Multivariate Characterization of Temperature Fluctuations in a Historical Building Using Energy-Efficient IoT Wireless Sensors
Abstract
1. Introduction
- The materials of which the works are made can absorb or give off heat. Objects expand or contract as a function of temperature variations, becoming rigid and brittle if the temperature falls below the glass transition temperature.
- The speed of some important chemical reactions, such as the degradation of cellulose (e.g., paper, textiles, wood), increases with increasing temperature.
- Temperature influences the activity of fungi and insects responsible for the biological deterioration of organic materials.
- It can also affect certain minerals and crystallization phenomena in masonry factories.
- As an important indirect effect, a rise in temperature causes a decrease in relative humidity (also cited in EN 15757:2010), which implies the drying out of hygroscopic materials such as wood, paper, or leather. This loss of moisture can cause shrinkage and embrittlement of materials.
- When objects are exposed to direct sunlight, lamps, or heating radiators, the consequent rise in temperature causes drying, even if the relative humidity of the surrounding air remains constant.
- Water vapor can condense on cold surfaces if their temperature falls below the dew point, which is a problem because the presence of liquid water can be harmful for the preservation of many materials.
2. Materials and Methods
2.1. Description of the Microclimate Monitoring System
2.2. Sensor Calibration
2.3. Installation of Wireless Sensor Nodes
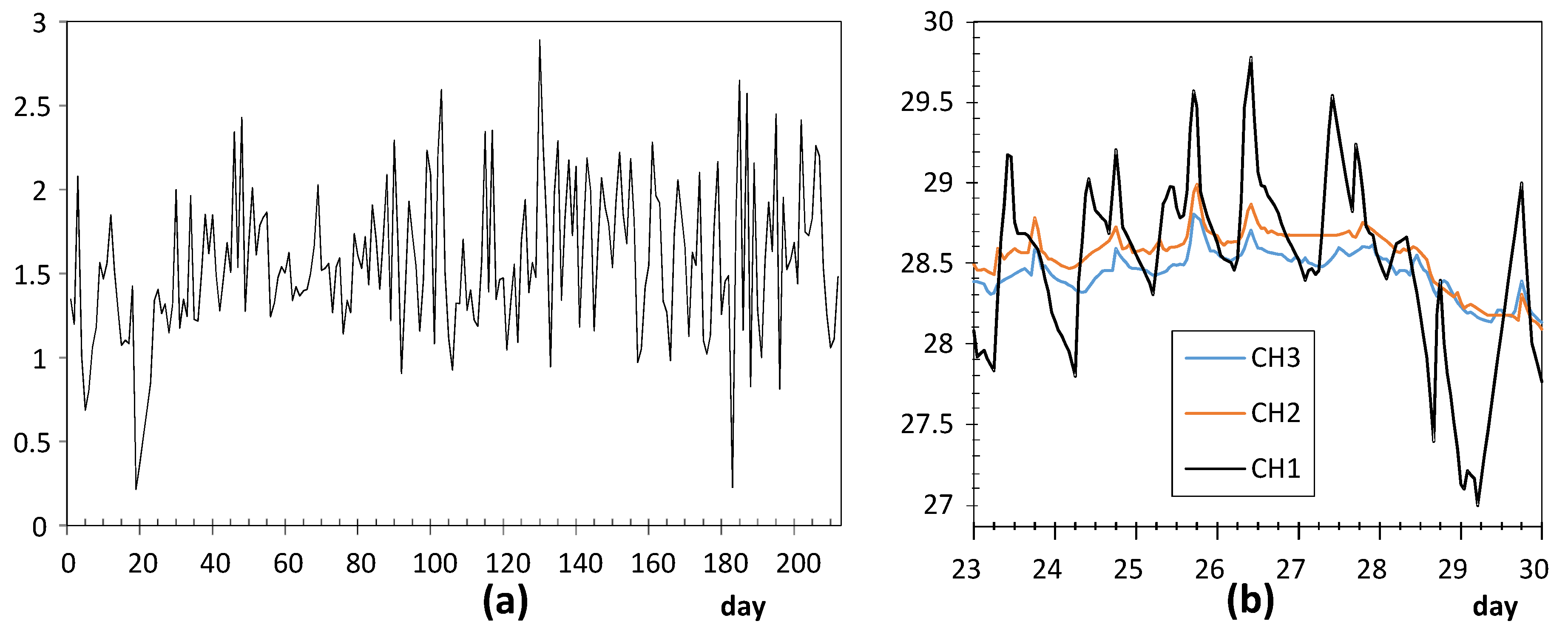
- Node CH1: Placed on a window ledge, at about 7 m from the chapel door. This window is east oriented and, except on cloudy days, it is heated by direct sunshine radiation incident on the glass during a certain time frame that varies throughout the year. The window remained open during part of the period under study, so that collected values were influenced by the entrance of outer air, as discussed below.
