Habitat Suitability, Population Structure and Conservation Status of Pinanga arinasae (Arecaceae), an Endemic Palm in Bali Island, Indonesia
Abstract
:1. Introduction
2. Materials and Methods
2.1. Study Sites
2.2. Sampling Data
2.3. Habitat Suitability
2.4. Population Structure
2.5. Conservation Status Assessment
3. Results
3.1. Model Performance or Fitting Model
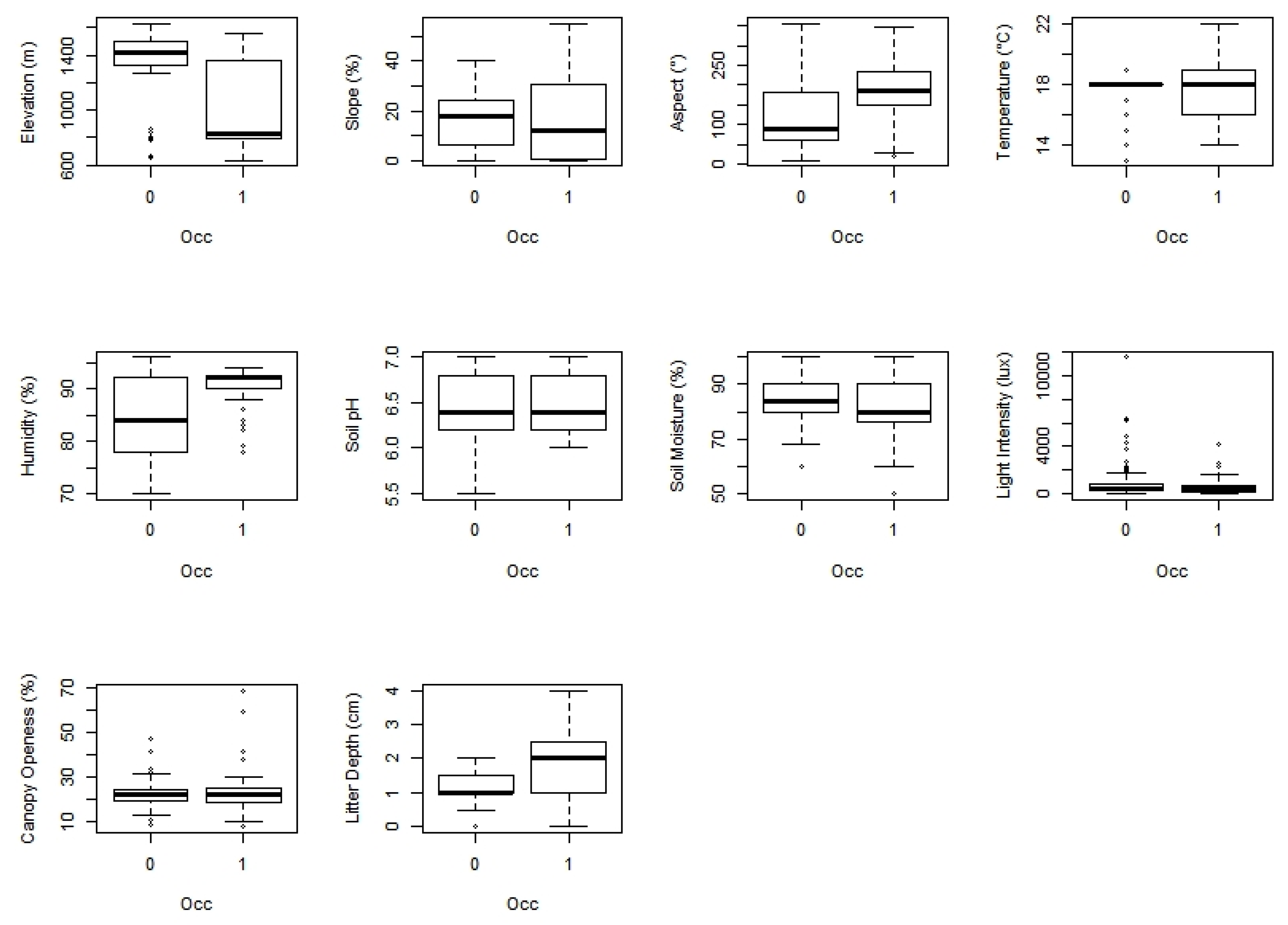
3.2. Habitat Suitability
3.3. Population Structure
3.4. Conservation Status
4. Discussion
4.1. Model Performance
4.2. Habitat Suitability
4.3. Population Structure
4.4. Conservation Status and Implications
5. Conclusions
Author Contributions
Funding
Institutional Review Board Statement
Data Availability Statement
Acknowledgments
Conflicts of Interest
References
- Uhl, N.W.; Dransfield, J.; He Moore, J.R. Genera Palmarum; The LH Bailey Hortorium and The International Palm Society: Lawrence, KS, USA, 1987. [Google Scholar]
- Dransfield, J. Conservation of the Diversity of Indonesian Palms. In Strategic for Flora Conservation in Asia; Suhirman, Butler, G., Fuaddini Pfeiffer, J., Richardson, M.S., Eds.; Kebun Raya Bogor: Bogor, Indonesia, 1994; pp. 77–84. [Google Scholar]
- Goerck, J.M. Patterns of Rarity in the Birds of the Atlantic Forest of Brazil: Patrones de Rareza En Las Aves Del Bosque Atlántico de Brasil. Conserv. Biol. 1997, 11, 112–118. [Google Scholar] [CrossRef]
- Savage, J.M. The Dispersal Centres of Terrestrial Vertebrates in the Neotropical Realm. A Study in the Evolution of the Neotropical Biota and Its Native Landscapes; Springer: Cham, Switzerland, 1974. [Google Scholar]
- Dransfield, J. The Genus Borassodendron (Palmae) in Malesia. Reinwardtia 2014, 8, 351–363. [Google Scholar]
- Dransfield, J. A Monograph of Ceratolobus (Palmae). Kew Bull. 1979, 34, 1–33+ii. [Google Scholar] [CrossRef]
- Witono, J.R.; Mogea, J.P.; Somadikarta, S. Pinanga in Java and Bali. Palms 2002, 46, 193–202. [Google Scholar]
- Frankham, R. Inbreeding and Extinction: Island Populations. Conserv. Biol. 1998, 12, 665–675. [Google Scholar] [CrossRef]
- Kozlowski, G.; Matthies, D. Habitat Differentiation in the Threatened Aquatic Plant Genus Baldellia (L.) Parl.(Alismataceae): Implications for Conservation. Aquat. Bot. 2009, 90, 110–118. [Google Scholar] [CrossRef] [Green Version]
