Sign in to use this feature.

Years

Between: -

Subjects

remove_circle_outline
remove_circle_outline
remove_circle_outline
remove_circle_outline
remove_circle_outline
remove_circle_outline
remove_circle_outline
remove_circle_outline
remove_circle_outline

Journals

Article Types

Countries / Regions

Search Results (25)

Search Parameters:
Keywords = endemic palm

Order results
Result details
Results per page
Select all
Export citation of selected articles as:
34 pages, 2070 KB  
Article
A Comparative Analysis of Different Fractional Optimal Control Strategies to Eradicate Bayoud Disease in Date Palm Trees
by Muhammad Imran, Azhar Iqbal Kashif Butt, Brett Allen McKinney, Muneerah Al Nuwairan, Fatemah H. H. Al Mukahal and Saira Batool
Fractal Fract. 2025, 9(4), 260; https://doi.org/10.3390/fractalfract9040260 - 18 Apr 2025
Cited by 5 | Viewed by 876
Abstract
Bayoud disease, caused by Fusarium oxysporum f. sp. albedinis, is a major threat to date palm trees. It leads to lower crop yields, financial losses, and decreased biodiversity. The complexity of the disease presents challenges to effective disease management. This study introduces a [...] Read more.
Bayoud disease, caused by Fusarium oxysporum f. sp. albedinis, is a major threat to date palm trees. It leads to lower crop yields, financial losses, and decreased biodiversity. The complexity of the disease presents challenges to effective disease management. This study introduces a mathematical model comprising six compartments for palm trees: susceptible trees, resistant varieties, exposed trees, infected trees, isolated trees under treatment, and recovered trees, along with a contaminant water compartment. The model emphasizes the role of resistant varieties, contamination of irrigation water, and the treatment of infected trees in disease control. Theoretical analyses guarantee positivity, boundedness, and the existence of a unique solution. The existence of equilibrium points (disease-free and endemic) and the reproduction number (R0) of the model are calculated analytically and validated through numerical simulations. Stability analysis at disease-free and endemic equilibrium points is conducted in terms of R0. Sensitivity analysis identifies key parameters influencing disease dynamics and is helpful to identify the potential control parameters. An optimal control problem is formulated to minimize infection spread and associated costs via preventive isolation and treatments, irrigation water treatment, and the promotion of resistant varieties. Numerical simulations demonstrate the efficacy of these strategies, highlighting the potential of resistant varieties and treatment measures in reducing infection rates and enhancing tree health. This research offers valuable insights into sustainable Bayoud disease management, underscoring the importance of mathematical modeling in addressing agricultural challenges. Full article
Show Figures

Figure 1

33 pages, 7765 KB  
Article
Bayesian Morphometric Analysis for Archaeological Seed Identification: Phoenix (Arecaceae) Palms from the Canary Islands (Spain)
by Diego Rivera, Manuel Martínez-Rico, Jacob Morales, Francisco Alcaraz, Javier Valera, Dennis Johnson, Pedro A. Sosa, Javier Abellán, Jose Antonio Palazón, Diego José Rivera-Obón, Emilio Laguna and Concepción Obón
Seeds 2025, 4(2), 19; https://doi.org/10.3390/seeds4020019 - 3 Apr 2025
Viewed by 1425
Abstract
The taxonomic complexity of Phoenix palms in the Canary Islands, where multiple morphotypes representing at least four taxa currently exist, presents significant challenges for archaeobotanical identification. We developed a Bayesian probabilistic framework to identify archaeological Phoenix seeds within the context of genus-wide morphological [...] Read more.
The taxonomic complexity of Phoenix palms in the Canary Islands, where multiple morphotypes representing at least four taxa currently exist, presents significant challenges for archaeobotanical identification. We developed a Bayesian probabilistic framework to identify archaeological Phoenix seeds within the context of genus-wide morphological diversity. Our analysis incorporated thousands of specimens including modern reference collections, archaeological materials from pre-Hispanic sites in Gran Canaria and La Gomera (3–16th centuries CE), and fossil remains. We recorded quantitative measurements and qualitative characteristics for each specimen. To understand taphonomic effects, we conducted experimental carbonization of modern P. canariensis seeds and documented the resulting morphological alterations. We performed a hierarchical cluster analysis using Ward’s minimum variance method and calculated taxonomic assignment probabilities for archaeological specimens using Bayesian inference, where likelihood was derived from taxon proportions within assigned clusters. The results indicated a high probability (0.69–1.00) that the archaeological specimens belong to P. canariensis var. canariensis, with no evidence for P. dactylifera presence. These findings provide critical insights into pre-Hispanic exploitation of Phoenix palms, particularly the endemic P. canariensis, which served as a vital resource, providing food, fiber, and construction materials. Our methodological approach offers a robust framework for addressing taxonomic uncertainty in archaeobotanical research while enhancing understanding of historical palm biogeography and resource use patterns in the Canary Islands. Full article
Show Figures

