Design and Test of a New Inductive Force Sensor
Abstract
:1. Introduction
2. Sensor Design
Acquisition Unit
3. Experimental Section
3.1. Data Collection
3.2. Test Setup
3.3. The Static Load Test
3.4. The Incremental Load Test
3.5. Data Processing
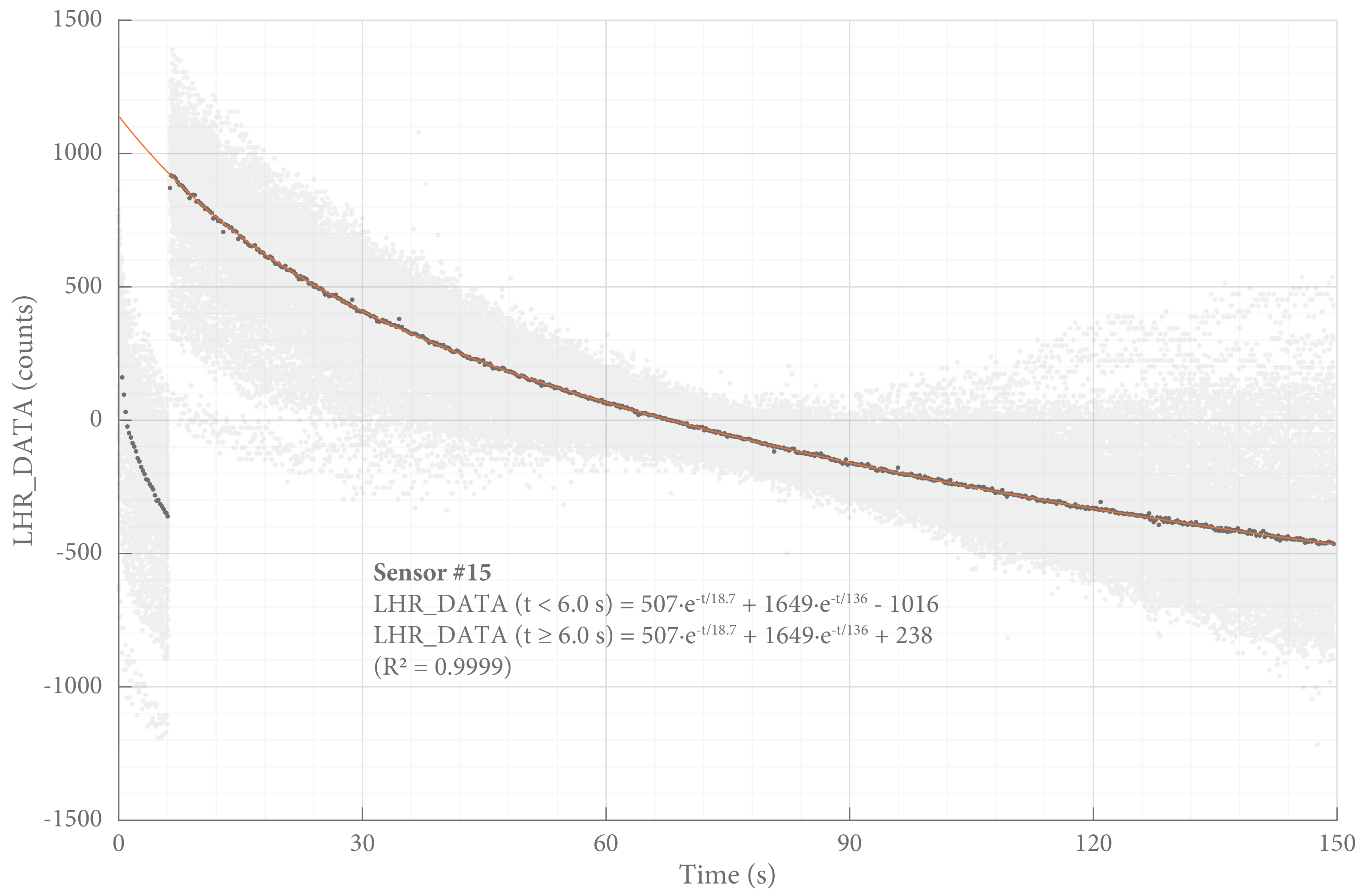
Start-Up Effect
4. Results
Total Error
5. Discussion
5.1. External Influences
5.2. Effective Resolution
5.3. Drift
5.4. Reflection
5.5. Limitations
5.6. Sensor in Practice
6. Conclusions
Author Contributions
Funding
Acknowledgments
Conflicts of Interest
Abbreviations
References
- Ponseti, I.V. Congenital Clubfoot: Fundamentals of Treatment, 2nd ed.; Oxford University Press Inc.: New York, NY, USA, 2008. [Google Scholar]
- Hollinger, A.; Wanderley, M.M. Evaluation of Commercial Force-Sensing Resistors. In Proceedings of the International Conference on New Interfaces for Musical Expression (NIME’06), Paris, France, 4–8 June 2018; IRCAM: Paris, France, 2006. [Google Scholar]
- Parmar, S.; Khodasevych, I.; Troynikov, O. Evaluation of Flexible Force Sensors for Pressure Monitoring in Treatment of Chronic Venous Disorders. Sensors 2017, 17, 1923. [Google Scholar] [CrossRef] [PubMed]
- Khodasevych, I.; Parmar, S.; Troynikov, O. Flexible Sensors for Pressure Therapy: Effect of Substrate Curvature and Stiffness on Sensor Performance. Sensors 2017, 17, 2399. [Google Scholar] [CrossRef] [PubMed]
- Texas Instruments. LDC1612, LDC1614 Multi-Channel 28-Bit Inductance to Digital Converter (LDC) for Inductive Sensing; Texas Instruments: Dallas, TX, USA, 2014. [Google Scholar]
