Microplastic Contamination Has Limited Effects on Coral Fertilisation and Larvae
Abstract
1. Introduction
2. Materials and Methods
2.1. Coral Spawning, Gamete Collection, and Fertilisation
2.2. Microplastics Preparation and Treatments
2.3. Effects of Microplastics on Fertilisation and Early Embryo Development
2.4. Effects of Microplastics on Larval Settlement
2.5. Statistical Analysis
3. Results
3.1. Fertilisation Success
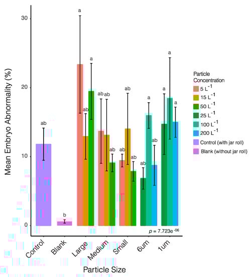
3.2. Embryo Abnormality
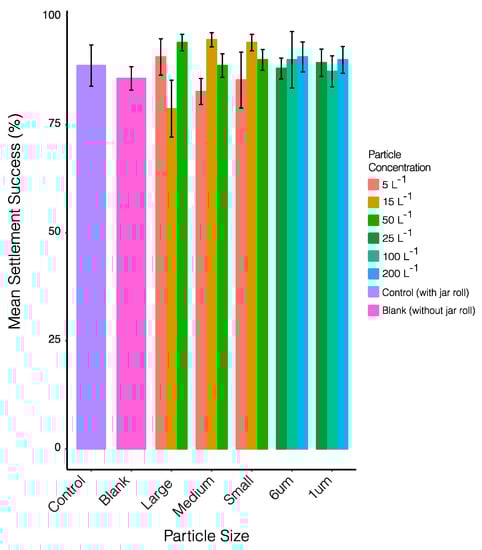
3.3. Settlement Success
4. Discussion
Supplementary Materials
Author Contributions
Funding
Acknowledgments
Conflicts of Interest
References
- Ostle, C.; Thompson, R.C.; Broughton, D.; Gregory, L.; Wootton, M.; Johns, D.G. The Rise in Ocean Plastics Evidenced from a 60-Year Time Series. Nat. Commun. 2019, 10, 1622. [Google Scholar] [CrossRef] [PubMed]
- Law, K.L. Plastics in the Marine Environment. Annu. Rev. Mar. Sci. 2017, 9, 205–229. [Google Scholar] [CrossRef] [PubMed]
- Geyer, R.; Jambeck, J.R.; Law, K.L. Production, Use, and Fate of All Plastics Ever Made. Sci. Adv. 2017, 3, e1700782. [Google Scholar] [CrossRef]
- Van Sebille, E.; Wilcox, C.; Lebreton, L.; Maximenko, N.; Hardesty, B.D.; van Franeker, J.A.; Eriksen, M.; Siegel, D.; Galgani, F.; Law, K.L. A Global Inventory of Small Floating Plastic Debris. Environ. Res. Lett. 2015, 10, 124006. [Google Scholar] [CrossRef]
- Eriksen, M.; Lebreton, L.C.M.; Carson, H.S.; Thiel, M.; Moore, C.J.; Borerro, J.C.; Galgani, F.; Ryan, P.G.; Reisser, J. Plastic Pollution in the World’s Oceans: More than 5 Trillion Plastic Pieces Weighing over 250,000 Tons Afloat at Sea. PLoS ONE 2014, 9, e111913. [Google Scholar] [CrossRef]
- Andrady, A.L. Microplastics in the Marine Environment. Mar. Pollut. Bull. 2011, 62, 1596–1605. [Google Scholar] [CrossRef]
- Zitko, V.; Hanlon, M. Another Source of Pollution by Plastics: Skin Cleaners with Plastic Scrubbers. Mar. Pollut. Bull. 1991, 22, 41–42. [Google Scholar] [CrossRef]
- Critchell, K.; Lambrechts, J. Modelling Accumulation of Marine Plastics in the Coastal Zone; What Are the Dominant Physical Processes? Estuar. Coast. Shelf Sci. 2016, 171, 111–122. [Google Scholar] [CrossRef]
- Thompson, R.C.; Olsen, Y.; Mitchell, R.P.; Davis, A.; Rowland, S.J.; John, A.W.G.; McGonigle, D.; Russell, A.E. Lost at Sea: Where Is All the Plastic? Science 2004, 304, 838. [Google Scholar] [CrossRef]
- Peeken, I.; Primpke, S.; Beyer, B.; Gütermann, J.; Katlein, C.; Krumpen, T.; Bergmann, M.; Hehemann, L.; Gerdts, G. Arctic Sea Ice Is an Important Temporal Sink and Means of Transport for Microplastic. Nat. Commun. 2018, 9, 1505. [Google Scholar] [CrossRef]
- Lacerda, A.L.d.F.; Rodrigues, L.d.S.; van Sebille, E.; Rodrigues, F.L.; Ribeiro, L.; Secchi, E.R.; Kessler, F.; Proietti, M.C. Plastics in Sea Surface Waters around the Antarctic Peninsula. Sci. Rep. 2019, 9, 3977. [Google Scholar] [CrossRef] [PubMed]