Figure 1

12 pages, 1441 KB  
Article
Molecular Characterization of Trypanosoma cruzi from Triatomine Species in São Paulo State, an Area Free of Vector-Borne Chagas Disease
by Eliana Ferreira Monteiro, Rubens Antonio da Silva, Arlei Marcili and Karin Kirchgatter
Insects 2025, 16(2), 161; https://doi.org/10.3390/insects16020161 - 4 Feb 2025
Viewed by 1615
Abstract
Chagas disease (ChD) is a neglected tropical disease caused by Trypanosoma cruzi, endemic in 21 countries across the Americas, with increasing cases globally. In São Paulo, Brazil, vector control has focused on Triatoma infestans, but secondary triatomine species continue to pose [...] Read more.
Chagas disease (ChD) is a neglected tropical disease caused by Trypanosoma cruzi, endemic in 21 countries across the Americas, with increasing cases globally. In São Paulo, Brazil, vector control has focused on Triatoma infestans, but secondary triatomine species continue to pose transmission risks. This study aimed to investigate the prevalence of T. cruzi in triatomine feces and characterize its genetic diversity using molecular techniques. Fecal samples were collected from 570 triatomines across 25 municipalities in São Paulo, followed by DNA extraction and PCR amplification targeting the mitochondrial cytochrome b gene and the V7V8 region of the 18S rRNA gene. The results revealed a low overall infection rate (3.2%). However, excluding the triatomines collected in palm trees, all of which were negative, we found mainly Panstrongylus megistus in residences and peridomiciles, showing the highest infection rate (65%) for T. cruzi, followed by Triatoma sordida and Rhodnius neglectus. Phylogenetic analysis confirmed that DTU TcI was the most prevalent genotype, consistent with previous findings in the region. This study highlights the importance of continued vector surveillance, as these secondary species are capable of maintaining T. cruzi transmission in both urban and rural environments, underscoring the ongoing risk of ChD resurgence in São Paulo. Full article
Show Figures

Figure 1

12 pages, 1956 KB  
Article
The Genetic Characterization of the Canarian Endemic Palm (Phoenix canariensis) by Simple Sequence Repeats and Chloroplast Markers: A Tool for the Molecular Traceability of Phoenix Hybridization
by Isabel Saro, Priscila Rodríguez-Rodríguez, Diego Rivera, Concepción Obón, Fredérique Aberlenc, Antonio Díaz-Pérez, Salwa Zehdi-Azouzi, Leticia Curbelo and Pedro A. Sosa
Diversity 2024, 16(7), 411; https://doi.org/10.3390/d16070411 - 16 Jul 2024
Cited by 2 | Viewed by 1822
Abstract
The endemic palm from the Canary Islands, Phoenix canariensis, is one of the most distinctive elements of the Canarian vegetation landscape, contributing to cultural, economic and environmental aspects. One of the main conservation problems facing this iconic palm is anthropogenic hybridization with [...] Read more.
The endemic palm from the Canary Islands, Phoenix canariensis, is one of the most distinctive elements of the Canarian vegetation landscape, contributing to cultural, economic and environmental aspects. One of the main conservation problems facing this iconic palm is anthropogenic hybridization with other Phoenix species, particularly Phoenix dactylifera, which has been introduced extensively throughout its geographical range. Therefore, it is important to obtain a genetic tool that addresses different issues that may have an impact on the protection of P. canariensis, including ornamental applications and wild population conservation purposes. Our main goals were to detect a molecular tracer that could reliably distinguish between Phoenix canariensis and P. dactylifera in the Canary archipelago and to characterize the presence and extent of genetic hybridization events between the two species. We used 19 nuclear microsatellites and 1 chloroplast minisatellite set and analysed a large sample size (N = 433) of plants using both Bayesian methods and ordination techniques. Our data showed that a set of 13 nuclear markers revealed diagnostic alleles for P. canariensis, which were defined as the Canarian nuclear genotype (CNG). Moreover, P. canariensis exhibited an exclusive chlorotype of 266 bp that together with the GNC serve as an indicator of genetic purity in the Canarian palm. These markers are sufficient to detect any hybrid, even if it is not related to morphological differences. The occurrence of a considerable number of specimens with different degrees of hybridization is discussed in terms of the existence of different generations of hybrids and different types of crosses. Thus, the genetic tracers represent an invaluable tool to address any proposal for the genetic conservation of Phoenix canariensis. Full article
(This article belongs to the Special Issue Plant Diversity Hotspots in the 2020s)
Show Figures

