Extraction and Analysis of Respiratory Motion Using a Comprehensive Wearable Health Monitoring System
Abstract
1. Introduction
2. Wearable Sensor System Overview
3. Experimental Results
4. Modeling of Respiration Function
4.1. Extraction of Respiration Volume
4.1.1. Cubic Spline Interpolation
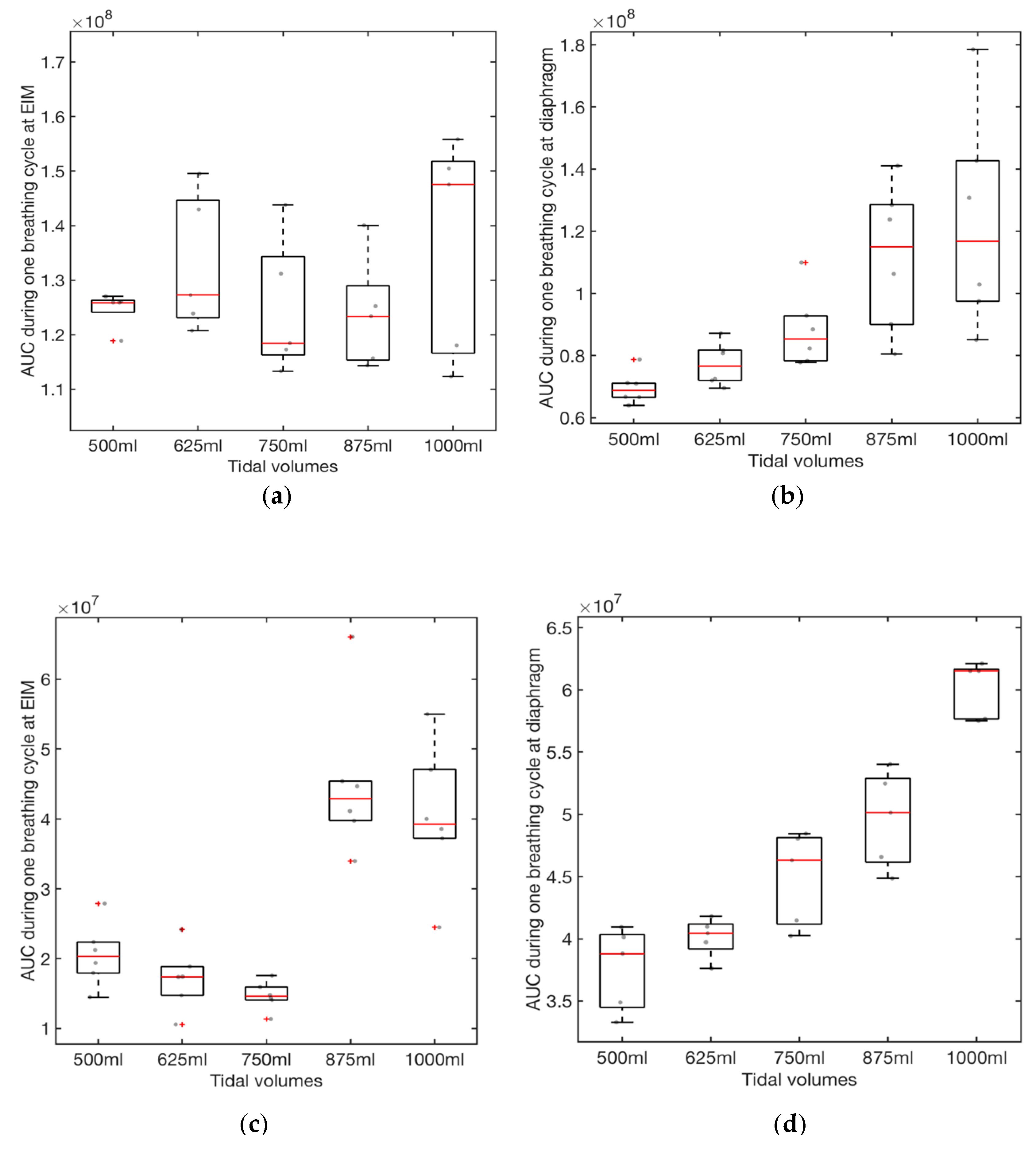
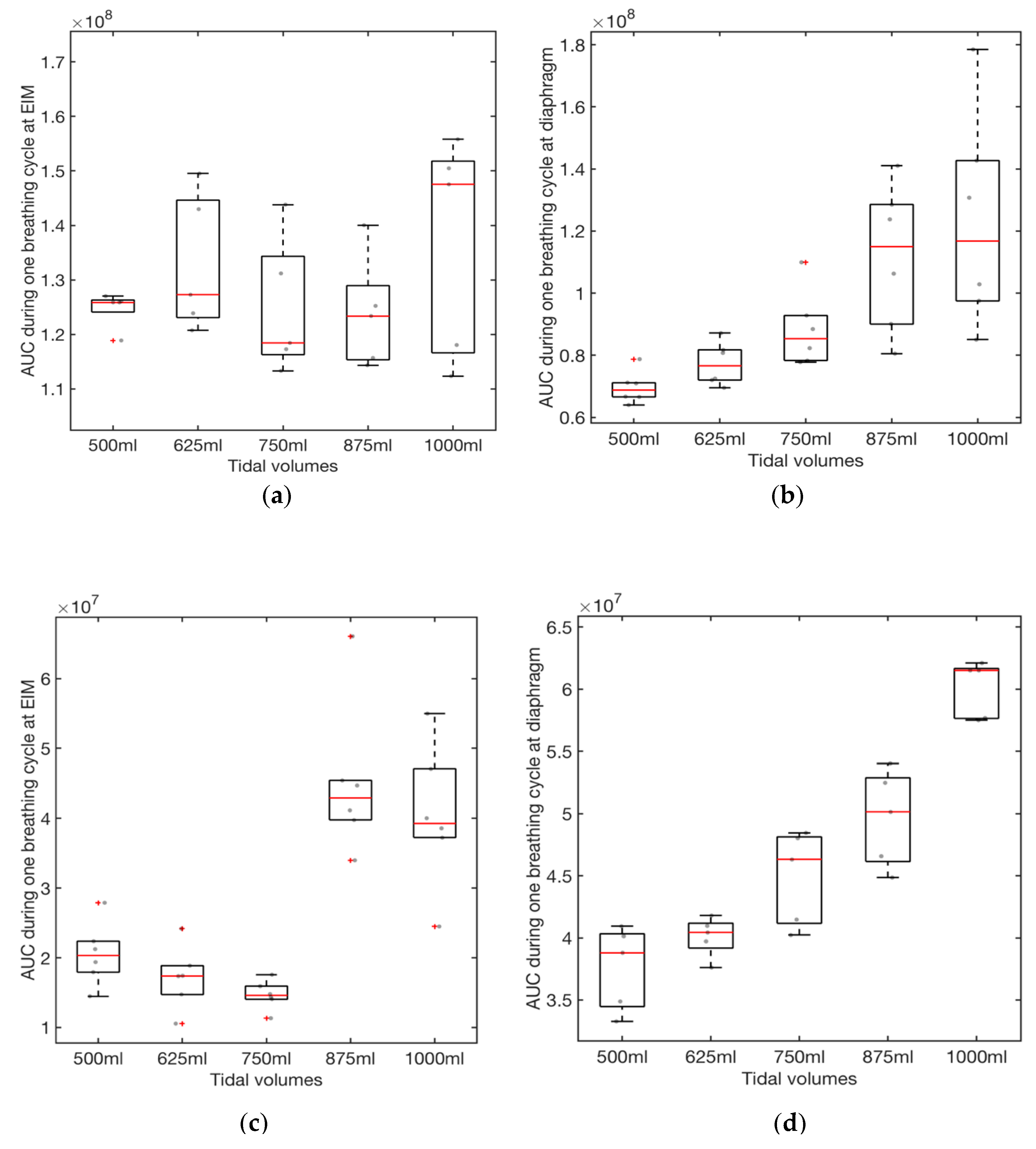
4.1.2. Analysis of Variance (ANOVA)
4.2. Extraction of Respiration Rate
4.2.1. Signature Matrix Method
4.2.2. Lung Motion Signature
5. Discussion
6. Conclusions
7. Patents
Author Contributions
Funding
Institutional Review Board Statement
Informed Consent Statement
Acknowledgments
Conflicts of Interest
References
- Degtyarenko, I.; Slyusarenko, K.; Omelchenko, A.; Riabov, V.; Chyzhyk, S. Low-power Continuous Heart and Respiration Rates Monitoring on Wearable Devices. In Proceedings of the ICASSP 2019—2019 IEEE International Conference on Acoustics, Speech and Signal Processing (ICASSP), Brighton, UK, 12–17 May 2019. [Google Scholar] [CrossRef]
- Dieffenderfer, J.; Goodell, H.; Mills, S.; Mcknight, M.; Yao, S.; Lin, F.; Beppler, E.; Bent, B.; Lee, B.; Misra, V.; et al. Low-Power Wearable Systems for Continuous Monitoring of Environment and Health for Chronic Respiratory Disease. IEEE J. Biomed. Health Inform. 2016, 20, 1251–1264. [Google Scholar] [CrossRef]
- Chen, A.; Zhang, J.; Zhao, L.; Rhoades, R.D.; Kim, D.; Wu, N.; Liang, J.; Chae, J. Machine-learning enabled wireless wearable sensors to study individuality of respiratory behaviors. Biosens. Bioelectron. 2021, 173, 112799. [Google Scholar] [CrossRef] [PubMed]
- Nascimento, L.M.; Bonfati, L.V.; Freitas, M.L.; Junior, J.J.; Siqueira, H.V.; Stevan, S.L. Sensors and Systems for Physical Rehabilitation and Health Monitoring—A Review. Sensors 2020, 20, 4063. [Google Scholar] [CrossRef] [PubMed]
- Liu, Z.; Zhang, S.; Jin, Y.M.; Ouyang, H.; Zou, Y.; Wang, X.X.; Xie, L.X.; Li, Z. Flexible piezoelectric nanogenerator in wearable self-powered active sensor for respiration and healthcare monitoring. Semicond. Sci. Technol. 2017, 32, 064004. [Google Scholar] [CrossRef]
