Hybrid Satellite-Terrestrial Relay Network: Proposed Model and Application of Power Splitting Multiple Access
Abstract
1. Introduction
1.1. Related Work
1.2. Motivation and Contribution
- A dynamic multi-antenna satellite-terrestrial relay communication design was considered. The terrestrial relay is able to harvest energy from the RF signal from the satellite and use it to forward the message to users. As main kind of NOMA, i.e., power splitting multiple access, is studied. The wireless channel between relay and NOMA users experiences Nakagami-m fading which is more versatile than conventionally used Rayleigh fading.
- The closed-form expressions of outage probabilities of AF and DF relays are provided once Shadowed-Rician fading model is applied for satellite link. In addition to this, the analytical expressions of ergodic capacities are provided.
- Extensive simulations are carried out to validate the accuracy of derived expression. The obtained results are also compared with the conventional OMA approach to highlight the performance gains.
1.3. Organization
2. System Model
2.1. DF Protocol
2.2. AF Protocol
3. Performance Analysis of NOMA-Enabled HSTRNs
3.1. Channel Model
3.2. Outage Probability
3.2.1. DF Protocol
3.2.2. AF Protocol
3.3. Ergodic Capacity
3.3.1. DF Protocol
3.3.2. AF Protocol
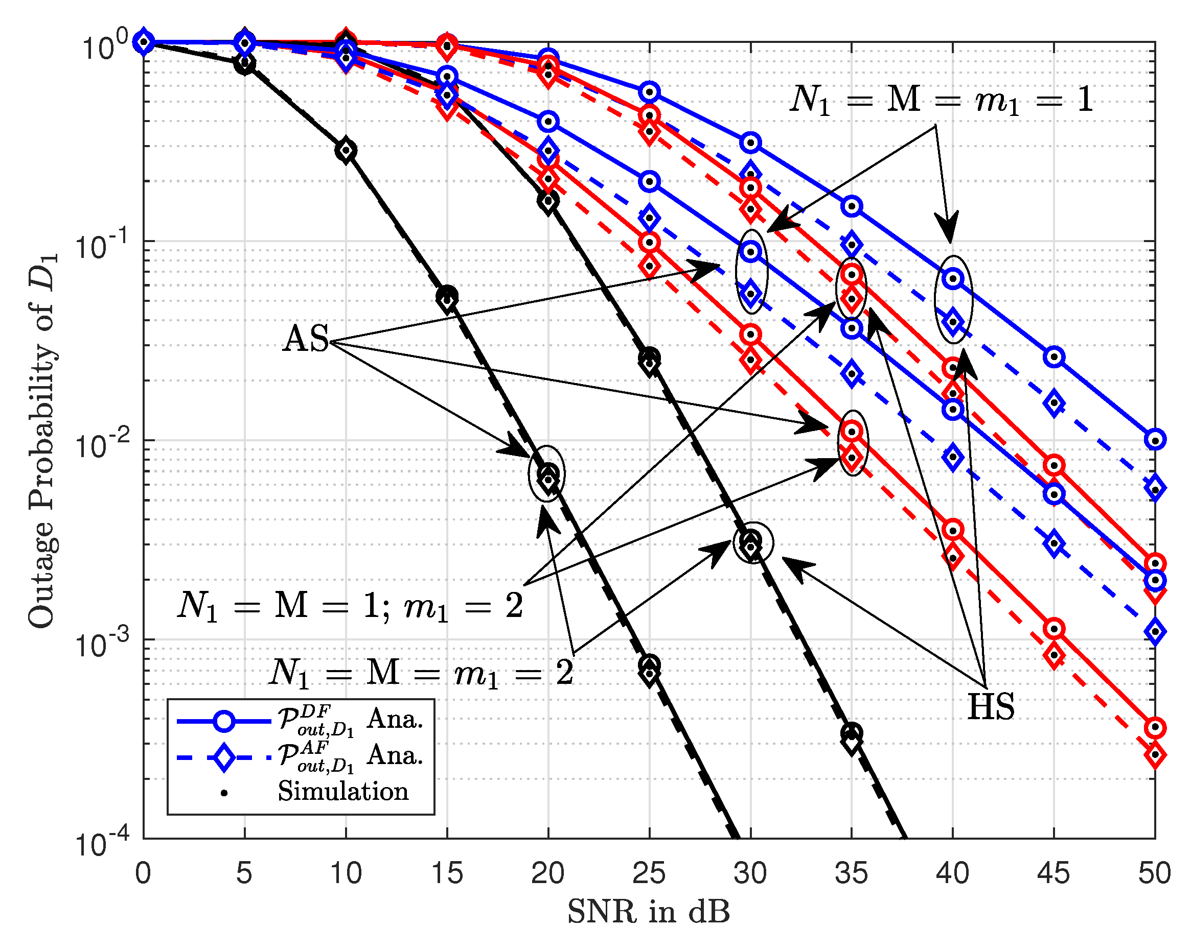
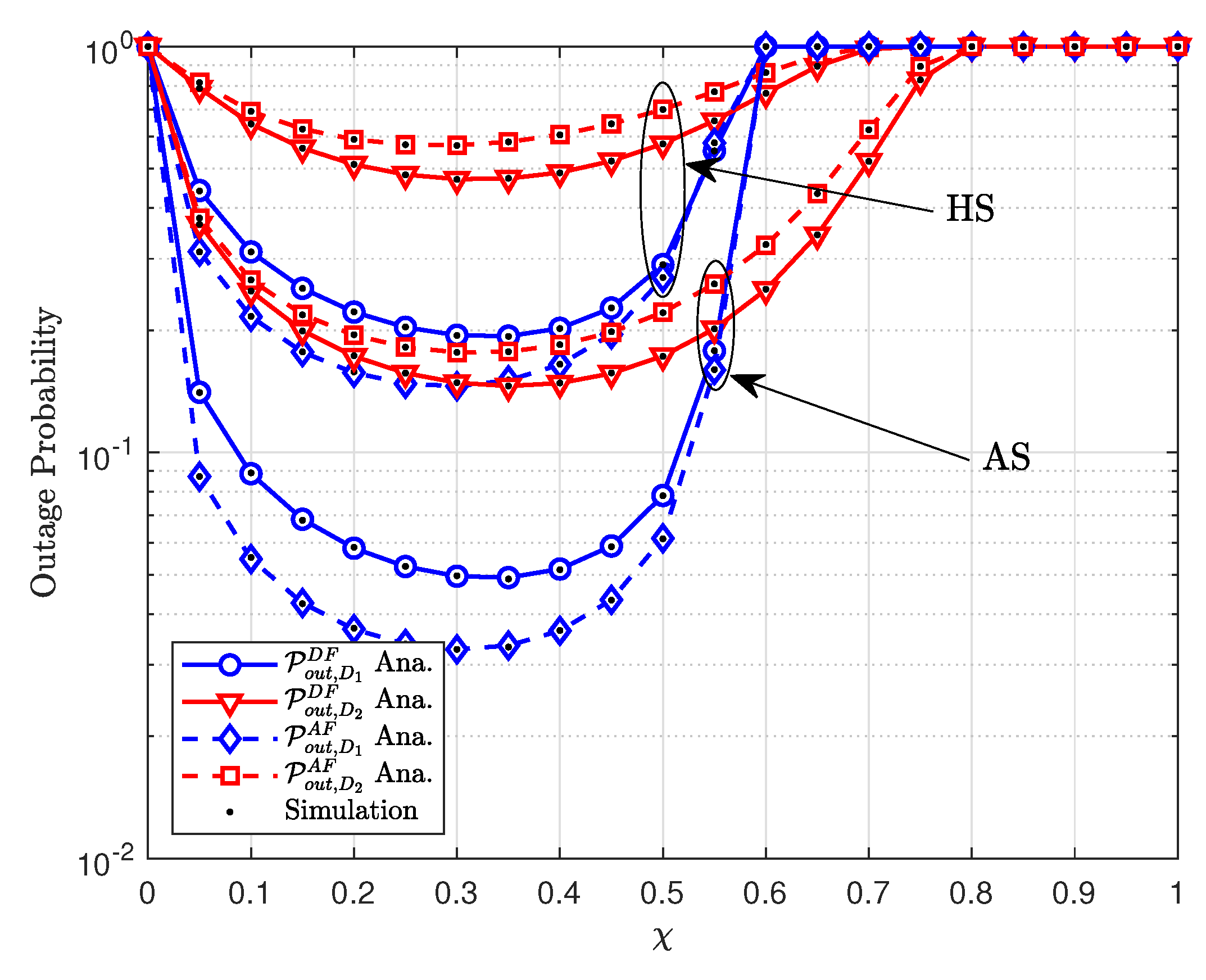
4. Numerical and Simulation Results
5. Discussion
6. Conclusions
Author Contributions
Funding
Acknowledgments
Conflicts of Interest
Appendix A. Proof of Proposition 1
Appendix B. Proof of Proposition 2
References
- Perez-Neira, A.I.; Caus, M.; Vazquez, M.A. Non-Orthogonal Transmission Techniques for Multibeam Satellite Systems. IEEE Commun. Mag. 2019, 12, 58–63. [Google Scholar] [CrossRef]
- Dutta, D.; Kumar, T.; Lukose, L.; Samanta, S. Space Technology and its Application in Disaster Management: Case Studies on Ecological Disturbance and Landmass Changes in Sundarbans. In The Sundarbans: A Disaster-Prone Eco-Region; Springer: Berlin/Heidelberg, Germany, 2019; pp. 507–549. [Google Scholar]
- Zeydan, E.; Turk, Y. On the Impact of Satellite Communications over Mobile Networks: An Experimental Analysis. IEEE Trans. Veh. Technol. 2019, 11, 146–157. [Google Scholar] [CrossRef]
