Compact Measurement of the Optical Power in High-Power LED Using a Light-Absorbent Thermal Sensor
Abstract
1. Introduction
2. Sensor Design
2.1. Photo–Thermal Sensor
2.2. Heat Equation of the Photo–Thermal Sensor
3. Experiment and Results
3.1. Experimental Setup
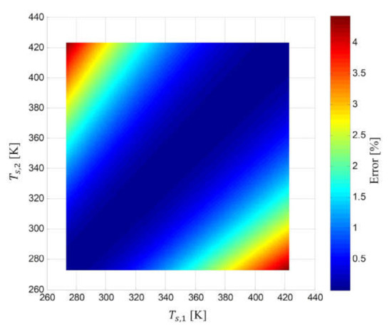
3.2. Result and Discussion
4. Conclusions
Author Contributions
Funding
Institutional Review Board Statement
Informed Consent Statement
Conflicts of Interest
Appendix A. View Factor Calculation between Two Parallel Surfaces

Appendix B. Linearization of Radiation Term

References
- Ha, M.S. Thermal Analysis of High Power LED Arrays. Master’s Thesis, Georgia Institute of Technology, Atlanta, GA, USA, 2009. [Google Scholar]
- Ha, M.S.; Graham, S. Development of a thermal resistance model for chip-on-board packaging of high power LED arrays. Microelectron. Reliab. 2012, 52, 836–844. [Google Scholar] [CrossRef]
- Wu, H.H.; Lin, K.H.; Lin, S.T. A study on the heat dissipation of high power multi-chip COB LEDs. Microelectron. J. 2012, 43, 280–287. [Google Scholar] [CrossRef]
- Christensen, A.; Graham, S. Thermal effects in packaging high power light emitting diode arrays. Appl. Therm. Eng. 2008, 29, 364–371. [Google Scholar] [CrossRef]
- Zhao, X.J.; Cai, Y.X.; Wang, J.; Li, X.H.; Zhang, C. Thermal model design and analysis of the high-power LED automotive headlight cooling device. Appl. Therm. Eng. 2014, 75, 248–258. [Google Scholar] [CrossRef]
- Cheng, H.H.; Huang, D.S.; Lin, M.T. Heat dissipation design and analysis of high power LED array using the finite element method. Microelectron. Reliab. 2011, 52, 905–911. [Google Scholar] [CrossRef]
- Zhang, X.; Li, R.C.; Zheng, Q. Analysis and simulation of high-power LED array with microchannel heat sink. Int. J. Adv. Manuf. Technol. 2013, 1, 191–195. [Google Scholar] [CrossRef][Green Version]
- Xi, Y.; Schubert, E.F. Junction–temperature measurement in GaN ultraviolet light-emitting diodes using diode forward voltage method. Appl. Phys. Lett. 2004, 85, 2163–2165. [Google Scholar] [CrossRef]
- Lee, C.Y.; Su, A.; Liu, Y.C.; Fan, W.Y.; Hsieh, W.J. In situ measurement of the junction temperature of light emitting diodes using a flexible micro temperature sensor. Sensors 2009, 9, 5068–5075. [Google Scholar] [CrossRef] [PubMed]
- Keppens, A.; Ryckaert, W.R.; Deconinck, G.; Hanselaer, P. High power light-emitting diode junction temperature determination from current-voltage characteristics. J. Appl. Phys. 2008, 104, 093104. [Google Scholar] [CrossRef]
- Alshahed, M.S.; Yu, Z.; Richter, H.; Harendt, C.; Burghartz, J.N. Measurement-based compact thermal model extraction methodology for packaged ICs. IEEE Trans. Compon. Packag. Manuf. Technol. 2017, 7, 1786–1794. [Google Scholar] [CrossRef]
- Chen, Q.; Ma, Y.; Yu, X.; Hu, R.; Luo, X. Phosphor temperature overestimation in high-power light-emitting diode by thermocouple. IEEE Trans. Electron. Dev. 2017, 64, 1–4. [Google Scholar] [CrossRef]
- Laser Marker Technical Guide (Keyence). Available online: https://www.keyence.com/download/download/confirmation/?dlAssetId=AS_63607&dlSeriesId=&dlModelId=&dlLangId=&dlLangType=en-US (accessed on 22 December 2020).
- Wang, C.P.; Huang, Y.C.; Liu, H.Q. Efficiency improvement of power LED modules using a hybrid aluminum nitride substrate. Microelectron. Eng. 2020, 233, 111227. [Google Scholar] [CrossRef]
- Lee, D.H.; Kim, S.; Kim, H.; Lee, S.K. Highly efficient and highly conductive phosphor-in-glass materials for use in LD-driven white-light lamp. Int. J. Precis. Eng. Manuf. Green Technol. 2019, 6, 293–303. [Google Scholar] [CrossRef]
- Park, J.G.; Ji, M.; Ko, Y.T.; Ryu, C.H.; Kim, J.H.; Choa, Y.H.; Lee, Y.I. Adhesive resin composites with ceramic nanoparticles for enhanced light extraction efficiency of sandwiched LED device structure. Mater. Today Commun. 2020, 25, 101378. [Google Scholar] [CrossRef]
- Bergman, T.L.; Lavine, A.S.; Incropera, F.P.; DeWitt, D.P. The lumped capacitance method. In Fundamentals of Heat and Mass Transfer, 6th ed.; John Wiley & Sons: New York, NY, USA, 1997; pp. 256–270. [Google Scholar]
- Ehlert, J.R.; Smith, T.F. View factors for perpendicular and parallel, rectangular plates. J. Thermophys. Heat Trans. 2012, 7, 173–174. [Google Scholar] [CrossRef]
- CBT-90 Product Datasheet (Luminous Devices). Available online: https://download.luminus.com/datasheets/Luminus_CBT-90-W_Datasheet.pdf (accessed on 22 December 2020).
- Lee, S.K.; Kim, Y.; Kim, J.M. Optical Power Measurement System Using Thermocouple and Operating Method Thereof. Korean Patent 10,201,900,658,15, 12 June 2019. [Google Scholar]









