State Observability through Prior Knowledge: Analysis of the Height Map Prior for Track Cycling †
Abstract
1. Introduction
2. Materials and Methods
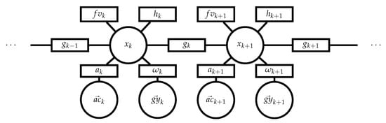
2.1. Knowledge-Based Optimization Problem for Estimation
2.1.1. Initial Guess
2.1.2. Implementation Details
2.2. Dataset
- Ride on the 166.66 m reference line.
- Stay in the 0.7 m corridor above the reference line.
- Stay in the lower track half.
- Use the whole track.
- Repeat (2) with constant velocity.
- Repeat (3) with constant velocity.
- Ride as you like.
2.3. Observability Criteria
3. Results of the Track Cycling Experiment
4. Results of the Observability Analysis
4.1. Measurement Equation of the Height-Map Prior
4.2. Analysis of Planar Surfaces
4.3. Analysis of Cone Surfaces
4.4. Analysis of Cone-Like Surfaces
4.5. Numerical Analysis of the Sixdays Track
4.6. Analysis with Known Orientation
5. Discussion
Author Contributions
Funding
Acknowledgments
Conflicts of Interest
Abbreviations
| DOF | Degree of freedom | 
| IMU | Inertial measurement unit | 
| UKF | Unscented Kalman filter | 
| GNSS | global navigation satellite system | 
| RMS | Root mean square error | 
Appendix A. Covariances of the Estimator
| Process noise | 10 m2/s | 
| Process noise | 0.1 m2/s2/s | 
| Process noise | 0 rad2/s | 
| Process noise | 1 rad2/s2/s | 
| Process noise | 0 m2/s2/s | 
| Process noise | 100 m2/s4/s | 
| measurement noise (6) | 3.05 × 10−6 rad2/s2 | 
| measurement noise (7) | 0.2004 m2/s4 | 
| Forward velocity prior (9) | 0.1 m2/s2 | 
| pseudo measurement noise (13) | 0.2 m2/s2 | 
| pseudo measurement noise (14) | 0.5 rad2/s2 | 
| Process noise in | 0.1 m2/s | 
| Process noise in | 0.1 m2/s2/s | 
| Process noise in | ∞ | 
| Process noise in | 0.1 rad2/s | 
| Process noise in | 0.1 rad2/s2/s | 
| Process noise in | ∞ | 
| Process noise in | 8.28 × 10−9 m2/s4/s | 
| Process noise in | 0.58 × 10−9 rad2/s2/s | 
| measurement noise (6) in | 3.05 × 10−6 rad2/s2 | 
| Missing angular rate noise (6) in | 1 rad2/s2 | 
| measurement noise (7) in | 0.2004 m2/s4 | 
| Missing acceleration noise (7) in | 400 m2/s2 | 
| Forward velocity prior (9) in | 0.1 m2/s2 | 
| Heightmap prior (10) in | 0.1 m2 | 
Appendix B. Measurement Equations for Cone-Like Surfaces
References
- Lymberopoulos, D.; Liu, J.; Yang, X.; Choudhury, R.R.; Handziski, V.; Sen, S. A Realistic Evaluation and Comparison of Indoor Location Technologies: Experiences and Lessons Learned. In Proceedings of the 14th International Conference on Information Processing in Sensor Networks (IPSN ’15), Seattle, WA, USA, 14–16 April 2015; ACM: New York, NY, USA, 2015; pp. 178–189. [Google Scholar] [CrossRef]
- Harle, R. A Survey of Indoor Inertial Positioning Systems for Pedestrians. IEEE Commun. Surv. Tutor. 2013, 15, 1281–1293. [Google Scholar] [CrossRef]
- Beauregard, S.; Widyawan; Klepal, M. Indoor PDR Performance Enhancement using Minimal Map Information and Particle Filters. In Proceedings of the 2008 IEEE/ION Position, Location and Navigation Symposium, Monterey, CA, USA, 5–8 May 2008; pp. 141–147, ISSN: 2153-358X. [Google Scholar] [CrossRef]
- Woodman, O.; Harle, R. Pedestrian Localisation for Indoor Environments. In Proceedings of the 10th International Conference on Ubiquitous Computing (UbiComp ’08), Seoul, Korea, 21–24 September 2008; ACM: New York, NY, USA, 2008; pp. 114–123. [Google Scholar] [CrossRef]
- Koller, T.L.; Laue, T.; Frese, U. State Observability through Prior Knowledge A Conceptional Paradigm in Inertial Sensing. In Proceedings of the 16th International Conference on Informatics in Control, Automation and Robotics (ICINCO), Prague, Czech Republic, 29–31 July 2019. [Google Scholar]
- Foxlin, E. Pedestrian Tracking with Shoe-Mounted Inertial Sensors. IEEE Comput. Graph. Appl. 2005, 25, 38–46. [Google Scholar] [CrossRef] [PubMed]
