Abstract
Interferometric methods of optical sensing based on the phase shift of the Bloch surface waves (BSWs) and guided waves (GWs) supported by a one-dimensional photonic crystal are presented. The photonic crystal, composed of six SiO2/TiO2 bilayers with a termination layer of TiO2, is employed in the Kretschmann configuration. Under resonance condition, an abrupt phase change is revealed, and the corresponding phase shift is measured by interferometric techniques applied in both the spectral and spatial domains. The spectral interferometric technique employing a birefringent quartz crystal is used to obtain interference of projections of p- and s-polarized light waves reflected from the photonic crystal. The phase shifts are retrieved by processing the spectral interferograms recorded for various values of relative humidity (RH) of air, giving the sensitivity to the RH as high as 0.029 rad/%RH and 0.012 rad/%RH for the BSW and GW, respectively. The spatial interferometric technique employs a Wollaston prism and an analyzer to generate an interference pattern, which is processed to retrieve the phase difference, and results are in good agreement with those obtained by sensing the phase shift in the spectral domain. In addition, from the derivative of the spectral phase shifts, the peak positions are obtained, and their changes with the RH give the sensitivities of 0.094 nm/%RH and 0.061 nm/%RH for the BSW and GW, respectively. These experimental results demonstrate an efficient optical sensing with a lot of applications in various research areas.
1. Introduction
Dielectric structures composed of alternating stratified media, referred to as the one-dimensional photonic crystals (1DPhCs) or the Bragg reflectors, are interesting for their optical properties. Due to a periodic modulation of the refractive index (RI), regions of abandoned light frequencies—the photonic band gaps—exist and within them, light is not allowed to propagate through the structures [1,2]. Thus, the 1DPhCs have a high reflectivity and are widely used as reflective coatings and filters [3]. The 1DPhCs can also act as planar waveguides [4] and the guided waves (GWs) can be used in sensing applications [5,6,7]. Last but not the least, the Bloch surface waves (BSWs) propagating along the interface of the 1DPhC with an external medium are widely used in sensing, including the angular [8,9,10,11] or wavelength [12,13,14,15,16,17] interrogations. Thus, the BSW-based sensors extend mature technologies applied in sensing that have several applications in different fields of biology [18], physics [18], and chemistry [18,19,20,21]. The BSW states exist within the band gap of a truncated 1DPhC. Both the GWs and BSWs cause a phase jump of incident light, similarly to the surface plasmon resonance (SPR). Therefore, sensors based on the phase detection of waves supported by a 1DPhC are feasible [22,23,24,25,26,27]. In addition, they represent an alternative to relative humidity sensors based on resonances of surface plasmons [16], BSWs [16], whispering gallery modes [28], guided modes [4,7,29], photonic crystal modes [30], and lossy modes [31,32].
One of the advantages of the BSWs supported by 1DPhCs is the fact that also s-polarized light can be used for their excitation, depending on the structure geometry. Since the structure is composed of dielectric materials, absorption is very low and resonance dips in the reflectance spectrum are narrow. In addition, because of its chemical stability, sensing using the 1DPhCs can be adopted in aggressive environments. Although the sensing using the reflectance evaluation in the spectral domain is more often reported owing to a simple set-up, the phase interrogation has some substantial advantages even if the method is more complex. One of them is that resonance phase peaks are narrower than the resonance reflection dips. Moreover, in many cases the resonance reflection dips cannot be resolved and an interferometric method to measure an abrupt phase change overcomes the limitation.
In this paper, two optical interferometric sensing methods based on measurement of the phase shift of the BSWs and GWs supported by a 1DPhC are presented. The methods, as alternatives to original approaches [33,34,35,36,37,38,39], are applied in both the spectral and spatial domains, and as an analyte, moist air of a varied relative humidity (RH) is used. For the 1DPhC under test we show that the phase shifts of both the BSW and GW can be resolved using the spectral method. On the contrary, only the phase shift of the GW can be resolved using the spatial method. At a specific wavelength, the phase shift is determined as a function of the RH. The sensor performance is evaluated in terms of sensitivity, and in the case of the BSWs, achieved sensitivity to the humidity is as high as 0.029 rad/%RH. Similarly, in the case of the GWs, the sensitivity reaches 0.012 rad/%RH. Moreover, to show an advantage of the spectral method, derivative of the phase shift is performed, and peak position is tracked as a function of the RH, giving the sensitivity to the RH as high as 0.094 nm/%RH and 0.061 nm/%RH for the BSW and GW, respectively.
The paper is organized as follows. The first part is focused on the material characterization. In the second part, computational tools used in theoretical model are introduced. The third part is focused on a band structure of an infinite 1DPhC. Then, the theoretical results are presented. In the following part, an experimental set-up used in recording the interferograms is described. The last but one part is focused on experimental results obtained by techniques applied in both the spectral and spatial domains. In the final part, conclusions are presented.
2. Theoretical Model
2.1. Material Characterization
The multilayer structure under study is shown in Figure 1a, and it represents a 1DPhC consisting of six SiO2/TiO2 bilayers and a termination layer of TiO2. The 1DPhC is deposited on a glass substrate and employing an immersion oil, the substrate is attached to a coupling prism made of BK7 glass in the Kretschmann configuration. In Figure 1b, a detail image of the structure profile obtained by a scanning electron microscope (SEM) is shown, revealing different layer thicknesses. To characterize the thin layers, the variable angle spectroscopic ellipsometry (VASE) measurement was employed. Data obtained by the VASE were processed using the CompleteEASE software (J.A. Woollam Co., Inc., Shanghai, China) and the thicknesses of the layers were determined, as summarized in Table 1.
Figure 1.
(a) A coupling prism with a photonic crystal under consideration. (b) SEM image of the photonic crystal.
Table 1.
Thin layer thicknesses obtained by the VASE.
Moreover, the RI dispersions of the layers and of the substrate were also determined as a result of fitting the data obtained by the VASE. In the case of the glass substrate, the RI as a function of wavelength is expressed by Cauchy formula
where values of constants obtained by the VASE are , B = 0.19112 μm−1, and , when wavelength is in micrometers. The RI dispersion of thin films is described by formula
where and D are constants and i = TiO2, SiO2 indicates the material. Their values obtained by the VASE for TiO2 are A = 0, B = 4.672, C = 0.22935 μm, D = 0 . The constant values obtained for SiO2 are A = 1.348, B = 0.756, C = 0.10683 μm, D = 0.00975 μm−2. The obtained relations are valid in a wavelength range from 376 nm to 1700 nm. Similarly, the RI of the BK7 prism is described by a three term Sellmeier formula specified elsewhere [40], valid in a wavelength range from 0.3 μm to 2.5 μm.