Figure 1

19 pages, 5648 KB  
Article
Pollination Ecology, Breeding System, and Conservation of Butia lallemantii Deble & Marchiori (Arecaceae): A Useful Dwarf Palm Tree from the Pampa
by Oscar Perdomo, Rafael Becker and Rodrigo Bustos Singer
Plants 2024, 13(11), 1562; https://doi.org/10.3390/plants13111562 - 5 Jun 2024
Cited by 2 | Viewed by 2483
Abstract
The Dwarf Palm, Butia lallemantii Deble & Marchiori, is an endangered species endemic to the Pampa biome and typically grows in sandy and rocky soils. Given its economic, ecological, and cultural relevance, it is crucial to understand the ecology and biology of this [...] Read more.
The Dwarf Palm, Butia lallemantii Deble & Marchiori, is an endangered species endemic to the Pampa biome and typically grows in sandy and rocky soils. Given its economic, ecological, and cultural relevance, it is crucial to understand the ecology and biology of this species to encourage its preservation and highlight its significance for the Pampa. This study aims to investigate whether this palm relies on animal vectors for pollination, analyze its breeding system, and propose strategies for its conservation and sustainable use. We conducted field observations on pollination ecology, identified floral visitors, and designed six breeding system experiments to test cross-compatibility, self-compatibility, and apomixis. Additionally, we conducted a literature review to propose conservation strategies. Butia lallemantii is pollinator-dependent and self-compatible. The flowers are mostly melittophilous and offer pollen and nectar for floral visitors. The main pollinators are native Meliponinae and Halictinae bees and the introduced Apis mellifera. This study represents the first comprehensive and complete examination of the breeding system and pollination process on Butia palms. This palm can provide materials for industries, but urgent actions are needed to preserve the remaining populations through effective policies and strategies. Furthermore, this palm should be integrated into diversified agroecosystems to evaluate its adaptability to cultivation. Full article
(This article belongs to the Collection Feature Papers in Plant Ecology)
Show Figures

Figure 1

17 pages, 3598 KB  
Review
Oral Chagas Disease in Colombia—Confirmed and Suspected Routes of Transmission
by Norman L. Beatty, Catalina Arango-Ferreira, Lídia Gual-Gonzalez, Sara Zuluaga, Melissa S. Nolan and Omar Cantillo-Barraza
Trop. Med. Infect. Dis. 2024, 9(1), 14; https://doi.org/10.3390/tropicalmed9010014 - 4 Jan 2024
Cited by 13 | Viewed by 8345
Abstract
Chagas disease (CD) remains endemic throughout many regions of Colombia despite implementing decades of vector control strategies in several departments. Some regions have had a significant decrease in vectorial transmission, but the oral ingestion of Trypanosoma cruzi through consumption of contaminated food and [...] Read more.
Chagas disease (CD) remains endemic throughout many regions of Colombia despite implementing decades of vector control strategies in several departments. Some regions have had a significant decrease in vectorial transmission, but the oral ingestion of Trypanosoma cruzi through consumption of contaminated food and drink products is increasingly described. This form of transmission has important public health relevance in Colombia due to an increase in reported acute CD cases and clinical manifestations that often lead to significant morbidity and mortality. Oral CD in Colombia has been associated with the consumption of contaminated fruit juices, such as palm wine, sugar cane, or tangerine juice and water for consumption, or contaminated surfaces where food has been prepared. Another interesting route of oral transmission includes ingestion of unbeknownst infected armadillos’ blood, which is related to a traditional medicine practice in Colombia. Some earlier reports have also implemented consumption of infected bush meat as a source, but this is still being debated. Within the Amazon Basin, oral transmission is now considered the principal cause of acute CD in these regions. Furthermore, new cases of acute CD are now being seen in departments where CD has not been documented, and triatomine vectors are not naturally found, thus raising suspicion for oral transmission. The oral CD could also be considered a food-borne zoonosis, and odoriferous didelphid secretions have been implemented in contaminating the human dwelling environment, increasing the risk of consumption of infectious metacyclic trypomastigotes. In this article, we will discuss the complex transmission dynamics of oral CD in Colombia and further examine the unique clinical manifestations of this route of infection. New insights into the oral transmission of Trypanosoma cruzi are being discovered in Colombia, which can help bring increased awareness and a better understanding of this neglected tropical disease to reduce the burden of CD throughout Latin America. Full article
(This article belongs to the Special Issue Burden of Chagas Disease in the Americas)
Show Figures