- Node CH2: Dropped on the top of a painting framework, at 5 m from the door and 7 m away from CH1.
- Node CH3: Dropped on the top of a painting framework in front of CH2 (at 6.9 m away), at 5 m from the chapel entrance.
- Node UP1: It was fastened with a clamp to the security banister located 1 m above the cornice that decorates all pilaster capitals around the entire perimeter inside the central nave. This cornice has a width of about 0.5 m and allows access to some upper windows. The closest node was LO2, located 10 m away.
- Node UP2: Installed at the banister of the cornice, above the main entrance of the church. The closest node was EN3, which remained about 7 m below.
- Node UP3: At the cornice banister, at about 7 m above LO5, both located over the access door to the Communion Chapel.
- Node UP4: At the cornice banister in a symmetrical position with respect to UP3 and at the same height, above node LO7. Both were placed over the door that opens to a corridor leading to the sacristy.
- Node UP5: Dropped on the wooden sounding board covering the pulpit. It remains at 4.5 m away from LO5, which was the closest node.
- Node RE1: Located at the left side of the retable. It was dropped on the base of the niche holding a statue of Saint Philip Neri.
- Node RE2: Right side of the retable, symmetrically placed with respect to RE1, on the base of the niche with a statue of Saint Vincent Ferrer.
- Node RE3: Left side of the retable, at 4.6 m above RE1 and 4.2 m below RE5, on the capital crowning a wooden column, which is a flat ledge that protrudes about 20 cm.
- Node RE4: Right side, on the symmetric capital with respect to RE3, at 8 m away.
- Node RE5: Placed in the nook of a volute decorating the altarpiece top, at 4.6 m above RE3. The volute was accessed by walking through the cornice decorating the entire upper perimeter of the central nave.
- Node RE6: On a symmetric position with respect to RE5, 8.0 m away, at 4.6 m above RE4, also in the nook of a volute decorating the altarpiece top.
- Node LO1: Dropped on the roof of a wooden confessional, it remained at 9 m away from the main entrance. The closest node was EN2, at a distance of 6.5 m.
- Node LO2: On the top of a confessional at 7.4 m away from LO1, which was the nearest node.
- Node LO3: Located on the roof of a wooden confessional, at 9.0 m away from the main entrance. From 8 December 2017 until 2 February 2018, the nativity scene was installed next to this confessional.
- Node LO4: Placed at 5.2 m away from LO6, on the back side of a big picture (8.26 m × 3.86 m) from José Vergara, oil-painted on canvas dated about 1735, depicting Saint Philip Neri with pope Gregory XIII. The frame is separated about 20 cm from the wall by means of a metal structure in order to allow ventilation and improve the preservation conditions. This node was fastened to the bottom edge of the frame, facing the wall, 20 cm away.
- Node LO5: It was dropped on the marble lintel above the door leading to the Communion Chapel, at 7.1 m below UP3.
- Node LO6: Placed at the top of another wooden confessional.
- Node LO7: Symmetrically positioned with respect to LO5, above the door opening to a corridor that leads to the sacristy, at 7.1 m below UP4.
- Node EN1: Dropped on the roof of the narthex, at 4.4 m away from EN3. This narthex is a wooden structure acting as foyer or vestibule at the church entrance.
- Node EN2: In a symmetrical position with respect to EN1, also on the narthex roof.
- Node EN3: When entering the church from outside, there is a front door that is part of the narthex, which remains closed most of the time. This node was installed on the top of such door frame, facing the main nave, at about 7.8 m below UP2.
- Node OUT: Inside the narthex, dropped on the top of a frame. Although it was denoted as OUT, it, in fact, provided information about the transition environment from outside and inside the temple because the main entrance is open at least six hours every day. Unfortunately, this node disappeared on 1 September 2017 at 11:00 a.m., so temperatures are only available for the first 32 days.
- Node SAC: Placed at the corridor leading to the sacristy and other rooms, hanging on a nail at the top of a door frame. It remained 4 m away from the door that opens to this corridor, which is a chamber quite isolated form the central nave. Hence, it was of interest to monitor air conditions here.
2.4. Data Pretreatment
2.5. Daily Fluctuations of Temperature
2.6. Mean Daily Values
3. Results and Discussion
3.1. Discussion of Missing Values
- Node OUT: It disappeared on 1 September. The values are available for just 32 days, but they were taken into consideration because this is the only node inside the narthex, where the microclimate is different.