- Akram, T.; Awais, M.; Naqvi, R.; Ahmed, A.; Naeem, M. Multicriteria UAV Base Stations Placement for Disaster Management. IEEE Syst. J. 2020. [Google Scholar] [CrossRef]
- Ruan, Y.; Wang, Y.; Li, Y.; Zhang, R.; Li, T. Outage analysis of partial relay selection based on shadowing side information in hybrid satellite-terrestrial relay networks. Trans. Emerg. Telecommun. Technol. 2020, 31, e3826. [Google Scholar] [CrossRef]
- Evans, B.; Werner, M.; Lutz, E.; Bousquet, M.; Corazza, G.E.; Maral, G.; Rumeau, A. Integration of satellite and terrestrial systems in future multimedia communications. IEEE Wirel. Commun. 2005, 5, 72–80. [Google Scholar] [CrossRef]
- Series, S. Cross-Layer QoS for IP-Based Hybrid Satellite-Terrestrial Networks; Electronic Publication: Geneva, Switzerland, 2011. [Google Scholar]
- ElHalawany, B.M.; Jameel, F.; Da Costa, D.B.; Dias, U.S.; Wu, K. Performance Analysis of Downlink NOMA Systems over κ-μ Shadowed Fading Channels. IEEE Trans. Veh. Technol. 2019, 69, 1046–1050. [Google Scholar] [CrossRef]
- Do, D.T.; Le, A.T.; Lee, B.M. NOMA in Cooperative Underlay Cognitive Radio Networks Under Imperfect SIC. IEEE Access 2020, 8, 86180–86195. [Google Scholar] [CrossRef]
- Bakht, K.; Jameel, F.; Ali, Z.; Khan, W.U.; Khan, I.; Sidhu, S.; Ahmad, G.; Lee, J.W. Power Allocation and User Assignment Scheme for beyond 5G Heterogeneous Networks. Wirel. Commun. Mob. Comput. 2019, 2019, 2472783. [Google Scholar] [CrossRef]
- Guo, K.; Lin, M.; Zhang, B.; Wang, J.B.; Wu, Y.; Zhu, W.P.; Cheng, J. Performance Analysis of Hybrid Satellite-Terrestrial Cooperative Networks with Relay Selection. IEEE Trans. Veh. Technol. 2020. [Google Scholar] [CrossRef]
- An, K.; Li, Y.; Yan, X.; Liang, T. On the Performance of Cache-Enabled Hybrid Satellite-Terrestrial Relay Networks. IEEE Wirel. Commun. Lett. 2019, 8, 1506–1509. [Google Scholar] [CrossRef]
- Li, Z.; Xiao, F.; Wang, S.; Pei, T.; Li, J. Achievable Rate Maximization for Cognitive Hybrid Satellite-Terrestrial Networks With AF-Relays. IEEE J. Sel. Areas Commun. 2018, 36, 304–313. [Google Scholar] [CrossRef]
