Abstract
The problem of velocity tracking is considered essential in the consensus of multi-wheeled mobile robot systems to minimise the total operating time and enhance the system’s energy efficiency. This study presents a novel switched-system approach, consisting of bang-bang control and consensus formation algorithms, to address the problem of time-optimal velocity tracking of multiple wheeled mobile robots with nonholonomic constraints. This effort aims to achieve the desired velocity formation in the least time for any initial velocity conditions in a multiple mobile robot system. The main findings of this study are as follows: (i) by deriving the equation of motion along the specified path, the motor’s extremal conditions for a time-optimal trajectory are introduced; (ii) utilising a general consensus formation algorithm, the desired velocity formation is achieved; (iii) applying the Pontryagin Maximum Principle, the new switching formation matrix of weights is obtained. Using this new switching matrix of weights guarantees that at least one of the system’s motors, of either the followers or the leader, reaches its maximum or minimum value by using extremals, which enables the multi-robot system to reach the velocity formation in the least time. The proposed approach is verified in a theoretical analysis along with the numerical simulation process. The simulation results demonstrated that using the proposed switched system, the time-optimal consensus algorithm behaved very well in the networks with different numbers of robots and different topology conditions. The required time for the consensus formation is dramatically reduced, which is very promising. The findings of this work could be extended to and beneficial for any multi-wheeled mobile robot system.
1. Introduction
Thanks to the greater functionality and performance of cooperative, mobile robot systems versus single mobile robots, they are highly beneficial and used in many applications such as hazardous material handling, surveillance, environment exploration, transportation of large objects, etc. Although the cooperative nature of these systems may result in greater efficiency and operational capability compared to a single mobile robot, it introduces a challenging control problem that must deal with consensus formation. For instance, in the works presented in [1,2] there are two examples in the domain of formations control for multi-agent systems in surveillance applications, and the control of spacecraft using formations control is presented in [3,4,5,6].
The study of consensus formation control of multi-agent systems (Figure 1) can be classified into three categories: a leader–follower approach [7,8,9], the virtual structure approach [10,11], and decentralised control [12,13]. The leader–follower approach consists of a leader agent, a robot/vehicle or human operator who is entrusted to track a specified trajectory, and the follower agents are designed to follow the leader agent while achieving the desired formation and heading consensus. This approach is very useful, especially in surveillance and exploration applications. The virtual structure approach considers a multi-agent system as a single rigid robot with multiple input controllers. This approach is useful for large object transportation. The advantage of such an algorithm is the simplicity of the controller design. The decentralised approach, which includes the nearest neighbour approach, allows each robot to decide based on interactions with its neighbours. The advantage of this approach is its robustness against disturbances which makes it more suitable for military manoeuvres or automated highway applications [14,15,16,17,18]. Das et al. in [14] and Cao et al. in [15] nicely reviewed the cooperative search and formation control methods for multiple autonomous vehicles, which are helpful to learn more about these methods. Furthermore, a tutorial overview, together with several specific applications of consensus algorithms, was provided in [16]. Ren et al. in [17] addressed the double integrator dynamics of the agents in consensus algorithms and discussed the theoretical and practical aspects of this topic. Zhang et al. in [13] addressed a two-stage cooperative guidance strategy to achieve a salvo attack in directed topologies of multiple interceptors. At the first stage, a prescribed-time optimal consensus method was constructed offline. A novel fixed-time distributed guidance law based on the proportional navigation guidance law was designed by integrating a consistent control technique into the guidance strategy [19]. As shown in [13,19], the optimal consensus strategy was used along with other navigation systems for the control of multi-systems, such as for missiles.
Figure 1.
A group of nonholonomic wheeled mobile robots.
This paper considers the time-optimal velocity tracking problem of multiple wheeled mobile robots, extending the single robot case treated in [18]. Despite many previous works on the optimal control of multi-agent systems [20,21,22,23,24,25,26,27], we strongly believe that the methodologies and objectives of our work are novel as they differ from the state-of-the-art. To get a better comparison, the previous representative works in this domain are listed in Table 1.
Table 1.
The representative works on the optimal control of multi-agents.
To the best of our knowledge, no research has been reported in which the motion time consensus along the desired formation of a group of mobile robots, to form and maintain a desired geometric pattern and follow the desired trajectory, is addressed as the objective function using a switching mechanism based on bang-bang control. In short, the main goal of this work is to find control inputs of a leader–follower multi-robot system to achieve the desired consensus velocity tracking formation in the least time.
2. Dynamics of Wheeled Mobile Robots
This section presents the dynamics of the wheeled mobile robots (WMR) and the consensus formation of a multi-agent system.
A schematic of a WMR is shown in Figure 2. Following [18], the kinematic model of the ith WMR with two degrees of freedom can be written as follows
where, and denote the forward and angular velocity of the ith WMR, respectively.