- Ren, H.; Zhang, Q.; Wang, Z.; Guo, Q.; Wang, J.; Liu, N.; Liang, K. Conservation and Possible Reintroduction of an Endangered Plant Based on an Analysis of Community Ecology: A Case Study of Primulina Tabacum Hance in China. Plant. Species Biol. 2010, 25, 43–50. [Google Scholar] [CrossRef]
- Ripley, B.D. Pattern Recognition and Neural Networks; Cambridge University Press: Cambridge, UK, 2007. [Google Scholar]
- Lek, S.; Giraudel, J.L.; Guégan, J.-F. Neuronal Networks: Algorithms and Architectures for Ecologists and Evolutionary Ecologists. In Artificial Neuronal Networks; Springer: Cham, Switzerland, 2000; pp. 3–27. [Google Scholar]
- Özesmi, S.L.; Özesmi, U. An Artificial Neural Network Approach to Spatial Habitat Modelling with Interspecific Interaction. Ecol. Modell. 1999, 116, 15–31. [Google Scholar] [CrossRef]
- Benediktsson, J.A.; Swain, P.H.; Ersoy, O.K. Conjugate-Gradient Neural Networks in Classification of Multisource and Very-High-Dimensional Remote Sensing Data. Int. J. Remote Sens. 1993, 14, 2883–2903. [Google Scholar] [CrossRef]
- Shoemaker, D.A.; Cropper, W.P. Application of Remote Sensing, an Artificial Neural Network Leaf Area Model, and a Process-Based Simulation Model to Estimate Carbon Storage in Florida Slash Pine Plantations. J. For. Res. 2010, 21, 171–176. [Google Scholar] [CrossRef]
- Paruelo, J.; Tomasel, F. Prediction of Functional Characteristics of Ecosystems: A Comparison of Artificial Neural Networks and Regression Models. Ecol. Modell. 1997, 98, 173–186. [Google Scholar] [CrossRef]
- Tan, S.S.; Smeins, F.E. Predicting Grassland Community Changes with an Artificial Neural Network Model. Ecol. Modell. 1996, 84, 91–97. [Google Scholar] [CrossRef]
- Recknagel, F.; French, M.; Harkonen, P.; Yabunaka, K.-I. Artificial Neural Network Approach for Modelling and Prediction of Algal Blooms. Ecol. Modell. 1997, 96, 11–28. [Google Scholar] [CrossRef]
- Chon, T.-S.; Park, Y.-S.; Park, J.H. Determining Temporal Pattern of Community Dynamics by Using Unsupervised Learning Algorithms. Ecol. Modell. 2000, 132, 151–166. [Google Scholar] [CrossRef]
- Lek, S.; Delacoste, M.; Baran, P.; Dimopoulos, I.; Lauga, J.; Aulagnier, S. Application of Neural Networks to Modelling Nonlinear Relationships in Ecology. Ecol. Modell. 1996, 90, 39–52. [Google Scholar] [CrossRef]