- Pino, E.J.; Gomez, B.; Monsalve, E.; Aqueveque, P. Wireless Low–Cost Bioimpedance Measurement Device for Lung Capacity Screening. In Proceedings of the 2019 41st Annual International Conference of the IEEE Engineering in Medicine and Biology Society (EMBC), Berlin, Germany, 23–27 July 2019. [Google Scholar]
- Blanco-Almazán, D.; Groenendaal, W.; Catthoor, F.; Jané, R. Chest Movement and Respiratory Volume both contribute to thoracic Bioimpedance during Loaded Breathing. Sci. Rep. 2019, 9, 1–11. [Google Scholar] [CrossRef] [PubMed]
- Gaidhani, A.; Moon, K.; Ozturk, Y.; Lee, S.; Youm, W. Extraction and Analysis of Respiratory Motion Using Wearable Inertial Sensor System during Trunk Motion. Sensors 2017, 17, 2932. [Google Scholar] [CrossRef] [PubMed]
- Cesareo, A.; Biffi, E.; Cuesta-Frau, D.; D’Angelo, M.G.; Aliverti, A. A novel acquisition platform for long-term breathing frequency monitoring based on inertial measurement units. Med. Biol. Eng. Comput. 2020, 58, 785–804. [Google Scholar] [CrossRef] [PubMed]
- Siqueira, A.; Spirandeli, A.F.; Moraes, R.; Zarzoso, V. Respiratory Waveform Estimation from Multiple Accelerometers: An Optimal Sensor Number and Placement Analysis. IEEE J. Biomed. Health Inform. 2019, 23, 1507–1515. [Google Scholar] [CrossRef]
- Rezaie, H.; Ghassemian, M. Implementation study of wearable sensors for human activity recognition systems. Wearable Technol. Wirel. Body Sens. Netw. Healthc. 2019, 89–146. [Google Scholar] [CrossRef]
- Trung, T.Q.; Lee, N. Flexible and Stretchable Physical Sensor Integrated Platforms for Wearable Human-Activity Monitoring and Personal Healthcare. Adv. Mater. 2016, 28, 4338–4372. [Google Scholar] [CrossRef]
- Ershad, F.; Thukral, A.; Yue, J.; Comeaux, P.; Lu, Y.; Shim, H.; Nam, N.; Rao, Z.; Guevara, R.; Contreras, L.; et al. Ultra-conformal drawn-on-skin electronics for multifunctional motion artifact-free sensing and point-of-care treatment. Nat. Commun. 2020, 11. [Google Scholar] [CrossRef] [PubMed]