- Brandon, J.A.; Jones, W.; Ohman, M.D. Multidecadal Increase in Plastic Particles in Coastal Ocean Sediments. Sci. Adv. 2019, 5, eaax0587. [Google Scholar] [CrossRef] [PubMed]
- Hall, N.M.; Berry, K.L.E.; Rintoul, L.; Hoogenboom, M.O. Microplastic Ingestion by Scleractinian Corals. Mar. Biol. 2015, 162, 725–732. [Google Scholar] [CrossRef]
- Connors, E.J. Distribution and Biological Implications of Plastic Pollution on the Fringing Reef of Mo’orea, French Polynesia. PeerJ 2017, 5, e3733. [Google Scholar] [CrossRef] [PubMed]
- Jensen, L.H.; Motti, C.A.; Garm, A.L.; Tonin, H.; Kroon, F.J. Sources, Distribution and Fate of Microfibres on the Great Barrier Reef, Australia. Sci. Rep. 2019, 9, 9021. [Google Scholar] [CrossRef] [PubMed]
- Green, D.S. Effects of Microplastics on European Flat Oysters, Ostrea Edulis and Their Associated Benthic Communities. Environ. Pollut. 2016, 216, 95–103. [Google Scholar] [CrossRef]
- Watts, A.J.R.; Urbina, M.A.; Corr, S.; Lewis, C.; Galloway, T.S. Ingestion of Plastic Microfibers by the Crab Carcinus Maenas and Its Effect on Food Consumption and Energy Balance. Environ. Sci. Technol. 2015, 49, 14597–14604. [Google Scholar] [CrossRef]
- Taylor, M.L.; Gwinnett, C.; Robinson, L.F.; Woodall, L.C. Plastic Microfibre Ingestion by Deep-Sea Organisms. Sci. Rep. 2016, 6, 33997. [Google Scholar] [CrossRef]
- Hardesty, B.D.; Good, T.P.; Wilcox, C. Novel Methods, New Results and Science-Based Solutions to Tackle Marine Debris Impacts on Wildlife. Ocean Coast. Manag. 2015, 115, 4–9. [Google Scholar] [CrossRef]
- Kazour, M.; Jemaa, S.; Issa, C.; Khalaf, G.; Amara, R. Microplastics Pollution along the Lebanese Coast (Eastern Mediterranean Basin): Occurrence in Surface Water, Sediments and Biota Samples. Sci. Total Environ. 2019, 696, 133933. [Google Scholar] [CrossRef]
- Wright, S.L.; Thompson, R.C.; Galloway, T.S. The Physical Impacts of Microplastics on Marine Organisms: A Review. Environ. Pollut. 2013, 178, 483–492. [Google Scholar] [CrossRef] [PubMed]
- Lithner, D.; Larsson, Å.; Dave, G. Environmental and Health Hazard Ranking and Assessment of Plastic Polymers Based on Chemical Composition. Sci. Total Environ. 2011, 409, 3309–3324. [Google Scholar] [CrossRef] [PubMed]
- Groh, K.J.; Backhaus, T.; Carney-Almroth, B.; Geueke, B.; Inostroza, P.A.; Lennquist, A.; Leslie, H.A.; Maffini, M.; Slunge, D.; Trasande, L.; et al. Overview of Known Plastic Packaging-Associated Chemicals and Their Hazards. Sci. Total Environ. 2019, 651, 3253–3268. [Google Scholar] [CrossRef] [PubMed]
- Rochman, C.M.; Hentschel, B.T.; Teh, S.J. Long-Term Sorption of Metals Is Similar among Plastic Types: Implications for Plastic Debris in Aquatic Environments. PLoS ONE 2014, 9, e85433. [Google Scholar] [CrossRef] [PubMed]