At the top of the termination layer, there is a rough surface. To confirm the rough surface, a square of 10 μm × 10 μm chosen on the surface was inspected by the atomic force microscopy (AFM) and data obtained were processed using Gwyddion software. A topography image of the 1DPhC surface corrected by a flat surface subtraction is shown in Figure 2, and the average roughness nm was obtained.
Figure 2.
A topography image obtained by an AFM measurement.
Under assumption that the average roughness is smaller than the wavelength of interacting light, the rough surface can be approximated by a layer of an effective medium. In the case of the Bruggeman effective media approximation (EMA), the dielectric constant describing the layer satisfies the equation
where end are dielectric constants of media a and b, respectively, and is a fraction of medium a in the effective medium layer. By default, set-up of the CompleteEASE software, 50% of void is assumed (f = 0.5, = 1) in the models.
The multilayer detection structure is sensitive to changes in RI of the external medium (analyte) of the 1DPhC. Since the change in the RI of moist air due to RH change is very low ( obtained [41] for wavelength = 532 nm, temperature t = 20 C, atmospheric pressure p = 1013.25 hPa and RH change from 30% to 80%), the mechanism of sensitivity of the proposed sensor to moist air (see next Sections) has to be caused by other phenomena. One of them is adsorption of water molecules on the rough surface [42,43] of the 1DPhC. To gain insight into the effect, we simulate it by involving contribution of dielectric function of water in calculations of the Bruggeman EMA. It can be done using of Equation (3) recursively. First, the RI dispersion of water can be described by a four term Sellmeier formula [44]
where the constants and valid for temperature of 20 °C are , , , , m2, m2, m2, m2.
Then the dielectric function containing contributions of air and water is obtained using Equation (3), considering and for fraction of medium a (water) , where for and for . After that, the final dielectric function involving contributions of TiO2 and previously determined effective medium is obtained, considering and , with fixed .
2.2. Matrix Formalism
Interaction of electromagnetic waves with dielectric periodic structures can be effectively described by the matrix method [45,46], assuming that the media are homogeneous and isotropic. First, a structure of N layers sandwiched between two semi-finite media is considered, as shown in Figure 3. Amplitudes of right and left propagating plane waves are represented by and , respectively, while the superscript ′ indicates that the wave is at the left boundary of the layer.
Figure 3.
A structure of N layers under study.
The corresponding right and left propagating modes can be represented as column vectors, and these vectors at the two sides of the interface are related via so-called dynamic matrix
where
and and are the reflection and transmission coefficients of the -th interface, respectively. These coefficients are given by
and
where is the normal component of the wave vector of the light wave in the i-th medium. When a wave propagates through the i-th layer, a phase change or is introduced, depending on whether the wave is right or left propagating, respectively. Thus, the modes on the two side boundaries of the i-th layer are related via
where
is the propagation matrix. Putting all this together, a matrix equation that relates the wave amplitudes in substrate and superstrate can be obtained
where the overall transfer matrix is expressed as
The complex reflection coefficient of the structure is a ratio of the reflected wave amplitude to the incident wave amplitude . Assuming that no light is incident from the superstrate (), using Equation (12) we obtain
The phase difference between p- and s-polarized light waves can thus be determined as .
Reflectance of the structure can be expressed as a squared modulus of the coefficient
2.3. Band Structure