- Faezipour, M.; Abuzneid, A. Smartphone-Based Self-Testing of COVID-19 Using Breathing Sounds. Telemed. e-Health 2020, 26, 1202–1205. [Google Scholar] [CrossRef]
- Niu, J.; Shi, Y.; Cai, M.; Cao, Z.; Wang, D.; Zhang, Z.; Zhang, X.D. Detection of sputum by interpreting the time-frequency distribution of respiratory sound signal using image processing techniques. Bioinformatics 2017, 34, 820–827. [Google Scholar] [CrossRef] [PubMed]
- Niu, J.; Cai, M.; Shi, Y.; Ren, S.; Xu, W.; Gao, W.; Luo, Z.; Reinhardt, J.M. A Novel Method for Automatic Identification of Breathing State. Sci. Rep. 2019, 9. [Google Scholar] [CrossRef] [PubMed]
- Sarkar, M.; Madabhavi, I.; Niranjan, N.; Dogra, M. Auscultation of the respiratory system. Ann. Thorac. Med. 2015, 10, 158. [Google Scholar] [CrossRef] [PubMed]
- De, T.A.; Wilson, T.A. Action of the diaphragm on the rib cage. J. Appl. Physiol. 2016, 121, 391–400. [Google Scholar]
- Jensen, V.N.; Romer, S.H.; Turner, S.M.; Crone, S.A. Repeated Measurement of Respiratory Muscle Activity and Ventilation in Mouse Models of Neuromuscular Disease. J. Vis. Exp. 2017, 122. [Google Scholar] [CrossRef]
- Jun, H.J.; Kim, K.J.; Nam, K.W.; Kim, C.H. Effects of breathing exercises on lung capacity and muscle activities of elderly smokers. J. Phys. Ther. Sci. 2016, 28, 1681–1685. [Google Scholar] [CrossRef]
- Maarsingh, E.J.W.; Eykern, L.A.V.; Sprikkelman, A.B.; Hoekstra, M.O.; Aalderen, W.M.C.V. Respiratory muscle activity measured with a noninvasive EMG technique: Technical aspects and reproducibility. J. Appl. Physiol. 2000, 88, 1955–1961. [Google Scholar] [CrossRef] [PubMed]
- Reilly, C.C.; Jolley, C.J.; Elston, C.; Moxham, J.; Rafferty, G.F. Measurement of parasternal intercostal electromyogram during an infective exacerbation in patients with cystic fibrosis. Eur. Respir. J. 2012, 40, 977–981. [Google Scholar] [CrossRef]
- Charlton, P.H.; Bonnici, T.; Tarassenko, L.; Clifton, D.A.; Beale, R.; Watkinson, P.J. An assessment of algorithms to estimate respiratory rate from the electrocardiogram and photoplethysmogram. Physiol. Meas. 2016, 37, 610–626. [Google Scholar] [CrossRef]
