Abstract
We report on experimental studies of polarimetric sensitivity to torsion in spun highly birefringent fibers. Two classes of spun fibers were examined, namely spun side-hole fibers and birefringent microstructured fibers with different birefringence dispersion, spin pitches, and spin directions. The polarimetric sensitivity to torsion was determined by monitoring a displacement of the spectral interference fringes arising in the output signal because of interference of polarization modes and induced by an additional fiber twist. Both the experimental results and the analytical predictions showed that the sensitivity to torsion normalized to the fringe width in the spun highly birefringent fibers increased asymptotically with the twist rate to the value of 1/ π rad−1. We have also studied the polarimetric response to temperature in the spun side-hole fibers. We have found that, in contrast to the torsional sensitivity, the temperature sensitivity decays asymptotically to zero with increasing fiber twist rate. Therefore, the spun fibers with short spin pitches are especially well suited for torsion measurements because the torsional sensitivity and the range of linear response are both enhanced in such fibers, while at the same time, the cross-sensitivity to temperature is reduced.
1. Introduction
The first spun fibers [,] were reported in the early 1980s, but their applications were initially limited because of difficulties with fabrication of short spin pitches and the lack of effective modelling methods. These problems have been successfully addressed in the last two decades [,,,,], which boosted the interest in this new class of fibers, studied currently for new wave phenomena, as well as novel applications. One of the most prominent properties of the spun fibers is their ability to support optical modes with predefined orbital angular momentum (OAM) [,,], which allowed for the development of novel spatial division multiplexing methods for optical transmission based on OAMs’ discrimination. Moreover, the spun fibers are also applied for increasing the performance of single-mode lasers [,], reducing polarization mode dispersion [], and for sensing purposes. From their first appearance, the spun fibers were investigated for use in magnetic field and electric current sensing []. Recently, a new phenomenon has been observed in spun conventional and microstructured fibers, which is the resonant coupling between the core and cladding modes arising for appropriate combinations of fiber spin pitch and wavelength. This has resulted in the development of the so-called chiral fiber gratings [,,,,,,], which can be used for sensing temperature, elongation, liquid level, or fiber twist [,,] by monitoring the spectral shift of the resonance loss peak.
Various fiber-optic sensors for measurement of torsion have been already reported in the literature. Possible approaches include the use of Sagnac interferometers [,,], Mach-Zehnder interferometers [,], tilted fiber Bragg gratings [,], or long-period fiber gratings [,]. Since the first observation of resonant coupling between the core and cladding modes in chiral fiber gratings [], such structures have been also studied for torsion sensing, either in a single- [] or double-grating configuration []. It was also shown in [] that the sensitivity of chiral fiber gratings to torsion may be tuned by varying the spin pitch of the grating. The influence of the twist on the characteristics of fibers with high linear birefringence was also investigated in [,].
In this paper, we study the effect of torsion-induced birefringence variation in spun highly birefringent fibers (SHBFs), which can be potentially used for measuring directional torsion. The SHBFs are typically fabricated by twisting the fibers (during the drawing process or afterward) with initial linear birefringence induced by the ellipticity of the core [], stress-applying elements [], or microstructured cladding asymmetry []. The SHBFs support helical elliptically-polarized modes with azimuths following the fiber symmetry axes, opposite handedness, and the ellipticity angle defined by the ratio of the linear beat length and spin pitch. When such a fiber is placed between two linear polarizers, an interference pattern is observed in the spectrum of the transmitted light. Twisting the SHBF results in the variation of the phase delay between elliptically-polarized modes, which is manifested in the shift of the spectral interference fringes. The effect of varying the phase delay between the polarization modes in the SHBF under elastic twist was studied in []. The periodic twist-induced changes of the output intensity measured for a single wavelength were used to calculate the linear beat length of the SHBF. In this work, we investigate the effect of twist-induced shift of the interference spectrum at the output of the SHBF as a possible way for measuring the elastic twist itself. A similar approach for measuring twist using the hollow-core photonic bandgap fiber with two linear in-fiber polarizers fabricated by a CO2 laser beam has been reported in []. Moreover, in [], the variation of transmitted power was examined while twisting the birefringent microstructured fiber placed between the polarization controller and output linear polarizer. It should be emphasized that the fibers used in [,] as the twist sensors were not spun initially, which according to our findings, is crucial for the sensor performance.
In this work, we examine and compare the sensitivity to torsion for two families of SHBFs with different birefringence dispersions, namely spun side-hole fibers (SHFs) and birefringent microstructured fibers (BMFs) with a pair of large holes. To the best of our knowledge, these are the first measurements of the polarimetric sensitivity of the SHBFs to torsion. Our experimental results show that the polarimetric sensitivity to torsion of the SHBFs and the range of linear response are greater in fibers with shorter spin pitches. Simultaneously, we show that the polarimetric sensitivity to temperature decreases against fiber initial twist rate. To support our experimental findings, we have derived analytical formulas linking the torsion-induced shift of the interference spectrum with the spin pitch and built-in linear birefringence of the SHBFs. The measured values of the torsional and temperature sensitivities for different fibers show good agreement with our analytical predictions.
2. Experimental Setup and Sensitivity Analysis
An experimental setup for measuring the sensitivity of the SHBFs to torsion is schematically shown in Figure 1. A broadband light emitted from the supercontinuum source (SC) was linearly polarized at 45° in reference to the symmetry axes of the SHBF (local frame) by the dichroic linear polarizer P1 (operation range from 0.6–1.8 μm) and coupled to the fiber through the microscopic objective O1. The input end of the SHBF of total length L0 was fixed to a stiff metal base, and its angular orientation remained constant during the measurements. The output section of the fiber of length L1, whose end was fixed together with the polarizer P2 in the rotatable holder, was subjected to twist. The distance between fixed point of the fiber and the twisted end was equal to L1 = 25 cm. The second linear polarizer P2 at the fiber output was set at 45° in reference to the symmetry axes of the fiber to obtain the maximum contrast of the interference fringes in the output spectrum. The polarizer P2 was then rotated together with the output end of the fiber; therefore, the relative orientation of the fiber symmetry axes and the polarizer P2 remained constant during the experiments. This allows using the local frame in the analysis of torsional sensitivity presented in the following paragraphs.

Figure 1.