Figure 2.
Schematic of a wheeled mobile robot.
The configuration of the robot is given by , where is the Cartesian position of the centre of mass of the robot and is the heading angle of the robot with respect to the X axis of the fixed coordinate system.
The assumption that the wheels do not slip gives rise to the nonholonomic constraint (2)
In the Equations (3)–(6), let , , 2b, and r be the right wheel angular velocity, the left wheel angular velocity, the distance between the wheels and the radii of the wheels, respectively. The relation between the forward and angular velocities to the wheel velocities can then be presented as follows
Next, the net torque and need to be applied by motors at the right and left wheels, respectively. By using Newton-Euler formulations, the dynamics equations of motion of the ith WMR are given by
where and are the mass and the effective rotational inertia about the vertical axis through the center of mass of the ith WMR, respectively. Thus, the Equations (7) and (8) can be rewritten in matrix form as
Using Equations (5)–(8) the right and left wheel angular accelerations are
where and are constant which depend on the mass and mass distribution of the WMR. The coefficient matrix in Equation (10) is easily seen to be nonsingular.
For a system of N robots, suppose the dynamics of the robots are described by:
where and and M is the inertia matrix. Considering Equations (9) and (10), we can obtain Equation (12) as follows
3. Time-Optimal Control of WMRs
In the time-optimal problem, the cost function is defined initially as
According to the Pontryagin Maximum Principle, at each time of the time-optimal trajectory, at least one of the inputs reaches its extremal [33,34]. Let the inputs and/or have the maximum value . Thus, the bounds of the torques are:
By substituting the equations of motion along a specified path (12) into the constraint (14), the limitations on the torques are transferred to the limitations on acceleration as:
Therefore, there are four boundary angular accelerations of the wheel, and so there are four time-optimal control inputs when only one of the inputs exert its extremal.
Moreover, it is possible that both motors are in extremals at the same time. By considering Equation (10), we see that these conditions will occur when the terms become zero or . This means that (i) the path does not have any curvature during this time, and therefore the WMR is moving in a straight line, or (ii) the path is irregular and the centre of mass stops at a stationary point and the robot is just rotating counterclockwise (CCW) or clockwise (CW) about the vertical axis. Therefore, the four additional extremal conditions are as follows:
the WMR is moving along a straight line and accelerating.
the WMR is moving along a straight line and decelerating.
the WMR is rotating CCW about its centre of mass.
the WMR is rotating CW about its centre of mass.
4. Time-Optimal Consensus Algorithm Strategies
This section presents a time-optimal consensus algorithm that is designed and implemeted to reduce the convergence time in a multi mobile two-wheeled robot system. The consensus algorithm is used to impose similar dynamics on the information state of each robot in a group of robots. Every robot updates the value of its information state based on the information states of its neighbours. The goal of the consensus algorithm is to design a control law so that the information states of all of the robots converge to a similar value.
The communication among agents can be represented by directed or undirected graphs. A directed graph consists of a formation control graph G = (N, E, D), where N = {1, 2,… i, j, …, n} is a finite set of n vertices and a map dedicates to each vertex, a control system , a set of corresponding edges , and a collection D={dij} of each edge that defines its control objective for some .
The edge denotes the agent j can obtain information from agent i, but not necessarily vice versa. In undirected graphs, robots i and j are defined as neighbours of each other if there is an edge between them. In a system with n agents, suppose the dynamics of the agents are given by
where denotes the acceleration of the ith agent and the is its input. The formation is described by
where are the desired velocity states of agents i and j, who are neighbours of each other. The adjacency matrix of a weighted graph is defined as and if . Laplacian is defined as where and . Thus the Laplacian matrix is
Suppose the robot r is designated as the leader and the other robots are the followers. We assume that a robot leader has direct access to the reference velocities (). Other robots (followers) use their neighbouring leader information to accomplish the formation tracking task. Regarding the consensus algorithm, the velocity tracking control for robot i is
where is the positive coefficient matrix so that
The whole algorithm is shown in Figure 3. Using the diagonal coefficient matrix in Equation (16), at least one of the right or left motors of the follower robots works at a maximum angular acceleration or deceleration. Therefore, the bang-bang controls take their extremals throughout the whole motion to minimise the manoeuvre time.
Figure 3.
The algorithm at each time to achieve time-optimal consensus.
Following the calculation step, the optimal control problem is now to find a control strategy to transfer the system state from the initial to the desired final state, in the least time (Figure 4). Since the Pontryagin principle demonstrates that at any point of a time-optimal trajectory, at least one of the actuators exerts a maximum or minimum input, the problem of finding the optimal control is reduced to finding the switching points. Therefore, the trajectory must be at each point tangent to one of the eight extremals described in Section 3, at least for one of the robots. Figure 5 shows an example of using the proposed algorithm. As can be seen, there are several switching points that occurred between actuators and extremals.