- Teuten, E.L.; Rowland, S.J.; Galloway, T.S.; Thompson, R.C. Potential for Plastics to Transport Hydrophobic Contaminants. Environ. Sci. Technol. 2007, 41, 7759–7764. [Google Scholar] [CrossRef]
- Teuten, E.L.; Saquing, J.M.; Knappe, D.R.U.; Barlaz, M.A.; Jonsson, S.; Björn, A.; Rowland, S.J.; Thompson, R.C.; Galloway, T.S.; Yamashita, R.; et al. Transport and Release of Chemicals from Plastics to the Environment and to Wildlife. Philos. Trans. R. Soc. B Biol. Sci. 2009, 364, 2027–2045. [Google Scholar] [CrossRef]
- Bakir, A.; O’Connor, I.A.; Rowland, S.J.; Hendriks, A.J.; Thompson, R.C. Relative Importance of Microplastics as a Pathway for the Transfer of Hydrophobic Organic Chemicals to Marine Life. Environ. Pollut. 2016, 219, 56–65. [Google Scholar] [CrossRef]
- Koelmans, A.A.; Besseling, E.; Foekema, E.M. Leaching of Plastic Additives to Marine Organisms. Environ. Pollut. 2014, 187, 49–54. [Google Scholar] [CrossRef]
- De Sá, L.C.; Oliveira, M.; Ribeiro, F.; Rocha, T.L.; Futter, M.N. Studies of the Effects of Microplastics on Aquatic Organisms: What Do We Know and Where Should We Focus Our Efforts in the Future? Sci. Total Environ. 2018, 645, 1029–1039. [Google Scholar] [CrossRef]
- Weber, A.; Scherer, C.; Brennholt, N.; Reifferscheid, G.; Wagner, M. PET Microplastics Do Not Negatively Affect the Survival, Development, Metabolism and Feeding Activity of the Freshwater Invertebrate Gammarus Pulex. Environ. Pollut. 2018, 234, 181–189. [Google Scholar] [CrossRef]
- Reichert, J.; Arnold, A.L.; Hoogenboom, M.O.; Schubert, P.; Wilke, T. Impacts of Microplastics on Growth and Health of Hermatypic Corals Are Species-Specific. Environ. Pollut. 2019, 254, 113074. [Google Scholar] [CrossRef] [PubMed]
- Besseling, E.; Wang, B.; Lürling, M.; Koelmans, A.A. Nanoplastic Affects Growth of S. Obliquus and Reproduction of D. Magna. Environ. Sci. Technol. 2014, 48, 12336–12343. [Google Scholar] [CrossRef] [PubMed]
- Lo, H.K.A.; Chan, K.Y.K. Negative Effects of Microplastic Exposure on Growth and Development of Crepidula Onyx. Environ. Pollut. 2018, 233, 588–595. [Google Scholar] [CrossRef] [PubMed]
- Prokić, M.D.; Radovanović, T.B.; Gavrić, J.P.; Faggio, C. Ecotoxicological Effects of Microplastics: Examination of Biomarkers, Current State and Future Perspectives. TrAC Trends Anal. Chem. 2019, 111, 37–46. [Google Scholar] [CrossRef]
- Tallec, K.; Huvet, A.; Di Poi, C.; González-Fernández, C.; Lambert, C.; Petton, B.; Le Goïc, N.; Berchel, M.; Soudant, P.; Paul-Pont, I. Nanoplastics Impaired Oyster Free Living Stages, Gametes and Embryos. Environ. Pollut. 2018, 242, 1226–1235. [Google Scholar] [CrossRef]
- Aljaibachi, R.; Callaghan, A. Impact of Polystyrene Microplastics on Daphnia Magna Mortality and Reproduction in Relation to Food Availability. PeerJ 2018, 6, e4601. [Google Scholar] [CrossRef]