To understand the shape of the reflection spectra, the band structure concept, similar to the solid-state physics, can be used. Considering an infinite 1DPhC, the periodicity leads to existence of allowed and forbidden bands—the waves at some frequencies can propagate through the 1DPhC, whereas some other cannot. Using the matrix formalism described in the previous section, the transmission matrix that links electric field amplitudes at the input and at the output of one bilayer (one unit cell) of a periodic structure can be obtained. Under assumption that the RI in the 1DPhC is periodically modulated, the Bloch’s theorem can be applied, which states that a solution of the wave equation has a form of a plane wave modulated by a periodic function with the same period as the RI. In resulting eigenproblem, eigenvalues of the transmission matrix are related to the Bloch wave number K. For derivation, see [45] and resulting equation for p-polarized light is [16]
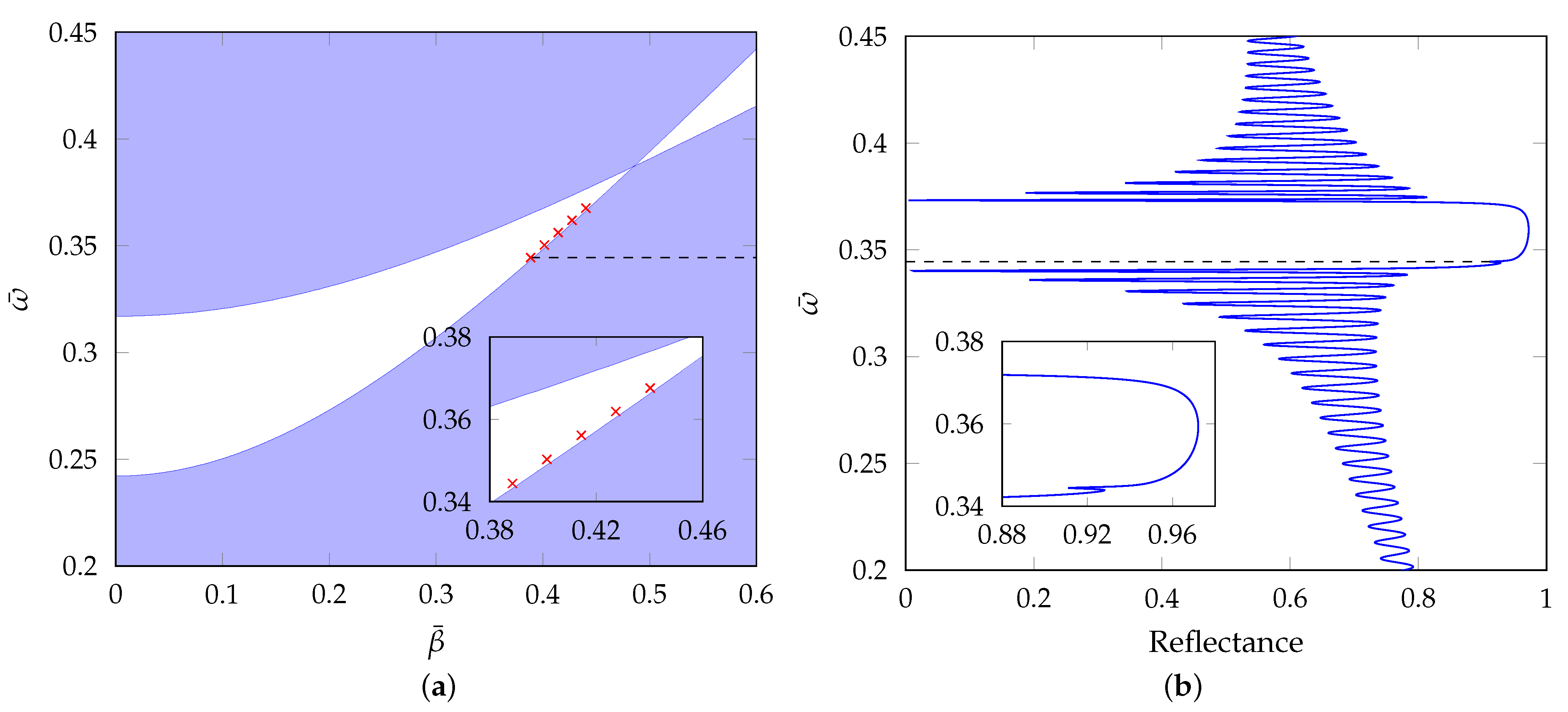
where a, b and are thicknesses of the layers and a bilayer thickness, respectively, , is a normal component of a wave vector in corresponding medium and is a propagation constant. Equation (15) gives dependence of the propagation constant on the angular frequency . Regions where are related to propagating waves (real K). In the case of , the waves are evanescent (imaginary K). In Figure 4a, a band diagram of the infinite structure composed of SiO2/TiO2 bilayers is shown. Here, reduced variables and were used and as thicknesses of the SiO2 and TiO2 layers, arithmetic means of the thickness values obtained by the VASE were used (a = 115 nm, b = 78 nm). The white region represents a photonic band gap, while the blue regions represent the allowed bands. The red crosses are related to surface waves excited on a finite 1DPhC consisting of 100 SiO2/TiO2 bilayers (when substrate is glass and superstrate is air) for various angles of incidence. It can be seen that their positions are in the photonic band gap and thus they are identified as the Bloch surface waves.
Figure 4.
(a) A band diagram of an infinite multilayer structure. Red crosses are related to the Bloch states. Inset shows positions of the resonance states in detail. (b) Reflectance of the structure with 100 bilayers as a function of . Light is p-polarized, angle of incidence is °. Inset shows a shallow resonance dip related to the Bloch surface wave.
In Figure 4b, the reflectance of the structure with 100 bilayers of SiO2/TiO2 as a function of is shown. The matrix formalism was used in calculating the reflectance, assuming approximate extinction coefficients for TiO2 and SiO2 layers of and , respectively [16,17]. This figure clearly shows that the Bloch surface wave resonance shows up as a shallow dip in the reflectance spectrum.
3. Theoretical Results
To gain quantitative understanding of the reflection spectra, the reflectance of the 1DPhC was computed in the wavelength domain, as shown in Figure 5a, using the matrix method. The extinction coefficients and given in the previous section were considered in the calculations, to enlarge resonance dips occurring in the reflectance spectra (otherwise they would be not observable). In the case of p-polarized light, three resonance dips are observed in the given wavelength region, a narrow dip approximately at nm corresponds to the BSW, while broad dips at nm and nm, respectively, correspond to guided waves. This is supported by the normalized optical field distribution of p-polarized light in the 1DPhC shown in Figure 5b.
Figure 5.
(a) Theoretical reflectance of the 1DPhC as a function of wavelength for both p and s-polarized light. The dip at a wavelength of approximately 551.5 nm is associated with the Bloch surface wave. (b) Normalized optical field distribution of p-polarized light in the structure. Angle of incidence °.
The optical field is proportional to , where is magnetic field component. The enhanced optical field intensity at the wavelength corresponds to character of the BSW field with exponential envelopes, while the intensities at wavelengths and are enhanced inside the structure and thus their characters correspond to guided waves. In the case of s-polarized light, two resonance dips are observed in the Figure 5a at wavelengths nm and nm, delimiting the borders of the photonic band gap of s-polarized light.