- Zhou, B.; Li, Q.; Mao, Q.; Tu, W.; Zhang, X. Activity Sequence-Based Indoor Pedestrian Localization using Smartphones. IEEE Trans. Hum.-Mach. Syst. 2015, 45, 562–574. [Google Scholar] [CrossRef]
- Dissanayake, G.; Sukkarieh, S.; Nebot, E.; Durrant-Whyte, H. The Aiding of a Low-Cost Strapdown Inertial Measurement Unit using Vehicle Model Constraints for Land Vehicle Applications. IEEE Trans. Robot. Autom. 2001, 17, 731–747. [Google Scholar] [CrossRef]
- Dean, A.; Martini, R.; Brennan, S. Terrain-Based Road Vehicle Localisation using Particle Filters. Veh. Syst. Dyn. 2011, 49, 1209–1223. [Google Scholar] [CrossRef]
- Battistello, G.; Ulmke, M.; Papi, F.; Podt, M.; Boers, Y. Assessment of vessel route information use in Bayesian non-linear filtering. In Proceedings of the 2012 15th International Conference on Information Fusion, Singapore, 9–12 July 2012; pp. 447–454. [Google Scholar]
- Koller, T.L.; Frese, U. State Observability through Prior Knowledge: Tracking Track Cyclers with Inertial Sensors. In Proceedings of the 2019 International Conference on Indoor Positioning and Indoor Navigation (IPIN), Pisa, Italy, 30 September–3 October 2019. ISSN: 2162-7347. [Google Scholar] [CrossRef]
- Rothman, Y.; Klein, I.; Filin, S. Analytical Observability Analysis of INS with Vehicle Constraints. Navig. J. Inst. Navig. 2014, 61, 227–236. [Google Scholar] [CrossRef]
- Xu, L.; Liang, Y.; Pan, Q.; Duan, Z.; Zhou, G. A Kinematic Model of Route-Based Target Tracking: Direct Discrete-Time Form. In Proceedings of the 2016 19th International Conference on Information Fusion (FUSION), Heidelberg, Germany, 5–8 July 2016; pp. 225–231. [Google Scholar]
- Lopez-Araquistain, J.; Jarama, A.J.; Besada, J.A.; Miguel, G.D.; Casar, J.R. A New Approach to Map-Assisted Bayesian Tracking Filtering. Inf. Fusion 2019, 45, 79–95. [Google Scholar] [CrossRef]
- Yeh, T.; Lu, H.T.; Tseng, P.H. Balancing Control of a Self-driving Bicycle. In Proceedings of the 16th International Conference on Informatics in Control, Automation and Robotics (ICINCO), Prague, Czech Republic, 29–31 July 2019; Volume 2, pp. 34–41. [Google Scholar]
- Craig, N.P.; Norton, K.I. Characteristics of Track Cycling. Sports Med. 2001, 31, 457–468. [Google Scholar] [CrossRef] [PubMed]
- Agarwal, S.; Mierle, K.; Others. Ceres Solver. Available online: http://ceres-solver.org (accessed on 18 March 2020).
- Bar-Shalom, Y.; Li, X.R.; Kirubarajan, T. Estimation with Applications to Tracking and Navigation: Theory Algorithms and Software; John Wiley & Sons: Hoboken, NJ, USA, 2004. [Google Scholar]
- Hertzberg, C.; Wagner, R.; Frese, U.; Schröder, L. Integrating Generic Sensor Fusion Algorithms with Sound State Representations through Encapsulation of Manifolds. Inf. Fusion 2013, 14, 57–77. [Google Scholar] [CrossRef]
- Kok, M.; Hol, J.D.; Schön, T.B. Using Inertial Sensors for Position and Orientation Estimation. arXiv 2017, arXiv:1704.06053. [Google Scholar]
- Rasool, G. Constrained State Estimation—A Review. arXiv 2018, arXiv:1807.03463. [Google Scholar]
- Särkkä, S. Unscented Rauch–Tung–Striebel Smoother. IEEE Trans. Autom. Control 2008, 53, 845–849. [Google Scholar] [CrossRef]
- Keys, R. Cubic Convolution Interpolation for Digital Image Processing. IEEE Trans. Acoust. Speech Signal Process. 1981, 29, 1153–1160. [Google Scholar] [CrossRef]
- Post, L. Positionsschätzung eines Bahnrennrades auf der Basis von Inertialsensordaten und Umgebungswissen. Bachelor’s Thesis, University of Bremen, Bremen, Germany, 2018. [Google Scholar]
- Roetenberg, D.; Luinge, H.; Slycke, P. Xsens MVN: Full 6DOF Human Motion Tracking using Miniature Inertial Sensors. 2009. Available online: https://www.researchgate.net/publication/239920367_Xsens_MVN_Full_6DOF_human_motion_tracking_using_miniature_inertial_sensors (accessed on 25 April 2020).