Figure 4.
Time-optimal trajectory in the phase plane as an example. The admissible region, according to the motor constraints, is marked in a yellow colour.
Having versus q, the minimum time can be obtained using Equation (13). Then, from Equations (3)–(6) and (10), the angular accelerations and velocities of the wheels are obtained versus the time for the optimum trajectory.
Theorem 1.
The time-optimal consensus algorithm (20) solves the formation velocity tracking problem if the formation graph G has a spanning tree.
Proof.
As shown in [16,35,36], when the network topology of the multi-robot system contains a directed spanning tree, the rank of the Laplacian matrix L is n–1, zero is a simple eigenvalue of L with associated vector and all other eigenvalues are positive, and the consensus is reached asymptotically for the system
In this proposed algorithm is a diagonal matrix in which all the diagonal elements are positive and also equal to or bigger than 1 (). Thus, it is a positive definite matrix, and the system asymptotically converges to the desired velocity configuration. Because of the time-optimal matrix coefficient component
Using the matrix instead of the identity matrix in the consensus algorithm (20) guarantees that at least one of the actuators of either the leader or followers works on the extremum conditions (EXT1 to EXT8 described in Section 3), the goes to zero faster, and the system asymptotically converges to the desired velocity configuration in the shortest time. □
5. Simulations
5.1. Comparison of the Performance of Velocity Tracking Consensus Formation with and without a Time-Optimal Strategy
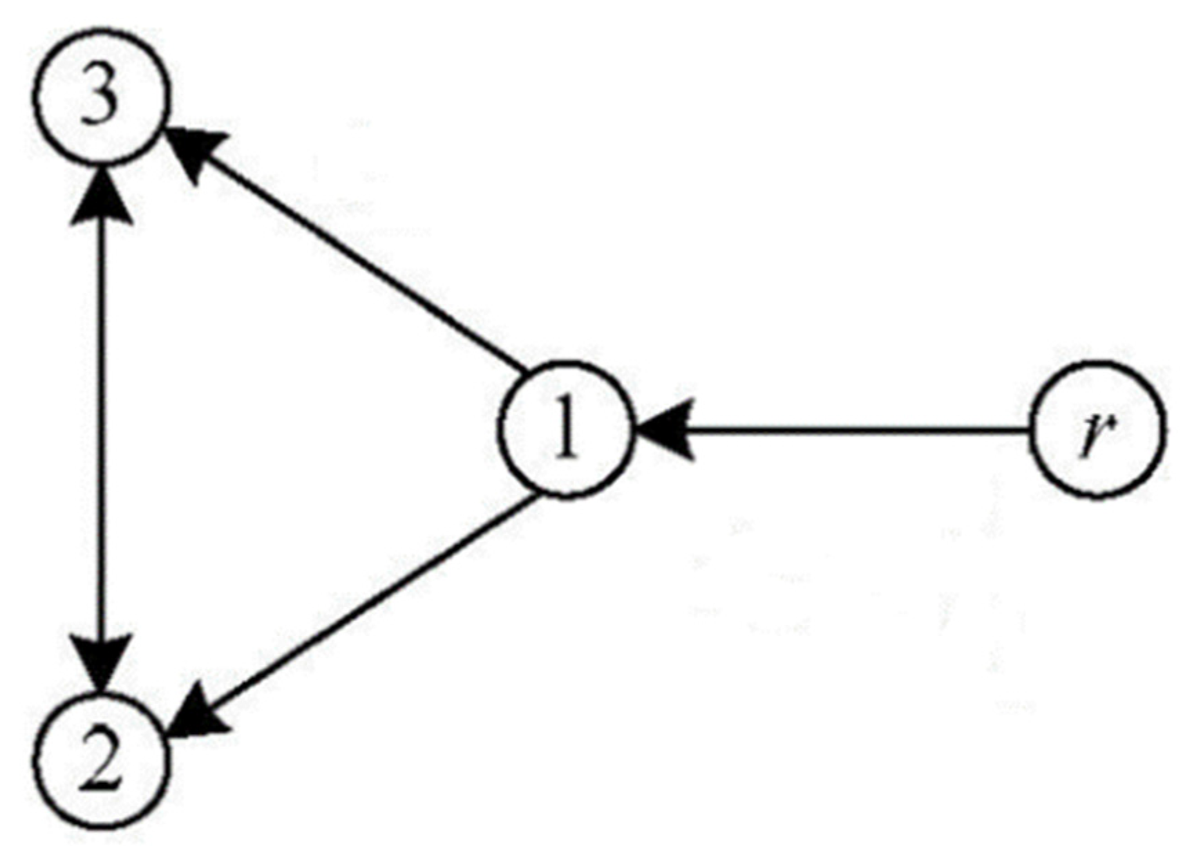
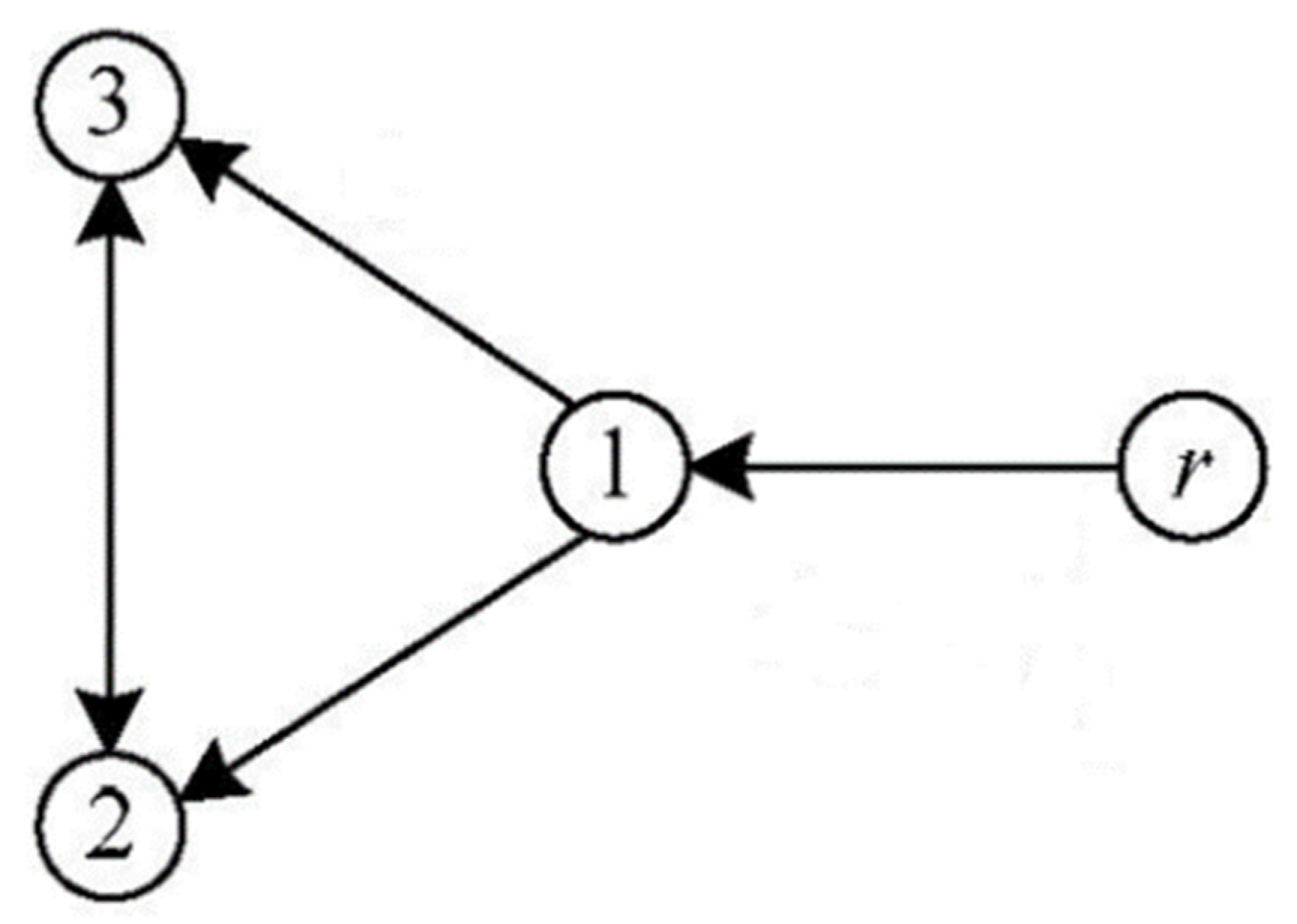
In order to validate the proposed time-optimal algorithm, a computer program in Matlab software was developed to simulate two examples. All the conditions in these two examples are considered to be similar, including the initial conditions, the dimensions of the robots, the geometry of the desired path, and the topology of the robots’ network (Figure 5).
Figure 5.
The schematic of a formation graph of the multi-robot example. The reference signal “r” is sent to “robot 1” by either the operator or a leader robot. The signal is distributed across the network based on the network topology.
In the first simulation, where the time-optimal control strategy is not considered, the consensus velocity tracking algorithm is used whereas the time-optimal coefficient is equal to 1, and the diagonal matrix is chosen as the identity matrix. As can be seen in Figure 6, the angular velocities and angular accelerations reach a consensus in 1.5 s.
Figure 6.
The results of the right and the left angular velocities and angular accelerations of followers without the time-optimal control coefficient.