Schematic view of the setup for measuring the response of spun highly birefringent fibers to torsion. SC—supercontinuum source, OSA—optical spectrum analyzer.
The difference in the effective indices of the elliptically-polarized modes propagating in the SHBFs is called elliptical birefringence Δne. In the local frame used in our experiments (i.e., rotating with the fiber symmetry axes), the elliptical birefringence is related to built-in linear birefringence Δnl and twist-induced circular birefringence Δnc in the following way []:
where the circular birefringence resulting from the fiber initial inelastic twist is expressed by []:
In the above equation, L0 indicates the fiber length, α the initial twist angle, and λ the light wavelength. The positive sign of α is assigned for a clockwise fiber twist. The group elliptical birefringence does not depend on the choice of the reference system and is expressed as:
A similar relation holds for the built-in linear group birefringence ΔNl. It has been recently shown [] that these two parameters are related in the following way:
In the experiments conducted in the setup shown in Figure 1, we have monitored the displacement of the interference fringes induced by an additional elastic twist Δα applied to the end-section of the fiber of length L1. Because of circular birefringence induced by shear strain, the fiber elastic torsion by an angle Δα induces the rotation of the polarization state at the fiber output by Δα(1 + 1/2μ), where μ = 6.85 has been experimentally determined for silica fibers [,]. In the following analysis, we disregard the term 1/2μ representing the effect of shear strain. Physically, this means that we do not distinguish between nonelastic (spun) and elastic (torsion) twist of the fiber. Such an assumption significantly simplifies the derived analytical formulas at the expense of relatively small inaccuracy of the order of 7%.
The interference minimum of the order q arises at the wavelength satisfying the following condition:
where Δφ is the phase delay between elliptically-polarized eigenmodes. Twisting the fiber end-section by an angle dα affects the phase delay Δφ, which in turn causes the shift of the observed fringe by dλ. The two parameters are related to each other in the following way:
The ratio of the twist-induced spectral shift of the interference fringe dλ to the twist angle dα defines the fiber sensitivity to torsion expressed in nm/rad:
The derivatives in Equation (6) are expressed as follows:
and:
Using the above relations, we can finally obtain the formula for the torsional sensitivity of the SHBF:
which can be further simplified using Equation (4):
One should note that the positive sign in the above expression applies for the fibers with a clockwise initial twist. In order to obtain the expression for torsional sensitivity that is independent of the fiber length L0, we normalize it to the spectral width Δλp of the interference fringe (i.e., the distance between the adjacent extrema of the interference pattern) given by:
The normalized torsional sensitivity takes the form:
where Equation (4) was used again to eliminate the ratio ΔNe /ΔNl. The above formula can be also expressed in terms of linear beat length LL and spin pitch LT, which are related to linear and circular birefringence in the following way:
and respectively:
where the factor of two is related to the fact that rotation angle of the polarization plane is twice smaller than the phase shift between circularly-polarized modes.
This finally yields:
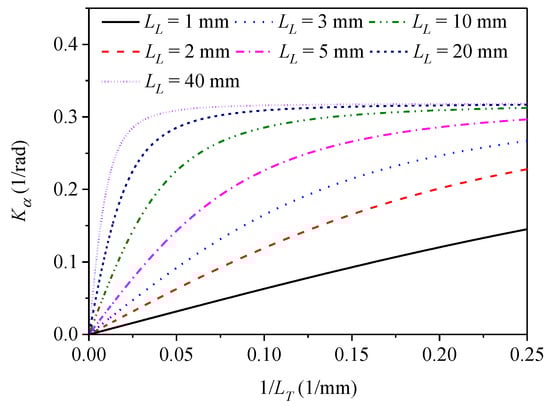
The derived formula shows that for large values of circular birefringence Δnc ≫ Δnl (LT ≪ LL) the normalized torsional sensitivity Kα tends asymptotically to a constant value equal to 1/π rad−1. For small values of circular birefringence Δnc ≪ Δnl (LT ≫ LL), the normalized sensitivity may be expressed as follows:
which implies a linear growth of Kα with Δnc or 1/LT. The theoretical value of the normalized sensitivity Kα is plotted in Figure 2 against inverse of spin pitch 1/LT for several values of the linear beat length LL.

Figure 2.
Theoretical curves Kα plotted against inverse of the fiber spin pitch 1/LT for different values of the linear beat length LL.
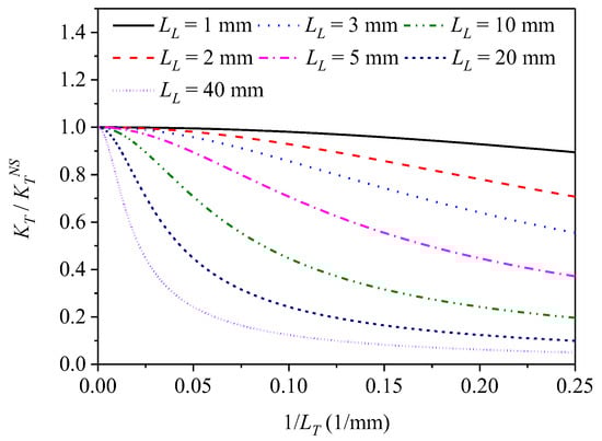
Using a similar approach, one can evaluate the effect of initial twist on polarimetric sensitivity to temperature (normalized to fringe width) in spun highly birefringent fibers, which is defined as follows:
In the temperature sensitivity analysis, we have disregarded the effect of temperature-induced fiber elongation because of the very small value of the temperature expansion coefficient for silica glass, η = 5.5 × 10−7 K−1. As explained in [], the fiber polarimetric sensitivity to temperature is a sum of two factors, i.e., the temperature-induced variation of modal birefringence represented by the term ∂Δn/∂T and the temperature-induced fiber elongation represented by the term ηΔn. The primary physical phenomena behind the polarimetric sensitivity to temperature depends on fiber construction. In fibers with stress-applying elements, the sensitivity KT is mostly related to the release of thermal stress caused by increasing temperature. In fibers with elliptical cores, KT mostly depends on the difference in the thermo-optic coefficient dn/dT between the core and the cladding, while in pure silica, microstructured fibers on the index difference increase between air holes and silica glass and on the temperature-induced increase of the lattice pitch. Even in the case of microstructured fibers showing very small sensitivity to temperature, the contribution to KT related to longitudinal fiber expansion is negligible []. Therefore, it is fully justified to disregard the effect of temperature-induced fiber elongation in Equation (9), which after doing rearrangements similar to the case of the torsional sensitivity, leads to the following expression for KT:
and consequently:
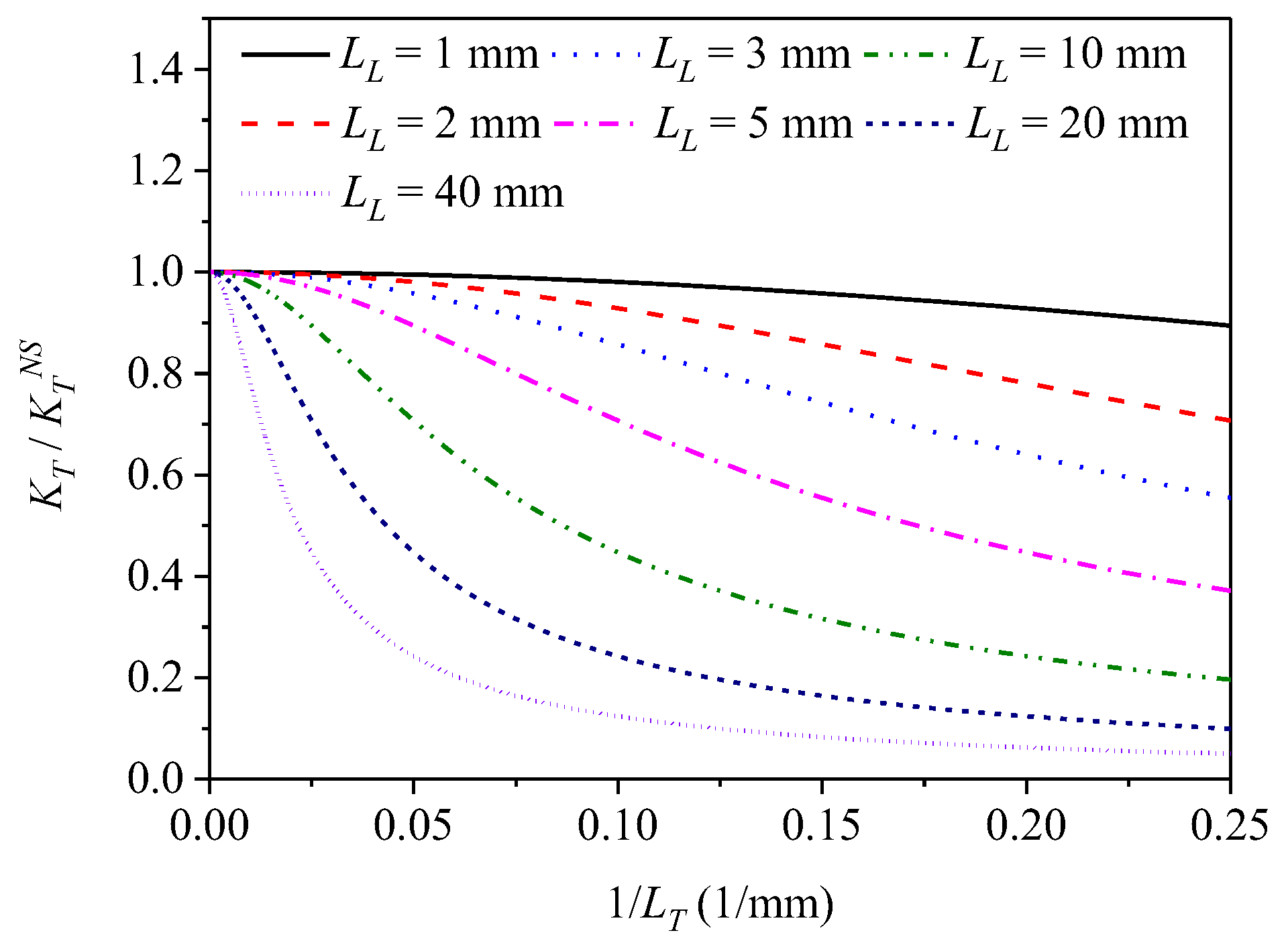
where L1 indicates the length of the fiber section exposed to temperature variation and is the normalized temperature sensitivity of non-spun fiber with linear birefringence Δnl. The above relation shows that the sensitivity to temperature is the highest for non-spun fiber and asymptotically tends to zero for increasing fiber twist rate. In Figure 3, the ratio is shown as a function of the inverse of the fiber spin pitch 1/LT. We therefore conclude that application of spun highly birefringent fibers with short spin pitches to twist measurement are particularly beneficial, as the high twist rate increases the normalized sensitivity to torsion and simultaneously decreases the normalized sensitivity to temperature, thus reducing the cross-sensitivity effect.

Figure 3.
Theoretical curves KT/KTNS plotted against the inverse of the fiber spin pitch 1/LT for different values of the linear beat length LL.
It is worth mentioning that in many sensing applications of highly birefringent fibers reported in the literature [], the polarimetric sensitivity to temperature is expressed in rad/K × m and denotes additional phase shift between polarization modes induced by a temperature increase of 1 K in a 1 m-long fiber:
where in the above relation, similarly to Equation (19), the term related to temperature-induced fiber elongation is disregarded. The two temperature sensitivities are therefore related in the following way:
which leads to the conclusion that also the ration decays asymptotically to zero with increasing fiber twist rate according to Equation (20).