- Tuma, A.; Haasis, H.-D.; Rentz, O. A Comparison of Fuzzy Expert Systems, Neural Networks and Neuro-Fuzzy Approaches. Controlling Energy and Material Flows. Ecol. Modell. 1996, 85, 93–98. [Google Scholar] [CrossRef]
- Breiman, L. Random Forests. Mach. Learn. 2001, 45, 5–32. [Google Scholar] [CrossRef] [Green Version]
- Breiman, L. Using Models to Infer Mechanisms. IMS Wald Lect. 2002, 2, 59–71. [Google Scholar]
- Prasad, A.M.; Iverson, L.R.; Liaw, A. Newer Classification and Regression Tree Techniques: Bagging and Random Forests for Ecological Prediction. Ecosystems 2006, 9, 181–199. [Google Scholar] [CrossRef]
- Cutler, D.R.; Edwards Jr, T.C.; Beard, K.H.; Cutler, A.; Hess, K.T.; Gibson, J.; Lawler, J.J. Random Forests for Classification in Ecology. Ecology 2007, 88, 2783–2792. [Google Scholar] [CrossRef]
- Balai Konservasi Sumber Daya Alam. Available online: http://www.ksda-bali.go.id/kawasan-hutan/kawasan-konservasi/cagar-alam-batukahu/ (accessed on 9 February 2018).
- Satyanti, A.; Siregar, H.-M. Microclimate Preference and Habitat of Begonia in Bedugul, Bali. Biotropia 2012, 19, 80–91. [Google Scholar]
- Putra, P.A.M.; Pamungkas, I.N.A. Membangun Brand Awareness Objek Wisata Jatiluwih Tabanan Bali. eProc. Manag. 2019, 6, 1561–1567. [Google Scholar]
- Dewi, M.H.U. Pengembangan Desa Wisata Berbasis Partisipasi Masyarakat Lokal Di Desa Wisata Jatiluwih Tabanan, Bali. J. Kawistara 2013, 3, 129–139. [Google Scholar]
- Frazer, G.W.; Canham, C.D.; Lertzman, K.P. Gap Light Analyzer (GLA), Version 2.0: Imaging Software to Extract Canopy Structure and Gap Light Transmission Indices from True-Colour Fisheye Photographs; Users Manual and Program Documentation; Simon Fraser University: Burnaby, BC, Canada, 1999; Volume 36. [Google Scholar]
- Huberty, C.J. Why Multivariable Analyses? Educ. Psychol. Meas. 1994, 54, 620–627. [Google Scholar] [CrossRef]
- Olden, J.D.; Lawler, J.J.; Poff, N.L. Machine Learning Methods without Tears: A Primer for Ecologists. Q. Rev. Biol. 2008, 83, 171–193. [Google Scholar] [CrossRef] [Green Version]
- Fritsch, S.; Guenther, F.; Suling, M.; Mueller, S.M. Neuralnet: Training of Neural Networks (R Package Version 1.33). 2016. Available online: http://cran.nexr.com/web/packages/neuralnet/neuralnet.pdf (accessed on 24 December 2021).
