Demographic Characteristics of Elasmobranch Fishes in the Khor Faridah Region (Abu Dhabi) Using a Stereo-BRUVS Approach
Abstract
1. Introduction
2. Materials and Methods
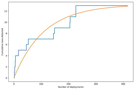
3. Results
4. Discussion
Author Contributions
Funding
Institutional Review Board Statement
Data Availability Statement
Acknowledgments
Conflicts of Interest
References
- Dulvy, N.K.; Simpfendorfer, C.A.; Davidson, L.N.K.; Fordham, S.V.; Bräutigam, A.; Sant, G.; Welch, D.J. Challenges and priorities in shark and ray conservation. Curr. Biol. 2017, 27, R565–R572. [Google Scholar] [CrossRef] [PubMed]
- Dulvy, N.K.; Fowler, S.L.; Musick, J.A.; Cavanagh, R.D.; Kyne, P.M.; Harrison, L.R.; Carlson, J.K.; Davidson, L.N.; Fordham, S.V.; Francis, M.P.; et al. Extinction risk and conservation of the world’s sharks and rays. eLife 2014, 3, e00590. [Google Scholar] [CrossRef] [PubMed]
- Bakker, J.; Wangensteen, O.S.; Chapman, D.D.; Boussarie, G.; Buddo, D.; Guttridge, T.L.; Hertler, H.; Mouillot, D.; Vigliola, L.; Mariani, S. Environmental DNA reveals tropical shark diversity in contrasting levels of anthropogenic impact. Sci. Rep. 2017, 7, 16886. [Google Scholar] [CrossRef]
- Jennings, D.E.; Gruber, S.H.; Franks, B.R.; Kessel, S.T.; Robertson, A.L. Effects of large-scale anthropogenic development on juvenile lemon shark (Negaprion brevirostris) populations of Bimini, Bahamas. Environ. Biol. Fishes 2008, 83, 369–377. [Google Scholar] [CrossRef]
- Worm, B.; Davis, B.; Kettemer, L.; Ward-Paige, C.A.; Chapman, D.; Heithaus, M.R.; Kessel, S.T.; Gruber, S.H. Global catches, exploitation rates, and rebuilding options for sharks. Mar. Policy 2013, 40, 194–204. [Google Scholar] [CrossRef]
- Jabado, R.W.; Al Ghais, S.M.; Hamza, W.; Henderson, A.C. The shark fishery in the United Arab Emirates: An interview based approach to assess the status of sharks. Aquat. Conserv. 2015, 25, 800–816. [Google Scholar] [CrossRef]
- Walker, T.I. Can shark resources be harvested sustainably? A question revisited with a review of shark fisheries. Mar. Freshw. Res. 1998, 49, 553–572. [Google Scholar] [CrossRef]
- Ward-Paige, C.A.; Worm, B. Global evaluation of shark sanctuaries. Glob. Environ. Change 2017, 47, 174–189. [Google Scholar] [CrossRef]
- Hsu, H.H.; Yacoubi, L.; Lin, Y.J.; Le Loc’h, F.; Katsanevakis, S.; Giovos, I.; Qurban, M.A.; Nazeer, Z.; Panickan, P.; Maneja, R.H.; et al. Elasmobranchs of the western Arabian Gulf: Diversity, status, and implications for conservation. Reg. Stud. Mar. Sci. 2022, 56, 102637. [Google Scholar] [CrossRef]
- Navarro, J.; Rastgoo, A.R.; Giménez, J. Unravelling the trophic ecology of poorly studied and threatened elasmobranchs inhabiting the Persian Gulf and Gulf of Oman. Mar. Biol. 2024, 171, 24. [Google Scholar] [CrossRef]
- Jabado, R.W.; Al Ghais, S.M.; Hamza, W.; Shivji, M.S.; Henderson, A.C. Shark diversity in the Arabian/Persian Gulf higher than previously thought: Insights based on species composition of shark landings in the United Arab Emirates. Mar. Biodivers. 2015, 45, 719–731. [Google Scholar] [CrossRef]