- Zhang, X.; Zhang, B.; An, K.; Chen, Z.; Xie, S.; Wang, H.; Guo, D.; Wang, H. Outage Performance of NOMA-Based Cognitive Hybrid Satellite-Terrestrial Overlay Networks by Amplify-and-Forward Protocols. IEEE Access 2019, 7, 85372–85381. [Google Scholar] [CrossRef]
- Wang, R.; Zhou, F.; Bian, J.; An, K.; Guo, K. Performance Evaluation of HARQ-Assisted Hybrid Satellite-Terrestrial Relay Networks. IEEE Commun. Lett. 2020, 24, 423–427. [Google Scholar] [CrossRef]
- Xu, R.; Da, X.; Hu, H.; Ni, L.; Pan, Y. A Secure Hybrid Satellite-Terrestrial Communication Network With AF/DF and Relay Selection. IEEE Access 2019, 7, 171980–171994. [Google Scholar] [CrossRef]
- Xie, S.; Zhang, B.; Guo, D.; Zhao, B. Performance Analysis and Power Allocation for NOMA-Based Hybrid Satellite-Terrestrial Relay Networks With Imperfect Channel State Information. IEEE Access 2019, 7, 136279–136289. [Google Scholar] [CrossRef]
- Arti, M.; Bhatnagar, M.R. Beamforming and combining in hybrid satellite-terrestrial cooperative systems. IEEE Commun. Lett. 2014, 3, 483–486. [Google Scholar]
- Singh, V.; Solanki, S.; Upadhyay, P.K.; da Costa, D.B.; Moualeu, J.M. Performance Analysis of Hardware-Impaired Overlay Cognitive Satellite–Terrestrial Networks With Adaptive Relaying Protocol. IEEE Syst. J. 2020. [Google Scholar] [CrossRef]
- Sharma, P.K.; Kim, D.I. Secure 3D Mobile UAV Relaying for Hybrid Satellite-Terrestrial Networks. IEEE Trans. Wirel. Commun. 2020, 19, 2770–2784. [Google Scholar] [CrossRef]
- Wu, H.; Zou, Y.; Cao, W.; Chen, Z.; Tsiftsis, T.A.; Bhatnagar, M.R.; De Lamare, R.C. Impact of Hardware Impairments on Outage Performance of Hybrid Satellite-Terrestrial Relay Systems. IEEE Access 2019, 7, 35103–35112. [Google Scholar] [CrossRef]
- Saito, Y.; Kishiyama, Y.; Benjebbour, A.; Nakamura, T.; Li, A.; Higuchi, K. Non-orthogonal multiple access (NOMA) for cellular future radio access. In Proceedings of the 2013 IEEE 77th Vehicular Technology Conference (VTC Spring), Dresden, Germany, 2–5 June 2013; pp. 1–5. [Google Scholar]
- Nguyen, T.-L.; Do, D.-T. Power allocation schemes for wireless powered NOMA systems with imperfect CSI: An application in multiple antenna-based relay. Int. J. Commun. Syst. 2018, 31, e3789. [Google Scholar] [CrossRef]