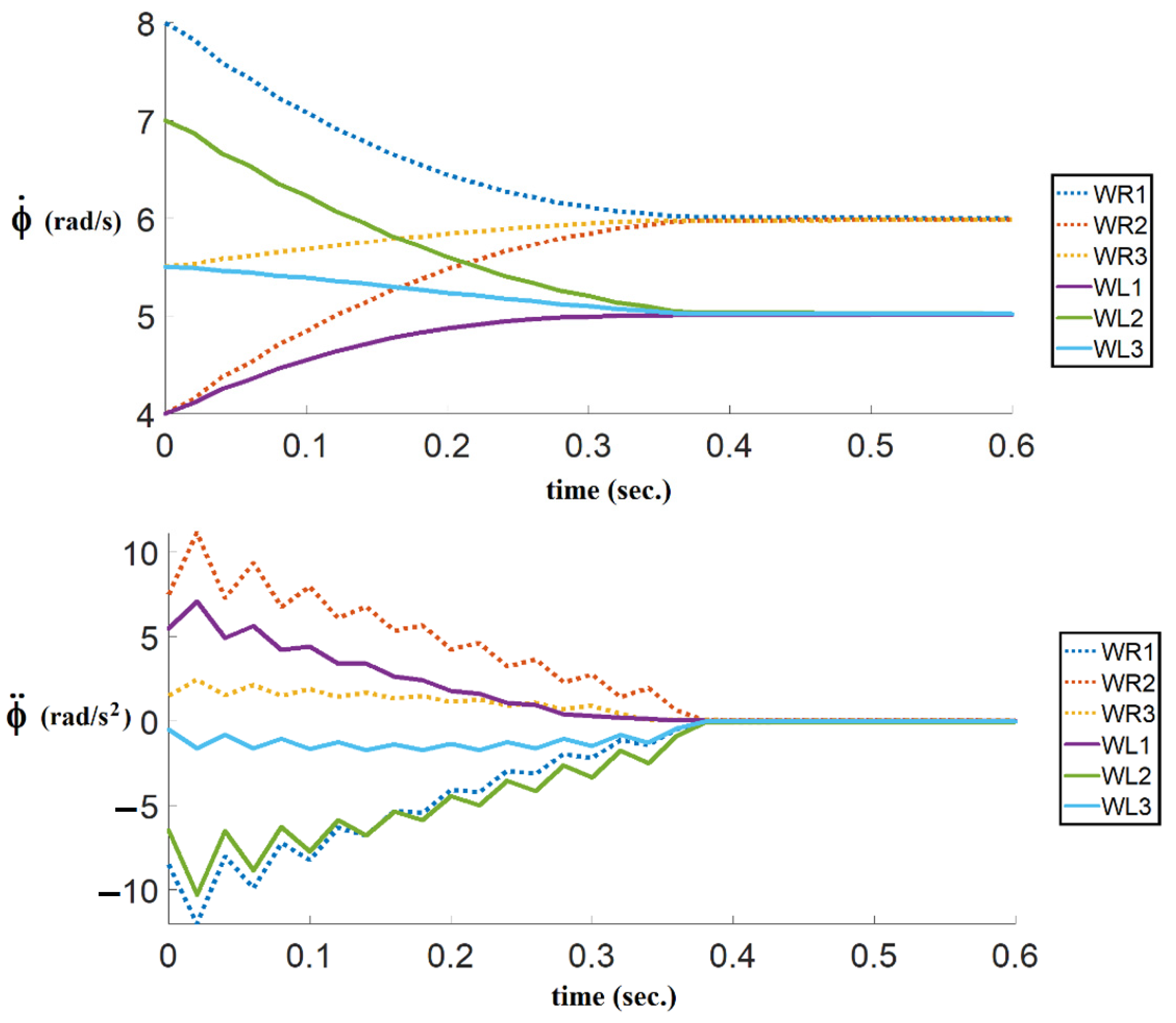
In the second simulation, where the time-optimal control strategy is considered, the result of angular velocities and angular accelerations are shown in Figure 7. As can be seen, the proposed algorithm, based on consensus and bang-bang control, drives the motor torques to extremum values several times to achieve time-optimal control. According to Figure 7, the angular velocities and angular accelerations reach consensus in 0.4 s.
Figure 7.
The results of the right and the left angular velocities and angular accelerations of followers with the proprosed time-optimal control consensus algorithm.
In order to compare the results of both simulations, Figure 8 shows the performance of the time-optimal consensus velocity tracking algorithm. The dashed lines show the normal consensus algorithm results, and the solid lines show the results of the proposed time-optimal consensus algorithm.
Figure 8.
The comparison results of the right and the left angular velocities and angular accelerations of followers with and without the time-optimal control coefficient; (a,b) show the left and right hand wheels angular velocities respectively; (c,d) show the left and right angular accelerations; dashed lines show the results of the consensus algorithm, and solid lines show the results of the proposed time-optimal control consensus algorithm.