- Moore, A.B.M.; McCarthy, I.D.; Carvalho, G.R.; Peirce, R. Species, sex, size and male maturity composition of previously unreported elasmobranch landings in Kuwait, Qatar and Abu Dhabi Emirate. J. Fish. Biol. 2012, 80, 1619–1642. [Google Scholar] [CrossRef] [PubMed]
- Jabado, R.W.; Kyne, P.M.; Pollom, R.A.; Ebert, D.A.; Simpfendorfer, C.A.; Ralph, G.M.; Al Dhaheri, S.S.; Akhilesh, K.V.; Ali, K.; Ali, M.H.; et al. Troubled waters: Threats and extinction risk of the sharks, rays and chimaeras of the Arabian Sea and adjacent waters. Fish Fish. 2018, 19, 1043–1062. [Google Scholar] [CrossRef]
- Henderson, A.C.; Al-Oufi, H.; McIlwain, J.L. Survey, Status and Utilization of the Elasmobranch Fishery Resources of the Sultanate of Oman; Ministry of Agriculture and Fisheries: Muscat, Oman, 2008.
- Henderson, A.C.; McIlwain, J.L.; Al-Oufi, H.S.; Al-Sheili, S. The Sultanate of Oman shark fishery: Species composition, seasonality and diversity. Fish. Res. 2007, 86, 159–168. [Google Scholar] [CrossRef]
- Moore, A.B.M. Elasmobranchs of the Persian (Arabian) Gulf: Ecology, human aspects and research priorities for their improved management. Rev. Fish Biol. Fish. 2011, 22, 35–61. [Google Scholar] [CrossRef]
- Riegl, B.M.; Purkis, S.J.; Al-Cibahy, A.S.; Abdel-Moati, M.A.; Hoegh-Guldberg, O. Present limits to heat-adaptability in corals and population-level responses to climate extremes. PLoS ONE 2011, 6, e24802. [Google Scholar] [CrossRef]
- Wabnitz, C.C.; Lam, V.W.Y.; Reygondeau, G.; Teh, L.C.L.; Al-Abdulrazzak, D.; Khalfallah, M.; Pauly, D.; Palomares, M.L.D.; Zeller, D.; Cheung, W.W.L. Climate change impacts on marine biodiversity, fisheries and society in the Arabian Gulf. PLoS ONE 2018, 13, e0194537. [Google Scholar] [CrossRef]
- Cappo, M.; Speare, P.; De’Ath, G. Comparison of baited remote underwater video stations (BRUVS) and prawn (shrimp) trawls for assessments of fish biodiversity in inter-reefal areas of the Great Barrier Reef Marine Park. J. Exp. Mar. Biol. Ecol. 2004, 302, 123–152. [Google Scholar] [CrossRef]
- Santana-Garcon, J.; Braccini, M.; Langlois, T.J.; Newman, S.J.; Mcauley, R.B.; Harvey, E.S. Calibration of pelagic stereo-BRUVs and scientific longline surveys for sampling sharks. Methods Ecol. Evol. 2014, 5, 824–833. [Google Scholar] [CrossRef]
- Whitmarsh, S.K.; Fairweather, P.G.; Huveneers, C. What is Big BRUVver up to? Methods and uses of baited underwater video. Rev. Fish Biol. Fish. 2017, 27, 53–73. [Google Scholar] [CrossRef]
- Dorman, S.R.; Harvey, E.S.; Newman, S.J. Bait Effects in Sampling Coral Reef Fish Assemblages with Stereo-BRUVs. PLoS ONE 2012, 7, e41538. [Google Scholar] [CrossRef] [PubMed]
- Brooks, E.J.; Sloman, K.; Sims, D.W.; Danylchuk, A.J. Validating the use of baited remote underwater video surveys for assessing the diversity, distribution and abundance of sharks in the Bahamas. Endanger. Species Res. 2011, 13, 231–243. [Google Scholar] [CrossRef]
