Next Article in Journal
Compiler Optimizations as a Countermeasure against Side-Channel Analysis in MSP430-Based Devices
Previous Article in Journal
Synergistic Effects in the Gas Sensitivity of Polypyrrole/Single Wall Carbon Nanotube Composites
 
 
Font Type:
Arial Georgia Verdana
Font Size:
Aa Aa Aa
Line Spacing:
Column Width:
Background:
Article

Reliable Finite Frequency Filter Design for Networked Control Systems with Sensor Faults

1
College of Electronic Information and Control Engineering, Beijing University of Technology, Beijing 100124, China
2
College of Information Science and Engineering, Northeastern University, Shenyang, Liaoning 110004, China
*
Author to whom correspondence should be addressed.
Sensors 2012, 12(6), 7975-7993; https://doi.org/10.3390/s120607975
Submission received: 6 April 2012 / Revised: 17 May 2012 / Accepted: 21 May 2012 / Published: 8 June 2012
(This article belongs to the Section Physical Sensors)

Abstract

: This paper is concerned with the reliable finite frequency filter design for networked control systems (NCSs) subject to quantization and data missing. Taking into account quantization, possible data missing and sensor stuck faults, NCSs are modeled in the framework of discrete time-delay switched systems, and the finite frequency l2 gain is adopted for the filter design of discrete time-delay switched systems, which is converted into a set of linear matrix inequality (LMI) conditions. By the virtues of the derived conditions, a procedure of reliable filter synthesis is presented. Further, the filter gains are characterized in terms of solutions to a convex optimization problem which can be solved by using the semi-definite programme method. Finally, an example is given to illustrate the effectiveness of the proposed method.

1. Introduction

In recent years, there has been a growing interest in networked control systems (NCSs), which is a class of systems in which sensors, controllers and plants are connected over the network media [14]. Due to their advantages such as easy installation, low cost and high utilization, the NCSs have widely applications in many application areas, such as manufacturing plants, automobiles and remote process, etc. However, these systems require novel control design to account for the presence of network in the closed loop, such as network-induced delay (see e.g., [58]) and packet loss (see e.g., [9,10]). Further, for the NCSs where bandwidth and energy are limited, quantization becomes indispensable. Consequently, there has been a lot of researches concerning this issue, (see e.g., [11,12]).

On the other hand, filtering problem has been playing an important role in control engineering and signal processing that has attracted constant research attention, (see e.g., [1317] and references therein). However, it is quite common in practice that measurement outputs of a dynamic system contain incomplete observations because of the temporal sensor faults, (see e.g., [1821] and references therein). Therefore, it is natural that the reliable filtering problem in presence of possible sensor faults has recently obtained much attention and there have been many results investigating this important issue. For example, reliable filtering problems have been thoroughly investigated in [2224] for linear systems. As for nonlinear systems, reliable filtering problems with sensor faults have also attracted many research interests [2527].

It should be noted that disturbances considered in those papers are all considered in full frequency domain. However, practical industry systems often employ large, complex, or lightweight structures, which include finite frequency fundamental vibration modes. Thus, it is more reasonable to design reliable filters in finite frequency domain. However, to the best of the authors' knowledge, reliable filtering problems for NCSs subject to packet loss and quantization have not been fully investigated, especially in finite frequency domain where faults occur frequently. This motivates the investigation of this work.

In response to the above discussions, in this paper, the reliable finite frequency filtering problem for NCSs subject to packet loss and quantization is investigated in finite frequency domain against sensor stuck faults. Specifically, with consideration of quantization, possible packet losses and possible sensor stuck faults, NCSs are modeled in a framework of discrete time-delay switched system. Then, the definition of finite frequency l2 gain is given and an analysis condition to capture such a performance for discrete time-delay switched system is derived. With the aid of the derived conditions, a reliable filter is designed and the conclusions are presented in terms of linear matrix inequalities (LMIs). Finally, an example is given to illustrate the effectiveness of the proposed method.

The reminder of the paper is organized as follows. The problem of system modeling for NCSs with packet losses and quantization is presented in Section 2. Section 3 provides sufficient conditions for the design of reliable filters. In Section 4, an example is given to illustrate the effectiveness of the proposed method. Finally, some conclusions are presented in Section 5.

Notations

Throughout the paper, the superscript T and −1 stand for, respectively, the transposition and the inverse of a matrix; M > 0 means that M is real symmetric and positive definite; I represents the identity matrix with compatible dimension; ‖·‖ denotes the Euclidean norm; ℙ is the probability measure; ℝ(·) denotes the expectation operator; l2 denotes the Hilbert space of square integrable functions. In block symmetric matrices or long matrix expressions, we use * to represent a term that is induced by symmetry; The sum of a square matrix A and its transposition AT is denoted by He(A):= A + AT.

2. System Model and Problem Formulation

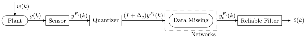
The NCS under consideration is setup in Figure 1, where the discrete-time plant is of the form:

x ( k + 1 ) = A x ( k ) + B w ( k ) y ( k ) = C x ( k ) z ( k ) = E x ( k )
where x(k) ∈ Rn is the state, y(k) ∈ Rm is the measured output, z(k) ∈ Rp is the controlled output and w(k) ∈ Rd is the exogenous disturbance which is assumed to belong to l2[0, ∞). A, B, C and E are known real constant matrices with appropriate dimensions.

In this paper, we make the following assumption:

Assumption 1

System (1) is stable.

Remark 2

Assumption 1 is required to get stable dynamics of the filter system. If this assumption is not satisfied, a stabilizing output feedback controller is required.