- Olden, J.D.; Joy, M.K.; Death, R.G. An Accurate Comparison of Methods for Quantifying Variable Importance in Artificial Neural Networks Using Simulated Data. Ecol. Modell. 2004, 178, 389–397. [Google Scholar] [CrossRef]
- Venables, W.N.; Ripley, B.D. Exploratory Multivariate Analysis. In Modern Applied Statistics with S; Springer: Cham, Switzerland, 2002; pp. 301–330. [Google Scholar]
- Liaw, A.; Wiener, M. RandomForest: Breiman and Cutler’s Random Forests for Classification and Regression. R Package. Version 2015, 4, 6–10. [Google Scholar]
- R Core Team. R: A Language and Environment for Statistical Computing. 2013. Available online: http://r.meteo.uni.wroc.pl/web/packages/dplR/vignettes/intro-dplR.pdf (accessed on 24 December 2021).
- Liaw, A.; Wiener, M. Classification and Regression by RandomForest. R News 2002, 2, 18–22. [Google Scholar]
- IUCN. IUCN Red List Categories and Criteria: Version 3.1. IUCN Species Survival Commission; IUCN: Gland, Switzerland; Cambridge, UK, 2001. [Google Scholar]
- Bachman, S.; Moat, J.; Hill, A.W.; De La Torre, J.; Scott, B. Supporting Red List Threat Assessments with GeoCAT: Geospatial Conservation Assessment Tool. Zookeys 2011, 150, 117. [Google Scholar] [CrossRef]
- Sork, V.L. Distribution of Pignut Hickory (Carya Glabra) along a Forest to Edge Transect, and Factors Affecting Seedling Recruitment. Bull. Torrey Bot. Club 1983, 110, 494–506. [Google Scholar] [CrossRef]
- Facelli, J.M.; Pickett, S.T.A. Plant Litter: Its Dynamics and Effects on Plant Community Structure. Bot. Rev. 1991, 57, 1–32. [Google Scholar] [CrossRef]
- Molofsky, J.; Augspurger, C.K. The Effect of Leaf Litter on Early Seedling Establishment in a Tropical Forest. Ecology 1992, 73, 68–77. [Google Scholar] [CrossRef]
- Garwood, N.C. Seed Germination in a Seasonal Tropical Forest in Panama: A Community Study. Ecol. Monogr. 1983, 53, 159–181. [Google Scholar] [CrossRef]
- Cintra, R.; Horna, V. Seed and Seedling Survival of the Palm Astrocaryum Murumuru and the Legume Tree Dipteryx Micrantha in Gaps in Amazonian Forest. J. Trop. Ecol. 1997, 13, 257–277. [Google Scholar] [CrossRef]
- Sabatier, D.; Grimaldi, M.; Prévost, M.-F.; Guillaume, J.; Godron, M.; Dosso, M.; Curmi, P. The Influence of Soil Cover Organization on the Floristic and Structural Heterogeneity of a Guianan Rain Forest. Plant. Ecol. 1997, 131, 81–108. [Google Scholar] [CrossRef]
- Sollins, P. Factors Influencing Species Composition in Tropical Lowland Rain Forest: Does Soil Matter? Ecology 1998, 79, 23–30. [Google Scholar] [CrossRef]
- Franklin, J. Mapping Species Distributions: Spatial Inference and Prediction; Cambridge University Press: Cambridge, UK, 2010. [Google Scholar]
- Ratsirarson, J.; Silander, J.A., Jr.; Richard, A.F. Conservation and Management of a Threatened Madagascar Palm Species, Neodypsis Decaryi, Jumelle. Conserv. Biol. 1996, 10, 40–52. [Google Scholar] [CrossRef] [Green Version]
- Poincelot, R.P. Horticulture: Principles and Practical Applications.; Prentice-Hall Inc.: Hoboken, NJ, USA, 1980. [Google Scholar]
- Widyatmoko, D.; Burgman, M.A.; Guhardja, E.; Mogea, J.P.; Walujo, E.B.; Setiadi, D. Population Status, Demography and Habitat Preferences of the Threatened Lipstick Palm Cyrtostachys Renda Blume in Kerumutan Reserve, Sumatra. Acta oecologica 2005, 28, 107–118. [Google Scholar] [CrossRef]
