The Taurus Mountains, the Hotspot of Western Palearctic Biodiversity, Is in Danger: Marble Quarries Affect Wildlife
Abstract
1. Introduction
2. Materials and Methods
2.1. Study Area and Design
2.2. Photo Trap and Target Species
2.3. Data Analyses
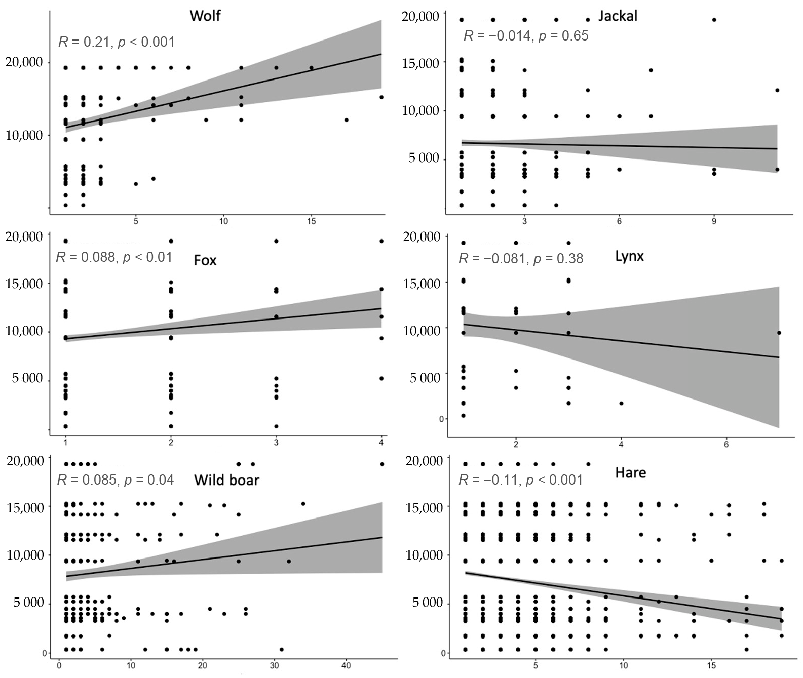
3. Results
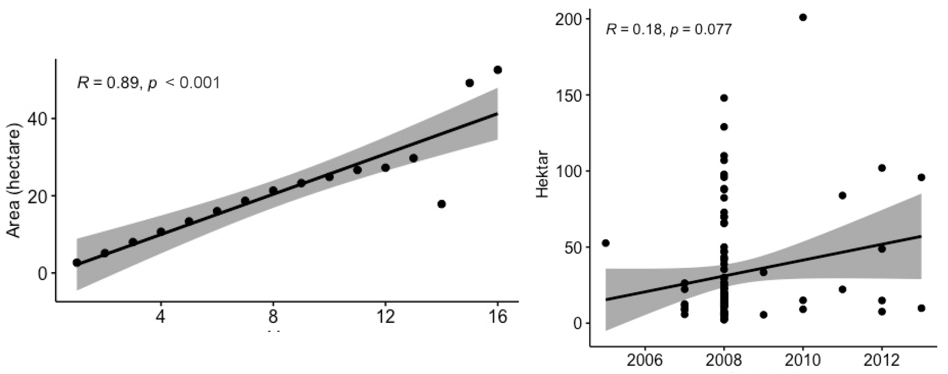
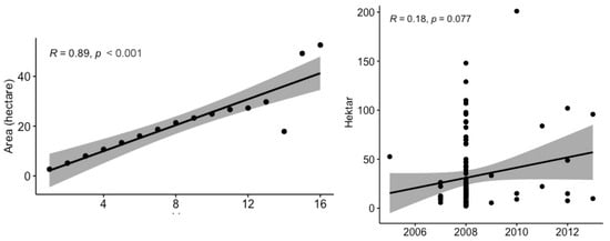
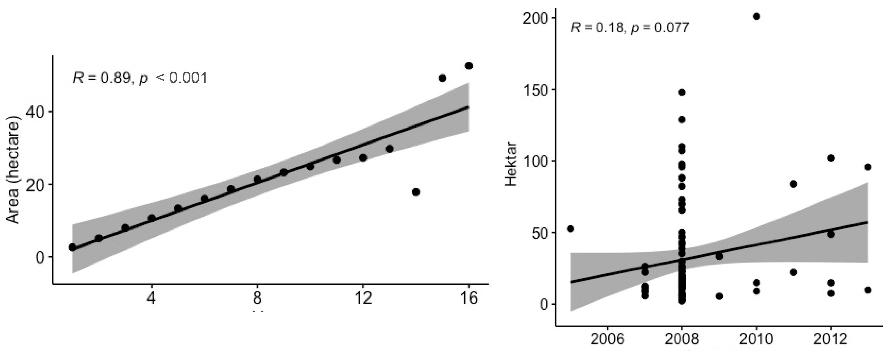
3.1. Marble Quarries
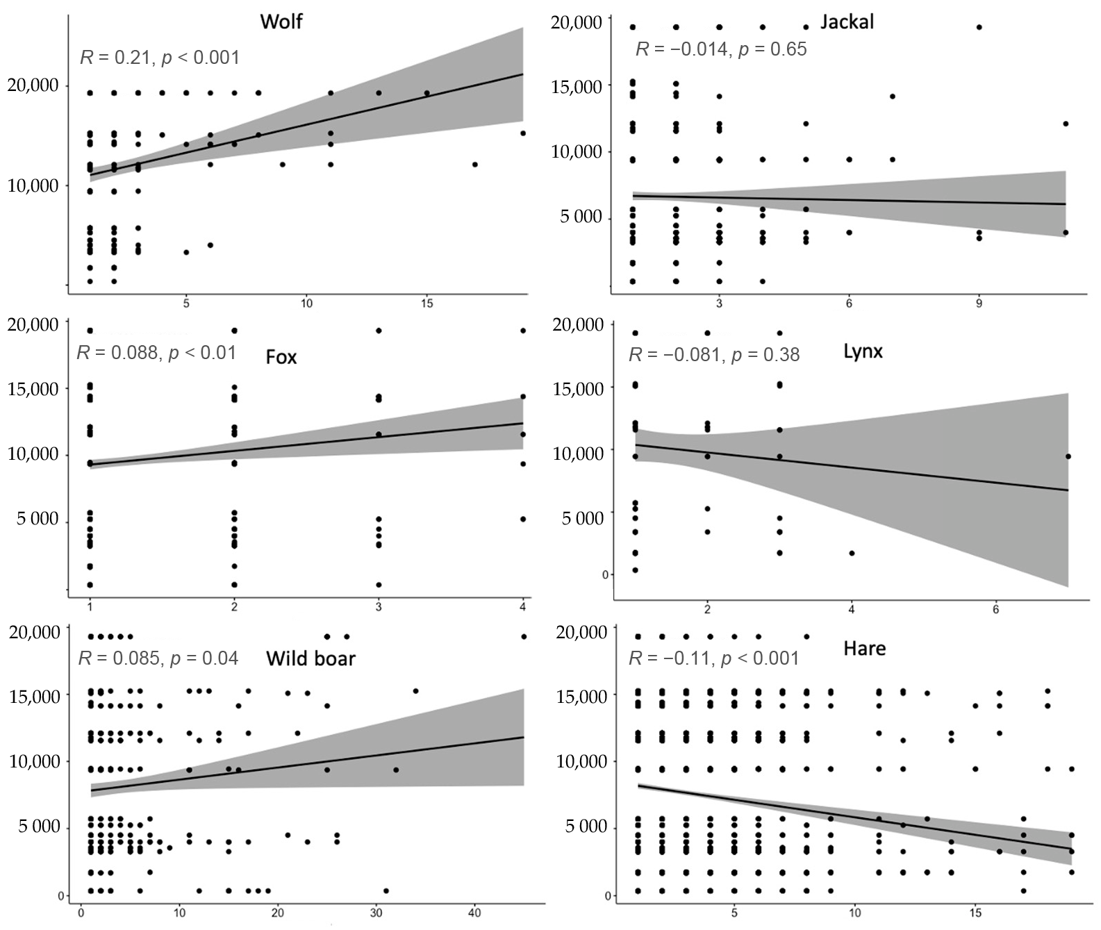
3.2. Photo Traps
4. Discussion
4.1. Habitat Destruction by Marble Quarries
4.2. Impact of Marble Quarries on Wildlife
4.3. Potential Impact of Marble Quarries on the Wider Taurus, the Hotspot of Mediterranean Biodiversity
4.4. Recommendations
5. Conclusions
Author Contributions
Funding
Institutional Review Board Statement
Data Availability Statement
Acknowledgments
Conflicts of Interest
References
- Hewitt, G. Post-glacial re-colonization of European biota. Biol. J. Linn. Soc. 1999, 68, 87–112. [Google Scholar] [CrossRef]
- Özkurt, Ş.Ö.; Bulut, Ş. Türkiye Memelileri; Panama Yayıncılık: Ankara, Türkiye, 2021. [Google Scholar]
- Kiziroğlu, İ. Türkiye Kuşları Cep Kitabı: The Pocket Book for Birds of Türkiye; Sarıyıldız Ofset ve Matbaacılık: Ankara, Türkiye, 2015. [Google Scholar]
- Ilgaz, Ç. Endemism Status in the Reptile Fauna of Turkey. J. Inst. Sci. Technol. 2019, 9, 1243–1252. [Google Scholar] [CrossRef]
- Kurnaz, M. Species list of Amphibians and Reptiles from Turkey. J. Anim. Divers. 2020, 2, 10–32. [Google Scholar] [CrossRef]
- Tezcan, S. Analysis Of The Insect Fauna of Turkey And Suggestions For Future Studies. Munis Entomol. Zool. 2020, 15, 690–710. [Google Scholar]