3. Experimental Results
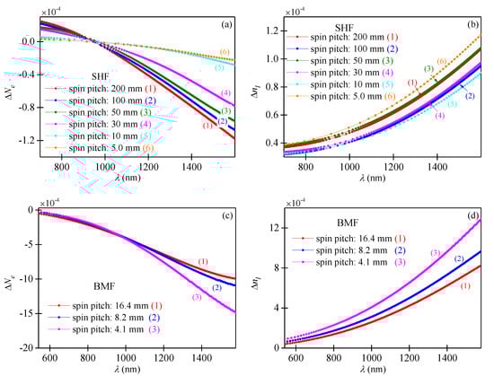
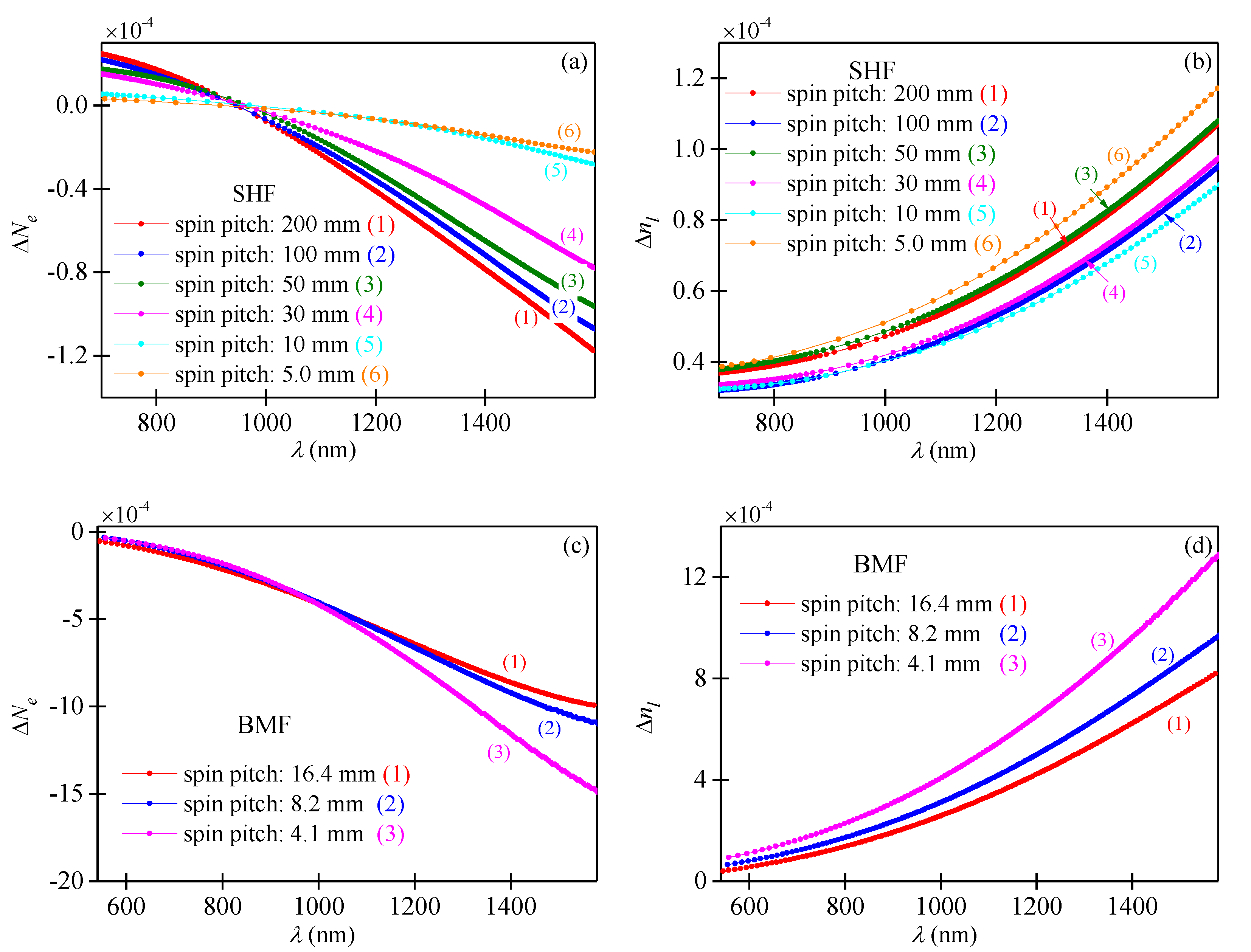
In the experiments conducted, we examined six side-hole fibers (SHFs) with spin pitches equal to LT = 200, 100, 50, 30, 10 and 5 mm and three birefringent microstructured fibers (BMFs) with spin pitches equal to LT = 16.4, 8.2 and 4.1 mm. The cross-sections of all investigated fibers are shown in Figure 4. Using the spectral interferometry method combined with the lateral point-force method [], we measured the spectral dependence of the phase linear birefringence Δnl and the elliptical group birefringence ΔNe in the investigated fibers (Figure 5). The fibers with different spin pitches were drawn from the same preform rotating with different angular velocities. The measured spectral dependences of Δnl varied with the fiber spin pitch, which suggests that the fiber geometry is affected by preform spinning during the drawing process. Our results presented in Figure 5 show that the microstructured fibers having more complex cross-section geometry are particularly susceptible to this effect.

Figure 4.
Cross-sections of the spun side-hole fibers (SHFs) and the birefringent microstructured fibers (BMFs) with different spin pitches used in the measurements of torsional sensitivity.

Figure 5.
Measured spectral dependencies of group elliptical birefringence ΔNe and phase linear birefringence Δnl in the series of spun side-hole fibers (a,b) and microstructured birefringence fibers (c,d).
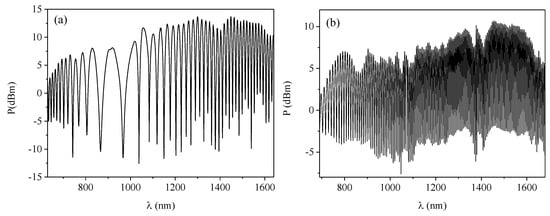
In the experiments conducted, all pieces of the birefringent microstructured fibers were of the same length L0 = 0.35 m. Longer pieces of the side-hole fibers were necessary to obtain narrow interference fringes, as the group elliptical birefringence ΔNe of the SHFs was significantly lower than in case of the BMFs (Figure 5). The lengths of the side-hole fibers in the experiments conducted were between 1.5 and 10 m; however, it should be emphasized that neither L0 nor L1 affect the normalized fiber response to torsion as given by Equation (13). The output interference spectra were acquired using Optical Spectrum Analyzer in the range from 650–1600 nm. In Figure 6, we show exemplary output spectra registered for the side-hole fiber and the microstructured birefringent fiber. The sharp peak visible at 1064 nm is related to the residual power of the pump laser used for supercontinuum generation. The characteristic broad interference fringe arising at around 916 nm in the SHF spectrum indicates that the group elliptical birefringence crosses zero at this wavelength. This is not the case for the BMF spectra, as the ΔNe is negative in these fibers in the whole analyzed spectral range (Figure 5).