When the sensors in the NCSs experience faults, we consider the following sensor stuck fault model similar to [28],

y F i ( k ) = F i y ( k ) + ( I F i ) y s i ( k ) , i = 0 , 1 , 2 , , q
where q is the quantity of the possible fault modes and
y s i ( k ) = [ y s i 1 ( k ) y s i 2 ( k ) y s i m ( k ) ] T
with ysij(k)(j = 1, 2,…, m) being the low frequency fault of the kth sensor. Further, Fi is defined as
F i = diag { F i 1 , F i 2 , , F i m } F i k = 0 or 1 , k = 1 , 2 , , m

It is also assumed that, as shown in Figure 1, the measurement signals will be quantized before transmitting via the networks wherein data missing may occur. The following logarithmic quantizer as proposed in [29] is applied,

q ( υ ) = { ρ i υ 0 if 1 1 + δ q ρ i υ 0 < υ 1 1 δ q ρ i υ 0 0 if υ = 0 q ( υ ) if υ < 0
where the parameter 0 < ρ < 1 is termed as quantization density and
δ q = ( 1 ρ ) / ( 1 + ρ )
From [29], we can obtain
q ( υ ) = ( I + Δ q ) υ
where Δq ∈ [−δqq] is a suitable model for the logarithmic quantizer q(υ) with parameter δq.

Therefore, the faulty measurements together with quantization and the data transmission in the networks can be described by

y c F i ( k ) = α ( I + Δ q ) y F i ( k ) + ( 1 α ) ( I + Δ q ) y F i ( k 1 )
where αR is a Bernoulli distributed white sequence with
( α = 1 ) = 𝔼 ( α ) = δ ¯ ( α = 0 ) = 1 𝔼 ( α ) = 1 δ ¯
Specifically, if α = 1, the quantized signal (I + Δq)yFi(k) is successfully transmitted, otherwise the transmission fails, i.e., the phenomenon of data missing.

Remark 3

The description of data transmission (8) was introduced in [30]. It can be seen that the output y(k) of the system model is (I + Δq)yFi(k) with probability δ̄ at k-th sampling time, and the value (I + Δq)yFi(k − 1) with probability 1 − δ̄ Obviously, if the binary stochastic variable α takes the value 0 consecutively at different sample times, the consecutive data missing would occur.

In this paper, the following reliable filter is constructed:

x ˜ ( k + 1 ) = A f x ˜ ( k ) = B f y c F i ( k ) z ˜ ( k ) = C f x ˜ ( k )
where Af, Bf and Cf are filter parameters to be designed.

Denoting ζ(k) = [xT(k) T(k)]T and e(k) = z(k) – (k), then the filtering error system for the ith fault mode can be described by the following two subsystems.

  • S1: No packet dropout occurs.

    ζ ( k + 1 ) = A 1 i ζ ( k ) + A 1 d i ζ ( k 1 ) + w w ( k ) + s i y s i ( k ) e ( k ) = C ζ ( k )

  • S2: Packet dropout occurs.

    ζ ( k + 1 ) = A 2 i ζ ( k ) + A 2 d i ζ ( k 1 ) + w w ( k ) + s i y s i ( k ) e ( k ) = C ζ ( k )
    where
    [ A 1 i | A 1 d i | A 2 i | A 2 d i ] = [ A 0 B f ( I + Δ q ) F i C A f | 0 0 0 0 | A 0 0 A f | 0 0 B f ( I + Δ q ) F i C 0 ] [ w | s i ] = [ B 0 | 0 B f ( I + Δ q ) ( I F i ) ] C = [ E C f ]

Due to packet drop-out, the filtering error system can be seen as combined by subsystem S1 and S2, which can be lumped into the following discrete time-delay switched system:

ζ ( k + 1 ) = A σ k i ζ ( k ) + A σ k d i ζ ( k 1 ) + w w ( k ) + s i y s i ( k ) e ( k ) = C ζ ( k )
where σk is switching signal with σk Sensors 12 07975i1 = {1, 2} being a piecewise constant function.

Next, we will discuss how to design the filter parameters Af, Bf and Cf. In order to formulate the problem clearly, the following definitions are first given.

Definition 4. (Asymptotical Stable)

System (10) is said to be asymptotical stable under switching signal σk, if the solution satisfies

lim k 0 ζ ( k ) = 0

Definition 5

Ding et al. [17] Let γ > 0 be a given constant, then the filtering error system (10) is said to have a finite-frequency l2 gain γ, if inequality

k = 0 e ( k ) T e ( k ) γ 2 k = 0 w ( k ) T w ( k )
holds for all solutions of Equation (10) with w(k) ∈ l2 such that the following hold
  • For the low-frequency range |θ| < ϑl

    k = 0 ( ζ ( k + 1 ) ζ ( k ) ) ( ζ ( k + 1 ) ζ ( k ) ) T ( 2 sin ϑ l 2 ) 2 k = 1 ζ ( k ) ζ ( k ) T

  • For the middle-frequency range ϑ1θϑ2

    e j ϑ w k = 0 ( ζ ( k + 1 ) e j ϑ 1 ζ ( k ) ) ( ζ ( k + 1 ) e j ϑ 2 ζ ( k ) ) T 0
    where ϑw = (ϑ2ϑ1)/2.

  • For the high-frequency range |θ| ≥ ϑh

    k = 0 ( ζ ( k + 1 ) ζ ( k ) ) ( ζ ( k + 1 ) ζ ( k ) ) T ( 2 sin ϑ h 2 ) 2 k = 0 ζ ( k ) ζ ( k ) T

Now, the reliable filtering problem to be addressed in this paper can be formulated as follows:

Design a stable reliable filter (9) such that, for the quantization error, possible data missing and sensor faults, the filtering error system (10) is asymptotical stable, and with a prescribed finite-frequency l2 gain γ1 from w(k) to e(k) by satisfying the following specification

k = 0 e ( k ) 2 γ 1 2 k = 0 w ( k ) 2 , θ w
and a prescribed low frequency l2 gain γ2 from ysi(k) to e(k) by satisfying
k = 0 e ( k ) 2 γ 2 2 k = 0 y s i ( k ) 2 , | θ s | ϑ s l
where θw and θs represent the frequency of the disturbance and the stuck faults, respectively.

Before ending this section, the following lemmas will be first given to help us to prove our main results.