- Şenkul, Ç.; Kaya, S. Geographical distribu#on of endemic plants of Turkey. Türk Coğrafya Derg. 2017, 69, 109–120. [Google Scholar] [CrossRef]
- Atalay, I. The effects of mountainous areas on biodiversity: A case study from the northern Anatolian Mountains and the Taurus Mountains. Grazer Schriften der Geogr. und Raumforsch. 2006, 41, 17–26. [Google Scholar]
- Ciplak, B. Distribution of Tettigoniinae (Orthoptera, Tettigoniidae) bush-crickets in Turkey: The importance of the Anatolian Taurus mountains in biodiversity and implications for conservation. Biodivers. Conserv. 2003, 12, 47–64. [Google Scholar] [CrossRef]
- Albayrak, T.; Giannatos, G.; Kabasakal, B. Carnivore and Ungulate Populations in the Beydaglari Mountains (Antalya, Turkey): Border Region between Asia and Europe. Polish J. Ecol. 2012, 60, 419–428. [Google Scholar]
- Gür, H.; Perktaş, U.; Gür, M.K. Do climate-driven altitudinal range shifts explain the intraspecific diversification of a narrow ranging montane mammal, Taurus ground squirrels? Mammal Res. 2018, 63, 197–211. [Google Scholar] [CrossRef]
- Albayrak, T.; Gonzalez, J.; Drovetski, S.V.; Wink, M. Phylogeography and population structure of Kruper’s Nuthatch Sitta krueperi from Turkey based on microsatellites and mitochondrial DNA. J. Ornithol. 2012, 153, 405–411. [Google Scholar] [CrossRef]
- Göçmen, B.; Akman, B. Lyciasalamandra arikani n. sp. & L. yehudahi n. sp.(Amphibia: Salamandridae), two new Lycian salamanders from Southwestern Anatolia. North. West. J. Zool. 2012, 8, 181–194. [Google Scholar]