Figure 6.
Transmission spectra registered for the side-hole fiber of length L0 = 10 m and spin pitch LT = 5.0 mm (a) and for the birefringent microstructured fiber of length L0 = 0.35 m and spin pitch LT = 8.2 mm (b).
The investigated fibers were subjected to additional twist in the range from −540° (anticlockwise) to +540° (clockwise). According to the analytical results presented in the previous section, the additional twist of the spun highly birefringent fiber caused displacement of the spectral interference fringes in the direction determined by the handedness of the initial fiber twist. In Figure 7, we show the twist-induced displacement of the spectral fringes registered for the SHF of a total length L0 = 10 m (L1 = 0.25 m) and spin pitch LT = 30 mm. In Figure 8a, the spectral shift is shown for all the examined SHFs measured at the wavelength 1450 nm, while the results obtained for the BMFs are displayed in Figure 8b. The measured wavelength shifts were normalized to the width of the interrogated interference fringe Δλp. By linear fitting of the experimental data, we then determined the normalized sensitivity to torsion Kα for each of the investigated fibers. The obtained results clearly show that Kα increased with the decaying value of the spin pitch LT. This agrees well with the derived formula for the normalized sensitivity to torsion given by Equation (13). Different signs of the normalized sensitivity Kα for the side-hole fibers and the microstructured fibers was caused by opposite preform spinning directions during the drawing process. The side-hole fibers were spun anticlockwise, and therefore, additional torsion in the clockwise direction resulted in the decrease of the total twist angle α. In contrast, the total twist angle of the birefringent microstructured fibers increased when the fiber was subjected to additional clockwise torsion.

Figure 7.
Spectral shift of the interference fringes induced by an additional clockwise twist Δα measured for the side-hole fiber of length L0 = 10 m (L1 = 0.25 m) and spin pitch LT = 30 mm.

Figure 8.
Twist-induced spectral shift of the interference fringe at 1450 nm normalized to fringe width Δλ/Δλp measured for the series of side-hole fibers (a) and birefringent microstructured fibers (b). The positive sign of Δα corresponds to clockwise twist.
According to Equation (13), the sensitivity to torsion depends on initial fiber twits; therefore, one may expect a nonlinear relation between fringe shift and applied torsion. This effect, however, is not visible in fibers with initial twist much greater than applied additional torsion, which can be treated as a small perturbation not varying the fiber torsional sensitivity. As is clearly visible in Figure 8, the measured dependencies of the normalized shift of the interference fringes induced by an additional twist match very well the linear trend for most of the investigated fibers, except the side hole fiber with the largest spin pitch LT = 200 mm. The measured characteristics for this particular fiber are shown separately in Figure 9a. The reason for the visible nonlinear response in this fiber is that its initial twist is small (only 7.5 turns over the total length of L0 = 1.5 m). By applying the additional twist of 1.5 turns in the clockwise or anticlockwise direction, the total number of twists was changed from 6 to 9, which according to Equation (13), resulted in a significant difference in torsional sensitivity.

Figure 9.
Spectral shift of the interference fringe at 1450 nm measured for the side-hole fiber of length L0 = 1.5 m (L1 = 0.25 m) and spin pitch LT = 200 mm (a) and for the non-spun side-hole fiber of length L0 = 1.5 m (L1 = 0.25 m) (b).
Additionally, we have measured the response to twist in the non-spun side-hole fiber, which is shown in Figure 9b. According to the analytical results, the response of the non-spun fiber to twist was nonlinear with zero sensitivity at Δα = 0°. Moreover, it is characteristic for a non-spun fiber that the sign of wavelength shift is always negative regardless of the direction of twist Δα.
Thus, we conclude that the high initial twist rate of the spun highly birefringent fibers is particularly advantageous in torsional sensing, as it allows obtaining high torsional sensitivity, as well as a broad range of linear response. The measured torsional sensitivities in the investigated fibers did not differ significantly from the values reported in the literature for other torsion sensors. To make the comparison easier, we have converted the measured normalized sensitivity Kα to the sensitivity expressed in nm/°. For example, as the spectral width of the interference fringe at 1210 nm for the side-hole fiber was equal to Δλp = 21 nm (Figure 6a), the measured normalized sensitivity Kα = 0.2940 1/rad for LT = 5 mm was equivalent to 0.11 nm/°. This value is of the same order as the sensitivities reported in earlier publications, e.g., 0.19 nm/° [], 0.08 nm/° [], 0.07 nm/° [], and about one order of magnitude lower than the 1 nm/° reported in [].
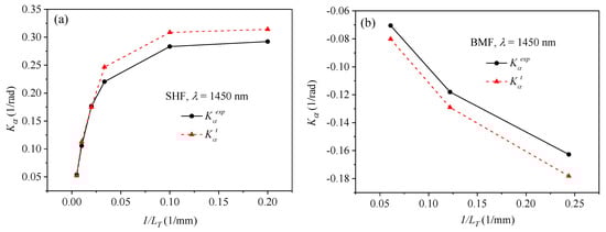
The experimental values of the normalized sensitivity to torsion Kαexp together with linear fitting errors are presented in Table 1 for the SHFs and in Table 2 for the BMFs. The sensitivities Kαexp were determined at two wavelengths λ1 = 1210 nm and λ2 = 1450 nm. The response of the weakly spun side-hole fiber presented in Figure 9a was linearly fitted in the small twist range from −180°to +180° where the nonlinear component is negligible. Our experimental results show that the normalized sensitivities measured at two wavelengths were not the same (sensitivity decreased against wavelength), and the average difference reached 5% for the side-hole fibers and 19% for the birefringent microstructured fibers. It is not surprising that the sensitivity was found to be more dispersive for the microstructured fibers, as the birefringence dispersion in these fibers was greater than in the side-hole fibers (Figure 5).

Table 1.
Experimental and theoretical values of the normalized sensitivity to torsion in the spun side-hole fibers at wavelengths λ1 = 1210 nm and λ2 = 1450 nm.

Table 2.
Experimental and theoretical values of the normalized sensitivity to torsion in the spun birefringent microstructured fibers at wavelengths λ1 = 1210 nm and λ2 = 1450 nm.