Figure 1

13 pages, 2116 KB  
Article
Designing Ex Situ Conservation Strategies for Butia capitata [Mart. (Becc.) Arecaceae], a Threatened Palm Tree from Brazilian Savannah Biome, through Zygotic Embryo Cryopreservation
by Giuliano Carvalho Frugeri, Gabriela Ferreira Nogueira, André Luís Xavier de Souza and Jonny Everson Scherwinski-Pereira
Int. J. Plant Biol. 2023, 14(3), 612-624; https://doi.org/10.3390/ijpb14030047 - 16 Jul 2023
Cited by 3 | Viewed by 2135
Abstract
Jelly palm (Butia capitata) is a species of palm tree endemic to the Brazilian Savannah (Cerrado) Biome, which stands out for its use as food, which has resulted in a predatory exploitation of its natural populations. This study aimed to characterize [...] Read more.
Jelly palm (Butia capitata) is a species of palm tree endemic to the Brazilian Savannah (Cerrado) Biome, which stands out for its use as food, which has resulted in a predatory exploitation of its natural populations. This study aimed to characterize fruits and diaspores of natural populations of jelly palm (‘Arinos’, ‘Mirabela’ and ‘Serranópolis’), in addition to developing ex situ conservation strategies of the species, through the storage of zygotic embryos at ultra-low temperatures of liquid nitrogen (LN). Initially, fruits, seeds and embryos were evaluated for their morphological characteristics. For conservation, hydrated zygotic embryos were desiccated for up to 12 h in a laminar-flow chamber and immersed directly in LN with different moisture contents. As a result, we observed morphological differences among the studied populations. The population ‘Arinos’ showed more expressive results for most of the evaluated characteristics, such as length, width of fruits and seeds. The cryopreservation of zygotic embryos proved to be efficient for the conservation of the species reaching germination rates between 70 and 86%, when the moisture content of the embryos immersed in LN were between 10 and 14%. The plants that reached the stage of the greenhouse had a rate of more than 80% survival. The variability in the characteristics of fruits and diaspores of the analyzed populations allow for establishing divergent groups for the definition of conservation strategies or genetic improvement. The developed cryopreservation protocol can be considered simple and efficient for the conservation of the genetic variability of the species. Full article
(This article belongs to the Special Issue Plant Genetic Resources: Conservation and Characterization)
Show Figures

Figure 1

22 pages, 3206 KB  
Article
Elucidating the Mesocarp Drupe Transcriptome of Açai (Euterpe oleracea Mart.): An Amazonian Tree Palm Producer of Bioactive Compounds
by Elaine Darnet, Bruno Teixeira, Hubert Schaller, Hervé Rogez and Sylvain Darnet
Int. J. Mol. Sci. 2023, 24(11), 9315; https://doi.org/10.3390/ijms24119315 - 26 May 2023
Cited by 3 | Viewed by 2495
Abstract
Euterpe oleracea palm, endemic to the Amazon region, is well known for açai, a fruit violet beverage with nutritional and medicinal properties. During E. oleracea fruit ripening, anthocyanin accumulation is not related to sugar production, contrarily to grape and blueberry. Ripened fruits have [...] Read more.
Euterpe oleracea palm, endemic to the Amazon region, is well known for açai, a fruit violet beverage with nutritional and medicinal properties. During E. oleracea fruit ripening, anthocyanin accumulation is not related to sugar production, contrarily to grape and blueberry. Ripened fruits have a high content of anthocyanins, isoprenoids, fibers, and proteins, and are poor in sugars. E. oleracea is proposed as a new genetic model for metabolism partitioning in the fruit. Approximately 255 million single-end-oriented reads were generated on an Ion Proton NGS platform combining fruit cDNA libraries at four ripening stages. The de novo transcriptome assembly was tested using six assemblers and 46 different combinations of parameters, a pre-processing and a post-processing step. The multiple k-mer approach with TransABySS as an assembler and Evidential Gene as a post-processer have shown the best results, with an N50 of 959 bp, a read coverage mean of 70x, a BUSCO complete sequence recovery of 36% and an RBMT of 61%. The fruit transcriptome dataset included 22,486 transcripts representing 18 Mbp, of which a proportion of 87% had significant homology with other plant sequences. Approximately 904 new EST-SSRs were described, and were common and transferable to Phoenix dactylifera and Elaeis guineensis, two other palm trees. The global GO classification of transcripts showed similar categories to that in P. dactylifera and E. guineensis fruit transcriptomes. For an accurate annotation and functional description of metabolism genes, a bioinformatic pipeline was developed to precisely identify orthologs, such as one-to-one orthologs between species, and to infer multigenic family evolution. The phylogenetic inference confirmed an occurrence of duplication events in the Arecaceae lineage and the presence of orphan genes in E. oleracea. Anthocyanin and tocopherol pathways were annotated entirely. Interestingly, the anthocyanin pathway showed a high number of paralogs, similar to in grape, whereas the tocopherol pathway exhibited a low and conserved gene number and the prediction of several splicing forms. The release of this exhaustively annotated molecular dataset of E. oleracea constitutes a valuable tool for further studies in metabolism partitioning and opens new great perspectives to study fruit physiology with açai as a model. Full article
(This article belongs to the Special Issue Omics Study to Uncover Signalling and Gene Regulation in Plants 2.0)
Show Figures