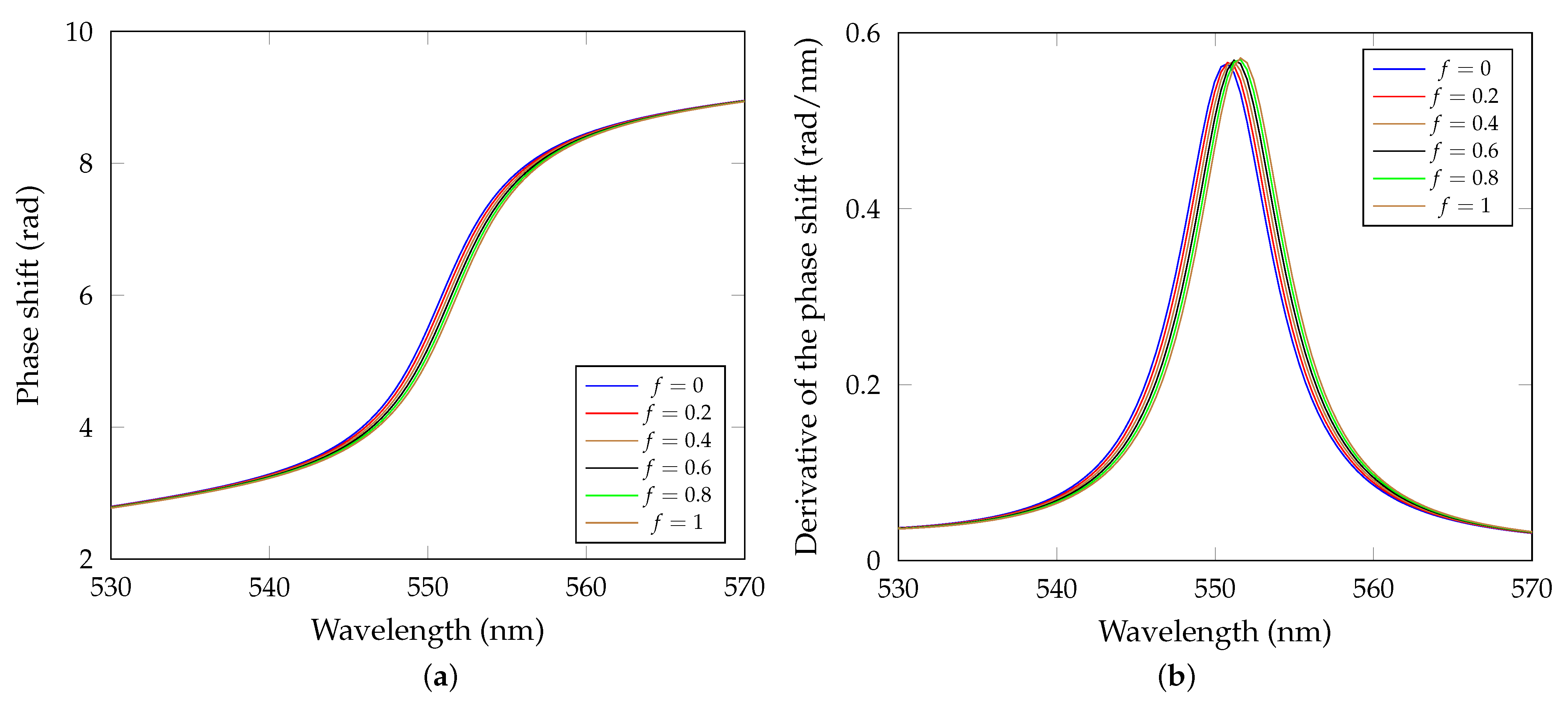
The theoretical response of the proposed sensor can be shown for different water amount adsorption on the rough surface of the 1DPhC, although the dependence on the RH change is unknown. In Figure 6a, the phase response of the sensor to filling the rough surface with water is shown for water fractions f = 0, 0.2, 0.4, 0.6, 0.8 and 1. As can be seen, a red shift occurs for higher water fraction f. Derivative of the phase shift as a function of wavelength is shown in Figure 6b. Extreme point of the derivative is related to the so-called resonance wavelength at which the BSW is excited.
Figure 6.
(a) Theoretical phase shift as a function of the wavelength with the increasing fraction of water f in the effective medium layer. (b) Derivative of the phase shift as a function of wavelength.
4. Experimental Set-Up
To measure phase shifts of waves under resonance conditions, interferometric techniques applied in both the spectral and spatial domains are employed. In Figure 7, an experimental set-up employing the spectral interferometric technique is shown. A composition of the set-up and a measurement procedure are described in the following part. A light beam is generated by white-light source WLS (halogen lamp HL-2000, Ocean Optics, Dunedin, FL, USA), guided by optical fiber OF and then it passes through collimating lens CL. The collimated beam (of diameter approximately 1 mm) passes through linear polarizer P (LPVIS050, Thorlabs, Newton, MA, USA), with optical axis-oriented 45° with respect to the plane of incidence, and both polarization components s and p are generated. An optical path difference between the components is introduced by birefringent quartz crystal BC of thickness d = 6 mm, so that interference fringes have appropriate period in resulting interferograms. The light beam then reflects from the multilayer structure which was prepared by a method of sputtering (Meopta, Přerov, Czech Republic), primarily made as a Bragg reflector.
Figure 7.
Experimental set-up consisting of white-light source WLS, optical fiber OF, collimating lens CL, polarizer P, birefringent crystal BC, a coupling prism with a multilayer structure and a sensing chamber, humidity sensor HS, analyzer A, microscope objective MO, read optical fiber ROF, spectrometer A and personal computer PC.
A linear polarizer used as analyzer A (LPVIS050, Thorlabs) with optical axis-oriented 45° with respect to the plane of incidence projects the polarization components into one direction of polarization, so they may interfere. Then, the light beam is launched by microscope objective MO into read optical fiber ROF (M15L02, Thorlabs) and then led to the spectrometer (USB4000, Ocean Optics). As a result of the procedure, a spectral interferogram is obtained. The angle of incidence on the air/prism interface is adjusted to be ° (see Figure 1). The analyte is moist air with different RHs approximately from 35% to 80%. To control the RH, a system including peristaltic pump PP (BT100M, 2xYZ1515x, Baoding Chuang Rui Precision Pump Co., Ltd., Baoding, China) and water tank WT is employed (see Figure 8). To increase the RH, room air is pushed by the PP to the WT (bellow the water level) and humidified air flows from the WT to the sensing chamber, when tap 1 is opened and tap 2 is closed. To decrease the RH, room air is injected by a fan and flows to the sensing chamber, while tap 2 is opened and tap 1 is closed. The air is dried using a moisture absorber at the entrance of the line. The lowest RH is thus given by the RH of the room air. To check the RH value, an electric, commercially available sensor based on Arduino system (Arduino UNO, Ivrea, Italy) is employed in the chamber and is connected with the computer.
Figure 8.
System to control the RH of air, including peristaltic pump PP and water tank WT.
The second method, the spatial-domain interferometric method, was described in detail in a previous paper [47] demonstrating measurement of changes in the RI of a liquid analyte. In that method we used the experimental set-up comprising a laser diode irradiating at wavelength 637.1 nm, launching optics, a gold coated SF10 glass plate (Accurion, Goettingen, Germany), a coupling prism (SF10 glass, Accurion, Goettingen, Germany), a Wollaston prism (WP05, Thorlabs, USA) and a CCD camera (PL-B952U, Pixelink, Ottawa, Canada). For solutions of distilled water with ethanol in various weight ratios, spatial fringe patterns were recorded and phases as a function of pixel number were retrieved from intensity for a single row of the patterns. After replacing the plasmonic structure with the 1DPhC on the glass substrate, the interferometric method applied in the spatial domain can also be used for measuring the phase shift for the BSWs and GWs.