- Janbakhshi, P.; Shamsollahi, M.B. ECG-derived respiration estimation from single-lead ECG using gaussian process and phase space reconstruction methods. Biomed. Signal Process. Control. 2018, 45, 80–90. [Google Scholar] [CrossRef]
- Lazaro, J.; Bailón, R.; Gil, E.; Noh, Y.; Laguna, P.; Chon, K. Pilot Study on Electrocardiogram Derived Respiratory Rate Using a Wearable Armband. In Proceedings of the 2018 Computing in Cardiology Conference (CinC), Maastricht, The Netherlands, 23–26 September 2018. [Google Scholar] [CrossRef]
- Penzel, T.; Kantelhardt, J.W.; Bartsch, R.P.; Riedl, M.; Kraemer, J.F.; Wessel, N.; Garcia, C.; Glos, M.; Fietze, I.; Schöbel, C. Modulations of Heart Rate, ECG, and Cardio-Respiratory Coupling Observed in Polysomnography. Front. Physiol. 2016, 7. [Google Scholar] [CrossRef] [PubMed]
- Varon, C.; Morales, J.; Lázaro, J.; Orini, M.; Deviaene, M.; Kontaxis, S.; Testelmans, D.; Buyse, B.; Borzee, P.; Sornmo, L.; et al. A Comparative Study of ECG-derived Respiration in Ambulatory Monitoring using the Single-lead ECG. Sci. Rep. 2020, 10. [Google Scholar] [CrossRef]
- Russo, M.A.; Santarelli, D.M.; O’Rourke, D. The physiological effects of slow breathing in the healthy human. Breathe 2017, 13, 298–309. [Google Scholar] [CrossRef]
- Chowdhury, M.E.; Khandakar, A.; Alzoubi, K.; Mansoor, S.; Tahir, A.M.; Reaz, M.B.I.; Al-Emadi, N. Real-Time Smart-Digital Stethoscope System for Heart Diseases Monitoring. Sensors 2019, 19, 2781. [Google Scholar] [CrossRef] [PubMed]
- Yasuma, F.; Hayano, J. Respiratory sinus arrhythmia: Why does the heartbeat synchronize with respiratory rhythm? Chest 2004, 125, 683–690. [Google Scholar] [CrossRef]
- Shapiro, B.E. Scientific Computation: Python Hacking for Math Junkies; Sherwood Forest Books: Los Angeles, CA, USA, 2016. [Google Scholar]
- Whitelaw, W.A. Shape and size of the human diaphragm in vivo. J. Appl. Physiol. 1987, 62, 180–186. [Google Scholar] [CrossRef] [PubMed]