To make the performance of our simulations closer to the performance in the real-world setting, we considered adding some random disturbances into the systems. Figure 9 shows the results of the proposed time-optimal consensus algorithm in the presence of some random noises. The results show great stability of the consensus process on the discontinuity of switched controllers in the presence of noise. When the noise exists, there is less than a 10% error for remaining in angular acceleration and less than a 2% error in the angular velocity; however, the convergence is fine.
Figure 9.
The results of the right and the left angular velocities and angular accelerations of followers with the proposed time-optimal control consensus algorithm in the presence of random noises.
5.2. The Effect of Network Topology and the Number of Agents on the Convergence Time
In order to validate the proposed method in much more complex situations, the proposed method is implemented for a different number of robots. Figure 10 shows the effect of the number of robots on the convergence time of the velocity tracking control consensus formation with and without the time-optimal algorithm. Following the state-of-the-art findings in this field, we learned that the convergence time depends on several factors, such as the network topology, initial condition, formation control, number of robots, etc. Therefore, to explore the effect of the number of robots on the final convergence time, the initial conditions of all agents are considered to be similar in every simulation trial.

Figure 10.
The result shows how the number of agents can influence the convergence time in the robot networks with different 5number of robots (a) shows a network of 3 robots; (b) shows a network of 4 robots; (c) shows a network of 5 robots; (d) shows a network of 6 robots.
In every simulation trial, the robot network is considered fully interconnected, which means that every agent can send and receive information to all the other agents. Our findings demonstrated that the convergence time is reduced by increasing the number of agents. One reason for this could be the dimension and values of the gain matrix elements, which increase when the number of robots increases. As shown in Figure 10 and Figure 11 (right column), the time-optimal velocity tracking consensus formation converged faster, in all those examples, than the standard consensus formation without applying the time-optimal algorithm (Figure 10 and Figure 11, left column).
Figure 11.
The effect of network topology on the convergence time with (a) a fully interconnected network; (b,c) a partially connected network with six robots.
The results of the previous trial (Figure 10) show an increase in the convergence time when the number of robots increases. In order to investigate further the relationship between the graph connectivity and the convergence speed of consensus algorithms, a second trial was implemented. In this trial, the effect of the robot’s network topology and interconnectivity on the convergence time was investigated. Figure 11 compares the results of the consensus formation of two different topologies. Figure 11a shows a robot network with a fully interconnected structure, while Figure 11b shows a partially interconnected robot network where two connections are missing. As shown, the connections between robot number 6 and the robots numbered 4 and 5 are missing. Comparing these two topologies shows that the convergence time will increase when the network is not fully interconnected. As Figure 11c shows, the connections between four pairs of robots are missing. Although the proposed method managed to handle the convergence, it demonstrated an oscillatory behaviour in the angular velocity of the wheels. In other words, the developed bang-bang algorithm provides better support and convergence when the topology is fully connected. It tends to give more oscillatory results when the topology is not fully interconnected.
Comparing the results achieved in this section (shown in Figure 10 and Figure 11), it can be concluded that the convergence time is mainly influenced by two factors i.e., the number of robots in the network and also the network topology. However, as examined, the proposed time-optimal method is efficient if used when both of these factors are changed and it dramatically reduces the convergence time.
6. Conclusions
In this paper, an optimal time velocity tracking of consensus formation algorithm for multiple nonholonomic wheeled robots is proposed. To apply the motors’ extremum conditions for finding the time-optimal trajectory, firstly, the equation of motion along a specified path is obtained versus the left- and right-hand motors’ angular acceleration and angular velocities. Then by developing a hybrid Pontryagin principle of time-optimal control and a consensus algorithm for the multi-agent system, the novel switched system algorithm is introduced, and the time-optimal control problem is solved. By using the proposed method, the system achieved the desired velocity tracking formation in the optimal time. The simulation results of this novel switched-system approach and a typical consensus formation algorithm are provided and compared to demonstrate the effectiveness of the proposed approach. In addition to testing the performance of the proposed method, the effect of the robot network topology as well as the number of robots in a network are explored. The numerical simulation results demonstrated that the time-optimal consensus algorithm behaved very well and reduced remarkably the consensus formation time.
Author Contributions
Conceptualization, H.F. and M.W.S.; methodology, H.F. and A.Z.; software, H.F. and A.Z.; validation, H.F., A.Z. and G.T.; formal analysis, H.F.; investigation, H.F. and A.Z.; resources, H.F. and A.Z.; data curation, H.F. and A.Z.; writing—original draft preparation, H.F.; writing—review and editing, A.Z.; validation, H.F., A.Z. and G.T.; supervision, M.W.S.; All authors have read and agreed to the published version of the manuscript.
Funding
No external funding, supported by University of Hudersfield.
Institutional Review Board Statement
Not applicable.