Lemma 6. (Finsler's Lemma)

For xRn, Sensors 12 07975i2Rn×n, Sensors 12 07975i3Rn×m, let Sensors 12 07975i3 be any matrix such that Sensors 12 07975i3 Sensors 12 07975i3 = 0. The following statements are equivalent:

  • xT Sensors 12 07975i2x < 0, ∀ Sensors 12 07975i3Tx = 0, x ≠ 0,

  • Sensors 12 07975i3 Sensors 12 07975i2 Sensors 12 07975i3T < 0,

  • μRn: Sensors 12 07975i2μ Sensors 12 07975i3 Sensors 12 07975i3T < 0,

  • Sensors 12 07975i4Rm×n: Sensors 12 07975i2 + Sensors 12 07975i3 Sensors 12 07975i4 + Sensors 12 07975i4T Sensors 12 07975i3T < 0.

Lemma 7

Given the matrices and with appropriate dimensions, then

E ˜ Δ F ˜ + F ˜ T Δ T E ˜ T < 0
where ΔΔTI, if and only if there exist a scalar ε > 0 such that
[ ɛ 1 2 F ˜ T ɛ 1 2 E ˜ ] [ ɛ 1 2 F ˜ ɛ 1 2 E ˜ T ] < 0

3. Main Results

In this section, the reliable filtering problem proposed in the above section will be investigated.

Lemma 8

Consider system (10) for i = 0, 1,…,q and a given scalar γ1 < 0, then Equation (16) holds, i.e., system (10) is with a finite frequency l2 gain γ1,if there exist matrices P σ k i = P σ k i T , i = i T and Q σ k i = Q σ k i T > 0 , σ k { 1 , 2 } such that the following inequalities hold

[ A σ k i A σ k d i w I 0 0 ] T Ξ [ A σ k i A σ k d i w I 0 0 ] + [ C 0 0 0 0 I ] T [ C 0 0 0 0 I ] + [ I 0 0 0 I 0 ] T [ i 0 0 i ] [ I 0 0 0 I 0 ] < 0
where = [ I 0 0 γ 1 2 I ] and
  • For the low-frequency range |θw| ≤ ϑwl

    Ξ i = [ P σ k + 1 i Q σ k i Q σ k i P σ k i 2 cos ϑ w l Q σ k i ]

  • For the middle-frequency range ϑ1θwϑ2

    Ξ i = [ P σ k + 1 i e j ϑ c Q σ k i e j ϑ c Q σ k i P σ k i 2 cos ϑ w Q σ k i ]
    where ϑc = (ϑ2 + ϑ1)/2, ϑw = (ϑ2ϑ1)/2.

  • For the high-frequency range |θw| ≥ ϑwh

    Ξ i = [ P σ k + 1 i Q σ k i Q σ k i P σ k i 2 cos ϑ w h Q σ k i ]

Proof

We first consider the middle-frequency case for system (10) with ysi(k) = 0. Assume Equation (14) holds, pre- and post-multiplying it by [ξT(k) sT(k)] and its transpose, we can derive

ζ T ( k ) = ( P σ k i + R i ) ζ ( k ) ζ T ( k + 1 ) P σ k + 1 i ζ ( k + 1 ) ζ T ( k 1 ) R i ζ ( k 1 ) + e T ( k ) e ( k ) γ 1 2 w T ( k ) w ( k ) + t r { Q σ k i ( e j ϑ c ζ ( k ) ζ T ( k + 1 ) e j ϑ c ζ ( k + 1 ) ζ T ( k ) 2 cos ϑ w ζ ( k ) ) } 0
Summing up Equation (22) from 0 to ∞ with respect to k, it is easy to obtain
k = 0 ( 𝔼 ( e T ( k ) e ( k ) γ 1 2 w T ( k ) w ( k ) ) ) + t r { Q σ k i Z } 0
since system (10) is asymptotical stable and ξ(0) = 0, where
Z : = k = 0 ( e j ϑ c ζ ( k ) ζ T ( k + 1 ) + e j ϑ c ζ ( k + 1 ) ζ T ( k ) 2 cos ϑ w ζ ( k ) ζ T ( k ) )
It is easy to prove that −Z is equal to the left-hand side of Equation (14), thus we have Z ≥ 0. Further, from Qσki > 0, one can obtain that the term tr{QσkiZ} ≥ 0 while Equation (14) is satisfied. Hence we have k = 0 ( 𝔼 ( e T ( k ) e ( k ) γ 1 2 w T ( k ) w ) ) 0, which is equivalent to the condition Equation (16) for middle-frequency in Definition 5.

Similarly, by choosing ϑ1:= −ϑwl, ϑ2:= ϑwl for low-frequency case and ϑ1:= ϑwh, ϑ2:= 2πϑwh for high-frequency case, respectively, the results for these two cases can be derived by following the same procedure of the above proof. This completes the proof.

Remark 9

Lemma 8 presents an analysis condition for finite frequency l2 gain of system (10), where less conservatism is introduced compared with the existing full frequency conditions when frequency ranges of disturbances are known.

Remark 10

The sufficient condition, which guarantees a prescribed low frequency l2 gain from ysi(k) to e(k) for system (10), can be obtained by following the same process of Lemma 8 and utilizing relevant system matrices.

3.1. Finite Frequency Performance from w(k) to e(k)

In this section, sufficient conditions to capture the finite frequency performance from w(k) to e(k) for system (10) will be derived with the aid of Lemma 8.