- Node SAC: There is only 23.7% of available data due to problems of communication with the sink gateway. The thick walls separating the central nave with respect to the corridor where this node was placed led to problems of signal propagation, which justifies the higher amount of missing data.
- Node CH3: The amount of data collected was much lower for CH3 (54.4%) compared with CH1 (78.5%) and CH2 (75.5%). These three nodes were placed inside the Communion Chapel with thick walls and a metal-cladding wooden door that limited signal propagation and therefore were more affected by the specific positioning. Fortunately, PCA can manage such percentages of missing values.
- Node LO2: A total 58.6% of available data. The reasons are uncertain because it is relatively close to the gateway, just 12.5 m away. It was found that the signal level of this specific node was very weak, indicating a flaw in the electronics.
3.2. Daily Fluctuations of Temperature
3.2.1. Identification of Shifts in the Time Series of Daily Ranges
3.2.2. Nodes with Highest Average Daily Ranges (ADR) of Temperature
3.2.3. Study of Daily Trajectories
3.2.4. Study of the Effect of Week Day
3.3. Differences between Nodes Regarding the Trajectories of Daily Median Temperature
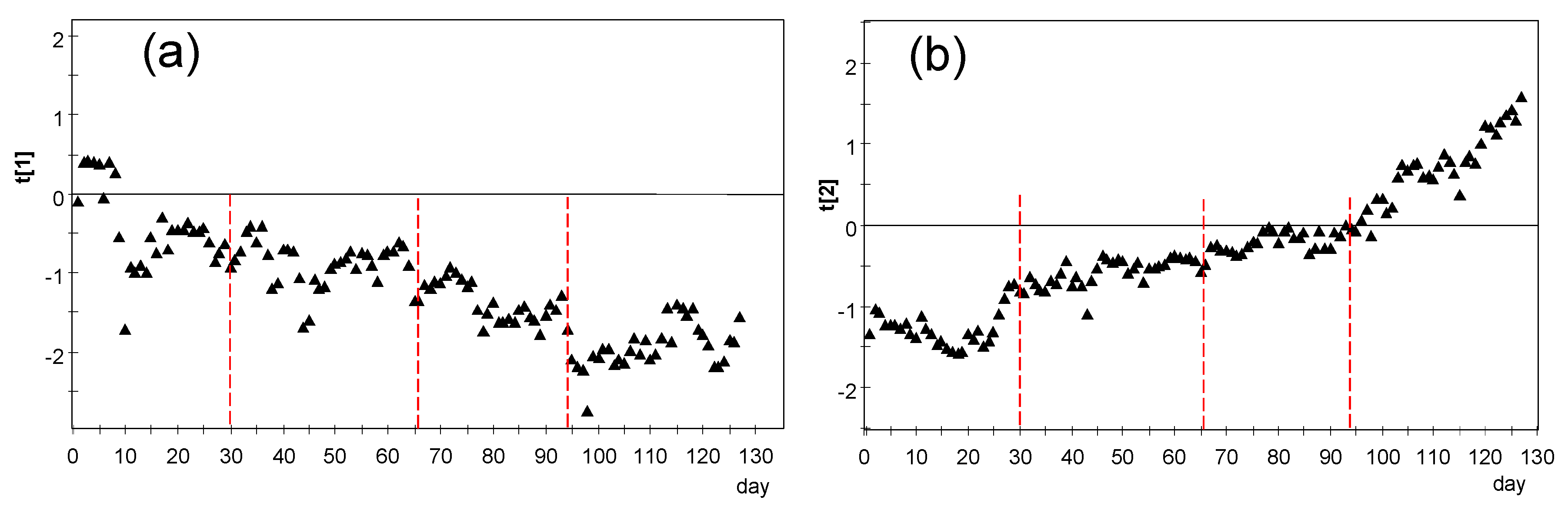
3.3.1. PCA for the Period of Days 1–130
3.3.2. PCA Results for the Period of Days 1–30
3.3.3. PCA Results for the Period of Days 31–94
3.3.4. PCA Results for the Period of Days 31–66
3.3.5. PCA Results for the Period of Days 67–94
3.3.6. PCA for the Period of Days 95–130
3.3.7. PCA Results for the Period of Days 131–212
4. Conclusions
Author Contributions
Funding
Data Availability Statement
Acknowledgments
Conflicts of Interest
References
- Pernice, D.; Debyser, A. Fact Sheets on the European Union: Transport and Tourism Policy; European Parliament: Strasbourg, France, 2021; Available online: https://www.europarl.europa.eu/factsheets/en/sheet/126/tourism (accessed on 6 November 2021).