5. Experimental Results
First, we employed a spectral interferometric technique and measured the spectra of light reflected from the 1DPhC under test in both s and p polarizations, and resolved no dips. This is due to the extinction coefficients and that are smaller than those used in the theoretical simulations. Based on the theoretical results, we proceeded to obtain the phase responses.
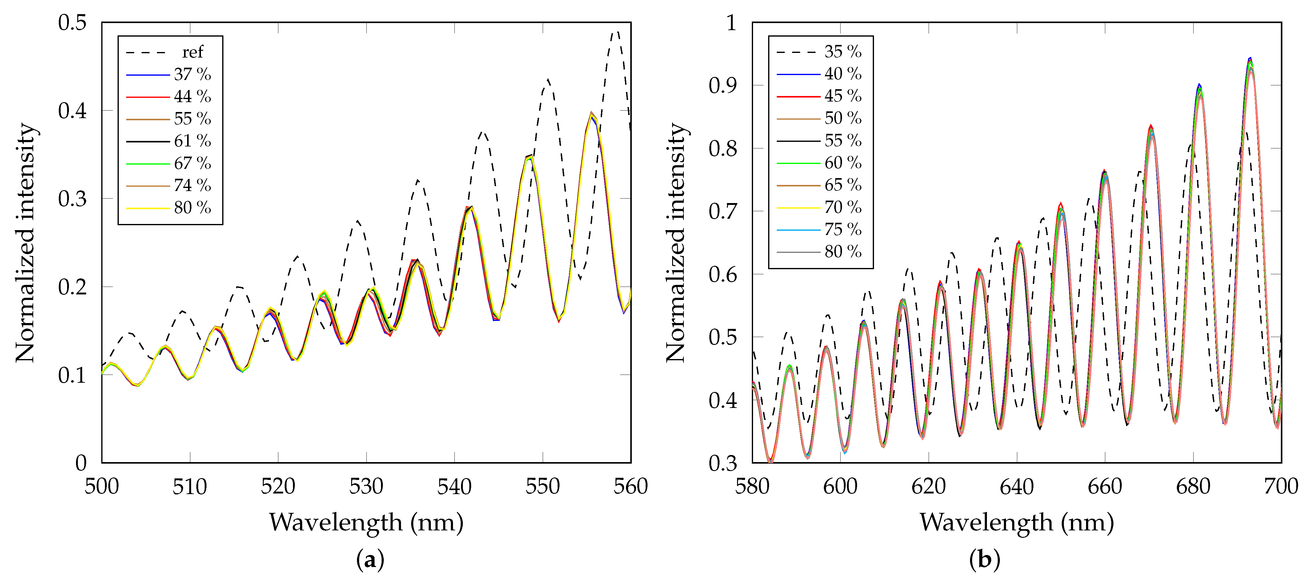
Following the measurement procedure described in the previous section, the phase shift is retrieved from two spectral interferograms using a procedure presented in a previous paper [48]. A reference and the BSW-based interferograms were recorded, as shown in Figure 9a. The reference interferogram was obtained in the set-up without the multilayer structure (BSW resonance does not occur). A shift of the fringes can be observed around wavelength nm. In Figure 9b, interferograms involving the phase change of the GW2 are shown.
Figure 9.
(a) Measured spectral interferograms involving the phase change of the BSW together with the reference one. (b) Measured spectral interferograms involving the phase change of the GW2 together with the reference one.
5.1. The BSW-Based Response
Using the WFT, the phase functions and are obtained from the interferograms, where is phase difference between s and p-polarized waves, when the BSW is excited, and is the reference phase difference. Finally, the phase shift can be determined. Results are shown in Figure 10a and comparing them with the theoretical results shown in Figure 6a, we confirm good correspondence. The abrupt phase change in the wavelength region approximately located from 520 nm to 545 nm is related to the BSWs and a red shift is observed for increasing RH. Phase shift as a function of the RH at a specific wavelength is shown in Figure 10b. The wavelength = 532 nm was chosen to obtain the highest changes of the phase shift with the RH. The polynomial fit (blue line) represents the sensor response curve, and the response is linear approximately in a range of 45–70 %RH.
Figure 10.
(a) Measured phase shift as a function of the wavelength for the increasing air humidity. (b) Measured phase shift as a function of the relative humidity with a polynomial fit (R2 = 0.9965). Wavelength is nm.
The sensor performance is evaluated in terms of sensitivity. The sensitivity is defined as change of the output quantity with respect to the input quantity [49]. In this case, such parameters are the phase shift and the RH, respectively, so that the sensitivity is
as a simple derivative of the response curve with respect to the RH. In our case, the sensitivity can be approximated using a quadratic function of the RH with its maximum value of 0.029 rad/%RH for the RH of approximately 58%. In addition, the derivative of the phase shift as a function of the wavelength for different air humidities is shown in Figure 11a.
Figure 11.
(a) Derivative of the phase shift as a function of the wavelength for the increasing air humidity. (b) Wavelength of the extreme of the derivative of the phase shift as a function of the relative humidity with a polynomial fit (R2 = 0.99765).
Positions of the derivative maxima correspond to the resonance wavelengths on which the BSWs are excited. These wavelengths can also be expressed as a function of the RH, as shown in Figure 11b, and a red shift in accordance with the theory is confirmed. Additionally here, the sensor response curve can be represented by a polynomial fit, which can be linearized approximately in a range of 45–70 %RH. In this case, the sensitivity to humidity can be expressed as derivative of the sensor response curve, represented by the resonance wavelength versus the RH, with respect to the RH
The sensitivity can be also approximated by a quadratic function of RH. Its maximum value is nm/%RH for the RH of approximately 58.40%. The sensor with the sensitivity value outperforms or is comparable with some of optical RH sensors employing different materials and methods, as presented in Table 2. In addition, the sensitivity depends on the structure geometry and surface porosity [30] and can be easily enhanced.
Table 2.
Comparison of different optical RH sensors.