Figure 1

22 pages, 11635 KB  
Article
Cytogenetics, Typification, Molecular Phylogeny and Biogeography of Bentinckia (Arecoideae, Arecaceae), an Unplaced Indian Endemic Palm from Areceae
by Suhas K. Kadam, Rohit N. Mane, Asif S. Tamboli, Sandip K. Gavade, Pradip V. Deshmukh, Manoj M. Lekhak, Yeon-Sik Choo and Jae Hong Pak
Biology 2023, 12(2), 233; https://doi.org/10.3390/biology12020233 - 1 Feb 2023
Cited by 2 | Viewed by 3189
Abstract
Bentinckia is a genus of flowering plants which is an unplaced member of the tribe Areceae (Arecaceae). Two species are recognized in the genus, viz. B. condapanna Berry ex Roxb. from the Western Ghats, India, and B. nicobarica (Kurz) Becc. from the Nicobar [...] Read more.
Bentinckia is a genus of flowering plants which is an unplaced member of the tribe Areceae (Arecaceae). Two species are recognized in the genus, viz. B. condapanna Berry ex Roxb. from the Western Ghats, India, and B. nicobarica (Kurz) Becc. from the Nicobar Islands. This work constitutes taxonomic revision, cytogenetics, molecular phylogeny, and biogeography of the Indian endemic palm genus Bentinckia. The present study discusses the ecology, morphology, taxonomic history, distribution, conservation status, and uses of Bentinckia. A neotype was designated for the name B. condapanna. Cytogenetical studies revealed a new cytotype of B. condapanna representing 2n = 30 chromosomes. Although many phylogenetic reports of the tribe Areceae are available, the relationship within the tribe is still ambiguous. To resolve this, we carried out Bayesian Inference (BI) and Maximum Likelihood (ML) analysis using an appropriate combination of chloroplast and nuclear DNA regions. The same phylogeny was used to study the evolutionary history of Areceae. Phylogenetic analysis revealed that Bentinckia forms a clade with other unplaced members, Clinostigma and Cyrostachys, and together they show a sister relationship with the subtribe Arecinae. Biogeographic analysis shows Bentinckia might have originated in Eurasia and India. Full article
(This article belongs to the Special Issue Advances in Plant Taxonomy and Systematics)
Show Figures

Figure 1

18 pages, 12308 KB  
Article
Habitat and Season Drive Chigger Mite Diversity and Abundance on Small Mammals in Peninsular Malaysia
by Hadil Alkathiry, Ahmed Al-Rofaai, Zubaidah Ya’cob, Tamsin S. Cutmore, Siti Nurul Izzah Mohd-Azami, Nurul Aini Husin, Fang Shiang Lim, Sirikamon Koosakulnirand, Nor Hidayana Mahfodz, Siti Nabilah Ishak, Shih Keng Loong, Alexandr Stekolnikov, Farah Shafawati Mohd-Taib, Sazaly Abubakar, Benjamin L. Makepeace, Kittipong Chaisiri and Jing Jing Khoo
Pathogens 2022, 11(10), 1087; https://doi.org/10.3390/pathogens11101087 - 23 Sep 2022
Cited by 20 | Viewed by 3908
Abstract
Chigger mites are vectors of the bacterial disease scrub typhus, caused by Orientia spp. The bacterium is vertically transmitted in the vector and horizontally transmitted to terrestrial vertebrates (primarily wild small mammals), with humans as incidental hosts. Previous studies have shown that the [...] Read more.
Chigger mites are vectors of the bacterial disease scrub typhus, caused by Orientia spp. The bacterium is vertically transmitted in the vector and horizontally transmitted to terrestrial vertebrates (primarily wild small mammals), with humans as incidental hosts. Previous studies have shown that the size of the chigger populations is correlated with the density of small mammals in scrub typhus-endemic regions. Here, we explore interactions between the small mammals and chiggers in two oil palm plantations located in the Perak and Johor states of Peninsular Malaysia. The location in Perak also contained an aboriginal (Orang Asli) settlement. A ~5% sub-sample from 40,736 chigger specimens was identified from five species of small mammals (n = 217), revealing 14 chigger species, including two new records for Malaysia. The abundance and species richness of chiggers were significantly affected by habitat type (highest in forest border), state (highest in Perak), and season (highest in dry). The overall prevalence of Orientia tsutsugamushi DNA in small-mammal tissues was 11.7% and was not significantly affected by host or habitat characteristics, but in Johor, was positively associated with infestation by Leptotrombidium arenicola. These findings highlight the risk of contracting scrub typhus in oil palm plantations and associated human settlements. Full article
(This article belongs to the Special Issue Latest Updates on Scrub Typhus (Orientia spp.))
Show Figures