- Rist, S.; Baun, A.; Hartmann, N.B. Ingestion of Micro- and Nanoplastics in Daphnia Magna—Quantification of Body Burdens and Assessment of Feeding Rates and Reproduction. Environ. Pollut. 2017, 228, 398–407. [Google Scholar] [CrossRef]
- Hankins, C.; Duffy, A.; Drisco, K. Scleractinian Coral Microplastic Ingestion: Potential Calcification Effects, Size Limits, and Retention. Mar. Pollut. Bull. 2018, 135, 587–593. [Google Scholar] [CrossRef]
- Santana, M.F.M.; Moreira, F.T.; Pereira, C.D.S.; Abessa, D.M.S.; Turra, A. Continuous Exposure to Microplastics Does Not Cause Physiological Effects in the Cultivated Mussel Perna Perna. Arch. Environ. Contam. Toxicol. 2018, 74, 594–604. [Google Scholar] [CrossRef]
- Kroon, F.J.; Motti, C.E.; Jensen, L.H.; Berry, K.L.E. Classification of Marine Microdebris: A Review and Case Study on Fish from the Great Barrier Reef, Australia. Sci. Rep. 2018, 8, 16422. [Google Scholar] [CrossRef]
- Reichert, J.; Schellenberg, J.; Schubert, P.; Wilke, T. Responses of Reef Building Corals to Microplastic Exposure. Environ. Pollut. 2018, 237, 955–960. [Google Scholar] [CrossRef] [PubMed]
- Allen, A.S.; Seymour, A.C.; Rittschof, D. Chemoreception Drives Plastic Consumption in a Hard Coral. Mar. Pollut. Bull. 2017, 124, 198–205. [Google Scholar] [CrossRef] [PubMed]
- Murphy, F.; Quinn, B. The Effects of Microplastic on Freshwater Hydra Attenuata Feeding, Morphology & Reproduction. Environ. Pollut. 2018, 234, 487–494. [Google Scholar] [CrossRef] [PubMed]
- Ding, J.; Jiang, F.; Li, J.; Wang, Z.; Sun, C.; Wang, Z.; Fu, L.; Ding, N.X.; He, C. Microplastics in the Coral Reef Systems from Xisha Islands of South China Sea. Environ. Sci. Technol. 2019, 53, 8036–8046. [Google Scholar] [CrossRef] [PubMed]
- Chapron, L.; Peru, E.; Engler, A.; Ghiglione, J.F.; Meistertzheim, A.L.; Pruski, A.M.; Purser, A.; Vétion, G.; Galand, P.E.; Lartaud, F. Macro- and Microplastics Affect Cold-Water Corals Growth, Feeding and Behaviour. Sci. Rep. 2018, 8, 15299. [Google Scholar] [CrossRef] [PubMed]
- Fabricius, K.E. Effects of Terrestrial Runoff on the Ecology of Corals and Coral Reefs: Review and Synthesis. Mar. Pollut. Bull. 2005, 50, 125–146. [Google Scholar] [CrossRef]
- Humanes, A.; Noonan, S.H.C.; Willis, B.L.; Fabricius, K.E.; Negri, A.P. Cumulative Effects of Nutrient Enrichment and Elevated Temperature Compromise the Early Life History Stages of the Coral Acropora Tenuis. PLoS ONE 2016, 11, e0161616. [Google Scholar] [CrossRef]
- Jones, R.; Ricardo, G.F.; Negri, A.P. Effects of Sediments on the Reproductive Cycle of Corals. Mar. Pollut. Bull. 2015, 100, 13–33. [Google Scholar] [CrossRef]
- Jones, R.; Bessell-Browne, P.; Fisher, R.; Klonowski, W.; Slivkoff, M. Assessing the Impacts of Sediments from Dredging on Corals. Mar. Pollut. Bull. 2016, 102, 9–29. [Google Scholar] [CrossRef]