- Cappo, M.; Harvey, E.; Shortis, M. Counting measuring fish with baited video techniques-an overview In Cutting-Edge Technologies in Fish and Fisheries Science; Lyle, J.M., Furlani, D.M., Buxton, C.D., Eds.; Australian Society for Fish Biology: Hobart, Australia, 2006; pp. 101–114. [Google Scholar]
- Espinoza, M.; Araya-Arce, T.; Chaves-Zamora, I.; Chinchilla, I.; Cambra, M. Monitoring elasmobranch assemblages in a data-poor country from the Eastern Tropical Pacific using baited remote underwater video stations. Sci. Rep. 2020, 10, 17175. [Google Scholar] [CrossRef] [PubMed]
- Espinoza, M.; Cappo, M.; Heupel, M.R.; Tobin, A.J.; Simpfendorfer, C.A. Quantifying Shark Distribution Patterns and Species-Habitat Associations: Implications of Marine Park Zoning. PLoS ONE 2014, 9, e106885. [Google Scholar] [CrossRef]
- Knip, D.; Heupel, M.; Simpfendorfer, C. Sharks in nearshore environments: Models, importance, and consequences. Mar. Ecol. Prog. Ser. 2010, 402, 1–11. [Google Scholar] [CrossRef]
- Jabado, R.W.; Al Hameli, S.M.; Grandcourt, E.M.; Al Dhaheri, S.S. Low abundance of sharks and rays in baited remote underwater video surveys in the Arabian Gulf. Sci. Rep. 2018, 8, 15597. [Google Scholar] [CrossRef]
- Al Hameli, S.; Bruns, S.; Henderson, A.C. Notable abundance of two Critically Endangered elasmobranch fishes near an area of intensive coastal development in the Arabian Gulf. Endanger. Species Res. 2024, 53, 89–95. [Google Scholar] [CrossRef]
- Ellis, D.M.; DeMartini, E.E. Evaluation of a video camera technique for indexing abundances of juvenile pink snapper, Pristipomoides filamentosus, and other Hawaiian insular shelf fishes. Oceanogr. Lit. Rev. 1995, 9, 786. [Google Scholar]
- Priede, I.G.; Bagley, P.M.; Smith, A.; Creasey, S.; Merrett, N.R. Scavenging deep demersal fishes of the Porcupine Seabight, north-east Atlantic: Observations by baited camera, trap and trawl. J. Mar. Biol. Assoc. 1994, 74, 481–498. [Google Scholar] [CrossRef]
- Sherman, C.S.; Chin, A.; Heupel, M.R.; Simpfendorfer, C.A. Are we underestimating elasmobranch abundances on baited remote underwater video systems (BRUVS) using traditional metrics? J. Exp. Mar. Biol. Ecol. 2018, 503, 80–85. [Google Scholar] [CrossRef]
- Bruns, S.; Henderson, A. A baited remote underwater video system (BRUVS) assessment of elasmobranch diversity and abundance on the eastern Caicos Bank (Turks and Caicos Islands); an environment in transition. Environ. Biol. Fishes 2020, 103, 1001–1012. [Google Scholar] [CrossRef]
- Ebert, D.A.; Dando, M. Fowler S Sharks of the World: A Complete Guide; Princeton University Press: Princeton, NJ, USA, 2021. [Google Scholar]
- Last, P.; White, W.T.; Carvalho, M.R.; de Séret, B.; Stehmann, M.F.W.; Naylor, G.J.P.; McEachran, J.D. Rays of the World; CSIRO Publishing: Hobart, Australia, 2016. [Google Scholar] [CrossRef]