- Merello, P.; Beltrán, P.; García-Diego, F.J. Quantitative non-invasive method for damage evaluation in frescoes: Ariadne’s House (Pompeii, Italy). Environ. Earth Sci. 2016, 75, 165. [Google Scholar] [CrossRef]
- European Committee for Standardization. EN 15758:2010. Conservation of Cultural Property. Procedures and Instruments for Measuring Temperatures of the Air and the Surfaces of Objects; European Committee for Standardization: Brussels, Belgium, 2010. [Google Scholar]
- Camuffo, D. Microclimate for Cultural Heritage. Measurement, Risk Assessment, Conservation, Restoration, and Maintenance of Indoor and Outdoor Monuments; Elsevier: Amsterdam, The Netherlands, 2019. [Google Scholar]
- Brimblecombe, P.; Blades, N.; Camuffo, D.; Sturaro, G.; Valentino, A.; Gysels, K.; Van Grieken, R.; Busse, H.J.; Kim, O.; Ulrych, U.; et al. The indoor environment of a modern museum building, the Sainsbury Centre for Visual Arts, Norwich, UK. Indoor Air 1999, 9, 146–164. [Google Scholar] [CrossRef]
- Ramírez, S.; Zarzo, M.; Perles, A.; García-Diego, F.-J. A Methodology for Discriminant Time Series Analysis Applied to Microclimate Monitoring of Fresco Paintings. Sensors 2021, 21, 436. [Google Scholar] [CrossRef]
- European Committee for Standardization. EN 15757:2010. Conservation of Cultural Property. Specifications for Temperature and Relative Humidity to Limit Climate-Induced Mechanical Damage in Organic Hygroscopic Materials. Surfaces of Objects; European Committee for Standardization: Brussels, Belgium, 2010. [Google Scholar]
- European Committee for Standardization. EN 15898:2019. Conservation of Cultural Property. Main General Terms and Definitions; European Committee for Standardization: Brussels, Belgium, 2019. [Google Scholar]
- European Committee for Standardization. EN 16141:2012. Conservation of Cultural Heritage. Guidelines for Management of Environmental Conditions. Open Storage Facilities: Definitions and Characteristics of Collection Centers Dedicated to the Preservation and Management of Cultural Heritage; European Committee for Standardization: Brussels, Belgium, 2012. [Google Scholar]
- European Committee for Standardization. EN 16242:2012. Conservation of Cultural Heritage. Procedures and Instruments for Measuring Humidity in the Air and Moisture Exchanges between Air and Cultural Property; European Committee for Standardization: Brussels, Belgium, 2012. [Google Scholar]
- European Committee for Standardization. EN 16883:2017. Conservation of Cultural Heritage. Guidelines for Improving the Energy Performance of Historic Buildings; European Committee for Standardization: Brussels, Belgium, 2017. [Google Scholar]
- European Committee for Standardization. EN 16893:2018. Conservation of Cultural Heritage. Specifications for Location, Construction and Modification of Buildings or Rooms Intended for the Storage or Use of Heritage Collections; European Committee for Standardization: Brussels, Belgium, 2018. [Google Scholar]
- Bernardi, A.; Todorov, V.; Hiristova, J. Microclimatic analysis in St. Stephan’s church, Nessebar, Bulgaria after interventions for the conservation of frescoes. J. Cult. Herit. 2000, 1, 281–286. [Google Scholar] [CrossRef]
- Schellen, H.L. Heating Monumental Churches: Indoor Climate and Preservation of Cultural Heritage; Technische Universiteit Eindhoven: Eindhoven, The Netherlands, 2002. [Google Scholar] [CrossRef]
- Atkinson, K. Environmental conditions for the safeguarding of collections: A background to the current debate on the control of relative humidity and temperature. Stud. Conserv. 2014, 59, 205–212. [Google Scholar] [CrossRef]
- Bratasz, L. Allowable microclimatic variations in museums and historic buildings: Reviewing the guidelines. Climate for Collections: Standards and Uncertainties. In Postprints of the Munich Climate Conference, 7–9 November 2012; Ashley-Smith, J., Burmester, A., Eibl, M., Eds.; Archetype Pub.: Munich, Germany, 2012; ISBN 978-1-909492-00-4 34. [Google Scholar]
- Lucchi, E. Review of preventive conservation in museum buildings. J. Cult. Herit. 2018, 29, 180–193. [Google Scholar] [CrossRef]
- Pavlogeorgatos, G. Environmental parameters in museums. Build. Environ. 2003, 38, 1457–1462. [Google Scholar] [CrossRef]