- Moon, K.S.; Lee, S.Q. An Interactive Health-Monitoring Platform for Wearable Wireless Sensor Systems. PCT/US20/51136. under review.
- Barroso, A.T.; Martín, E.M.; Romero, L.M.; Ruiz, F.O. Factors Affecting Lung Function: A Review of the Literature. Archivos De Bronconeumología (English Edition) 2018, 54, 327–332. [Google Scholar] [CrossRef]
- Braun, L. Race, ethnicity and lung function: A brief history. Can. J. Respir. Ther. CJRT = Rev. Can. Ther. Respir. RCTR 2015, 51, 99. [Google Scholar]
- Ginsburg, A.S.; Lenahan, J.L.; Izadnegahdar, R.; Ansermino, J.M. A Systematic Review of Tools to Measure Respiratory Rate in Order to Identify Childhood Pneumonia. Am. J. Respir. Crit. Care Med. 2018, 197, 1116–1127. [Google Scholar] [CrossRef] [PubMed]
- Piuzzi, E.; Pisa, S.; Pittella, E.; Podesta, L.; Sangiovanni, S. Low-Cost and Portable Impedance Plethysmography System for the Simultaneous Detection of Respiratory and Heart Activities. IEEE Sens. J. 2019, 19, 2735–2746. [Google Scholar] [CrossRef]
- Zhang, Z.; Zheng, J.; Wu, H.; Wang, W.; Wang, B.; Liu, H. Development of a Respiratory Inductive Plethysmography Module Supporting Multiple Sensors for Wearable Systems. Sensors 2012, 12, 13167–13184. [Google Scholar] [CrossRef] [PubMed]











| Specification | Description | Value |
|---|---|---|
| Sensor size and weight | sensor packaging & battery (no electrodes) | (60 × 12 × 5) mm 15 g |
| Sensor circuit size | PCB & battery | (30 × 10 × 3) mm 6 g |
| Power source | rechargeable battery | 8 h/charging |
| Data transmission | Bluetooth wireless | 1 M bps in 2 m |
| Sound transducer | piezoelectric plate | 10 mm diameter |
| EMG electrodes | Disposable Ag/AgCl standard pre-gelled and self-adhesive | (20 × 20) mm |
| Front-end circuit | Intan Tech Chip | 10 mV, 16 bit, 8 ch |
| Onboard CPU | ARM Cortex M4 | 4096 Hz/ch sampling rate |
| Wireless circuit | NRF 52X | 2.4 G ESB RF |
| Subject 1 | |||||
| Source | SS | df | MS | Chi-sq | Prob > Chi-sq |
| Columns | 1573.0 | 4 | 393.1 | 20.3 | |
| Error | 674.5 | 25 | 27.0 | ||
| Total | 2247.5 | 29 | |||
| Subject 2 | |||||