- Do, D.T.; Le, A.T. NOMA based cognitive relaying: Transceiver hardware impairments, relay selection policies and outage performance comparison. Comput. Commun. 2019, 146, 144–154. [Google Scholar] [CrossRef]
- Do, D.-T.; Van Nguyen, M.-S.; Hoang, T.-A.; Voznak, M. NOMA-assisted multiple access scheme for IoT deployment: Relay selection model and secrecy performance improvement. Sensors 2019, 3, 736. [Google Scholar] [CrossRef] [PubMed]
- Nguyen, H.-S.; Bui, A.-H.; Do, D.-T.; Voznak, M. Imperfect Channel State Information of AF and DF Energy Harvesting Cooperative Networks. China Commun. 2016, 13, 11–19. [Google Scholar] [CrossRef]
- Nguyen, H.-S.; Do, D.-T.; Nguyen, T.-S.; Voznak, M. Exploiting Hybrid Time Switching-based and Power Splitting-based Relaying Protocol in Wireless Powered Communication Networks with Outdated Channel State Information. Automatika J. Control Meas. Electron. Comput. Commun. 2017, 58, 111–118. [Google Scholar] [CrossRef]
- Do, D.-T. Power Switching Protocol for Two-way Relaying Network under Hardware Impairments. Radioengineering 2015, 24, 765–771. [Google Scholar] [CrossRef]
- Yan, X.; Xiao, H.; An, K.; Zheng, G.; Tao, W. Hybrid satellite terrestrial relay networks with cooperative non-orthogonal multiple access. IEEE Commun. Lett. 2018, 5, 978–981. [Google Scholar] [CrossRef]
- Yan, X.; Xiao, H.; Wang, C.-X.; An, K. Outage performance of NOMA-based hybrid satellite-terrestrial relay networks. IEEE Wirel. Commun. Lett. 2018, 4, 538–541. [Google Scholar] [CrossRef]
- Miridakis, N.I.; Vergados, D.D.; Michalas, A. Dual-Hop Communication Over a Satellite Relay and Shadowed Rician Channels. IEEE Trans. Veh. Technol. 2015, 64, 4031–4040. [Google Scholar] [CrossRef]
- Wu, X.; Lin, M.; Kong, H.; Huang, Q.; Wang, J.; Upadhyay, P.K. Outage Performance for Multiuser Threshold-Based DF Satellite Relaying. IEEE Access 2019, 7, 103142–103152. [Google Scholar] [CrossRef]
- Do, D.-T. Optimal Throughput under Time Power Switching based Relaying Protocol in Energy Harvesting Cooperative Network. Wirel. Pers. Commun. 2016, 87, 551–564. [Google Scholar] [CrossRef]