Informed Consent Statement
Not applicable.
Data Availability Statement
Not applicable.
Conflicts of Interest
The authors declare no conflict of interest.
References
- Acevedo, J.J.; Arrue, B.C.; Maza, I.; Ollero, A. A decentralised algorithm for area surveillance missions using a team of aerial robots with different sensing capabilities. In Proceedings of the IEEE International Conference on Robotics and Automation, Hong Kong, China, 31 May–7 June 2014; pp. 4735–4740. [Google Scholar]
- Casbeer, D.W.; Kingston, D.B.; Beard, R.W.; McLain, T.W. Cooperative forest fire surveillance using a team of small unmanned air vehicles. Int. J. Syst. Sci. 2006, 37, 351–360. [Google Scholar] [CrossRef]
- Zhou, J.; Hu, Q.; Friswell, M.I. Decentralised finite time attitude synchronisation control of satellite formation flying. J. Guid. Control. Dyn. 2012, 36, 185–195. [Google Scholar] [CrossRef] [Green Version]
- Ren, W.; Beard, R.W. Formation feedback control for multiple spacecraft via virtual structures. IEEE Proc. Control. Theory Appl. 2004, 151, 357–368. [Google Scholar] [CrossRef] [Green Version]
- Wang, P.K.C.; Hadaegh, F.Y. Coordination and control of multiple microspacecraft moving in formation. J. Astronaut. Sci. 1996, 44, 315–355. [Google Scholar]
- Ren, W.; Beard, R.W. Decentralised scheme for spacecraft formation flying via the virtual structure approach. AIAA J. Guid. Contr. Dyn. 2004, 27, 73–82. [Google Scholar] [CrossRef]
- Consolini, L.; Morbidi, F.; Prattichizzo, D.; Tosques, M. Leader–follower formation control of nonholonomic mobile robots with input constraints. Automatica 2008, 44, 1343–1349. [Google Scholar] [CrossRef]
- Poonawala, H.A.; Satici, A.C.; Spong, M.W. Leader-follower formation control of nonholonomic wheeled mobile robots using only position measurements. In Proceedings of the IEEE 9th Asian Control Conference, Istanbul, Turkey, 23–26 June 2013; pp. 1–6. [Google Scholar]
- Sira-Ramírez, H.; Castro-Linares, R.; Puriel-Gil, G. An active disturbance rejection approach to leader-follower controlled formation. Asian J. Control. 2014, 16, 382–395. [Google Scholar] [CrossRef]
- Lewis, M.A.; Tan, K.-H. High precision formation control of mobile robots using virtual structures. Auton. Robot. 1997, 4, 387–403. [Google Scholar] [CrossRef]
- Egerstedt, M.; Hu, X.; Stotsky, A. Control of mobile platforms using a virtual vehicle approach. IEEE Trans. Automat. Contr. 2001, 46, 1777–1782. [Google Scholar] [CrossRef]
- Kan, Z.; Dani, A.P.; Shea, J.M.; Dixon, W.E. Network Connectivity Preserving Formation Stabilization and Obstacle Avoidance via a Decentralised Controller. IEEE Trans. Autom. Control. 2012, 57, 1827–1832. [Google Scholar] [CrossRef]
- Yu, H.; Dai, K.; Li, H.; Zou, Y.; Ma, X.; Ma, S.; Zhang, H. Distributed cooperative guidance law for multiple missiles with input delay and topology switching. J. Frankl. Inst. 2021, 358, 9061–9085. [Google Scholar] [CrossRef]
- Das, B.; Subudhi, B.; Pati, B.B. Cooperative formation control of autonomous underwater vehicles: An overview. Int. J. Autom. Comput. 2016, 13, 199–225. [Google Scholar] [CrossRef]
- Cao, Y.; Yu, W.; Ren, W.; Chen, G. An Overview of Recent Progress in the Study of Distributed Multi-agent Coordination. IEEE Trans. Ind. Inform. 2013, 9, 427–438. [Google Scholar] [CrossRef] [Green Version]
- Ren, W.; Beard, R.W.; Atkins, E.M. Information consensus in multivehicle cooperative control: Collective group behavior through local interaction. IEEE Control Syst. Mag. 2007, 27, 71–82. [Google Scholar]
- Ren, W. On Consensus Algorithms for Double-integrator Dynamics. IEEE Trans. Autom. Control. 2008, 53, 1503–1509. [Google Scholar] [CrossRef]
- Poonawala, H.A.; Spong, M.W. From Nonholonomy to Holonomy: Time-Optimal Velocity Control of Differential Drive Robots. In Proceedings of the 10th International Workshop on Robot Motion and Control, Poznan University of Technology, Poznan, Poland, 6–8 July 2015. [Google Scholar]