| Variables | ||||
|---|---|---|---|---|
| Value | 1 mm2 | 10 μm | 205 W/(mK) | 6.73 W/(m2K) |
| Forward Voltage Range | Operating Current Range | Emitting Area | Chip Type |
|---|---|---|---|
| 2.9–3.8 V | 0.2–18 A | COB |
Publisher’s Note: MDPI stays neutral with regard to jurisdictional claims in published maps and institutional affiliations. |
© 2021 by the authors. Licensee MDPI, Basel, Switzerland. This article is an open access article distributed under the terms and conditions of the Creative Commons Attribution (CC BY) license (https://creativecommons.org/licenses/by/4.0/).
Share and Cite
Kim, Y.-Y.; Joo, J.-Y.; Kim, J.-M.; Lee, S.-K. Compact Measurement of the Optical Power in High-Power LED Using a Light-Absorbent Thermal Sensor. Sensors 2021, 21, 4690. https://doi.org/10.3390/s21144690
Kim Y-Y, Joo J-Y, Kim J-M, Lee S-K. Compact Measurement of the Optical Power in High-Power LED Using a Light-Absorbent Thermal Sensor. Sensors. 2021; 21(14):4690. https://doi.org/10.3390/s21144690
Chicago/Turabian StyleKim, You-Young, Jae-Young Joo, Jong-Min Kim, and Sun-Kyu Lee. 2021. "Compact Measurement of the Optical Power in High-Power LED Using a Light-Absorbent Thermal Sensor" Sensors 21, no. 14: 4690. https://doi.org/10.3390/s21144690
APA StyleKim, Y.-Y., Joo, J.-Y., Kim, J.-M., & Lee, S.-K. (2021). Compact Measurement of the Optical Power in High-Power LED Using a Light-Absorbent Thermal Sensor. Sensors, 21(14), 4690. https://doi.org/10.3390/s21144690