Theorem 11

Consider system (10) in fault free and faulty cases (i.e., i = 0, 1,…,q) for given low frequency range |θ| ≤ ϑwl, which is with a prescribed l2 gain γ1 from w(k) to e(k),i.e., the condition (16) holds if there exist a scalar ε1 > 0, matrices X, Y, N, Af, f, Cf and

P ι i T = P ι i = [ P ι i 1 P ι i 2 P ι i 3 ] , P κ i T = P κ i = [ P κ i 1 P κ i 2 P κ i 3 ] , i T = i = [ i 1 i 2 i 3 ] , Q κ i T = Q κ i = [ Q κ i 1 Q κ i 2 Q κ i 3 ] > 0
with ι, κ ∈ {1, 2} such that the following conditions hold
Ψ < 0
where
Ψ = [ P ι i 1 P ι i 2 P ι i 3 Q κ i 1 X Q κ i 2 T N Ψ 3 3 Q κ i 2 Y Q κ i 3 N Ψ 4 3 Ψ 4 4 0 0 Ψ 5 3 Ψ 5 4 Ψ 5 5 0 0 0 0 i 2 i 3 0 0 B T X T B T Y T 0 0 γ 1 2 I 0 0 E C f 0 0 0 I 0 0 f T f T 0 0 0 0 ɛ 1 I ]
and
Ψ 3 3 ( κ = 1 ) = P κ i 1 2 cos ϑ w l Q κ i 1 + i 1 + δ q 2 ɛ 1 C T F i T F i C + H e ( X A + f F i C ) , Ψ 3 3 ( κ = 2 ) = P κ i 1 2 cos ϑ w l Q κ i 1 + i 1 + H e ( X A ) , Ψ 4 3 ( κ = 1 ) = P κ i 2 2 cos ϑ w l Q κ i 2 + i 2 + f F i C + A f T + Y A , Ψ 4 3 ( κ = 2 ) = P κ i 2 2 cos ϑ w l Q κ i 2 + i 2 + A f T + Y A , Ψ 4 4 = P κ i 3 2 cos ϑ w l Q κ i 3 + i 3 + H e ( A f ) , Ψ 5 3 ( κ = 1 ) = Ω 5 4 ( κ = 1 ) = 0 , Ψ 5 3 ( κ = 1 ) = Ω 5 4 ( κ = 1 ) = C T F i T f T Ψ 5 5 ( κ = 1 ) = i 1 , Ψ 5 5 ( κ = 1 ) = i 1 + δ q 1 ɛ 1 C T F i T F i C

Proof

It is shown, from Lemma 8, that the condition (16) can be reached if Equation (18) holds. Further, the inequality (18) can be rewritten to

J Δ J T < 0
where J = [ A κ i T I 0 0 A κ d i T 0 I 0 w T 0 0 I ] and
Δ = [ P ι i Q κ i P κ i 2 cos ϑ w l Q κ i + i + C T C 0 0 i 0 0 0 γ 1 2 I ]

Exploiting Lemma 6 and explicit null space bases calculations on Equation (26), it is easy to get that Equation (26) holds if and only if

Δ + H e ( J [ 0 W T 0 0 ] ) < 0
that is
[ P ι i Q κ i W A κ i 2 cos ϑ w l Q κ i + i + C T C + H e ( W A κ i ) 0 A d κ i T W T i 0 w T W T 0 γ 1 2 I ] < 0
where W is a matrix variable introduced by Lemma 6 and J = [−I Aκi wAκdi]T is utilized.

Performing Schur's complement on Equation (27) yields to that

[ P ι i Q κ i W P κ i 2 cos ϑ w l Q κ i + i + H e ( W A κ i ) 0 A d κ i T W T i 0 w T W T 0 γ 1 2 I 0 C 0 0 I ] < 0
Partitioning W as the following form
W = [ X N Y N ]
defining the following new variables
A f = N A f , f = N B f
and applying Lemma 7 on Equations (27), (25) can be reached easily. This proof is completed.

Remark 12

In Theorem 11, by introducing a variable W, the coupling between the Lyapunov matrices and the filter gains will be eliminated, which does not present any structural constraint.

The previous Theorem 11 presented the condition to capture the low frequency performance. Similarly, conditions for middle frequency and high frequency performance are presented in the following two corollaries.

Corollary 13

Consider system (10) in fault free and faulty cases (i.e., i = 0, 1,…,q) for given middle frequency range ϑ1 ≤ |θw| ≤ ϑ2,which is with a prescribed l2 gain γ1 from w(k) to e(k),i.e., the condition (16) holds if there exist a scalar ε1 > 0, matrices X, Y, N, Af, f, Cf and

P ι i T = P ι i = [ P ι i 1 P ι i 2 P ι i 3 ] , P κ i T = P κ i = [ P κ i 1 P κ i 2 P κ i 3 ] , i T = i = [ i 1 i 2 i 3 ] , Q κ i T = Q κ i = [ Q κ i 1 Q κ i 2 Q κ i 3 ] > 0
with ι, κ ∈ {1, 2} such that the following conditions hold
Ψ < 0
where
Ψ = [ P ι i 1 P ι i 2 P ι i 3 e j ϑ c Q κ i 1 X e j ϑ c Q κ i 2 T N Ψ 3 3 e j ϑ c Q κ i 2 Y e j ϑ c Q κ i 3 N Ψ 4 3 Ψ 4 4 0 0 Ψ 5 3 Ψ 5 4 Ψ 5 5 0 0 0 0 i 2 i 3 0 0 B T X T B T Y T 0 0 γ 1 2 I 0 0 E C f 0 0 0 I 0 0 f T f T 0 0 0 0 ɛ 1 I ]
and ϑc = (ϑ2 + ϑ1)/2, ϑw = (ϑ2ϑ1)/2,
Ψ 3 3 ( κ = 1 ) = P κ i 1 2 cos ϑ w Q κ i 1 + i 1 + δ q 2 ɛ 1 C T F i T F i C + H e ( X A + f F i C ) , Ψ 3 3 ( κ = 2 ) = P κ i 1 2 cos ϑ w Q κ i 1 + i 1 + H e ( X A ) , Ψ 4 3 ( κ = 1 ) = P κ i 2 2 cos ϑ w Q κ i 2 + i 2 + f F i C + A f T + Y A , Ψ 4 3 ( κ = 2 ) = P κ i 2 2 cos ϑ w Q κ i 2 + i 2 + A f T + Y A , Ψ 4 4 = P κ i 3 2 cos ϑ l Q κ i 3 + i 3 + H e ( A f ) , Ψ 5 3 ( κ = 1 ) = Ω 5 4 ( κ = 1 ) = 0 , Ψ 5 3 ( κ = 2 ) = Ω 5 4 ( κ = 2 ) = C T F i T f T Ψ 5 5 ( κ = 1 ) = i 1 , Ψ 5 5 ( κ = 2 ) = i 1 + δ q 1 ɛ 1 C T F i T F i C

Proof

By following the same lines of Theorem 1, it is immediate.