- Reichelt-Brushett, A.J.; Harrison, P.L. The Effect of Copper, Zinc and Cadmium on Fertilization Success of Gametes from Scleractinian Reef Corals. Mar. Pollut. Bull. 1999, 38, 6. [Google Scholar] [CrossRef]
- Heyward, A.J.; Negri, A.P. Turbulence, Cleavage, and the Naked Embryo: A Case for Coral Clones. Science 2012, 335, 1064. [Google Scholar] [CrossRef] [PubMed]
- Berry, K.L.E.; Hoogenboom, M.O.; Brinkman, D.L.; Burns, K.A.; Negri, A.P. Effects of Coal Contamination on Early Life History Processes of a Reef-Building Coral, Acropora Tenuis. Mar. Pollut. Bull. 2017, 114, 505–514. [Google Scholar] [CrossRef] [PubMed]
- Ricardo, G.F.; Jones, R.J.; Negri, A.P.; Stocker, R. That Sinking Feeling: Suspended Sediments Can Prevent the Ascent of Coral Egg Bundles. Sci. Rep. 2016, 6, 21567. [Google Scholar] [CrossRef] [PubMed]
- Ricardo, G.F.; Jones, R.J.; Clode, P.L.; Humanes, A.; Negri, A.P. Suspended Sediments Limit Coral Sperm Availability. Sci. Rep. 2016, 5, 18084. [Google Scholar] [CrossRef]
- Koelmans, A.A.; Kooi, M.; Law, K.L.; van Sebille, E. All Is Not Lost: Deriving a Top-down Mass Budget of Plastic at Sea. Environ. Res. Lett. 2017, 12, 114028. [Google Scholar] [CrossRef]
- Negri, A.P.; Heyward, A.J. Inhibition of Fertilization and Larval Metamorphosis of the Coral Acropora Millepora (Ehrenberg, 1834) by Petroleum Products. Mar. Pollut. Bull. 2000, 41, 420–427. [Google Scholar] [CrossRef]
- Heyward, A.J.; Negri, A.P. Natural Inducers for Coral Larval Metamorphosis. Coral Reefs 1999, 18, 273–279. [Google Scholar] [CrossRef]
- Lenth, R.; Singmann, H.; Love, J.; Buerkner, P.; Herve, M. Package “Emmeans”. Am. Stat. 2018, 34, 216–221. [Google Scholar]
- Hadley, W. Ggplot2; Springer Science+Business Media, LLC: New York, NY, USA, 2016. [Google Scholar]
- Hughes, T.P.; Kerry, J.T.; Álvarez-Noriega, M.; Álvarez-Romero, J.G.; Anderson, K.D.; Baird, A.H.; Babcock, R.C.; Beger, M.; Bellwood, D.R.; Berkelmans, R.; et al. Global Warming and Recurrent Mass Bleaching of Corals. Nature 2017, 543, 373–377. [Google Scholar] [CrossRef]
- Hoegh-Guldberg, O. Climate Change, Coral Bleaching and the Future of the World’s Coral Reefs. Mar. Freshw. Res. 1999, 50, 839. [Google Scholar] [CrossRef]
- Cinner, J.E.; McClanahan, T.R.; Graham, N.A.J.; Daw, T.M.; Maina, J.; Stead, S.M.; Wamukota, A.; Brown, K.; Bodin, Ö. Vulnerability of Coastal Communities to Key Impacts of Climate Change on Coral Reef Fisheries. Glob. Environ. Chang. 2012, 22, 12–20. [Google Scholar] [CrossRef]
- Pendleton, L.; Comte, A.; Langdon, C.; Ekstrom, J.A.; Cooley, S.R.; Suatoni, L.; Beck, M.W.; Brander, L.M.; Burke, L.; Cinner, J.E.; et al. Coral Reefs and People in a High-CO2 World: Where Can Science Make a Difference to People? PLoS ONE 2016, 11, e0164699. [Google Scholar] [CrossRef] [PubMed]