The theoretical values of the normalized sensitivity Kαt were also calculated by using Equation (13) and the birefringence data presented in Figure 5. These theoretical results are gathered in Table 1 and Table 2. The largest mismatch between the measured and calculated values of the normalized torsional sensitivity was found to be 22.6% for the side-hole fiber with the spin pitch equal to 100 mm and 15.7% for the birefringent microstructured fiber with the spin pitch equal to 16.4 mm.
The measured and calculated sensitivities are also presented in Figure 10 for the two families of spun highly birefringent fibers. One should note that only the circular points in the plots represent experimental data, while the straight lines connecting these points were added only for the purpose of improving clarity. It must be emphasized that the torsion experiments (Figure 8) and birefringence measurements (Figure 5) were conducted using the fiber pieces taken from different sections of the spool, which can be a possible reason for the observed differences between measured and calculated sensitivity values. Another reason for the observed discrepancies can be the simplifying assumptions (e.g., neglecting the difference between elastic and nonelastic twist) made to derive the analytical expression for the dependence of torsional sensitivity on initial fiber twist.

Figure 10.
Experimental and theoretical values of the normalized torsional sensitivity for the side-hole fibers (a) and the microstructured birefringent fibers (b) plotted against the inverse of the spin pitch.
In addition, to confirm the theoretical predictions from Section 2, we have performed temperature sensitivity measurements of spun highly birefringent fibers. First, we have characterized the series of spun side-hole birefringent fibers showing greater KT. The investigated fibers were stripped of the polymer coating and subjected to temperature changes in the range of 25–110 °C on the length of L1 = 6.0 cm. The linear polarizers at the input and output of the fiber were oriented at 45° with respect to the symmetry axes of the fiber cross-section.
In the non-spun fiber, the polarimetric sensitivity normalized to the width of the interference fringe was found to be = 0.0078 1/K at the wavelength λ = 1450 nm (L1 = 6.0 cm). This value was then used to calculate the ratio for the spun SHFs. Theoretical values of the were calculated using Equation (21) and birefringence data presented in Figure 5. In Figure 11, we show both the experimental and the calculated values of the ratio of the normalized polarimetric sensitivities to temperature. We conclude that there is a good agreement between the experimental and theoretical values, which supports our analytical findings presented in Section 2. In particular, our results show that the side-hole fiber with the smallest spin pitch exhibited the lowest normalized sensitivity to temperature while its sensitivity to torsion was the highest.

Figure 11.
Experimental and theoretical values of the normalized temperature sensitivity ratio plotted against the inverse of the spin pitch for the side-hole fibers.
We have also investigated the temperature sensitivity of the spun highly birefringent microstructured fibers in the same experimental setup. Because the KT in non-spun birefringent microstructured fibers was about two orders of magnitude lower than in the side-hole fibers [], the temperature-induced displacement of interference fringes was below the measurement resolution and therefore not detectable. This observation is in agreement with the experimental results from [] showing no change in group birefringence within the experimental error range observed for the spun highly birefringent microstructured fibers in the temperature range between −25 and 100 °C.
4. Conclusions
In this paper, we have studied the polarimetric sensitivity to torsion and temperature in spun highly birefringent fibers. The parameter of interest was the measurand-induced displacement of spectral interference fringes arising in the output spectrum because of the interference of elliptically-polarized modes. We have examined two series of spun highly birefringent fibers, i.e., the side-hole fibers and the birefringent microstructured fibers with differing birefringence dispersion and spin pitches. The two series of fibers were spun in opposite directions, which resulted in the opposite sign of torsional sensitivity. Our experimental results show that the absolute value of the normalized torsional sensitivity grows with decreasing spin pitch, while at the same time, the range of the linear response to torsion broadens. In contrast, the sensitivity to temperature asymptotically decreases to zero with increasing twist rate. Thus, it is advantageous to use the fibers with a high initial spin rate for torsion measurements.
In order to better understand the experimental results, we have derived analytical relations linking the value of torsional sensitivity with fiber intrinsic linear birefringence and spin pitch. By using the derived formula, we have calculated the theoretical values of the normalized torsional sensitivity in the examined fibers. The experimental and theoretical values match qualitatively with the greatest difference reaching 22.6%. The theoretical analysis implies that the normalized torsional sensitivity tends asymptotically to the value of 1/π rad−1 with increasing initial fiber spin.
Moreover, we have also analyzed theoretically the sensitivity to temperature, which in contrast to torsional sensitivity decays with increasing fiber spin. These predictions were confirmed by measurements of the temperature sensitivity in spun and non-spun side-hole fibers. For the 6 cm-long piece of the spun side-hole fiber with LT = 5 mm, the sensitivity to torsion and temperature measured at λ = 1450 nm were equal, respectively Kα = 0.29 rad−1 and KT = 0.0016 K−1, which results in the cross-sensitivity coefficient between torsion (expressed in radians or arc degrees) and temperature equal to 0.0055 rad/K (0.32 °/K). As the polarimetric sensitivity to temperature in birefringent microstructured fibers is about two orders of magnitude lower than in side-hole fibers, the expected value of the cross-sensitivity to temperature in microstructured fibers was only 3 × 10−3 °/K, which allows for direct torsion measurements without the need for any temperature compensation. Thus, we conclude that another advantage of using the fibers with short spin pitches for torsion sensing is their low cross-sensitivity to temperature.
Author Contributions
D.K. wrote a major part of the manuscript. G.S.-B. and M.N. contributed to writing the manuscript. W.U. revised the manuscript. D.K., G.S.-B. and M.B. performed the experiments. W.U., L.C., and P.M. were involved in project administration. L.C., M.M. and P.M. fabricated spun highly birefringent fibers.
Funding
This research was funded by the National Science Centre of Poland, Grant Maestro 8, DEC-2016/22/A/ST7/00089.
Conflicts of Interest
The authors declare no conflict of interest.