- Binkley, D.; Stottlemyer, R.; Suarez, F.; Cortina, J. Soil Nitrogen Availability in Some Arctic Ecosystems in Northwest Alaska: Responses to Temperature and Moisture. Ecoscience 1994, 1, 64–70. [Google Scholar] [CrossRef]
- Rodrigues, A.S.L.; Pilgrim, J.D.; Lamoreux, J.F.; Hoffmann, M.; Brooks, T.M. The Value of the IUCN Red List for Conservation. Trends Ecol. Evol. 2006, 21, 71–76. [Google Scholar] [CrossRef]










| Nodes | AUC | Kappa | Error Model |
|---|---|---|---|
| 1 | 0.82 | 0.38 | 0.16 |
| 2 | 0.91 | 0.63 | 0.04 |
| 3 | 0.84 | 0.31 | 0.25 |
| 4 | 0.90 | 0.35 | 0.06 |
| 5 | 0.84 | 0.17 | 0.14 |
| 6 | 0.91 | 0.24 | 0.27 |
| 7 | 0.91 | 0.40 | 0.54 |
| 8 | 0.88 | 0.13 | 0.35 |
| 9 | 0.95 | 0.44 | 0.4 |
| “mtry” | AUC | Kappa | Error Model |
|---|---|---|---|
| 1 | 0.93 | 0.52 | 0.15 |
| 2 | 0.94 | 0.69 | 0.12 |
| 3 | 0.94 | 0.56 | 0.12 |
| 4 | 0.94 | 0.58 | 0.12 |
| 5 | 0.94 | 0.49 | 0.12 |
| 6 | 0.94 | 0.74 | 0.12 |
| 7 | 0.94 | 0.56 | 0.12 |
| 8 | 0.94 | 0.58 | 0.12 |
| 9 | 0.94 | 0.53 | 0.12 |
| Environmental Variables | Mean Decrease Gini |
|---|---|
| Elevation | 14.34 |
| Litter depth | 12.78 |
| Slope | 8.98 |
| Aspect | 8.08 |
| Light intensity | 5.49 |
| Temperature | 5.04 |
| Humidity | 4.02 |
| Canopy openness | 2.87 |
| Soil pH | 2.01 |
| Soil moisture | 1.57 |
Publisher’s Note: MDPI stays neutral with regard to jurisdictional claims in published maps and institutional affiliations. |
© 2021 by the authors. Licensee MDPI, Basel, Switzerland. This article is an open access article distributed under the terms and conditions of the Creative Commons Attribution (CC BY) license (https://creativecommons.org/licenses/by/4.0/).
Share and Cite
Yudaputra, A.; Witono, J.R.; Astuti, I.P.; Munawaroh, E.; Yuzammi; Fijridiyanto, I.A.; Zulkarnaen, R.N.; Robiansyah, I.; Raharjo, P.D.; Cropper, W.P., Jr. Habitat Suitability, Population Structure and Conservation Status of Pinanga arinasae (Arecaceae), an Endemic Palm in Bali Island, Indonesia. Diversity 2022, 14, 10. https://doi.org/10.3390/d14010010
Yudaputra A, Witono JR, Astuti IP, Munawaroh E, Yuzammi, Fijridiyanto IA, Zulkarnaen RN, Robiansyah I, Raharjo PD, Cropper WP Jr. Habitat Suitability, Population Structure and Conservation Status of Pinanga arinasae (Arecaceae), an Endemic Palm in Bali Island, Indonesia. Diversity. 2022; 14(1):10. https://doi.org/10.3390/d14010010
Chicago/Turabian StyleYudaputra, Angga, Joko Ridho Witono, Inggit Puji Astuti, Esti Munawaroh, Yuzammi, Izu Andry Fijridiyanto, Rizmoon Nurul Zulkarnaen, Iyan Robiansyah, Puguh Dwi Raharjo, and Wendell P. Cropper, Jr. 2022. "Habitat Suitability, Population Structure and Conservation Status of Pinanga arinasae (Arecaceae), an Endemic Palm in Bali Island, Indonesia" Diversity 14, no. 1: 10. https://doi.org/10.3390/d14010010
APA StyleYudaputra, A., Witono, J. R., Astuti, I. P., Munawaroh, E., Yuzammi, Fijridiyanto, I. A., Zulkarnaen, R. N., Robiansyah, I., Raharjo, P. D., & Cropper, W. P., Jr. (2022). Habitat Suitability, Population Structure and Conservation Status of Pinanga arinasae (Arecaceae), an Endemic Palm in Bali Island, Indonesia. Diversity, 14(1), 10. https://doi.org/10.3390/d14010010