- Ciplak, B. The analogy between interglacial and global warming for the glacial relicts in a refugium: A biogeographic perspective for conservation of Anatolian Orthoptera. Insect Ecol. Conserv. 2008, 661, 135–163. [Google Scholar]
- Yildirim, H.; Tekşen, M. Fritillaria arsusiana (Lilieae, Liliaceae), a new species from southern Anatolia. Phytotaxa 2021, 502, 133–159. [Google Scholar] [CrossRef]
- Lohaj, R.; Anlaş, S. Two new species of the genus laemostenus bonelli sg. Antisphodrus Schaufuss from Turkey (Coleoptera: Carabidae: Sphodrini). Zootaxa 2021, 4942, 95–108. [Google Scholar] [CrossRef] [PubMed]
- McDonald, R.I.; Mansur, A.V.; Ascensão, F.; Colbert, M.; Crossman, K.; Elmqvist, T.; Gonzalez, A.; Güneralp, B.; Haase, D.; Hamann, M.; et al. Research gaps in knowledge of the impact of urban growth on biodiversity. Nat. Sustain. 2020, 3, 16–24. [Google Scholar] [CrossRef]
- Sillero-Zubiri, C. Dusicyon australis. IUCN Red List Threat. Species. 2015, p. e.T6923A82310440. Available online: https://dx.doi.org/10.2305/IUCN.UK.2015-4.RLTS.T6923A82310440.en (accessed on 1 March 2020).
- Cayot, L.J.; Gibbs, J.P.; Tapia, W.; Caccone, A. Chelonoidis abingdonii, Pinta Giant Tortoise. IUCN Red List Threat. Species 2016, 8235, e.T9017A65487433. Available online: https://doi.org/10.2305%2FIUCN.UK.2016-1.RLTS.T9017A65487433.en (accessed on 1 March 2020).
- IUCN IUCN 2021. The IUCN Red List of Threatened Species. Version 2021-1. 2021. Available online: https://www.iucnredlist.org (accessed on 1 March 2020).
- Giannatos, G.; Albayrak, T.; Erdoğan, A. Status of the Caracal in Protected Areas in South-western Turkey. CAT News 2006, 45, 23–24. [Google Scholar]