- Oberhauser, C. LDC Sensor Design; Application Report SNOA930; Texas Instruments: Dallas, TX, USA, 2015. [Google Scholar]
- Kasemsadeh, B.; LaPointe, L. Inductive Sensing Touch-On-Metal Buttons Design Guide; Application Report SNOA951; Texas Instruments: Dallas, TX, USA, 2016. [Google Scholar]
- Wang, H.; Kow, J.; de Boer, G.; Jones, D.; Alazmani, A.; Culmer, P. A low-cost, High-Performance, Soft Tri-axis Tactile Sensor based on Eddy-Current Effect. In Proceedings of the 2017 IEEE Sensors, Glasgow, UK, 29 October–1 November 2017; pp. 1–3. [Google Scholar] [CrossRef]
- Bonifas, A.P.; Kim, J.; Suh, J.-J. Force Responsive Inductors for Force Sensors. WO Patent PCT/US2015/ 017096, 3 September 2015. [Google Scholar]
- Zinober, S.; Has, R. Wirbelstromsensor und Verfahren Zum Messen Einer Kraft. WO Patent PCT/EP2013/ 061024, 9 January 2014. [Google Scholar]
- Maxim Integrated. DS1825 Programmable Resolution 1-Wire Digital Thermometer with 4-Bit ID; Maxim Integrated: San Jose, CA, USA, 2005. [Google Scholar]
- NXP. Kinetis KL25 Sub-Family; NXP: Eindhoven, The Netherlands, 2014. [Google Scholar]
- Holubeva, N. Configuring Inductive-to-Digital-Converters for Parallel Resistance (Rp) Variation in L-C Tank Sensors; Application Report SNAA221A; Texas Instruments: Dallas, TX, USA, 2015. [Google Scholar]
- Giesberts, R.B. Mbed: Inductive_Sensor_3. Available online: https://os.mbed.com/users/bobgiesberts/code/InductiveSensor3 (accessed on 28 June 2018).