- Loh, T.-L.; McMurray, S.E.; Henkel, T.P.; Vicente, J.; Pawlik, J.R. Indirect Effects of Overfishing on Caribbean Reefs: Sponges Overgrow Reef-Building Corals. PeerJ 2015, 3, e901. [Google Scholar] [CrossRef] [PubMed]
- Brodie, J.; Wolanski, E.; Lewis, S.; Bainbridge, Z. An Assessment of Residence Times of Land-Sourced Contaminants in the Great Barrier Reef Lagoon and the Implications for Management and Reef Recovery. Mar. Pollut. Bull. 2012, 65, 267–279. [Google Scholar] [CrossRef] [PubMed]
- Waterhouse, J.; Brodie, J.; Lewis, S.; Mitchell, A. Quantifying the Sources of Pollutants in the Great Barrier Reef Catchments and the Relative Risk to Reef Ecosystems. Mar. Pollut. Bull. 2012, 65, 394–406. [Google Scholar] [CrossRef]
- Berry, K.L.E.; Seemann, J.; Dellwig, O.; Struck, U.; Wild, C.; Leinfelder, R.R. Sources and Spatial Distribution of Heavy Metals in Scleractinian Coral Tissues and Sediments from the Bocas Del Toro Archipelago, Panama. Environ. Monit. Assess. 2013, 185, 9089–9099. [Google Scholar] [CrossRef]
- Kroon, F.J.; Berry, K.L.E.; Brinkman, D.L.; Davis, A.; King, O.; Kookana, R.; Lewis, S.; Leusch, F.; Makarynskyy, O.; Melvin, S.; et al. Identification, Impacts, and Prioritisation of Emerging Contaminants Present in the GBR and Torres Strait Marine Environments. Tropical Water Quality Hub, National Environmental Science Programme, Technical Report, pg. 152. Available online: https://nesptropical.edu.au/wp-content/uploads/2016/05/NESP-TWQ-1.10-FINAL-REPORTa.pdf (accessed on 28 November 2019).
- Kroon, F.J.; Berry, K.L.E.; Brinkman, D.L.; Kookana, R.; Leusch, F.; Melvin, S.; Neale, P.; Negri, A.; Puotinen, M.; Tsang, J.J.; et al. Sources, Presence, and Potential Effects of Contaminants of Emerging Concern in the Marine Environments of the Great Barrier Reef and Torres Strait, Australia. Sci. Total Environ. 2019, in press. [Google Scholar] [CrossRef]
- Sussarellu, R.; Suquet, M.; Thomas, Y.; Lambert, C.; Fabioux, C.; Pernet, M.E.J.; Le Goïc, N.; Quillien, V.; Mingant, C.; Epelboin, Y.; et al. Oyster Reproduction Is Affected by Exposure to Polystyrene Microplastics. Proc. Natl. Acad. Sci. USA 2016, 113, 2430–2435. [Google Scholar] [CrossRef]
- Cole, M.; Lindeque, P.; Fileman, E.; Halsband, C.; Galloway, T.S. The Impact of Polystyrene Microplastics on Feeding, Function and Fecundity in the Marine Copepod Calanus Helgolandicus. Environ. Sci. Technol. 2015, 49, 1130–1137. [Google Scholar] [CrossRef]
- Gardon, T.; Reisser, C.; Soyez, C.; Quillien, V.; Le Moullac, G. Microplastics Affect Energy Balance and Gametogenesis in the Pearl Oyster Pinctada Margaritifera. Environ. Sci. Technol. 2018, 52, 5277–5286. [Google Scholar] [CrossRef]
- Ricardo, G.F.; Jones, R.J.; Clode, P.L.; Negri, A.P. Mucous Secretion and Cilia Beating Defend Developing Coral Larvae from Suspended Sediments. PLoS ONE 2016, 11, e0162743. [Google Scholar] [CrossRef] [PubMed]