- Albayrak, T. Anthropogenic barriers to the distribution of the Grey Wolf (Canis lupus Linnaeus, 1758) in the Beydaglari Mountains area, Turkey (Mammalia: Carnivora). Zool. Middle East 2011, 52, 11–16. [Google Scholar] [CrossRef]
- Gucu, A.C.; Sakinan, S.; Ok, M. Occurrence of the critically endangered mediterranean monk seal, monachus monachus, at olympos-beydağları national park, Turkey (mammalia: Phocidae). Zool. Middle East 2009, 46, 3–8. [Google Scholar] [CrossRef]
- Naidenko, S.; Chistopolova, M.; Hernandez-Blanco, J.A.; Erofeeva, M.; Rozhnov, V. The effect of highway on spatial distribution and daily activity of mammals. Transp. Res. Part D Transp. Environ. 2021, 94, 102808. [Google Scholar] [CrossRef]
- Can, Ö.E.; Togan, İ. Camera trapping of large mammals in Yenice Forest, Turkey: Local information versus camera traps. Oryx 2009, 43, 427. [Google Scholar] [CrossRef]
- Çoğal, M.; Sözen, M. Camera trapping of medium and large-sized mammals in western black sea deciduous forests in Turkey. Turkish J. Zool. 2020, 44, 181–188. [Google Scholar] [CrossRef]
- Ticaret Bakanlığı, İ.G.M. Doğal Taşlar Sektör Raporu, Maden, Metal ve Orman Ürünleri Dairesi; Ticaret Bakanlığı Yayınları: Ankara, Turkey, 2021. [Google Scholar]
- Tercan, E.; Dereli, M.A. Monitoring of marble quarries expansion and land cover changes using satellite images and gis on a rural settlement of burdur province, turkey. El-Cezeri J. Sci. Eng. 2021, 8, 741–750. [Google Scholar] [CrossRef]
- R Core Team. R: A Language and Environment for Statistical Computing; R Foundation for Statistical Computing: Vienna, Austria, 2021; Available online: http://www.R-project.org (accessed on 1 March 2020).