- Arlyza, I.S.; Shen, K.N.; Solihin, D.D.; Soedharma, D.; Berrebi, P.; Borsa, P. Species boundaries in the Himantura uarnak species complex (Myliobatiformes: Dasyatidae). Mol. Phylogenet. Evol. 2013, 66, 429–435. [Google Scholar] [CrossRef] [PubMed]
- Henderson, A.C. A review of potential taxonomic barriers to the effective management of Gulf elasmobranch fisheries. Aquat. Ecosyst. Health Manag. 2020, 23, 210–219. [Google Scholar] [CrossRef]
- Manjaji-Matsumoto, B.M.; Last, P.R. Two new whiprays Maculabatis arabica sp nov, M. bineeshi sp. nov. (Myliobatiformes: Dasyatidae), from the northern Indian Ocean. Zootaxa 2016, 4144, 335–353. [Google Scholar] [CrossRef] [PubMed]
- Bishop, J.M.; Moore, A.B.M.; Alsaffar, A.H.; Abdul Ghaffar, A.R. The distribution, diversity and abundance of elasmobranch fishes in a modified subtropical estuarine system in Kuwait. J. Appl. Ichthyol. 2016, 32, 75–82. [Google Scholar] [CrossRef]
- Jabado, R.W.; Antonopoulou, M.; Möller, M.; Al Suweidi, A.S.; Al Suwaidi, A.M.; Mateos-Molina, D. Baited Remote Underwater Video Surveys to assess relative abundance of sharks and rays in a long standing and remote marine protected area in the Arabian Gulf. J. Exp. Mar. Biol. Ecol. 2021, 540, 151565. [Google Scholar] [CrossRef]
- Anonymous. United Arab Emirates National Plan of Action for the Conservation and Management of Sharks; United Arab Emirates Ministry of Climate Change & Environment: Abu Dhabi, United Arab Emirates, 2018.
- Ben-Hasan, A.; Christensen, V. Vulnerability of the marine ecosystem to climate change impacts in the Arabian Gulf—An urgent need for more research. Glob. Ecol. Conserv. 2019, 17, e00556. [Google Scholar] [CrossRef]
- Anderson, C.R.; Simpfendorfer, C.A. Sharks Rays Chimaeras: The Status of the Chondrichthyan Fishes in Sharks Rays Chimaeras: The Status of the Chondrichthyan Fishes; IUCN: Gland, Switzerland, 2005; pp. 140–149. Available online: https://policycommons.net/artifacts/1376361/sharks-rays-and-chimaeras/1990624/ (accessed on 23 October 2021).
- Hamza, W.; Munawar, M. Protecting and managing the Arabian Gulf: Past, present and future. Aquat. Ecosyst. Health Manag. 2009, 12, 429–439. [Google Scholar] [CrossRef]
- Manjaji-Matsumoto, B.M.; Last, P.R. Himantura leoparda sp nov a new whipray (Myliobatoidei: Dasyatidae) from the Indo-Pacific. In Descriptions of New Australian Chondrichthyans; Last, P.R., White, W.T., Pogonoski, J.J., Eds.; CSIRO Publishing: Hobart, Australia, 2008; pp. 293–301. [Google Scholar]
- Tsikliras, A.C.; Dimarchopoulou, D. Filling in knowledge gaps: Length–weight relations of 46 uncommon sharks and rays (Elasmobranchii) in the Mediterranean Sea. Acta Ichthyol. Piscat. 2021, 51, 249–255. [Google Scholar] [CrossRef]
- White, W.T.; Last, P.R.; Stevens, J.D.; Yearsley, G.K.; Fahmi, D. Economically Important Sharks and Rays of Indonesia; Australian Centre for International Agricultural Research: Canberra, Australia, 2006.