- Erhardt, D.; Mecklenburg, M.F.; Tumosa, C.S.; McCormick-Goodhart, M.H. The Determination of Appropriate Museum Environments; The British Museum: London, UK, 1997; pp. 153–163. [Google Scholar]
- Camuffo, D.; Bernardi, A.; Sturaro, G.; Valentino, A. The microclimate inside the Pollaiolo and Botticelli rooms in the Uffizi Gallery, Florence. J. Cult. Herit. 2002, 3, 155–161. [Google Scholar] [CrossRef]
- Camuffo, D.; Van Grieken, R.; Busse, H.-J.; Sturaro, G.; Valentino, A.; Bernardi, A.; Blades, N.; Shooter, D.; Gysels, K.; Deutsch, F.; et al. Environmental monitoring in four European museums. Atmos. Environ. 2001, 35, S127–S140. [Google Scholar] [CrossRef]
- Lucchi, E. Multidisciplinary risk-based analysis for supporting the decision making process on conservation, energy efficiency, and human comfort in museum buildings. J. Cult. Herit. 2016, 22, 1079–1089. [Google Scholar] [CrossRef]
- Lucchi, E. Environmental Risk Management for Museums in Historic Buildings through an Innovative Approach: A Case Study of the Pinacoteca di Brera in Milan (Italy). Sustainability 2020, 12, 5155. [Google Scholar] [CrossRef]
- Becherini, F.; Bernardi, A.; Di Tuccio, M.C.; Vivarelli, A.; Pockelè, L.; De Grandi, S.; Fortuna, S.; Quendolo, A. Microclimatic monitoring for the investigation of the different state of conservation of the stucco statues of the Longobard Temple in Cividale del Friuli (Udine, Italy). J. Cult. Herit. 2016, 18, 375–379. [Google Scholar] [CrossRef]
- Schito, E.; Testi, D.; Grassi, W. A Proposal for New Microclimate Indexes for the Evaluation of Indoor Air Quality in Museums. Buildings 2016, 6, 41. [Google Scholar] [CrossRef]
- Schito, E. Application of different methodologies for artwork risk assessment and reduction: Simulation of a museum room with a validated dynamic model. IOP Conf. Ser. Mater. Sci. Eng. 2020, 949, 12001. [Google Scholar] [CrossRef]
- Silva, H.E.; Henriques, F.M.A. Preventive conservation of historic buildings in temperate climates. The importance of a risk-based analysis on the decision-making process. Energy Build. 2015, 107, 26–36. [Google Scholar] [CrossRef]
- Silva, H.E.; Henriques, F.M.A.; Henriques, T.A.S.; Coelho, G. A sequential process to assess and optimize the indoor climate in museums. Build. Environ. 2016, 104, 21–34. [Google Scholar] [CrossRef]
- Silva, H.E.; Coelho, G.B.A.; Henriques, F.M.A. Climate monitoring in World Heritage List buildings with low-cost data loggers: The case of the Jerónimos Monastery in Lisbon (Portugal). J. Build. Eng. 2020, 28, 24–35. [Google Scholar] [CrossRef]
- Vella, R.C.; Rey, F.J.; Yousif, C.; Gatt, D. A study of thermal comfort in naturally ventilated churches in a Mediterranean climate. Energy Build. 2020, 213, 109843. [Google Scholar] [CrossRef]
- Lucero-Gómez, P.; Balliana, E.; Izzo, F.; Zendri, E. A new methodology to characterize indoor variations of temperature and relative humidity in historical museum buildings for conservation purposes. Build. Environ. 2020, 185, 107147. [Google Scholar] [CrossRef]
- La Gennusa, M.; Lascari, G.; Rizzo, G.; Scaccianoce, G. Conflicting needs of the thermal indoor environment of museums: In search of a practical compromise. J. Cult. Herit. 2008, 9, 125–134. [Google Scholar] [CrossRef]
- Muñoz-González, C.M.; León-Rodríguez, A.L.; Navarro-Casas, J. Air conditioning and passive environmental techniques in historic churches in Mediterranean climate. A proposed method to assess damage risk and thermal comfort pre-intervention, simulation-based. Energy Build. 2016, 130, 567–577. [Google Scholar] [CrossRef]
- García-Diego, F.-J.; Zarzo, M. Microclimate monitoring by multivariate statistical control: The renaissance frescoes of the Cathedral of Valencia (Spain). J. Cult. Herit. 2010, 11, 339–344. [Google Scholar] [CrossRef]
- Zarzo, M.; Fernández-Navajas, A.; García-Diego, F.J. Long-term monitoring of fresco paintings in the cathedral of Valencia (Spain) through humidity and temperature sensors in various locations for preventive conservation. Sensors 2011, 11, 8685–8710. [Google Scholar] [CrossRef] [PubMed]
- Fernández-Navajas, A.; Merello, P.; Beltrán, P.; García-Diego, F.-J. Multivariate thermo-hygrometric characterisation of the archaeological site of Plaza de l’Almoina (Valencia, Spain) for preventive conservation. Sensors 2013, 13, 9729–9746. [Google Scholar] [CrossRef]