Corollary 14

Consider system (10) in fault-free and faulty cases (i.e., i = 0, 1,…, q) for given high frequency range |θw| ≥ ϑwh, which is with a prescribed l2 gain γ1 from w(k) to e(k),i.e., the condition (16) holds if there exist a scalar ε1 > 0,matrices X, Y, N, Af, f, Cf and

P ι i T = P ι i = [ P ι i 1 P ι i 2 P ι i 3 ] , P κ i T = P κ i = [ P κ i 1 P κ i 2 P κ i 3 ] , i T = i = [ i 1 i 2 i 3 ] , Q κ i T = Q κ i = [ Q κ i 1 Q κ i 2 Q κ i 3 ] > 0
with ι, κ ∈ {1, 2} such that the following conditions hold
Ψ < 0
where
Ψ = [ P ι i 1 P ι i 2 P ι i 3 Q κ i 1 X Q κ i 2 T N Ψ 3 3 Q κ i 2 Y Q κ i 3 N Ψ 4 3 Ψ 4 4 0 0 Ψ 5 3 Ψ 5 4 Ψ 5 5 0 0 0 0 i 2 i 3 0 0 B T X T B T Y T 0 0 γ 1 2 I 0 0 E C f 0 0 0 I 0 0 f T f T 0 0 0 0 ɛ 1 I ]
and
Ψ 3 3 ( κ = 1 ) = P κ i 1 2 cos ϑ w h Q κ i 1 + i 1 + δ q 2 ɛ 1 C T F i T F i C + H e ( X A + f F i C ) , Ψ 3 3 ( κ = 2 ) = P κ i 1 2 cos ϑ w h Q κ i 1 + i 1 + H e ( X A ) , Ψ 4 3 ( κ = 1 ) = P κ i 2 2 cos ϑ w h Q κ i 2 + i 2 + f F i C + A f T + Y A , Ψ 4 3 ( κ = 2 ) = P κ i 2 2 cos ϑ w h Q κ i 2 + i 2 + A f T + Y A , Ψ 4 4 = P κ i 3 2 cos ϑ l Q κ i 3 + i 3 + H e ( A f ) , Ψ 5 3 ( κ = 1 ) = Ω 5 4 ( κ = 1 ) = 0 , Ψ 5 3 ( κ = 2 ) = Ω 5 4 ( κ = 2 ) = C T F i T f T Ψ 5 5 ( κ = 1 ) = i 1 , Ψ 5 5 ( κ = 2 ) = i 1 + δ q 1 ɛ 1 C T F i T F i C

Proof

By following the same lines of Theorem 1, it is immediate.

3.2. Low Frequency Performance from ysi(k) to e(k)

In this subsection, sufficient conditions to capture the low frequency performance (17) for system (10) will be deduced.

Theorem 15

Consider system (10) in faulty cases (i.e., i = 1,…, q) for given low frequency range |θs| ≤ ϑsl, which is with a prescribed low frequency l2 gain γ2 for nonzero ysi(k),i.e., condition (17) holds, if there exist a scalar ε2 > 0, matrices X, Y, N, Af, f, Cf and

P s ι i T = P s ι i = [ P s ι i 1 P s ι i 2 P s ι i 3 ] , P s κ i T = P s κ i = [ P s κ i 1 P s κ i 2 P s κ i 3 ] , s i T = s i = [ s i 1 s i 2 s i 3 ] , Q s κ i T = Q s κ i = [ Q s κ i 1 Q s κ i 2 Q s κ i 3 ] > 0
with ι, κ ∈ {1, 2} such that the following conditions hold
Ω < 0
where
Ω = [ P s ι i 1 P s ι i 2 P ι i 3 Q s κ i 1 X Q s κ i 2 T N Ω 3 3 Q s κ i 2 Y Q s κ i 3 N Ω 4 3 Ω 4 4 0 0 Ω 5 3 Ω 5 4 Ω 5 5 0 0 0 0 s i 2 s i 3 0 0 ( I F i ) T f T ( I F i ) T f T 0 0 Ω 7 7 0 0 E C f 0 0 0 I 0 0 f T f T 0 0 0 0 ɛ 2 I ]
and
Ω 3 3 ( κ = 1 ) = P s κ i 1 2 cos ϑ s l Q s κ i 1 + s i 1 + δ q 2 ɛ 2 C T F i T F i C + H e ( X A + f F i C ) , Ω 3 3 ( κ = 1 ) = P s κ i 1 2 cos ϑ s l Q s κ i 1 + s i 1 + H e ( X A ) , Ω 4 3 ( κ = 1 ) = P s κ i 2 2 cos ϑ s l Q s κ i 2 + s i 2 + f F i C + A f T + Y A , Ω 4 3 ( κ = 2 ) = P s κ i 2 2 cos ϑ s l Q s κ i 2 + s i 2 + A f T + Y A , Ω 4 4 = P s κ i 3 2 cos ϑ l Q s κ i 3 + s i 3 + H e ( A f ) , Ω 5 3 ( κ = 1 ) = 0 , Ω 5 3 ( κ = 2 ) = C T F i T f T Ω 5 5 ( κ = 1 ) = s i 1 , Ω 5 5 ( κ = 2 ) = s i 1 + δ q 2 ɛ 2 C T F i T F i C Ω 7 7 = γ 2 2 I + δ q 2 ɛ 2 ( I F i ) T ( I F i ) ,

Proof

It is easily derived, from Lemma 8 and Remark 10, that the condition (17) holds if

[ A σ k i A σ k d i s i I 0 0 ] T Ξ d [ A σ k i A σ k d i s i I 0 0 ] + [ C 0 0 0 0 I ] T [ C 0 0 0 0 I ] + [ I 0 0 0 I 0 ] T [ s i 0 0 s i ] [ I 0 0 0 I 0 ] < 0
where Ξd has the similar structure as in Lemma 8 for low frequency case.