- Ricardo, G.F.; Jones, R.J.; Clode, P.L.; Humanes, A.; Gioffre, N.; Negri, A.P. Sediment Characteristics Influence the Fertilisation Success of the Corals Acropora Tenuis and Acropora Millepora. Mar. Pollut. Bull. 2018, 135, 941–953. [Google Scholar] [CrossRef] [PubMed]
- Guo, X.; Wang, J. The Chemical Behaviors of Microplastics in Marine Environment: A Review. Mar. Pollut. Bull. 2019, 142, 1–14. [Google Scholar] [CrossRef] [PubMed]
- González-Fernández, C.; Tallec, K.; Le Goïc, N.; Lambert, C.; Soudant, P.; Huvet, A.; Suquet, M.; Berchel, M.; Paul-Pont, I. Cellular Responses of Pacific Oyster (Crassostrea Gigas) Gametes Exposed in Vitro to Polystyrene Nanoparticles. Chemosphere 2018, 208, 764–772. [Google Scholar] [CrossRef]
- Nobre, C.R.; Santana, M.F.M.; Maluf, A.; Cortez, F.S.; Cesar, A.; Pereira, C.D.S.; Turra, A. Assessment of Microplastic Toxicity to Embryonic Development of the Sea Urchin Lytechinus Variegatus (Echinodermata: Echinoidea). Mar. Pollut. Bull. 2015, 92, 99–104. [Google Scholar] [CrossRef]
- Miller, M.E.; Kroon, F.J.; Motti, C.A. Recovering Microplastics from Marine Samples: A Review of Current Practices. Mar. Pollut. Bull. 2017, 123, 6–18. [Google Scholar] [CrossRef]
- Lenz, R.; Enders, K.; Nielsen, T.G. Microplastic Exposure Studies Should Be Environmentally Realistic. Proc. Natl. Acad. Sci. USA 2016, 113, E4121–E4122. [Google Scholar] [CrossRef]




| No. of Plastic Pieces Per Jar | Concentration (No. Microplastic L−1) | Size | Shape |
|---|---|---|---|
| 1 | 5 | 2, 1, 0.5 mm2 | Square |
| 3 | 15 | 2, 1, 0.5 mm2 | Square |
| 10 | 50 | 2, 1, 0.5 mm2 | Square |
| 5 | 25 | 1, 6 µm | Sphere |
| 20 | 100 | 1, 6 µm | Sphere |
| 40 | 200 | 1, 6 µm | Sphere |
© 2019 by the authors. Licensee MDPI, Basel, Switzerland. This article is an open access article distributed under the terms and conditions of the Creative Commons Attribution (CC BY) license (http://creativecommons.org/licenses/by/4.0/).
Share and Cite
Berry, K.L.E.; Epstein, H.E.; Lewis, P.J.; Hall, N.M.; Negri, A.P. Microplastic Contamination Has Limited Effects on Coral Fertilisation and Larvae. Diversity 2019, 11, 228. https://doi.org/10.3390/d11120228
Berry KLE, Epstein HE, Lewis PJ, Hall NM, Negri AP. Microplastic Contamination Has Limited Effects on Coral Fertilisation and Larvae. Diversity. 2019; 11(12):228. https://doi.org/10.3390/d11120228
Chicago/Turabian StyleBerry, Kathryn L. E., Hannah E. Epstein, Phoebe J. Lewis, Nora M. Hall, and Andrew P. Negri. 2019. "Microplastic Contamination Has Limited Effects on Coral Fertilisation and Larvae" Diversity 11, no. 12: 228. https://doi.org/10.3390/d11120228
APA StyleBerry, K. L. E., Epstein, H. E., Lewis, P. J., Hall, N. M., & Negri, A. P. (2019). Microplastic Contamination Has Limited Effects on Coral Fertilisation and Larvae. Diversity, 11(12), 228. https://doi.org/10.3390/d11120228