- Merello, P.; García-Diego, F.-J.; Zarzo, M. Diagnosis of abnormal patterns in multivariate microclimate monitoring: A case study of an open-air archaeological site in Pompeii (Italy). Sci. Total Environ. 2014, 488, 14–25. [Google Scholar] [CrossRef]
- Nazarova, J.; Borodiņecs, A. Evaluation of temperature and humidity regime in an orthodox church. Constr. Sci 2014, 15, 19–23. [Google Scholar] [CrossRef][Green Version]
- Adán, A.; Pérez, V.; Vivancos, J.-L.; Aparicio-Fernández, C.; Prieto, S.A. Proposing 3D Thermal Technology for Heritage Building Energy Monitoring. Remote Sens. 2021, 13, 1537. [Google Scholar] [CrossRef]
- Mesas-Carrascosa, F.J.; Verdú, D.; Meroño, J.E.; Ortíz Cordero, R.; Hidalgo, R.E.; García-Ferrer, A. Monitoring heritage buildings with open-source hardware sensors: A case study of the Mosque-Cathedral of Córdoba. Sensors 2016, 16, 1620. [Google Scholar] [CrossRef]
- Martínez-Garrido, M.I.; Fort, R. Sensing Technologies for Monitoring and Conservation of Cultural Heritage: Wireless Detection of Decay Factor. In Science, Technology and Cultural Heritage, Proceedings of the Second International Congress on Science and Technology for the Conservation of Cultural Heritage, Sevilla, Spain, 24–27 June 2014; CRC Press: Boca Raton, FL, USA, 2014; ISBN 978-1-138-02744-2. [Google Scholar]
- García-Diego, F.-J.; Esteban, B.; Merello, P. Design of a Hybrid (Wired/Wireless) Acquisition Data System for Monitoring of Cultural Heritage Physical Parameters in Smart Cities. Sensors 2015, 15, 7246–7266. [Google Scholar] [CrossRef]
- Martínez-Garrido, M.I.; Fort, R. Experimental assessment of a wireless communications platform for the built and natural heritage. Measurement 2016, 82, 188–201. [Google Scholar] [CrossRef]
- Siani, A.M.; Frasca, F.; Di Michele, M.; Bonacquisti, V.; Fazio, E. Cluster analysis of microclimate data to optimize the number of sensors for the assessment of indoor environment within museums. Environ. Sci. Pollut. Res. 2018, 25, 28787–28797. [Google Scholar] [CrossRef] [PubMed]
- Cunha, M.; Richter, C.A. Time-Frequency Analysis on the Impact of Climate Variability on Semi-Natural Mountain Meadows. IEEE T. Geosci. Remote 2014, 52, 6156–6164. [Google Scholar] [CrossRef]
- Sony, S.; Sadhu, A. Multivariate empirical mode decomposition–based structural damage localization using limited sensors. J. Vib. Control 2021, in press. [Google Scholar] [CrossRef]
- Jin, X.; Tian, Y.; Zhao, K.; Ma, B.; Deng, J.; Luo, J. Experimental study on supersonic combustion fluctuation using thin-film thermocouple and time-frequency analysis. Acta Astronaut. 2021, 179, 33–41. [Google Scholar] [CrossRef]
- Perles, A.; Pérez-Marín, E.; Mercado, R.; Damian, J.; Blanquer, I.; Zarzo, M.; Garcia-Diego, F.J. An energy-efficient internet of things (IoT) architecture for preventive conservation of cultural heritage. Future Gener. Comp. Syst. 2018, 81, 566–581. [Google Scholar] [CrossRef]
- Chianese, A.; Piccialli, F. Designing a smart museum: When cultural heritage joins IoT. In Proceedings of the 2014 8th International Conference on Next Generation Mobile Applications, Services and Technologies, NGMAST 2014, Oxford, UK, 10–12 September 2014; pp. 300–306. [Google Scholar] [CrossRef]
- Aparicio, S.; Martínez-Garrido, M.I.; Ranz, J.; Fort, R.; Izquierdo, M.G. Routing topologies of wireless sensor networks for health monitoring of a cultural heritage site. Sensors 2016, 16, 10. [Google Scholar] [CrossRef]
- Mecocci, A.; Abrardo, A. Monitoring architectural heritage by wireless sensors networks: San Gimignano a case study. Sensors 2014, 14, 770–778. [Google Scholar] [CrossRef]
- Gubbi, J.; Buyya, R.; Marusic, S.; Palaniswami, M. Internet of things (IoT): A vision, architectural elements, and future directions. Future Gener. Comput. Syst. 2013, 29, 1645–1660. [Google Scholar] [CrossRef]
- Perles, A.; Mercado, R.; Capella, J.V.; Serrano, J.J. Ultra-Low Power Optical Sensor for Xylophagous Insect Detection in Wood. Sensors 2016, 16, 1977. [Google Scholar] [CrossRef]
- MQTT: The Standard for IoT Messaging. OASIS. Available online: https://docs.oasis-open.org/mqtt/mqtt/v5.0/mqtt-v5.0.html (accessed on 7 November 2021).