Figure 1

13 pages, 4112 KB  
Article
Ballistic Properties and Izod Impact Resistance of Novel Epoxy Composites Reinforced with Caranan Fiber (Mauritiella armata)
by Andressa Teixeira Souza, Lucas de Mendonça Neuba, Raí Felipe Pereira Junio, Magno Torres Carvalho, Verônica Scarpini Candido, André Ben-Hur da Silva Figueiredo, Sergio Neves Monteiro, Lucio Fabio Cassiano Nascimento and Alisson Clay Rios da Silva
Polymers 2022, 14(16), 3348; https://doi.org/10.3390/polym14163348 - 17 Aug 2022
Cited by 19 | Viewed by 3435
Abstract
Natural lignocellulosic fibers (NFLs) possess several economic, technical, environmental and social advantages, making them an ideal alternative to synthetic fibers in composite materials. Caranan fiber is an NFL extract from the leafstalk of the Mauritiella armata palm tree, endemic to South America. The [...] Read more.
Natural lignocellulosic fibers (NFLs) possess several economic, technical, environmental and social advantages, making them an ideal alternative to synthetic fibers in composite materials. Caranan fiber is an NFL extract from the leafstalk of the Mauritiella armata palm tree, endemic to South America. The present work investigates the addition of 10, 20 and 30 vol% caranan fiber in epoxy resin, regarding the properties associated with Izod notch tough and ballistic performance. Following ASTM D256 standards, ten impact specimens for each fiber reinforcement condition (vol%) were investigated. For the ballistic test, a composite plate with 30 vol%, which has the best result, was tested with ten shots, using 0.22 ammunition to verify the energy absorption. The results showed that when compared to the average values obtained for the epoxy resin, the effect of incorporating 30 vol% caranan fibers as reinforcement in composites was evident in the Izod impact test, producing an increase of around 640% in absorption energy. Absorbed ballistic energy and velocity limit results provided values similar to those already reported in the literature: around 56 J and 186 J, respectively. All results obtained were ANOVA statistically analyzed based on a confidence level of 95%. Tukey’s test revealed, as expected, that the best performance among the studied impact resistance was 30 vol%, reaching the highest values of energy absorption. For ballistic performance, the Weibull analysis showed a high R2 correlation value above 0.9, confirming the reliability of the tested samples. These results illustrate the possibilities of caranan fiber to be used as a reinforcement for epoxy composites and its promising application in ballistic armor. Full article
(This article belongs to the Special Issue Natural Fibre Composites and Their Mechanical Behavior)
Show Figures