- Al-Faisal, A.; Mutlak, F. New record of Arabic whipray, Maculabatis arabica (Elasmobranchii: Myliobatiformes: Dasyatidae), from the Persian Gulf off Iraq. Acta Ichthyol. Piscat. 2020, 50, 471–474. [Google Scholar] [CrossRef]
- Alhajji, A.H.; Hsu, H.H.; Alkhamis, Y.A.; Alsaqufi, A.S.; Ajmal Khan, S.; Nazeer, Z. Maturity and reproduction in the Arabian carpet shark, Chiloscyllium arabicum from the Saudi Arabian waters of the Arabian Gulf. Mar. Biol. Res. 2022, 18, 361–18371. [Google Scholar] [CrossRef]
- Purushottama, G.B.; Raje, T.; Akhilesh, K.V.; Kizhakudan, S.J.; Zacharia, P.U. Reproductive biology and diet composition of Rhynchobatus laevis (Bloch and Schneider, 1801) (Rhinopristiformes:Rhinidae) from the northern Indian Ocean. Indian J. Fish. 2020, 67, 13–23. [Google Scholar] [CrossRef]
- Wulandari, T.L.; Taurusman, A.A.; Nurani, T.W.; Yuwandana, D.P.; Muttaqin, E.; Yulianto, I.; Simeon, B.M. Catch composition, sex ratio, and clasper maturity of wedgefish (Rhynchobatus spp.) landed in Tegalsari, Central Java, Indonesia. Aquac. Aquar. Conserv. Legis. 2021, 14, 3487–3499. [Google Scholar]
- Papastamatiou Yp Caselle Je Friedlander Am Lowe, C.G. Distribution, size frequency, and sex ratios of blacktip reef sharks Carcharhinus melanopterus at Palmyra Atoll: A predator-dominated ecosystem. J. Fish. Biol. 2009, 75, 647–654. [Google Scholar] [CrossRef]
- Smart, J.; Chin, A.; Tobin, A.; Simpfendorfer, C.; White, W. Age and growth of the common blacktip shark Carcharhinus limbatus from Indonesia, incorporating an improved approach to comparing regional population growth rates. Afr. J. Mar. Sci. 2015, 37, 177–188. [Google Scholar] [CrossRef]
- White, W.T. Aspects of the biology of carcharhiniform sharks in Indonesian waters. J. Mar. Biol. Assoc. 2007, 87, 1269–1276. [Google Scholar] [CrossRef]
- Giareta, E.P.; Leite, R.D.; Hauser-Davis, R.A.; Chaves, A.P.; Charvet, P.; Wosnick, N. Unveiling the batoid plight: Insights from global stranding data and future directions. Rev. Fish Biol. Fish. 2024, 34, 669. [Google Scholar] [CrossRef]
- Roskar, G.; McCallister, M.P.; Schaefer, A.M.; Ajemian, M.J. Elasmobranch community dynamics in Florida’s southern Indian River Lagoon. Estuaries Coasts 2021, 44, 801–817. [Google Scholar] [CrossRef]
- Wheeler, C.R.; Gervais, C.R.; Johnson, M.S.; Vance, S.; Rosa, R.; Mandelman, J.W.; Rummer, J.L. Anthropogenic stressors influence reproduction and development in elasmobranch fishes. Rev. Fish Biol. Fish. 2020, 30, 373–386. [Google Scholar] [CrossRef]
- Dean, M.N.; Bizzarro, J.J.; Clark, B.; Underwood, C.J.; Johanson, Z. Large batoid fishes frequently consume stingrays despite skeletal damage. R. Soc. Open Sci. 2017, 4, 170674. [Google Scholar] [CrossRef]
- Lucifora, L.O.; García, V.B.; Menni, R.C.; Escalante, A.H.; Hozbor, N.M. Effects of body size, age and maturity stage on diet in a large shark: Ecological and applied implications. Ecol. Res. 2009, 24, 109–118. [Google Scholar] [CrossRef]