- Redash Data Dashboards. Available online: https://redash.io (accessed on 7 November 2021).
- UNI. UNI 10829:1999. Beni di Interesse Storico e Artistico—Condizioni Ambientali di Conservazione—Misurazione ed Analisi; UNI Ente Nazionale Italiano di Unificazione: Milano, Italy, 1999. [Google Scholar]
- ASHRAE. Handbook—HVAC Applications. Chapter 23: Museums, Galleries, Archives, and Libraries; American Society of Heating, Refrigerating and Air-Conditioning Engineers, Inc.: Atlanta, GA, USA, 2011. [Google Scholar]
- Lucchi, E.; Dias Pereira, L.; Andreotti, M.; Malaguti, R.; Cennamo, D.; Calzolari, M.; Frighi, V. Development of a Compatible, Low Cost and High Accurate Conservation Remote Sensing Technology for the Hygrothermal Assessment of Historic Walls. Electronics 2019, 8, 643. [Google Scholar] [CrossRef]
- Imholt, C.; Soulsby, C.; Malcolm, I.; Hrachowitz, M.; Gibbins, G.; Langan, S.; Tetzlaff, D. Influence of scale on thermal characteristics in a large montane River Basin. River Res. Appl. 2013, 29, 403–419. [Google Scholar] [CrossRef]
- Merello, P.; García-Diego, F.J.; Zarzo, M. Microclimate monitoring of Ariadne’s house (Pompeii, Italy) for preventive conservation of fresco paintings. Chem. Cent. J. 2012, 6, 145. [Google Scholar] [CrossRef] [PubMed]
- Yang, Z.; Hanna, E.; Callaghan, T.; Jonasson, C. How can meteorological observations and microclimate simulations improve understanding of 1913–2010 climate change around Abisko, Swedish Lapland? Meteorol. Appl. 2012, 19, 454–463. [Google Scholar] [CrossRef]
- Perles, A.; Fuster-López, L.; García-Diego, F.J.; Peiró-Vitoria, A.; García-Castillo, A.M.; Andersen, C.K.; Bosco, E.; Mavrikas, E.; Pariente, T. CollectionCare: An affordable service for the preventive conservation monitoring of single cultural artefacts during display, storage, handling and transport. In IOP Conference Series: Materials Science and Engineering 1 November 2020; IOP Publishing: Bristol, UK, 2020. [Google Scholar] [CrossRef]
- Padfield, T. How to Keep for a While What You Want to Keep Forever. 2005. Available online: https://www.conservationphysics.org/phdk/phdk_tp.html (accessed on 6 November 2021).
- Merello, P.; García-Diego, F.J.; Zarzo, M. Evaluation of corrective measures implemented for the preventive conservation of fresco paintings in Ariadne’s house (Pompeii, Italy). Chem. Cent. J. 2013, 7, 87. [Google Scholar] [CrossRef]
- Spanish Government’s Institute for the Diversification and Saving of Energy Energy Saving Recommendations. Available online: http://guiaenergia.idae.es/ (accessed on 6 November 2021).
- Ramírez, S.; Zarzo, M.; Perles, A.; García-Diego, F.-J. Characterization of temperature gradients according to height in a baroque church by means of wireless sensors. Sensors 2021, 21, 6921. [Google Scholar] [CrossRef]
- CollectionCare: Innovative and Affordable Service for the Preventive Conservation Monitoring of Individual Cultural Artefacts during Display, Storage, Handling and Transport. European Union’s Horizon 2020 Research and Innovation Programme Funded Project No 814624. Available online: https://www.collectioncare.eu/ (accessed on 6 November 2021).