Following the same process in Theorem 11, we first rewrite the inequality (33) to the following form,

𝕷 Θ 𝕷 T < 0
where 𝕷 = [ A κ i T I 0 0 A κ d i T 0 I 0 f i T 0 0 I ] and
Θ = [ P s ι i Q s κ i Q s κ i P s κ i 2 cos ϑ s l Q s κ i + s i + C T C 0 0 s i 0 0 0 γ 2 2 I ]

Exploiting Lemma 6 and explicit null space bases calculations on it, we have Equation (34) is equivalent to

Ξ + H e ( 𝕷 [ 0 W T 0 0 ] ) < 0
that is
[ P s ι i Q κ i W P s κ i 2 cos ϑ s l Q s κ i + s i + H e ( W A κ i ) 0 A κ d i T W T i 0 f i T W T 0 γ 2 2 I 0 C 0 0 I ] < 0
where W is a matrix variable introduced by Lemma 8 and Sensors 12 07975i2 = [−I AκiAκdi fi] is utilized.

By applying Lemma 7 on Equation (35), the inequality Equation (32) can be reached easily This proof is completed.

3.3. Stability Condition

Since Theorems 1 and 2 presented in the above section cannot guarantee the stability of the system (10), in this subsection, asymptotical stability conditions for system (10) will be presented.

Theorem 16

Consider system (10) in fault free and faulty cases (i.e., i = 0, 1,…, q), it is asymptotical stable when w(k) = 0 and ysi(k) = 0,if there exist a scalar ε3 > 0,matrices X, Y, N, Af, f, Cf and

P a ι i T = P a ι i = [ P a ι i 1 P a ι i 2 P a ι i 3 ] > 0 P a κ i T = P a κ i = [ P a κ i 1 P a κ i 2 P a κ i 3 ] > 0 R a i T = R a i = [ R a i 1 R a i 2 R a i 3 ] > 0
with ι, κ ∈ {1, 2} such that the following conditions hold
Φ < 0
where
Φ = [ P a ι i 1 H e ( X ) P a ι i 2 Y N T P a ι i 3 H e ( X ) Φ 3 1 Φ 3 2 Φ 3 3 A f T A f T P a κ i 2 + a i 2 P a κ i 3 + a i 3 Φ 5 1 Φ 5 2 0 0 Φ 5 5 0 0 0 0 a i 2 a i 3 f T f T 0 0 0 0 ɛ 3 I ]
and
Φ 3 1 ( κ = 1 ) = A T X T + C T F i T f T , Φ 3 1 ( κ = 2 ) = A T X T , Φ 3 2 ( κ = 1 ) = A T Y T + C T F i T f T , Φ 3 2 ( κ = 2 ) = A T Y T , Φ 3 3 ( κ = 1 ) = P a κ i 1 + a i 1 + δ q 2 ɛ 3 C T F i T F i C , Φ 3 3 ( κ = 2 ) P a κ i 1 + a i 1 , Φ 5 1 ( κ = 1 ) = Φ 5 2 ( κ = 1 ) = 0 , Φ 5 1 ( κ = 2 ) = Φ 5 2 ( κ = 2 ) = C T F i T f T , Φ 5 5 ( κ = 1 ) = a i 1 , Φ 5 5 ( κ = 2 ) = a i 1 + δ q 2 ɛ 3 C T F i T F i C .

Proof

Consider the following Lyapunov functional candidate for w(k) = 0 and ysi(k) = 0

V κ i ( k ) = ζ T ( k ) P a κ i ζ ( k ) + ζ T ( k 1 ) a i ζ ( k 1 )

The forward difference of the Lyapunov functional Vi(k) along the trajectories of the system (10) is given by

Δ V κ i ( k ) = V ι i ( k + 1 ) V κ i ( k ) = ζ T ( k ) ( A κ i T P a ι i A κ i P a ι i + a i ) ζ ( k ) + ζ T ( k ) ( A κ i T P a ι i A κ d i ) ζ ( k 1 ) + ζ T ( k 1 ) ( A κ d i T P a ι i A κ i ) = ξ T ( k ) ϒ κ i ξ ( k ) ζ ( k ) + ζ T ( k 1 ) ( A κ d i T P a ι i A κ d i a i ) ζ ( k 1 )
where ζ(k) = [ζT (k) ζT(k − 1)]T and
ϒ κ i = [ A κ i T P a ι i A κ i P a ι i + a i A κ d i T P a ι i A κ i A κ i T P a ι i A κ d i a i ]

By following an opposite direction to the proof for Theorem 11 and exploiting Schur's complement and Lemma 7 on Equation (36), we have γκi < 0, which implies that ΔVκi(k) < 0. Therefore, from Equation (38), one can easily obtain, for a sufficiently small scalar ρ > 0 and ζ(k) ≠ 0, that

Δ V k i ( k ) < ρ ς ( k ) 2
Then, from Definition 4, the asymptotical stability of system (10) can be established. This proof is completed.

3.4. Algorithm

Based on the above analysis, a set of optimal solutions Af, f and Cf can be obtained by solving the following optimization problem for given δq:

min a γ 1 + b γ 2 s . t . ( 25 ) , for i = 0 , 1 , , q , ( 32 ) , for i = 1 , 2 , , q , ( 36 ) , for i = 0 , 1 , , q ,
where a and b are weighting factors.