- Sherman, C.S.; Heupel, M.R.; Moore, S.K.; Chin, A.; Simpfendorfer, C.A. When sharks are away, rays will play: Effects of top predator removal in coral reef ecosystems. Mar. Ecol. Prog. Ser. 2020, 641, 145–157. [Google Scholar] [CrossRef]
- Naser, H.A.; Abdulla, K.H. Coastal dredging and reclamation in the Arabian Gulf: Impacts and management. In Oceanographic and Marine Environmental Studies Around the Arabian Peninsula; CRC Press: Boca Raton, FL, USA, 2024. [Google Scholar]
- Mateos-Molina, D.; Bejarano, I.; Pittman, S.J.; Möller, M.; Antonopoulou, M.; Jabado, R.W. Coastal lagoons in the United Arab Emirates serve as critical habitats for globally threatened marine megafauna. Mar. Pollut. Bull. 2024, 200, 116–117. [Google Scholar] [CrossRef]
- Dulvy, N.K.; Bineesh, K.; Owfi, F.; Fernando, D.; Moore, A.B.M.; Ali, K. Maculabatis arabica Red List Status. In IUCN Red List of Threatened Species; IUCN: Gland, Switzerland, 2017. [Google Scholar] [CrossRef]
- Kyne, P.M.; Gledhill, K.; Jabado, R.W. Rhynchobatus djiddensis. In The IUCN Red List of Threatened Species 2019; IUCN: Gland, Switzerland, 2019. [Google Scholar] [CrossRef]
- Kyne, P.M.; Jabado, R.W. Glaucostegus halavi. In The IUCN Red List of Threatened Species 2019; IUCN: Gland, Switzerland, 2019. [Google Scholar] [CrossRef]











| Strata | Seagrass (%) | Mud Flat (%) | Patch Reef (%) | Rocky Reef (%) | Sand (%) |
|---|---|---|---|---|---|
| ID | 39.8 | 10.2 | 2.0 | 17.4 | 30.6 |
| IS | 58.3 | 1.4 | 1.4 | 5.2 | 33.7 |
| OU | 17.0 | 0.0 | 1.9 | 4.7 | 76.4 |
| Species | OPUE | |||
|---|---|---|---|---|
| Overall | ID | IS | OU | |
| Himantura complex | 0.345 | 0.271 | 0.469 | 0.168 |
| Maculabatis arabica | 0.088 | 0.064 | 0.120 | 0.049 |
| Chiloscyllium arabicum | 0.032 | 0.017 | 0.005 | 0.098 |
| Pastinachus sp. | 0.011 | 0.023 | 0.008 | 0.005 |
| Glaucostegus halavi | 0.011 | 0.006 | 0.003 | 0.033 |
| Pateobatis fai | 0.006 | 0.000 | 0.008 | 0.005 |
| Aetobatus ocellatus | 0.004 | 0.017 | 0.000 | 0.000 |
| Carcharhinus limbatus | 0.003 | 0.000 | 0.003 | 0.005 |
| Carcharhinus melanopterus | 0.003 | 0.006 | 0.000 | 0.005 |
| Rhynchobatus spp. | 0.001 | 0.000 | 0.000 | 0.005 |
| Rhynchobatus djiddensis | 0.001 | 0.000 | 0.000 | 0.005 |
| Negaprion acutidens | 0.001 | 0.000 | 0.000 | 0.005 |
| Unidentified Dasyatidae | 0.022 | 0.012 | 0.030 | 0.016 |
| Species | Depth (m) | Total Observations | Size LT/WD (cm) | ||||||
|---|---|---|---|---|---|---|---|---|---|
| Min | Max | Median | Female | Male | Unknown | Female | Male | Unknown | |
| Chiloscyllium arabicum | 1.6 | 5.9 | 3.9 | 13 | 10 | 0 | median = 62.8 | median = 60.8 | --- |
| Glaucostegus halavi | 1.1 | 4.4 | 1.7 | 4 | 1 | 3 | median = 89.5 | 99.7 | 59.6 |
| Pateobatis fai | 0.7 | 1.8 | 1.25 | 2 | 2 | 0 | 64.5; 62.0 | 52.3; 50.1 | --- |