| Node | Bias | Node | Bias | Node | Bias | Node | Bias | 
|---|---|---|---|---|---|---|---|
| CH1 | −0.075 | LO1 | −0.003 | RE1 | −0.036 | UP1 | −0.277 | 
| CH2 | 0.012 | LO2 | 0.069 | RE2 | −0.046 | UP2 | −0.098 | 
| CH3 | 0.083 | LO3 | −0.088 | RE3 | −0.249 | UP3 | 0.276 | 
| EN1 | −0.280 | LO4 | 0.077 | RE4 | 0.000 | UP4 | 0.335 | 
| EN2 | 0.097 | LO5 | 0.009 | RE5 | 0.150 | UP5 | 0.175 | 
| EN3 | 0.160 | LO6 | −0.019 | RE6 | 0.189 | ||
| OUT | −0.028 | LO7 | −0.089 | SAC | −0.115 | 
| Node | Height | Node | Height | 
|---|---|---|---|
| CH1 | 4.2 | RE1, RE2 | 4.0 | 
| CH2, CH3 | 3.7 | RE3, RE4 | 8.6 | 
| UP1, UP2, UP3, UP4 | 12.1 | RE5, RE6 | 12.2 | 
| UP5 | 5.0 | EN1, EN2 | 2.5 | 
| LO1, LO2, LO3, LO6 | 2.0 | EN3 | 4.3 | 
| LO4 | 3.9 | SAC | 3.5 | 
| LO5, LO7 | 5.0 | OUT | 2.0 | 
| Node | ADR | ADM | Node | ADR | ADM | Node | ADR | ADM | 
|---|---|---|---|---|---|---|---|---|
| CH1 | 1.57 | 24.49 | LO3 | 0.64 | 25.04 | RE4 | 0.40 | 24.94 | 
| CH2 | 0.58 | 24.82 | LO4 | 0.28 | 24.95 | RE5 | 0.48 | 24.64 | 
| CH3 | 0.34 | 25.06 | LO5 | 0.22 | 25.05 | RE6 | 0.53 | 24.58 | 
| EN1 | 0.37 | 25.05 | LO6 | 0.47 | 25.11 | UP1 | 0.43 | 25.06 | 
| EN2 | 0.40 | 25.21 | LO7 | 0.20 | 24.99 | UP2 | 0.38 | 24.96 | 
| EN3 | 0.59 | 25.10 | RE1 | 0.35 | 24.60 | UP3 | 0.39 | 24.87 | 
| LO1 | 0.33 | 24.84 | RE2 | 0.34 | 24.48 | UP4 | 0.71 | 25.11 | 
| LO2 | 0.37 | 24.96 | RE3 | 0.33 | 25.05 | UP5 | 0.40 | 25.14 | 
| Publisher’s Note: MDPI stays neutral with regard to jurisdictional claims in published maps and institutional affiliations. | 
© 2021 by the authors. Licensee MDPI, Basel, Switzerland. This article is an open access article distributed under the terms and conditions of the Creative Commons Attribution (CC BY) license (https://creativecommons.org/licenses/by/4.0/).
Share and Cite
Zarzo, M.; Perles, A.; Mercado, R.; García-Diego, F.-J. Multivariate Characterization of Temperature Fluctuations in a Historical Building Using Energy-Efficient IoT Wireless Sensors. Sensors 2021, 21, 7795. https://doi.org/10.3390/s21237795
Zarzo M, Perles A, Mercado R, García-Diego F-J. Multivariate Characterization of Temperature Fluctuations in a Historical Building Using Energy-Efficient IoT Wireless Sensors. Sensors. 2021; 21(23):7795. https://doi.org/10.3390/s21237795
Chicago/Turabian StyleZarzo, Manuel, Angel Perles, Ricardo Mercado, and Fernando-Juan García-Diego. 2021. "Multivariate Characterization of Temperature Fluctuations in a Historical Building Using Energy-Efficient IoT Wireless Sensors" Sensors 21, no. 23: 7795. https://doi.org/10.3390/s21237795
APA StyleZarzo, M., Perles, A., Mercado, R., & García-Diego, F.-J. (2021). Multivariate Characterization of Temperature Fluctuations in a Historical Building Using Energy-Efficient IoT Wireless Sensors. Sensors, 21(23), 7795. https://doi.org/10.3390/s21237795
 
         
                                                

 
       