Although the sensitivity gives a comparable information about a sensor response, it does not involve influence of dip or peak width on the extreme point resolving in sensing methods using wavelength interrogation. For this reason, figure of merit defined as
is used, where is full width at half maximum of the peak. For the BSW with of 10.93 nm, the FOM is as high as %RH−1.
5.2. The GW-Based Response
Additionally, the GWs of the 1DPhC can be used in sensing applications. In Figure 12a, the phase shift of GW2 as a function of wavelength for different RHs is shown. As with the BSWs, an abrupt phase shift change can be observed, and a red shift occurs for the increasing RH. The phase shift relative to the reference (RH of 30%) as a function of the RH is shown in Figure 12b. The sensitivity is obtained using equation analogous to Equation (16), and once again a quadratic function was revealed, and the sensitivity reaches 0.012 rad/%RH for the RH of approximately 51.8%. As with the previous case, spectral derivatives were determined, and wavelengths of their extreme points depend on the RH of air. The sensitivity defined by Equation (17) was determined and it reaches 0.061 nm/%RH. The FWHM is now of approximately 38.7 nm and the FOM, defined by Equation (18), is as high as %RH−1. Comparing the sensing using BSW and GW, the BSW-based sensing has higher sensitivity and FOM.
Figure 12.
(a) Measured phase shift of the GW2 as a function of the wavelength for the increasing air humidity. (b) Measured relative phase shift as a function of the RH obtained by the spectral (blue) and spatial (red) phase detection methods with polynomial fits, (blue), (red).
Next, we employed a spatial interferometric technique to record the interference pattern under the condition that an appropriate angle of incidence of the light beam on the 1DPhC is adjusted, and the excitation wavelength of the second guided wave matches the wavelength of the laser diode . The results obtained for the RHs of 35% and 80%, respectively, are shown in Figure 13a,b. The relative phase shift from the first measured value (for the lowest RH) as a function of the RH is shown in Figure 12b, together with the results obtained from the spectral interferometric method. Good correspondence is achieved comparing the results. In this case, the sensitivity, defined by Equation (16), has a maximum value of 0.011 rad/%RH for the RH of approximately 59.5%.
Figure 13.
Recorded interference pattern obtained for the RH of 35% (a) and 80% (b).
Comparing the results from both methods, good correspondence was achieved. The spatial method is more demonstrative, but it has some limitations. These include availability of an LD source irradiating at the resonance wavelength, and difficulties in obtaining the spatial fringes of required separation, as the angle between the interfering beams needs to be adjusted. In the case of the spectral method, the fringes period can be varied by changing the thickness of the BC only. Additionally, it is an advantage of the spectral method that the wavelength interrogation can be used, yielding a high FOM.
6. Conclusions
In this paper, phase shift detection methods based on interferometry applied in both the spectral and spatial domains have been presented. The methods have been employed for a 1DPhC composed of six SiO2/TiO2 bilayers with a termination layer of TiO2, and the phase shifts of both the BSWs and GWs were measured. First, theoretical analysis has been performed for the 1DPhC attached to a coupling prism in the Kretschmann configuration. It was revealed that the waves excited under resonance conditions are accompanied by an abrupt phase change. Next, the 1DPhC has been analyzed experimentally in the spectral domain in measuring the phase shift induced by both the BSW and GW for the RH of moist air in a range of 37–80 %RH. The phase shift changes linearly with the RH in a region of approximately 45–70 %RH, and the highest achieved sensitivity is 0.029 rad/%RH.
In addition, the derivative of the spectral phase shifts have been evaluated to obtain the peak positions, and their changes with the RH gave the sensitivities of 0.094 nm/%RH and 0.061 nm/%RH for the BSW and GW, respectively. The 1DPhC has been analyzed experimentally in the spatial domain as well, but the phase shift was able to measure for the GW only. The corresponding sensitivity to the RH of 0.011 rad/%RH agrees well with that obtained by the spectral method. These experimental results demonstrate an efficient optical sensing employing the 1DPhC. The use of the interferometric methods with the phase shift retrieval can be extended to other 1DPhCs to manifest a lot of applications in various research area. As an example, detailed theoretical and experimental analyses of adsorption properties of 1DPhCs can be performed. In addition, the results are important from point of view of new sensors development and design.
Author Contributions
Conceptualization, R.K. and P.H.; methodology, R.K. and P.H.; software, R.K., P.H. and D.C.; validation, R.K. and P.H.; formal analysis, R.K. and P.H.; investigation, R.K., P.H. and L.G.; resources, P.H.; data curation, R.K. and P.H.; writing—original draft preparation, R.K.; writing—review and editing, R.K., P.H. and D.C.; visualization, R.K., P.H., L.G. and D.C.; supervision, P.H.; project administration, P.H.; funding acquisition, P.H. All authors have read and agreed to the published version of the manuscript.
Funding
This research was funded by ERDF/ESF project New Composite Materials for Environmental Applications No. CZ._, and by student grant system through project SP2021/64, and by project Support for Science and Research in the Moravia-Silesia Region 2020 (RRC/02/2020).
Institutional Review Board Statement
Not applicable.
Informed Consent Statement
Not applicable.
Acknowledgments
The authors would like to thank P. Koleják and D. Vala for the ellipsometric characterization of the thin-film structures.
Conflicts of Interest
The authors declare no conflict of interest.