Then the dynamic output feedback controller gains can be computed by the following equalities:

A f = N 1 A f , B f = N 1 f , C f = C f

Remark 17

On the other hand, we can obtain a coarser quantizer through solving the following optimization problem for given finite-frequency l2 gains γ2 and γ2

max δ q s . t . ( 25 ) , for i = 0 , 1 , , q ( 32 ) , for i = 1 , 2 , , q ( 36 ) , for i = 0 , 1 , , q

4. Example

In this section, an application and simulations are given to illustrate the effectiveness of the proposed methods.

The utilized model is the F-404 aircraft engine described by the following state space model [31],

x ˙ ( t ) = [ 1.4600 0 2.4280 0.1643 0.4000 0.3788 0.3107 0 2.2300 ] x ( t ) + [ 0.09 0.14 0.02 ] w ( t ) y ( t ) = [ 1 1 0 0 1 1 ] x ( t ) z ( t ) = [ 0.2 0.7 0.5 0.3 0.6 0.4 ] x ( t )

Assume the sampling period is h = 1s, and packet transmission is as shown in Figure 2, which is subject to the rate of packet lost 1 − δ̄ = 0.32.

For given ϑwl = 0.2, ϑsl = 0 and δq = 0.6, solving the optimization problem (40), we can obtain the optimal value for low frequency performances are, respectively, γ1 = 0.0825 and γ2 = 0.0378 with the corresponding reliable filter parameters

x ˜ ( k + 1 ) = [ 0.1454 0.0418 0.0447 0.7084 0.1740 0.1958 0.0246 0.0061 0.0620 ] x ˜ ( k ) + [ 0.0813 0.0813 0.2741 0.2741 0.0049 0.0049 ] y c i ( k ) z ˜ ( k ) = [ 0.7055 0.8941 0.0583 1.2318 0.7672 1.4227 ] x ˜ ( k )

In the following, the system is simulated in low frequency domain, where the faults always occur, under the following two fault modes with zero initial condition and the disturbance input w(k) is

w ( k ) = { 0.5 sin ( k ) , 10 k 15 0 , otherwise
which is shown in Figure 3.

Mode 1

The first sensor being stuck at 0, i.e.,

F = [ 0 0 0 1 ]
and ysi(k) = 0 when k > 30.

Mode 2

The second sensor being stuck at 0, i.e.,

F = [ 1 0 0 0 ]
and ysi(k) = 0 when k > 30.

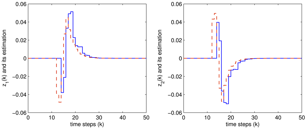
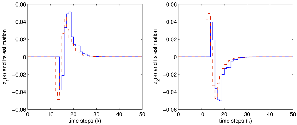
The controlled outputs and the corresponding estimations for both the two fault modes are shown in Figures 4 and 5, respectively, where the blue solid lines are the controlled output while the red dashed lines are their estimations.

It is easily seen from these figures that all the expected system performance requirement are well achieved, which shows the effectiveness of the proposed method.

5. Conclusions

In this paper, the reliable finite frequency filtering problem for NCSs subject to quantization and packet have been studied with finite frequency specifications when sensor fault would occur. The considered NCSs have been first modeled as a discrete time-delay switched system. Subsequently, a sufficient condition to characterize the finite frequency l2 gain has been presented. Then by virtues of the derived condition, a procedure of reliable filter synthesis has been derived in terms of LMIs. Finally, an example has been given to illustrated the effectiveness of the proposed method.

Acknowledgments

The authors greatly appreciate the editor, associate editor and anonymous referees for their insightful comments and suggestions that have significantly improved this article. This research has been supported by the Funds of National Science of China (Grant No. 61004061, 60975065).