- Wenk, F. Inertial Motion Capturing Rigid Body Pose and Posture Estimation with Inertial Sensors. Ph.D. Thesis, University of Bremen, Bremen, Germany, 2017. [Google Scholar]
- Kou, S.R.; Elliott, D.L.; Tarn, T.J. Observability of Nonlinear Systems. Inf. Control 1973, 22, 89–99. [Google Scholar] [CrossRef]
- Ramanandan, A.; Chen, A.; Farrell, J.A. Inertial Navigation Aiding by Stationary Updates. IEEE Trans. Intell. Transp. Syst. 2012, 13, 235–248. [Google Scholar] [CrossRef]
- Adamy, J. Nichtlineare Systeme und Regelungen; Springer: Wiesbaden, Germany, 2018. [Google Scholar]
- Robotics, M. Marvelmind Indoor GPS. Available online: https://marvelmind.com/ (accessed on 18 March 2020).
- Chen, Z.; Jiang, K.; Hung, J. Local Observability Matrix and its Application to Observability Analyses. In Proceedings of the IECON ’90: 16th Annual Conference of IEEE Industrial Electronics Society, Pacific Grove, CA, USA, 27–30 November 1990; Volume 1, pp. 100–103. [Google Scholar] [CrossRef]
- Carmo, M.P.d. Differential Geometry of Curves and Surfaces: Revised and Updated Second Edition; Courier Dover Publications: Mineola, NY, USA, 2016; Google-Books-ID: gg2xDQAAQBAJ. [Google Scholar]
- Klein, I.; Filin, S.; Toledo, T. Pseudo-Measurements as Aiding to INS during GPS Outages. Navigation 2010, 57, 25–34. [Google Scholar] [CrossRef]
- Klein, I.; Diamant, R. Observability Analysis of DVL/PS Aided INS for a Maneuvering AUV. Sensors 2015, 15, 26818–26837. [Google Scholar] [CrossRef] [PubMed]
- Matlab. Matlab Symbolic Toolbox. Available online: https://de.mathworks.com/products/symbolic.html (accessed on 24 April 2020).
- Marins, J.; Yun, X.; Bachmann, E.; McGhee, R.; Zyda, M. An Extended Kalman Filter for Quaternion-Based Orientation Estimation using MARG Sensors. In Proceedings of the 2001 IEEE/RSJ International Conference on Intelligent Robots and Systems Expanding the Societal Role of Robotics in the the Next Millennium (Cat. No. 01CH37180), Maui, HI, USA, 29 October–3 November 2001; pp. 2003–2011. [Google Scholar] [CrossRef]












| Laser # | RMS | RMS | RMS | ||||||||||||
|---|---|---|---|---|---|---|---|---|---|---|---|---|---|---|---|
| 1 | −0.141 | 0.166 | 0.190 | 0.925 | 0.128 | −0.159 | 0.159 | 0.164 | −0.256 | 0.040 | −0.176 | 0.176 | 0.180 | −0.278 | 0.036 | 
| 2 | - | - | - | - | - | −0.050 | 0.053 | 0.103 | −0.600 | 0.090 | −0.017 | 0.023 | 0.027 | −0.082 | 0.021 | 
| 3 | −0.047 | 0.053 | 0.061 | 0.163 | 0.039 | −0.049 | 0.053 | 0.060 | −0.129 | 0.034 | - | - | - | - | - | 
| 4 | −0.047 | 0.048 | 0.061 | −0.267 | 0.039 | - | - | - | - | - | −0.040 | 0.040 | 0.045 | −0.114 | 0.021 | 
| 5 | −0.038 | 0.044 | 0.054 | −0.190 | 0.038 | −0.021 | 0.048 | 0.078 | 0.366 | 0.075 | −0.052 | 0.054 | 0.060 | −0.136 | 0.031 | 
| 6 | −0.074 | 0.074 | 0.085 | −0.274 | 0.041 | −0.077 | 0.084 | 0.109 | −0.399 | 0.076 | −0.069 | 0.069 | 0.071 | −0.104 | 0.016 | 
© 2020 by the authors. Licensee MDPI, Basel, Switzerland. This article is an open access article distributed under the terms and conditions of the Creative Commons Attribution (CC BY) license (http://creativecommons.org/licenses/by/4.0/).
Share and Cite
Koller, T.L.; Frese, U. State Observability through Prior Knowledge: Analysis of the Height Map Prior for Track Cycling. Sensors 2020, 20, 2438. https://doi.org/10.3390/s20092438
Koller TL, Frese U. State Observability through Prior Knowledge: Analysis of the Height Map Prior for Track Cycling. Sensors. 2020; 20(9):2438. https://doi.org/10.3390/s20092438
Chicago/Turabian StyleKoller, Tom L., and Udo Frese. 2020. "State Observability through Prior Knowledge: Analysis of the Height Map Prior for Track Cycling" Sensors 20, no. 9: 2438. https://doi.org/10.3390/s20092438
APA StyleKoller, T. L., & Frese, U. (2020). State Observability through Prior Knowledge: Analysis of the Height Map Prior for Track Cycling. Sensors, 20(9), 2438. https://doi.org/10.3390/s20092438
 
        


 
       