| Source | SS | df | MS | Chi-sq | Prob > Chi-sq |
| Columns | 1095.0 | 4 | 273.9 | 20.2 | |
| Error | 203.9 | 20 | 10.2 | ||
| Total | 1299.5 | 24 | |||
| Subject 1 | |||||
| Source | SS | df | MS | Chi-sq | Prob > Chi-sq |
| Columns | 165.6 | 4 | 41.4 | 3.06 | 0.55 |
| Error | 1133.9 | 20 | 56.7 | ||
| Total | 1299.5 | 24 | |||
| Subject 2 | |||||
| Source | SS | df | MS | Chi-sq | Prob > Chi-sq |
| Columns | 1773.7 | 4 | 443.4 | 22.9 | 0.0001 |
| Error | 473.8 | 25 | 19.0 | ||
| Total | 2247.5 | 29 | |||
| Mean AUCs for EMG per Breathing Cycle | |||||
|---|---|---|---|---|---|
| Subject 1, Male | Subject 2, Female | ||||
| j | Mean AUC | Tidal Volume (mL) | j | Mean AUC | Tidal Volume (mL) |
| 0 | 500 | 0 | 500 | ||
| 1 | 625 | 1 | 625 | ||
| 2 | 750 | 2 | 750 | ||
| 3 | 875 | 3 | 875 | ||
| 4 | 1000 | 4 | 1000 | ||
Publisher’s Note: MDPI stays neutral with regard to jurisdictional claims in published maps and institutional affiliations. |
© 2021 by the authors. Licensee MDPI, Basel, Switzerland. This article is an open access article distributed under the terms and conditions of the Creative Commons Attribution (CC BY) license (http://creativecommons.org/licenses/by/4.0/).
Share and Cite
George, U.Z.; Moon, K.S.; Lee, S.Q. Extraction and Analysis of Respiratory Motion Using a Comprehensive Wearable Health Monitoring System. Sensors 2021, 21, 1393. https://doi.org/10.3390/s21041393
George UZ, Moon KS, Lee SQ. Extraction and Analysis of Respiratory Motion Using a Comprehensive Wearable Health Monitoring System. Sensors. 2021; 21(4):1393. https://doi.org/10.3390/s21041393
Chicago/Turabian StyleGeorge, Uduak Z., Kee S. Moon, and Sung Q. Lee. 2021. "Extraction and Analysis of Respiratory Motion Using a Comprehensive Wearable Health Monitoring System" Sensors 21, no. 4: 1393. https://doi.org/10.3390/s21041393
APA StyleGeorge, U. Z., Moon, K. S., & Lee, S. Q. (2021). Extraction and Analysis of Respiratory Motion Using a Comprehensive Wearable Health Monitoring System. Sensors, 21(4), 1393. https://doi.org/10.3390/s21041393