- Kalaycı, S. SPSS Uygulamalı Cok Değişkenli Istatistik Teknikleri; Asil Yayın Dağıtım: Ankara, Turkey, 2010; Volume 426. [Google Scholar]
- Long, L.E. Extracting economics from Roman marble quarries†. Econ. Hist. Rev. 2017, 70, 52–78. [Google Scholar] [CrossRef]
- Zhu, H.; Xu, Z.F.; Wang, H.; Li, B.G. Tropical rain forest fragmentation and its ecological and species diversity changes in southern Yunnan. Biodivers. Conserv. 2004, 13, 1355–1372. [Google Scholar] [CrossRef]
- Dumbrell, A.J.; Clark, E.J.; Frost, G.A.; Randell, T.E.; Pitchford, J.W.; Hill, J.K. Changes in species diversity following habitat disturbance are dependent on spatial scale: Theoretical and empirical evidence. J. Appl. Ecol. 2008, 45, 1531–1539. [Google Scholar] [CrossRef]
- Bowler, D.E.; Heldbjerg, H.; Fox, A.D.; de Jong, M.; Böhning-Gaese, K. Long-term declines of European insectivorous bird populations and potential causes. Conserv. Biol. 2019, 33, 1120–1130. [Google Scholar] [CrossRef] [PubMed]
- Schmiegelow, F.K.A.; Mönkkönen, M. Habitat loss and fragmentation in dynamic landscapes: Avian perspectives from the boreal forest. Ecol. Appl. 2002, 12, 375–389. [Google Scholar] [CrossRef]
- Cabrera, M.P. Effects of the habitat alteration on three lizard species in santa María, Catamarca, Argentina. Herpetol. Conserv. Biol. 2021, 16, 150–156. [Google Scholar]
- Stanford, C.B.; Iverson, J.B.; Rhodin, A.G.J.; Paul van Dijk, P.; Mittermeier, R.A.; Kuchling, G.; Berry, K.H.; Bertolero, A.; Bjorndal, K.A.; Blanck, T.E.G.; et al. Turtles and Tortoises are in Trouble. Curr. Biol. 2020, 30, R721–R735. [Google Scholar] [CrossRef]
- Ćirović, D.; Penezić, A.; Krofel, M. Jackals as cleaners: Ecosystem services provided by a mesocarnivore in human-dominated landscapes. Biol. Conserv. 2016, 199, 51–55. [Google Scholar] [CrossRef]
- Myers, N.; Mittermeier, R.A.; Mittermeier, C.G.; da Fonseca, G.A.B.; Kent, J. Biodiversity hotspots for conservation priorities. Nature 2000, 403, 853–858. [Google Scholar] [CrossRef] [PubMed]
- Baker, K.H.; Gray, H.W.I.; Ramovs, V.; Mertzanidou, D.; Akin, Pekşen; Bilgin, C.C.; Sykes, N.; Hoelzel, A.R. Strong population structure in a species manipulated by humans since the Neolithic: The European fallow deer (Dama dama dama). Heredity (Edinb). 2017, 119, 16–26. [Google Scholar] [CrossRef]
- Deniz, İ.G.; Genç, İ.; Yücel, G.; Sümbül, H.; Sezik, E.; Tuna, M. Karyomorphology and nuclear DNA content of sixteen Ophrys L. taxa from Turkey. Plant Biosyst. 2018, 152, 711–719. [Google Scholar] [CrossRef]
- Hürkan, K.; Sramkó, G.V.A.M. The Orchid Flora of Turkish Graveyards: A Comprehensive Field Survey; Löki, V., Tökölyi, J., Süveges, K., Lovas-Kiss, Á., Eds.; Botanischer Garten und Botanisches Museum: Berlin, Germany, 2015; Volume 2, pp. 231–243, Berlin-Dahlem Stable; Available online: https://www.jstor (accessed on 1 March 2020).