References
- Ulrich, R.; Simon, A. Polarization optics of twisted single-mode fibers. Appl. Opt. 1979, 18, 2241–2251. [Google Scholar] [CrossRef] [PubMed]
- Barlow, A.J.; Ramskov-Hansen, J.J.; Payne, D.N. Birefringence and polarization mode-dispersion in spun single-mode fibers. Appl. Opt. 1981, 20, 2962–2968. [Google Scholar] [CrossRef] [PubMed]
- Kopp, V.I.; Churikov, V.M.; Singer, J.; Chao, N.; Neugroschl, D.; Genack, A.Z. Chiral fiber gratings. Science 2004, 305, 74–75. [Google Scholar] [CrossRef] [PubMed]
- Kopp, V.I.; Park, J.; Wlodawski, M.; Singer, J.; Neugroschl, D.; Genack, A.Z. Chiral fibers: Microformed optical waveguides for polarization control, sensing, coupling, amplification, and switching. J. Lightwave Technol. 2014, 32, 605–613. [Google Scholar] [CrossRef]
- Xi, X.M.; Wong, G.K.L.; Frosz, M.H.; Babic, F.; Ahmed, G.; Jiang, X.; Euser, T.G.; Russell, P.S.J. Orbital-angular-momentum-preserving helical Bloch modes in twisted photonic crystal fiber. Optica 2014, 1, 165–169. [Google Scholar] [CrossRef]
- Nicolet, A.; Zolla, F.; Guenneau, S. Modelling of twisted optical waveguides with edge elements. Eur. Phys. J. Appl. Phys. 2004, 28, 153–157. [Google Scholar] [CrossRef]
- Nicolet, A.; Zolla, F.; Agha, Y.O.; Guenneau, S. Leaky modes in twisted microstructured optical fibers. Wave Random Complex Media 2007, 17, 559–570. [Google Scholar] [CrossRef]
- Alexeyev, C.N.; Yavorsky, M.A. Generation and conversion of optical vortices in long-period helical core optical fibers. Phys. Rev. A 2008, 78, 043828. [Google Scholar] [CrossRef]
- Alexeyev, C.N.; Alexeyev, A.N.; Lapin, B.P.; Milione, G.; Yavorsky, M.A. Spin-orbit-interaction-induced generation of optical vortices in multihelicoidal fibers. Phys. Rev. A 2013, 88, 063814. [Google Scholar] [CrossRef]
- Wang, P.; Cooper, L.J.; Sahu, J.K.; Clarkson, W.A. Efficient single-mode operation of a cladding-pumped ytterbium-doped helical-core fiber laser. Opt. Lett. 2006, 31, 226–228. [Google Scholar] [CrossRef] [PubMed]
- Ma, X.; Zhu, C.; Hu, I.-N.; Kaplan, A.; Galvanauskas, A. Single-mode chirally-coupled-core fibers with larger than 50 µm diameter cores. Opt. Express 2014, 22, 9206–9219. [Google Scholar] [CrossRef] [PubMed]
- Fuochi, M.; Hayes, J.; Furusawa, K.; Belardi, W.; Baggett, J.; Monro, T.; Richardson, D. Polarization mode dispersion reduction in spun large mode area silica holey fibres. Opt. Express 2004, 12, 1972–1977. [Google Scholar] [CrossRef] [PubMed][Green Version]
- Laming, R.I.; Payne, D.N. Electric current sensors employing spun highly birefringent optical fibers. J. Lightwave Technol. 1989, 7, 2084–2094. [Google Scholar] [CrossRef]
- Wong, G.K.L.; Kang, M.S.; Lee, H.W.; Biancalana, F.; Conti, C.; Weiss, T.; Russell, P.S.J. Excitation of orbital angular momentum resonances in helically twisted photonic crystal fiber. Science 2012, 337, 446–449. [Google Scholar] [CrossRef] [PubMed]
- Napiorkowski, M.; Urbanczyk, W. Role of symmetry in mode coupling in twisted microstructured optical fibers. Opt. Lett. 2018, 43, 395–398. [Google Scholar] [CrossRef] [PubMed]
- Napiorkowski, M.; Urbanczyk, W. Scaling effects in resonant coupling phenomena between fundamental and cladding modes in twisted microstructured optical fibers. Opt. Express 2018, 26, 12131–12143. [Google Scholar] [CrossRef] [PubMed]
- Napiorkowski, M.; Urbanczyk, W. Coupling between core and cladding modes in a helical core fiber with large core offset. J. Opt. 2016, 18, 055601. [Google Scholar] [CrossRef]
- Shin, W.; Lee, Y.L.; Yu, B.-A.; Noh, Y.-C.; Oh, K. Spectral characterization of helicoidal long-period fiber gratings in photonic crystal fibers. Opt. Commun. 2009, 282, 3456–3459. [Google Scholar] [CrossRef]
- Xian, L.; Wang, P.; Li, H. Power-interrogated and simultaneous measurement of temperature and torsion using paired helical long-period fiber gratings with opposite helicities. Opt. Express 2014, 22, 20260–20267. [Google Scholar] [CrossRef]
- Xi, X.; Wong, G.K.L.; Weiss, T.; Russell, P.St.J. Measuring mechanical strain and twist using helical photonic crystal fiber. Opt. Lett. 2013, 38, 5401–5404. [Google Scholar] [CrossRef]
- Kopp, V.I.; Churikov, V.M.; Zhang, G.; Singer, J.; Draper, C.W.; Chao, N.; Neugroschl, D.; Genack, A.Z. Single-and double-helix chiral fiber sensors. J. Opt. Soc. Am. B 2007, 24, A48–A52. [Google Scholar] [CrossRef]
- Liang, H.; Sun, M.; Jin, Y. Twist sensor based on Sagnac single-mode optic fiber interferometer. Optik 2013, 124, 6676–6678. [Google Scholar] [CrossRef]
- Zu, P.; Chan, C.C.; Jin, Y.; Gong, T.; Zhang, Y.; Chen, L.H.; Dong, X. A temperature-insensitive twist sensor by using low-birefringence photonic-crystal-fiber-based Sagnac interferometer. IEEE Photonic Technol. Lett. 2011, 23, 920–922. [Google Scholar] [CrossRef]
- Frazao, O.; Silva, S.O.; Baptista, J.M.; Santos, J.L.; Statkiewicz-Barabach, G.; Urbanczyk, W.; Wojcik, J. Simultaneous measurement of multiparameters using a Sagnac interferometer with polarization maintaining side-hole fiber. Appl. Opt. 2008, 47, 4841–4848. [Google Scholar] [CrossRef]