| Pastinachus sp. | 0.8 | 8.6 | 2.9 | 2 | 1 | 5 | 49.6 | --- | 43.5 |
| Aetobatus ocellatus | 3.9 | 8.7 | 4.5 | 1 | 0 | 3 | --- | --- | --- |
| Carcharhinus limbatus | 1.2 | 1.2 | 1.2 | 1 | 0 | 0 | 71.5 | --- | --- |
| Carcharhinus melanopterus | 2.2 | 8.7 | 5.45 | 1 | 0 | 1 | 73.0 | --- | --- |
| Negaprion acutidens | 5.5 | 5.5 | 5.5 | 1 | 0 | 0 | 139.7 | --- | --- |
| Rhynchobatus djiddensis | 5.5 | 5.5 | 5.5 | 1 | 0 | 0 | 173.2 | --- | --- |
| Rhynchobatus spp. | 6.5 | 6.5 | 6.5 | 0 | 0 | 1 | 155.0 | --- | --- |
| Species | Encounter per Deployment | ||||
|---|---|---|---|---|---|
| Seagrass | Mud Flat | Patch Reef | Rocky Reef | Sand | |
| Aetobatus sp. | 0 | 0 | 0.143 | 0.03 | 0.005 |
| Carcharhinus limbatus | 0 | 0 | 0 | 0.03 | 0.005 |
| Carcharhinus melanopterus | 0 | 0 | 0.286 | 0 | 0 |
| Chiloscyllium arabicum | 0.039 | 0 | 0 | 0.182 | 0.055 |
| Glaucostegus halavi | 0 | 0 | 0 | 0.061 | 0.033 |
| Himanutra species complex | 0.889 | 0.231 | 0.143 | 0.303 | 0.418 |
| Maculabatis arabica | 0.211 | 0.154 | 0 | 0.121 | 0.11 |
| Negaprion acutidens | 0 | 0 | 0 | 0 | 0.005 |
| Pastinachus sp. | 0.022 | 0 | 0 | 0.061 | 0.011 |
| Pateobatis fai | 0.006 | 0 | 0 | 0.03 | 0.011 |
| Rhynchobatus australiae | 0 | 0 | 0 | 0 | 0.005 |
| Rhynchobatus djiddensis | 0 | 0 | 0 | 0 | 0.005 |
| Unidentifiable sp. | 0.028 | 0.077 | 0 | 0 | 0.055 |
Disclaimer/Publisher’s Note: The statements, opinions and data contained in all publications are solely those of the individual author(s) and contributor(s) and not of MDPI and/or the editor(s). MDPI and/or the editor(s) disclaim responsibility for any injury to people or property resulting from any ideas, methods, instructions or products referred to in the content. |
© 2026 by the authors. Licensee MDPI, Basel, Switzerland. This article is an open access article distributed under the terms and conditions of the Creative Commons Attribution (CC BY) license.
Share and Cite
Bruns, S.; Al Hameli, S.; Henderson, A.C. Demographic Characteristics of Elasmobranch Fishes in the Khor Faridah Region (Abu Dhabi) Using a Stereo-BRUVS Approach. Diversity 2026, 18, 29. https://doi.org/10.3390/d18010029
Bruns S, Al Hameli S, Henderson AC. Demographic Characteristics of Elasmobranch Fishes in the Khor Faridah Region (Abu Dhabi) Using a Stereo-BRUVS Approach. Diversity. 2026; 18(1):29. https://doi.org/10.3390/d18010029
Chicago/Turabian StyleBruns, Stephan, Shamsa Al Hameli, and Aaron C. Henderson. 2026. "Demographic Characteristics of Elasmobranch Fishes in the Khor Faridah Region (Abu Dhabi) Using a Stereo-BRUVS Approach" Diversity 18, no. 1: 29. https://doi.org/10.3390/d18010029
APA StyleBruns, S., Al Hameli, S., & Henderson, A. C. (2026). Demographic Characteristics of Elasmobranch Fishes in the Khor Faridah Region (Abu Dhabi) Using a Stereo-BRUVS Approach. Diversity, 18(1), 29. https://doi.org/10.3390/d18010029