- Zhang, Y.; Tang, S.; Guo, J. Two-stage cooperative guidance strategy using a prescribed-time optimal consensus method. Aerosp. Sci. Technol. 2020, 100, 105641. [Google Scholar] [CrossRef]
- Semsar-Kazerooni, E.; Khorasani, K. Optimal consensus algorithms for cooperative team of agents subject to partial information. Automatica 2008, 44, 2766–2777. [Google Scholar] [CrossRef]
- Li, R.; Shi, Y. Finite-time optimal consensus control for second-order multi-agent systems. J. Ind. Manag. Optim. 2014, 10, 929–943. [Google Scholar] [CrossRef]
- Das, P.K.; Behera, H.S.; Jena, P.K.; Panigrahi, B.K. An intelligent multi-robot path planning in a dynamic environment using improved gravitational search algorithm. Int. J. Autom. Comput. 2016, 3, 295–313. [Google Scholar] [CrossRef]
- Yang, A.; Naeem, W.; Fei, M.; Liu, L.; Tu, X. Multiple robots formation manoeuvring and collision avoidance strategy. Int. J. Autom. Comput. 2017, 14, 696–705. [Google Scholar] [CrossRef]
- Zhang, Y.; Li, S. Adaptive near-optimal consensus of high-order non-linear multi-agent systems with heterogeneity. Automatica 2017, 85, 426–432. [Google Scholar] [CrossRef]
- Zhang, H.; Jiang, H.; Luo, Y.; Xiao, G. Data-Driven Optimal Consensus Control for Discrete-Time Multi-Agent Systems with Unknown Dynamics Using Reinforcement Learning Method. IEEE Trans. Ind. Electron. 2017, 64, 4091–4100. [Google Scholar] [CrossRef]
- Wei, M.; Chen, G.; Guo, Z. A fixed-time optimal consensus algorithm over undirected networks. In Proceedings of the Chinese Control And Decision Conference (CCDC), Shenyang, China, 9–11 June 2018. [Google Scholar] [CrossRef]
- Zhang, T. Unmanned Aerial Vehicle Formation Inspired by Bird Flocking and Foraging behavior. Int. J. Autom. Comput. 2018, 15, 402–416. [Google Scholar] [CrossRef]
- Chen, X.; Zhang, P.; Du, G.; Li, F. A distributed method for dynamic multi-robot task allocation problems with critical time constraints. Robot. Auton. Syst. 2019, 118, 31–46. [Google Scholar] [CrossRef]
- Alonso-Mora, J.; Montijano, E.; Nägeli, T.; Hilliges, O.; Schwager, M.; Rus, D. Distributed multi-robot formation control in dynamic environments. Auton. Robot. 2019, 43, 1079–1100. [Google Scholar] [CrossRef] [Green Version]
- Mateo, D.; Horsevad, N.; Hassani, V.; Chamanbaz, M.; Bouffanais, R. Optimal network topology for responsive collective behavior. Sci. Adv. 2019, 5, eaau0999. [Google Scholar] [CrossRef] [PubMed] [Green Version]
- Shabbir, M.; Li, J.; Abbas, W.; Koutsoukos, X. Resilient vector consensus in multi-agent networks using centerpoints. In Proceedings of the 2020 American Control Conference (ACC), Denver, CO, USA, 1–3 July 2020; pp. 4387–4392. [Google Scholar]
- López-González, A.; Campaña, J.M.; Martínez, E.H.; Contro, P.P. Multi robot distance based formation using Parallel Genetic Algorithm. Appl. Soft Comput. 2020, 86, 105929. [Google Scholar] [CrossRef]
- Fahham, H.R.; Farid, M. Minimum-time trajectory planning of spatial cable-suspended robots along a specified path considering both tension and velocity constraints. Eng. Optim. 2010, 42, 387–402. [Google Scholar] [CrossRef]
- Fahham, H.R.; Farid, M.; Khooran, M. Time optimal trajectory tracking of redundant planar cable-suspended robots considering both tension and velocity constraints. J. Dyn. Syst. Meas. Control 2011, 133, 011004. [Google Scholar] [CrossRef] [Green Version]
- Lin, Z.; Francis, B.; Maggiore, M. Necessary and sufficient graphical conditions for formation control of unicycles. IEEE Trans. Automat. Contr. 2005, 50, 121–127. [Google Scholar]
- Caughman, J.S.; Lafferriere, G.; Veerman, J.J.P.; Williams, A. Decentralised control of vehicle formations. Syst. Control Lett. 2005, 54, 899–910. [Google Scholar]
Publisher’s Note: MDPI stays neutral with regard to jurisdictional claims in published maps and institutional affiliations. |
© 2021 by the authors. Licensee MDPI, Basel, Switzerland. This article is an open access article distributed under the terms and conditions of the Creative Commons Attribution (CC BY) license (https://creativecommons.org/licenses/by/4.0/).