- Huerta-Mascotte, E.; Sierra-Hernandez, J.M.; Mata-Chavez, R.I.; Jauregui-Vazquez, D.; Castillo-Guzman, A.; Estudillo-Ayala, J.M.; Guzman-Chavez, A.D.; Rojas-Laguna, R. A core-offset Mach-Zehnder interferometer based on a non-zero dispersion-shifted fiber and its torsion sensing application. Sensors 2016, 16, 856. [Google Scholar] [CrossRef]
- Frazao, O.; Jesus, C.; Baptista, J.M.; Santos, J.L.; Roy, P. Fiber-optic interferometric torsion sensor based on a two-lp-mode operation in birefringent fiber. IEEE Photonic Technol. Lett. 2009, 21, 1277–1279. [Google Scholar] [CrossRef]
- Chen, X.; Zhou, K.; Zhang, L.; Bennion, I. In-fiber twist sensor based on a fiber Bragg grating with 81° tilted structure. IEEE Photonic Technol. Lett. 2006, 18, 2596–2598. [Google Scholar] [CrossRef]
- Lu, Y.; Shen, C.; Chen, D.; Chu, J.; Wang, Q.; Dong, X. Highly sensitive twist sensor based on tilted fiber Bragg grating of polarization-dependent properties. Opt. Fiber Technol. 2014, 20, 491–494. [Google Scholar] [CrossRef]
- Nair, A.S.; Kumar, V.P.S.; Joe, H. Twist sensitivity of cladding-mode resonances and its cross-sensitivity to strain and temperature in a mechanically induced long-period fiber grating. Fiber Integr. Opt. 2014, 33, 347–359. [Google Scholar] [CrossRef]
- Ceballos-Herrera, D.E.; Torres-Gomez, I.; Martinez-Rios, A.; Garcia, L.; Sanchez-Mondragon, J.J. Torsion sensing characteristics of mechanically induced long-period holey fiber gratings. IEEE Sens. J. 2010, 10, 1200–1205. [Google Scholar] [CrossRef]
- Zhang, L.; Liu, Y.; Zhao, Y.; Wang, T. High sensitivity twist sensor based on helical long-period grating written in two-mode fiber. IEEE Photonic Technol. Lett. 2016, 28, 1629–1632. [Google Scholar] [CrossRef]
- Gao, R.; Jiang, Y.; Jiang, L. Multi-phase-shifted helical long period fiber grating based temperature-insensitive optical twist sensor. Opt. Express 2014, 22, 15697–15709. [Google Scholar] [CrossRef]
- Wolinski, T.R.; Bock, W.J. Simultaneous twist and pressure effects in highly birefringent single-mode bow-tie fibers. J. Lightwave Technol. 1993, 11, 389–394. [Google Scholar] [CrossRef]
- Dyott, R.B.; Cozens, J.R.; Morris, D.G. Preservation of polarization in optical-fiber waveguides with elliptical cores. Electron. Lett. 1979, 15, 380–382. [Google Scholar] [CrossRef]
- Hosaka, T.; Okamoto, K.; Miya, T.; Sasaki, Y.; Edahiro, T. Low-loss single polarization fibers with asymmetrical strain birefringence. Electron. Lett. 1981, 17, 530–531. [Google Scholar] [CrossRef]
- Mogilevtsev, D.; Broeng, J.; Barkou, S.E.; Bjarklev, A. Design of polarization-preserving photonic crystal fibers with elliptical pores. J. Opt. A Pure Appl. Opt. 2001, 3, 141–143. [Google Scholar] [CrossRef]
- Morshnev, S.K.; Chamorovsky, Y.K.; Vorob’ev, I.L. Phase delay of polarization modes in elastically twisted spun fibres. Quantum Electron. 2011, 41, 469–474. [Google Scholar] [CrossRef]
- Xuan, H.; Jin, W.; Zhang, M.; Ju, J.; Liao, Y. In-fiber polarimeters based on hollow-core photonic bandgap fibers. Opt. Express 2009, 17, 13246–13254. [Google Scholar] [CrossRef]
- Fu, H.Y.; Khijwania, S.K.; Tam, H.Y.; Wai, P.K.A.; Lu, C. Polarization-maintaining photonic-crystal-fiber-based all-optical polarimetric torsion sensor. Appl. Opt. 2010, 49, 5954–5958. [Google Scholar] [CrossRef]
- Argyros, A.; Pla, J.; Ladouceur, F.; Poladian, L. Circular and elliptical birefringence in spun microstructured optical fibres. Opt. Express 2009, 17, 15983–15990. [Google Scholar] [CrossRef]
- Kowal, D.; Statkiewicz-Barabach, G.; Napiorkowski, M.; Makara, M.; Poturaj, K.; Mergo, P.; Urbanczyk, W. Measurement of birefringence and ellipticity of polarization eigenmodes in spun highly birefringent fibers using spectral interferometry and lateral point-force method. Opt. Express 2018, 26, 34185–34199. [Google Scholar] [CrossRef]
- Rashleigh, S.C. Origins and control of polarization effects in single-mode fibers. J. Lightwave Technol. 1983, 1, 312–331. [Google Scholar] [CrossRef]
- Martynkien, T.; Anuszkiewicz, A.; Statkiewicz-Barabach, G.; Olszewski, J.; Golojuch, G.; Szczurowski, M.; Urbanczyk, W.; Wojcik, J.; Mergo, P.; Makara, M.; et al. Birefringent photonic crystal fibers with zero polarimetric sensitivity to temperature. Appl. Phys. B 2009, 94, 635–640. [Google Scholar] [CrossRef]
- Wolinski, T.R. Polarimetric optical fibers and sensors. Prog. Opt. 2000, 40, 1–75. [Google Scholar]
- Michie, A.; Canning, J.; Bassett, I.; Haywood, J.; Digweed, K.; Aslund, M.; Ashton, B.; Stevenson, M.; Digweed, J. Spun elliptically birefringent photonic crystal fiber. Opt. Express 2007, 15, 1811–1816. [Google Scholar] [CrossRef] [PubMed]
© 2019 by the authors. Licensee MDPI, Basel, Switzerland. This article is an open access article distributed under the terms and conditions of the Creative Commons Attribution (CC BY) license (http://creativecommons.org/licenses/by/4.0/).