Figure 1

14 pages, 1323 KB  
Article
Genetic Diversity and Population Structure of Jubaea chilensis, an Endemic and Monotype Gender from Chile, Based on SNP Markers
by Paola Jara-Arancio, Carolina da Silva Carvalho, Martín R. Carmona-Ortiz, Ramiro O. Bustamante, Priscilla M. Schmidt Villela, Sónia C. da Silva Andrade, Francisco T. Peña-Gómez, Luís A. González and Marina Fleury
Plants 2022, 11(15), 1959; https://doi.org/10.3390/plants11151959 - 28 Jul 2022
Cited by 14 | Viewed by 3701
Abstract
Jubaea chilensis (Molina) Baill., also named Chilean palm, is an endemic species found in the coastal area of Mediterranean sclerophyllous forest in Chile. It has a highly restricted and fragmented distribution along the coast, being under intense exploitation and anthropogenic impact. Based on [...] Read more.
Jubaea chilensis (Molina) Baill., also named Chilean palm, is an endemic species found in the coastal area of Mediterranean sclerophyllous forest in Chile. It has a highly restricted and fragmented distribution along the coast, being under intense exploitation and anthropogenic impact. Based on 1038 SNP markers, we evaluated the genetic diversity and population structure among six J. chilensis natural groups encompassing 96% of the species distribution. We observed low levels of genetic diversity, a deficit of heterozygotes (mean HE = 0.024; HO = 0.014), and high levels of inbreeding (mean FIS = 0.424). The fixation index (FST) and Nei’s genetic distance pairwise comparisons indicated low to moderate structuring among populations. There was no evidence of isolation by distance (r = −0.214, p = 0.799). In the cluster analysis, we observed a closer relationship among Culimo, Cocalán, and Candelaria populations. Migration rates among populations were low, except for some populations with moderate values. The K value that best represented the spatial distribution of genetic diversity was ∆K = 3. Habitat fragmentation, deterioration of the sclerophyllous forest, lack of long-distance dispersers, and a natural regeneration deficit may have driven inbreeding and low levels of genetic diversity in the palm groves of J. chilensis. Although extant populations are not at imminent risk of extinction, the rate of inbreeding could increase and migration could decrease if the effects of climate change and human impact become more acute. Full article
(This article belongs to the Special Issue Plant Evolutionary Ecology)
Show Figures

Figure 1

16 pages, 3547 KB  
Article
Habitat Suitability, Population Structure and Conservation Status of Pinanga arinasae (Arecaceae), an Endemic Palm in Bali Island, Indonesia
by Angga Yudaputra, Joko Ridho Witono, Inggit Puji Astuti, Esti Munawaroh, Yuzammi, Izu Andry Fijridiyanto, Rizmoon Nurul Zulkarnaen, Iyan Robiansyah, Puguh Dwi Raharjo and Wendell P. Cropper
Diversity 2022, 14(1), 10; https://doi.org/10.3390/d14010010 - 26 Dec 2021
Cited by 8 | Viewed by 3877
Abstract
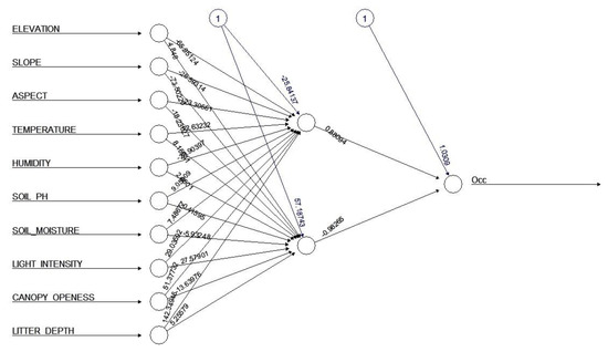
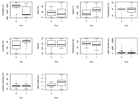
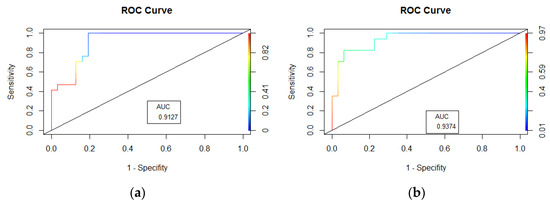
The conservation of species should be based on knowledge of habitat requirements, population structure and conservation status. This knowledge is quite important to design conservation areas for species and to promote long-term persistence. In this study, we investigated habitat suitability, population size structure [...] Read more.
The conservation of species should be based on knowledge of habitat requirements, population structure and conservation status. This knowledge is quite important to design conservation areas for species and to promote long-term persistence. In this study, we investigated habitat suitability, population size structure and conservation status of Pinanga arinasae in Bali. Plots with palms and adjacent areas with no palms were sampled to characterize key habitat variables. Habitat suitability was modeled using Artificial Neural Network (ANN) and Random Forest (RF) methods. The population size structure was characterized by counting and measuring the height and reproductive status of the individuals found in plots. Furthermore, we assessed the extinction risk of the species using the IUCN Red List Criteria. The ANN variables that best explained occurrence were litter depth, elevation, canopy openness and slope. The RF variables that best explained the data were elevation, litter depth, slope, and aspect. Both ANN and RF are robust models that can be used to predict the occurrence of P. arinasae. The population size structure included many seedlings, but juvenile and mature individuals were found in relatively small numbers. Based on the findings, we proposed Endangered B1+B2ab(i,ii,iii,v); D as the conservation status of P. arinasae. Full article
(This article belongs to the Section Biodiversity Conservation)
Show Figures

