecules and Radicals; Hellwege, K.H., Hellwege, A.M., Eds.; Springer: Berlin/Heidelberg, Germany; GmbH & Co: Munich, Germany, 1967; pp. 1–286. [Google Scholar]
- Chmielewski, M.; Niszczota, P.; Gieras, M. Combustion Efficiency of Fuel-Water Emulsion in a Small Gas Turbine. Energy 2020, 211, 118961. [Google Scholar] [CrossRef]
- Ling, J.; Wong, K.C.; Armfield, S. Numerical Investigation of a Small Gas Turbine Compressor. In Proceedings of the 16th Australasian Fluid Mechanics Conference, Gold Coast, Australia, 2–7 December 2007; pp. 961–966, ISBN 978-1-864998-94-8. [Google Scholar]
- Gieras, M.; Stankowski, T. Computational Study of an Aerodynamic Flow Through a Micro-Turbine Engine Combustor. J. Power Technol. 2012, 92, 68–79. [Google Scholar]
- Amaral, L.G.F.; Diaz, R.B.; Tomita, J.T.; Bringhenti, C.; Henriques, I.B. Optimization Based on 3D CFD Simulations of an Axial Turbine from a Small Gas Turbine Engine. Aeron. Aerosp. Open Access J. 2019, 3, 198–211. [Google Scholar] [CrossRef][Green Version]
- Fulara, S.; Chmielewski, M.; Gieras, M. Experimental Research of the Small Gas Turbine with Variable Area Nozzle. Proc. Inst. Mech. Eng. Part G J. Aerosp. Eng. 2019, 233, 5650–5659. [Google Scholar] [CrossRef]
- Rona, A. The Acoustic Resonance of Rectangular and Cylindrical Cavities. J. Algorithms Comput. Technol. 2007, 1, 329–356. [Google Scholar] [CrossRef]
- Landau, L.D.; Lifshitz, E.M. Course of Theoretical Physics. In Fluid Mechanics, 2nd ed.; Pergamon Press: Oxford, UK, 2013; Volume 6. [Google Scholar]
- Holmes, M.J.; Parker, N.G.; Povey, M.J.W. Temperature Dependence of Bulk Viscosity in Water Using Acoustic Spectroscopy. J. Phys. Conf. Ser. 2011, 269, 12011. [Google Scholar] [CrossRef]
- Al-Sabagh, A.M.; Emara, M.M.; Noor El-Din, M.R.; Aly, W.R. Preparation of Water-in-Diesel Fuel Nanoemulsions Using High-Energy Emulsification Method and a Study of Some of Their Surface Active Properties. J. Dispers. Sci. Technol. 2012, 33, 970–976. [Google Scholar] [CrossRef]
- Rastogi, P.; Kaisare, N.S.; Basavaraj, M.G. Diesel Emulsion Fuels with Ultra-Long Stability. Energy Fuels 2019, 33, 12227–12235. [Google Scholar] [CrossRef]
- Hassan, P.A.; Rana, S.; Verma, G. Making Sense of Brownian Motion: Colloid Characterization by Dynamic Light Scattering. Langmuir 2014, 31, 3–12. [Google Scholar] [CrossRef]
- Mondejar, M.E.; Regidor, M.; Krafczyk, J.; Ihmels, C.; Schmid, B.; Kontogeorgis, G.M.; Haglind, F. An Open-Access Database of the Thermophysical Properties of Nanofluids. J. Mol. Liq. 2021, 333, 115140. [Google Scholar] [CrossRef]








Publisher’s Note: MDPI stays neutral with regard to jurisdictional claims in published maps and institutional affiliations. |
© 2022 by the authors. Licensee MDPI, Basel, Switzerland. This article is an open access article distributed under the terms and conditions of the Creative Commons Attribution (CC BY) license (https://creativecommons.org/licenses/by/4.0/).
Share and Cite
Mukhin, N.; Kutia, M.; Aman, A.; Steinmann, U.; Lucklum, R. Two-Dimensional Phononic Crystal Based Sensor for Characterization of Mixtures and Heterogeneous Liquids. Sensors 2022, 22, 2816. https://doi.org/10.3390/s22072816
Mukhin N, Kutia M, Aman A, Steinmann U, Lucklum R. Two-Dimensional Phononic Crystal Based Sensor for Characterization of Mixtures and Heterogeneous Liquids. Sensors. 2022; 22(7):2816. https://doi.org/10.3390/s22072816
Chicago/Turabian StyleMukhin, Nikolay, Mykhailo Kutia, Alexander Aman, Ulrike Steinmann, and Ralf Lucklum. 2022. "Two-Dimensional Phononic Crystal Based Sensor for Characterization of Mixtures and Heterogeneous Liquids" Sensors 22, no. 7: 2816. https://doi.org/10.3390/s22072816
APA StyleMukhin, N., Kutia, M., Aman, A., Steinmann, U., & Lucklum, R. (2022). Two-Dimensional Phononic Crystal Based Sensor for Characterization of Mixtures and Heterogeneous Liquids. Sensors, 22(7), 2816. https://doi.org/10.3390/s22072816