References

  1. Dačić, D.B.; Nešić, D. Quadratic stabilization of linear networked control systems via simultaneous protocol and controller design. Automatica 2007, 43, 1145–1155. [Google Scholar]
  2. Yang, R.N.; Shi, P.; Liu, G.P.; Gao, H.J. Network-based feedback control for systems with mixed delays based on quantization and dropout compensation. Automatica 2011, 47, 2805–2809. [Google Scholar]
  3. Yang, H.J.; Xia, Y.Q.; Shi, P. Stabilization of networked control systems with nonuniform random sampling periods. Int. J. Robust Nonlinear Control 2011, 21, 501–526. [Google Scholar]
  4. Wang, Y.L.; Yang, G.H. Time delay and packet dropout compensation for networked control systems: A linear estimation method. Int. J. Control 2010, 81, 115–124. [Google Scholar]
  5. Yang, F.W.; Wang, Z.D.; Hung, Y.S. H control for networked systems with random communication delays. IEEE Trans. Autom. Control 2006, 51, 511–518. [Google Scholar]
  6. Luan, X.L.; Shi, P.; Liu, F. Stabilization of networked control systems with random delays. IEEE Transa. Ind. Electron. 2011, 58, 4323–4330. [Google Scholar]
  7. Yue, D.; Han, Q.L.; Lam, J. Network-based robust H control of systems with uncertainty. Automatica 2005, 41, 999–1007. [Google Scholar]
  8. Liu, A.D.; Yu, L.; Zhang, W.A. H control for network-based systems with time-varying delay and packet disording. J. Frankl. Inst. 2011, 348, 917–932. [Google Scholar]
  9. Lin, H.; Antsaklis, P.J. Stability and persistent disturbance attenuation properties for a class of networked control systems: Switched system approach. Int. J. Control 2005, 78, 1447–1458. [Google Scholar]
  10. Xiong, J.; Lam, J. Stabilization of linear systems over networks with bounded packet loss. Automatica 2007, 43, 80–87. [Google Scholar]
  11. Fu, M.Y.; Xie, L.H. Finite-level quantized feedback control for linear systems. IEEE Trans. Autom. Control 2009, 54, 1165–1170. [Google Scholar]
  12. Fu, M.Y.; Xie, L.H. The sector bound approach to quantized feedback control. IEEE Trans. Autom. Control 2005, 50, 1698–1711. [Google Scholar]
  13. Basin, M.; Loukianov, A.; Hernandez-Gonzalez, M. Mean-square filtering for uncertain linear stochastic systems. Signal Process. 2010, 90, 1916–1923. [Google Scholar]
  14. Pan, S.; Sun, J.; Zhao, S. Robust filtering for discrete time piecewise impulsive systems. Signal Process. 2010, 90, 324–330. [Google Scholar]
  15. Yang, R.N.; Shi, P.; Liu, G.P. Filtering for discrete-time networked nonlinear systems with mixed random delays and packet dropouts. IEEE Trans. Autom. Control 2011, 56, 2655–2660. [Google Scholar]
  16. Shi, S.H.; Yuan, Z.H.; Zhang, Q.L. Fault-tolerant H filter design of a class of switched systems with sensor failures. Int. J. Innov. Comput. Inf. Control 2009, 5, 3827–3838. [Google Scholar]
  17. Ding, D.W.; Yang, G.H. Fuzzy filter design for nonlinear systems in finite-frequency domain. IEEE Trans. Fuzzy Syst. 2010, 18, 935–945. [Google Scholar]
  18. Du, D.S.; Jiang, B.; Shi, P. Sensor fault estimation and compensation for time-delay switched systems. Int. J. Syst. Sci. 2012, 43, 629–640. [Google Scholar]
  19. Gao, Z.F.; Jiang, B.; Shi, P.; Cheng, Y.H. Sensor fault estimation and compensation for microsatellite attitude control systems. Int. J. Control Autom. Syst. 2010, 8, 228–237. [Google Scholar]
  20. Takahashi, M. Self-repairing control against sensor failures. Int. J. Innov. Comput. Inf. Control 2008, 4, 2919–2926. [Google Scholar]
  21. Cheng, Y.H.; Jiang, B.; Fu, Y.P.; Gao, Z.F. Robust observer based reliable control for satellite attitude control systems with sensor faults. Int. J. Innov. Comput. Inf. Control 2011, 7, 4149–4160. [Google Scholar]
  22. Liu, L.; Wang, J.; Yang, G. Reliable guaranteed variance filtering against sensor failure. Signal Process. 2003, 51, 1403–1411. [Google Scholar]
  23. Yang, G.H.; Ye, D. Adaptive reliable H filtering against sensor failures. IEEE Trans. Signal Process. 2007, 55, 3161–3171. [Google Scholar]
  24. Wang, F.; Zhang, Q. LMI-based reliable H filtering with sensor failure. Int. J. Innov. Comput. Inf. Control 2006, 2, 737–748. [Google Scholar]
  25. Guo, X.G.; Yang, G.H. Reliable H filter design for discrete-time systems with sector-bounded nonlinearities: An LMI optimization. Acta Autom. Sin. 2009, 35, 1347–1351. [Google Scholar]
  26. Gao, H.; Zhao, Y.; Lam, J.; Chen, K. H fuzzy filtering of nionlinear system with intermittent measurements. IEEE Trans. Fuzzy Syst. 2009, 17, 291–300. [Google Scholar]
  27. Liu, Y.S.; Wang, Z.D.; Wang, W. Reliable H filtering for discrete time-delay systems with randomly occured nonlinearities via delay-partitioning method. Signal Process. 2011, 91, 713–727. [Google Scholar]
  28. Yang, G.H.; Wang, H. Fault detection for linear uncertain systems with sensor faults. IET Control Theory Appl. 2010, 4, 923–935. [Google Scholar]
  29. Elia, N.; Mitter, S.K. Stabilization of linear systems with limited information. IEEE Trans. Autom. Control 2001, 46, 1384–1400. [Google Scholar]
  30. Ray, A. Output feedback control under randomly carying distributed delays. J. Guid. Control Dyn. 1994, 17, 701–711. [Google Scholar]
  31. Li, X.J.; Yang, G.H. Fault detection for linear stochastic systems with sensor stuck faults. Optim. Control Appl. Methods 2012, 33, 61–80. [Google Scholar]
Figure 1. Structure of the Networked Control Systems.
Figure 1. Structure of the Networked Control Systems.
Sensors 12 07975f1 1024
Figure 2. The number of the lost packet.
Figure 2. The number of the lost packet.
Sensors 12 07975f2 1024
Figure 3. The disturbance input w(k).
Figure 3. The disturbance input w(k).
Sensors 12 07975f3 1024
Figure 4. The z(k) (blue solid) and (k) (red dashed) when faulty mode 1 occurred.
Figure 4. The z(k) (blue solid) and (k) (red dashed) when faulty mode 1 occurred.
Sensors 12 07975f4 1024
Figure 5. The z(k) (blue solid) and (k) (red dashed) when faulty mode 2 occurred.
Figure 5. The z(k) (blue solid) and (k) (red dashed) when faulty mode 2 occurred.
Sensors 12 07975f5 1024

Share and Cite

MDPI and ACS Style

Ju, H.-H.; Long, Y.; Wang, H. Reliable Finite Frequency Filter Design for Networked Control Systems with Sensor Faults. Sensors 2012, 12, 7975-7993. https://doi.org/10.3390/s120607975

AMA Style

Ju H-H, Long Y, Wang H. Reliable Finite Frequency Filter Design for Networked Control Systems with Sensor Faults. Sensors. 2012; 12(6):7975-7993. https://doi.org/10.3390/s120607975

Chicago/Turabian Style

Ju, He-Hua, Yue Long, and Heng Wang. 2012. "Reliable Finite Frequency Filter Design for Networked Control Systems with Sensor Faults" Sensors 12, no. 6: 7975-7993. https://doi.org/10.3390/s120607975

APA Style

Ju, H.-H., Long, Y., & Wang, H. (2012). Reliable Finite Frequency Filter Design for Networked Control Systems with Sensor Faults. Sensors, 12(6), 7975-7993. https://doi.org/10.3390/s120607975

Article Metrics

Back to TopTop