References
- Meade, R.D.; Brommer, K.D.; Rappe, A.M.; Joannopoulos, J.D. Electromagnetic Bloch waves at the surface of a photonic crystal. Phys. Rev. B 1991, 44, 10961–10964. [Google Scholar] [CrossRef] [PubMed]
- Robertson, W.M.; Arjavalingam, G.; Meade, R.D.; Brommer, K.D.; Rappe, A.M.; Joannopoulos, J.D. Observation of surface photons on periodic dielectric arrays. Opt. Lett. 1993, 18, 528–530. [Google Scholar] [CrossRef] [Green Version]
- MacLeod, H. Thin-Film Optical Filters; CRC Press: Boca Raton, FL, USA, 2010. [Google Scholar]
- Lee, K.J.; Wawro, D.; Priambodo, P.S.; Magnusson, R. Agarose-gel based guided-mode resonance humidity sensor. IEEE Sens. J. 2007, 7, 409–414. [Google Scholar] [CrossRef]
- We, Z.; Huang, J.; Li, J.; Li, J.; Liu, X.; Ni, X. A compact double-folded substrate integrated waveguide re-entrant cavity for highly sensitive humidity sensing. Sensors 2019, 19, 3308. [Google Scholar] [CrossRef] [PubMed] [Green Version]
- Di Palma, P.; Sansone, L.; Taddei, C.; Campopiano, S.; Iadiciccoi, A. Fiber optic probe based on self-assembled photonic crystal for relative humidity sensing. J. Light. Technol. 2019, 37, 4610–4618. [Google Scholar] [CrossRef]
- Gryga, M.; Ciprian, D.; Hlubina, P. Guided-mode resonance based humidity sensing using a multilayer dielectric structure. Opt. Express 2020, 28, 28954–28960. [Google Scholar] [CrossRef] [PubMed]
- Guillermain, E.; Lysenko, V.; Orobtchouk, R.; Benyattou, T.; Roux, S.; Pillonnet, A.; Perriat, P. Bragg surface wave device based on porous silicon and its application for sensing. Appl. Phys. Lett. 2007, 90, 241116. [Google Scholar] [CrossRef]
- Farmer, A.; Friedli, A.C.; Wright, S.M.; Robertson, W.M. Biosensing using surface electromagnetic waves in photonic band gap multilayers. Sens. Actuators B Chem. 2012, 173, 79–84. [Google Scholar] [CrossRef]
- Kang, X.B.; Wen, L.; Wang, Z.G. Design of guided Bloch surface wave resonance bio-sensors with high sensitivity. Opt. Commun. 2017, 383, 531–536. [Google Scholar] [CrossRef]
- Kovalevich, T.; Belharet, D.; Robert, L.; Ulliac, G.; Kim, M.S.; Herzig, H.P.; Grosjean, T.; Bernal, M.P. Bloch surface waves at the telecommunicationwavelength with Lithium Niobate as top layer for integrated optics. Appl. Opt. 2019, 58, 1757–1762. [Google Scholar] [CrossRef] [Green Version]
- Kong, W.; Zheng, Z.; Wan, Y.; Li, S.; Liu, J. High-sensitivity sensing based on intensity-interrogated Bloch surface wave sensors. Sens. Actuators B Chem. 2014, 193, 467–471. [Google Scholar] [CrossRef]
- Deng, C.Z.; Ho, Y.L.; Lee, Y.C.; Wang, Z.; Tai, Y.H.; Zyskowski, M.; Daiguji, H.; Delaunay, J.J. Two-pair multilayer Bloch surface wave platform in the near- and mid-infrared regions. Appl. Phys. Lett. 2019, 115, 091102. [Google Scholar] [CrossRef]
- Gan, S.; Wang, H.; Liang, J.; Dai, X.; Xiang, Y. Ultra-Sensitive Refractive Index Sensors Based on Bloch Surface Waves With Transition Metal Dichalcogenides. IEEE Sens. J. 2019, 19, 8675–8680. [Google Scholar] [CrossRef]
- Gryga, M.; Vala, D.; Kolejak, P.; Gembalova, L.; Ciprian, D.; Hlubina, P. One-dimensional photonic crystal for Bloch surface waves and radiation modes based sensing. Opt. Mater. Express 2019, 9, 4009–4022. [Google Scholar] [CrossRef]
- Gryga, M.; Ciprian, D.; Hlubina, P. Bloch surface wave resonance based sensors as an alternative to surface plasmon resonance sensors. Sensors 2020, 20, 5119. [Google Scholar] [CrossRef] [PubMed]
- Gryga, M.; Ciprian, D.; Gembalova, L.; Hlubina, P. Sensing based on Bloch surface wave and self-referenced guided mode resonances employing a one-dimensional photonic crystal. Opt. Express 2021, 29, 12996–13010. [Google Scholar] [CrossRef] [PubMed]
- Xu, Y.; Bai, P.; Zhou, X.; Akimov, Y.; Png, C.E.; Ang, L.K.; Knoll, W.; Wu, L. Optical Refractive Index Sensors with Plasmonic and Photonic Structures: Promising and Inconvenient Truth. Adv. Opt. Mater. 2019, 7, 1801433. [Google Scholar] [CrossRef]
- Arafat, M.M.; Dinan, B.; Akba, S.A.; Haseeb, A.S.M.A. Gas Sensors Based on One Dimensional Nanostructured Metal-Oxides: A Review. Sensors 2012, 12, 7207–7258. [Google Scholar] [CrossRef]
- Sharma, A.; Tomar, M.; Gupta, V. Room temperature trace level detection of NO2 gas using SnO2 modified carbon nanotubes based sensor. J. Mater. Chem. 2012, 22, 23608–23616. [Google Scholar] [CrossRef]
- Tyagi, P.; Sharma, A.; Tomar, M.; Gupta, V. Metal oxide catalyst assisted SnO2 thin film based SO2 gas sensor. Sens. Actuators B Chem. 2016, 224, 282–289. [Google Scholar] [CrossRef]
- Sinibaldi, A.; Rizzo, R.; Figliozzi, G.; Descrovi, E.; Danz, N.; Munzert, P.; Anopchenko, A.; Michelotti, F. A full ellipsometric approach to optical sensing with Bloch surface waves on photonic crystals. Opt. Express 2013, 21, 23331–23344. [Google Scholar] [CrossRef]
- Li, Y.; Yang, T.; Song, S.; Pang, Z.; Du, G. Phase properties of Bloch surface waves and their sensing applications. Appl. Phys. Lett. 2013, 103, 041116. [Google Scholar] [CrossRef]
- Li, Y.; Yang, T.; Pang, Z.; Du, G.; Song, S. Phase-sensitive Bloch surface wave sensor based on variable angle spectroscopic ellipsometry. Opt. Express 2014, 22, 21403–21410. [Google Scholar] [CrossRef]
- Watad, I.; Jabalee, M.A.; Aizen, A.; Abdulhalim, I. Critical angle based sensor with improved figure of merit using dip detection. Opt. Lett. 2015, 40, 4388–4391. [Google Scholar] [CrossRef] [PubMed]