- Riley, W. Handbook of Frequency: Stability Analysis; National Institute of Standards and Technology: Gaithersburg, MD, USA, 2008. [Google Scholar]
- Ferguson-Pell, M.; Hagisawa, S.; Bain, D. Evaluation of a sensor for low interface pressure applications. Med. Eng. Phys. 2000, 22, 657–663. [Google Scholar] [CrossRef]
- Carr, J.J. Sensors and Circuits: Sensors, Transducers, and Supporting Circuits for Electronic Instrumentation, Measurement, and Control; PTR Prentice-Hall, Inc.: Englewood Cliffs, NJ, USA, 1993. [Google Scholar]
- Oberhauser, C. Optimizing L Measurement Resolution for the LDC161x and LDC1101; Application Report SNOA944; Texas Instruments: Dallas, TX, USA, 2016. [Google Scholar]
- Tekscan. Flexiforce® Sensors Users Manual; Tekscan: Boston, MA, USA, 2012. [Google Scholar]
- Interlink Electronics. FSR™ Force Sensing Resistors™, FSR™ Integration Guide; Interlink Electronics: Camarillo, CA, USA, 2010. [Google Scholar]
- Giesberts, R.B.; ter Haar, A.M.; Sanderman, G.M.; Hekman, E.E.G.; Verkerke, G.J. Tissue adaptation rate in the treatment of Dupuytren contracture. J. Hand Ther. 2018. submitted. [Google Scholar]
- Giesberts, R.B.; Hekman, E.E.G.; Verkerke, G.J.; Maathuis, P.G.M. Cast-Foot Interface Pressure in the Ponseti Method. Bone Jt. J. 2018. in preparation. [Google Scholar]

| (a) | (b) |









| Requirements | Value | Unit | |
|---|---|---|---|
| Dimensions | max | 3 × 10 (ø) | mm |
| Dynamic range | min | 0–10 | N |
| Resolution | max | 0.01 | N |
| Time drift | max | 1 | %/day |
| Bandwidth | min | 0.1 | Hz |
| Current consumption | max | 1.0 | mA@3.7 V |
| Static Load Test | Incremental Load Test | |
|---|---|---|
| (n = 9) | (n = 13) | |
| Sensitivity ( counts/N) | 1.7 ± 0.8 | 1.3 ± 0.6 |
| Non-linearity (%) | 12 ± 10 | |
| Accuracy (%) | 3.5 ± 3.0 | |
| Hysteresis (%) | 5.8 ± 1.4 | 4.9 ± 2.1 |
| Noise ( N) | 1.2 ± 0.4 | |
| Effective Resolution ( N) | 0.15 ± 0.06 | |
| Time drift (%/log(h)) | 2.1 ± 0.7 | |
| Time drift after 8 h (%) | 5.0 ± 1.4 | |
| Temperature drift (N/C) | −0.088 ± 0.030 |
© 2018 by the authors. Licensee MDPI, Basel, Switzerland. This article is an open access article distributed under the terms and conditions of the Creative Commons Attribution (CC BY) license (http://creativecommons.org/licenses/by/4.0/).
Share and Cite
Giesberts, R.B.; Sluiter, V.I.; Verkerke, G.J. Design and Test of a New Inductive Force Sensor. Sensors 2018, 18, 2079. https://doi.org/10.3390/s18072079
Giesberts RB, Sluiter VI, Verkerke GJ. Design and Test of a New Inductive Force Sensor. Sensors. 2018; 18(7):2079. https://doi.org/10.3390/s18072079
Chicago/Turabian StyleGiesberts, Robert Bram, Victor IJzebrand Sluiter, and Gijsbertus Jacob Verkerke. 2018. "Design and Test of a New Inductive Force Sensor" Sensors 18, no. 7: 2079. https://doi.org/10.3390/s18072079
APA StyleGiesberts, R. B., Sluiter, V. I., & Verkerke, G. J. (2018). Design and Test of a New Inductive Force Sensor. Sensors, 18(7), 2079. https://doi.org/10.3390/s18072079