- Göçmen, B.; Veith, M.; Akman, B.; Godmann, O.; Igci, N.; Oǧuz, M.A. New records of the Turkish lycian salamanders (lyciasalamandra, salamandridae). North. West. J. Zool. 2013, 9, 319–328. [Google Scholar]
- Mezzasalma, M.; Odierna, G.; Petraccioli, A.; Veith, M.; Guarino, F.M. Karyological diversification in the genus lyciasalamandra (Urodela: Salamandridae). Animals 2021, 11, 1709. [Google Scholar] [CrossRef]
- Kornilios, P.; Ilgaz, Ç.; Kumlutaş, Y.; Giokas, S.; Fraguedakis-Tsolis, S.; Chondropoulos, B. The role of Anatolian refugia in herpetofaunal diversity: An mtDNA analysis of Typhlops vermicularis Merrem, 1820 (Squamata, Typhlopidae). Amphib. Reptil. 2011, 32, 351–363. [Google Scholar] [CrossRef]






| Species | Marble Quarry Area | Control Area | |||||
|---|---|---|---|---|---|---|---|
| n | Daily Mean ± SD | Max | n | Daily Mean ± SD | Max | p | |
| Wolf | 105 | 1.78 ± 1.19 | 8 | 186 | 3.16 ± 3.76 | 25 | 0.000 |
| Lynx | 45 | 1.47 ± 0.84 | 4 | 65 | 1.51 ± 1.03 | 7 | 0.826 |
| Fox | 264 | 2.06 ± 1.23 | 8 | 311 | 2.63 ± 1.59 | 10 | 0.000 |
| Jackal | 319 | 3.62 ± 2.49 | 15 | 259 | 2.34 ± 1.77 | 12 | 0.000 |
| Wild boar | 213 | 4.80 ± 6.06 | 31 | 207 | 5.75 ± 8.52 | 45 | 0.187 |
| Hare | 380 | 14.29 ± 8.69 | 50 | 391 | 10.81 ± 8.77 | 55 | 0.000 |
Disclaimer/Publisher’s Note: The statements, opinions and data contained in all publications are solely those of the individual author(s) and contributor(s) and not of MDPI and/or the editor(s). MDPI and/or the editor(s) disclaim responsibility for any injury to people or property resulting from any ideas, methods, instructions or products referred to in the content. |
© 2024 by the authors. Licensee MDPI, Basel, Switzerland. This article is an open access article distributed under the terms and conditions of the Creative Commons Attribution (CC BY) license (https://creativecommons.org/licenses/by/4.0/).
Share and Cite
Albayrak, T.; Yılmaz, T. The Taurus Mountains, the Hotspot of Western Palearctic Biodiversity, Is in Danger: Marble Quarries Affect Wildlife. Diversity 2024, 16, 267. https://doi.org/10.3390/d16050267
Albayrak T, Yılmaz T. The Taurus Mountains, the Hotspot of Western Palearctic Biodiversity, Is in Danger: Marble Quarries Affect Wildlife. Diversity. 2024; 16(5):267. https://doi.org/10.3390/d16050267
Chicago/Turabian StyleAlbayrak, Tamer, and Tamer Yılmaz. 2024. "The Taurus Mountains, the Hotspot of Western Palearctic Biodiversity, Is in Danger: Marble Quarries Affect Wildlife" Diversity 16, no. 5: 267. https://doi.org/10.3390/d16050267
APA StyleAlbayrak, T., & Yılmaz, T. (2024). The Taurus Mountains, the Hotspot of Western Palearctic Biodiversity, Is in Danger: Marble Quarries Affect Wildlife. Diversity, 16(5), 267. https://doi.org/10.3390/d16050267