- Gradshteyn, I.S.; Ryzhik, I.M. Table of Integrals, Series, and Products; Academic Press: Cambridge, MA, USA, 2014. [Google Scholar]
- Mathai, A.M.; Saxena, R.K. The H-Function with Applications in Statistics and Other Disciplines; Wiley Eastern: Hoboken, NJ, USA, 1978. [Google Scholar]








| Symbol | Description |
|---|---|
| The power allocation coefficient | |
| The transmit power at S | |
| The transmit power at R | |
| The AWGN with variance | |
| The AWGN with variance | |
| The energy conversion efficiency and | |
| The power splitting factor | |
| T | The time duration |
| The target rate at |
| Definition | Values |
|---|---|
| Monte Carlo simulations repeated | iterations |
| Power allocation coefficients | and |
| Target rate | and (BPCU) in which BPCU is short for bit per channel use. |
| The average shadowing (AS) | |
| The heavy shadowing (HS) | |
| The energy conversion efficiency | |
| The power splitting factor | |
| The factor and mean of | and |
| The antennas of satellite and | and |
© 2020 by the authors. Licensee MDPI, Basel, Switzerland. This article is an open access article distributed under the terms and conditions of the Creative Commons Attribution (CC BY) license (http://creativecommons.org/licenses/by/4.0/).
Share and Cite
Do, D.-T.; Le, A.-T.; Kharel, R.; Silva, A.; Shattal, M.A. Hybrid Satellite-Terrestrial Relay Network: Proposed Model and Application of Power Splitting Multiple Access. Sensors 2020, 20, 4296. https://doi.org/10.3390/s20154296
Do D-T, Le A-T, Kharel R, Silva A, Shattal MA. Hybrid Satellite-Terrestrial Relay Network: Proposed Model and Application of Power Splitting Multiple Access. Sensors. 2020; 20(15):4296. https://doi.org/10.3390/s20154296
Chicago/Turabian StyleDo, Dinh-Thuan, Anh-Tu Le, Rupak Kharel, Adão Silva, and Mohammad Abu Shattal. 2020. "Hybrid Satellite-Terrestrial Relay Network: Proposed Model and Application of Power Splitting Multiple Access" Sensors 20, no. 15: 4296. https://doi.org/10.3390/s20154296
APA StyleDo, D.-T., Le, A.-T., Kharel, R., Silva, A., & Shattal, M. A. (2020). Hybrid Satellite-Terrestrial Relay Network: Proposed Model and Application of Power Splitting Multiple Access. Sensors, 20(15), 4296. https://doi.org/10.3390/s20154296