- Wan, Y.; Zheng, Z.; Cheng, M.; Kong, W.; Liu, K. Polarimetric-Phase-Enhanced Intensity Interrogation Scheme for Surface Wave Optical Sensors with Low Optical Loss. Sensors 2018, 18, 3262. [Google Scholar] [CrossRef] [PubMed] [Green Version]
- Hlubina, P.; Gryga, M.; Ciprian, D.; Pokorny, P.; Gembalova, L.; Sobota, J. High performance liquid analyte sensing based on Bloch surface wave resonances in the spectral domain. Opt. Laser Technol. 2022, 145, 107492. [Google Scholar] [CrossRef]
- Mehrabani, S.; Kwong, P.; Gupta, M.; Arman, A. Hybrid microcavity humidity sensor. Appl. Phys. Lett. 2013, 102, 241101. [Google Scholar] [CrossRef]
- Urbancova, P.; Chylek, J.; Hlubina, P.; Pudis, D. Guided-Mode Resonance-Based Relative Humidity Sensing Employing a Planar Waveguide Structure. Sensors 2020, 20, 6788. [Google Scholar] [CrossRef]
- Peng, J.; Wang, W.; Qu, Y.; Sun, T.; Lv, D.; Dai, J.; Yang, M. Thin films based one-dimensional photonic crystal for humidity detection. Sens. Actuators A Phys. 2017, 263, 209–215. [Google Scholar] [CrossRef]
- Fuentes, O.; Corres, J.M.; Matias, I.R.; Villar, I. Generation of Lossy Mode Resonances in Planar Waveguides Toward Development of Humidity Sensors. J. Light. Technol. 2019, 37, 2300–2306. [Google Scholar] [CrossRef]
- Bohorquez, D.L.; Villar, I.; Corres, J.M.; Matias, I.R. Generation of lossy mode resonances in a broadband range with multilayer coated coverslips optimized for humidity sensing. Sens. Actuators B Chem. 2020, 325, 128795. [Google Scholar] [CrossRef]
- Deng, S.; Wang, P.; Yu, X. Phase-sensitive surface plasmon resonance sensors: Recent progress and future prospects. Sensors 2017, 17, 2819. [Google Scholar] [CrossRef] [Green Version]
- Watad, I.; Abdulhalim, I. Spectropolarimetric surface plasmon resonance sensor and the selection of the best polarimetric function. IEEE J. Sel. Top. Quantum Electron. 2017, 23, 4600609. [Google Scholar] [CrossRef]
- Yesilkoy, F.; Terborg, R.A.; Pello, J.; Belushkin, A.A.; Jahani, Y.; Pruneri, V.; Altug, H. Phase-sensitive plasmonic biosensor using a portable and large field-of-view interferometric microarray imager. Light Sci. Appl. 2018, 7, 17152. [Google Scholar] [CrossRef]
- Wang, D.; Loo, J.F.C.; Chen, J.; Yam, Y.; Chen, S.C.; He, H.; Kong, S.K.; Ho, H.P. Recent advances in surface plasmon resonance imaging sensors. Sensors 2019, 19, 1266. [Google Scholar] [CrossRef] [Green Version]
- Watad, I.; Abdulhalim, I. Phase-shifted polarimetric surface plasmon resonance sensor using a liquid crystal retarder and a diverging beam. Opt. Lett. 2019, 44, 1607–1610. [Google Scholar] [CrossRef]
- Barth, I.; Conteduca, D.; Reardon, C.; Johnson, S.; Krauss, T.F. Common-path interferometric label-free protein sensing with resonant dielectric nanostructures. Light Sci. Appl. 2020, 9, 96. [Google Scholar] [CrossRef] [PubMed]
- Abutoama, M.; Abuleil, M.; Abdulhalim, I. Resonant Subwavelength and Nano-Scale Grating Structures for Biosensing Application: A Comparative Study. Sensors 2021, 21, 4523. [Google Scholar] [CrossRef] [PubMed]
- Polyanskiy, M.N. Refractive Index Database. Available online: http://refractiveindex.info (accessed on 27 September 2021).
- Ciddor, P. Refractive index of air: New equations for the visible and near infrared. Appl. Opt. 1996, 35, 1566–1573. [Google Scholar] [CrossRef] [PubMed]
- Mouchet, S.; Deparis, O.; Vigneron, J.P. Unexplained high sensitivity of the reectance of porous natural photonic structures to the presence of gases and vapours in the atmosphere. Proc. SPIE 2012, 8424, 842425. [Google Scholar]
- Du, B.; Yang, D.; Ruan, Y.; Jia, P.; Ebendorff-Heidepriem, H. Compact plasmonic fiber tip for sensitive and fast humidity and human breath monitoring. Opt. Lett. 2020, 45, 985–988. [Google Scholar] [CrossRef] [PubMed]
- Daimon, M.; Masumura, A. Measurement of the refractive index of distilled water from the near-infrared region to the ultraviolet region. Appl. Opt. 2007, 46, 3811–3820. [Google Scholar] [CrossRef] [PubMed]
- Yeh, P. Optical Waves in Layered Media; John Wiley and Sons, Inc.: Somerset, NJ, USA, 2005. [Google Scholar]
- Pettersson, L.A.A.; Roman, L.S.; Inganäs, O. Modeling photocurrent action spectra of photovoltaic devices based on organic thin films. J. Appl. Phys. 1999, 86, 487–496. [Google Scholar] [CrossRef]
- Kaňok, R.; Ciprian, D.; Hlubina, P. Surface plasmon resonance-based sensing utilizing spatial phase modulation in an imaging interferometer. Sensors 2020, 20, 1616. [Google Scholar] [CrossRef] [PubMed] [Green Version]
- Hlubina, P.; Duliakova, M.; Kadulova, M.; Ciprian, D. Spectral interferometry-based surface plasmon resonance sensor. Opt. Commun. 2015, 354, 240–245. [Google Scholar] [CrossRef]
- D’Amico, A.; Natale, C.D. A contribution on some basic definitions of sensors properties. IEEE Sens. J. 2001, 1, 183–190. [Google Scholar] [CrossRef]
Publisher’s Note: MDPI stays neutral with regard to jurisdictional claims in published maps and institutional affiliations. |
© 2021 by the authors. Licensee MDPI, Basel, Switzerland. This article is an open access article distributed under the terms and conditions of the Creative Commons Attribution (CC BY) license (https://creativecommons.org/licenses/by/4.0/).