Figure 1

12 pages, 2509 KB  
Article
Seasonal Activity of Fruit Bats in a Monoculture Rubber and Oil Palm Plantation in the Southern Philippines
by Krizler C. Tanalgo, Tuanjit Sritongchuay and Alice C. Hughes
Conservation 2021, 1(3), 258-269; https://doi.org/10.3390/conservation1030020 - 20 Sep 2021
Cited by 9 | Viewed by 6127
Abstract
The increasing expansion of monoculture plantations poses a major threat to Asian tropical biodiversity. Yet, in many countries such as the Philippines, the ability of species to persist within plantations has never been explored. We studied the seasonal activity and response of fruit [...] Read more.
The increasing expansion of monoculture plantations poses a major threat to Asian tropical biodiversity. Yet, in many countries such as the Philippines, the ability of species to persist within plantations has never been explored. We studied the seasonal activity and response of fruit bats in two types of monocultural plantations (rubber and oil palm) in the Southern Philippines from 2016–17 for 12 months. Our mist-netting and monitoring data showed that both plantations can support cosmopolitan species of fruit bats (Cynopterus brachyotis, Eonycteris spelaea, Macroglossus minimus, Ptenochirus jagori, and Rousettus amplexicaudatus), yet a significant variation in the abundance and guild distribution between plantations was observed. Rubber hosted a higher bat abundance than oil palm, which may be influenced by better habitat structure of the matrix (e.g., presence of orchard and fruit plantations) and practices occurring in the rubber plantation. We find that, among seasonal climatic variables, temperature showed significant negative effects on fruit bat abundance. Our results suggest that although monoculture plantations host low diversity (i.e., richness and endemism) they still support generalists which are still ecologically important species. Furthermore, wildlife-friendly commercial plantation practices could both enhance economic growth and biodiversity conservation in the Philippines. Our data both provide the potential for long-term monitoring in the Philippines and highlight the need for more comprehensive monitoring of other bat functional groups and their ability to transverse plantations to provide a more in-depth understanding of the roles and impacts of plantations and other land-use changes. Full article
Show Figures

Figure 1

11 pages, 6303 KB  
Article
Agrobacterium tumefaciens-Mediated Transformation of Fonsecaea monophora and Fonsecaea erecta for Host-Environment Interaction Studies
by Cristina Isabel Ferrer Villena, Renata Rodrigues Gomes, Larissa Fernandes, Camille Silva Florencio, Amanda Bombassaro, Maria Eduarda Grisolia, Edvaldo da Silva Trindade, Sybren de Hoog and Vania Aparecida Vicente
J. Fungi 2020, 6(4), 325; https://doi.org/10.3390/jof6040325 - 30 Nov 2020
Cited by 3 | Viewed by 3461
Abstract
The fungal genus Fonsecaea contains etiological agents of human chromoblastomycosis, a (sub)tropical, (sub)cutaneous implantation disease caused by plant contact. The invasive potential differs significantly between species. Infections by Fonsecaea monophora are believed to originate from the environment and the species has been reported [...] Read more.
The fungal genus Fonsecaea contains etiological agents of human chromoblastomycosis, a (sub)tropical, (sub)cutaneous implantation disease caused by plant contact. The invasive potential differs significantly between species. Infections by Fonsecaea monophora are believed to originate from the environment and the species has been reported as one of the main causative agents of the disease, but also of cases of primary brain infection. The epidemiology of the disease has not been fully elucidated and questions related to its infection route and virulence are still to be clarified. The environmental species Fonsecaea erecta was isolated from organic material and living plants in endemic areas for chromoblastomycosis in Brazil. The present paper describes Agrobacteriumtumefaciens-mediated transformation (AMT) of the environmental species F. erecta and the pathogenic species F. monophora. We propose the use of Agrobacterium transformation for future gene function studies related to Fonsecaea virulence and pathogenicity. We evaluated the co-cultivation ratios 1:1, 10:1 and 100:1 (Agrobacterium:conidia) at 28 °C during 72 h. pAD1625 and pCAMDsRed plasmids were inserted into both species. Confirmation of transformation was realized by hph gene amplification and Southern blot determined the amount of foreign DNA integrated into the genome. In order to evaluate a potential link between environmental and clinical strains, we obtained red fluorescent transformants after pCAMDsRed insertion. We observed by confocal fluorescence microscopy that both F. monophora and F. erecta were able to colonize the palm Bactris gasipaes, penetrating the epidermis. These results contribute to understanding the ability of Fonsecaea species to adapt to different environmental and host conditions. Full article
(This article belongs to the Special Issue Ecology and Evolution of Black Fungi)
Show Figures

Figure 1

Back to TopTop