Sign in to use this feature.

Years

Between: -

Subjects

remove_circle_outline
remove_circle_outline
remove_circle_outline
remove_circle_outline
remove_circle_outline
remove_circle_outline
remove_circle_outline

Journals

Article Types

Countries / Regions

Search Results (26)

Search Parameters:
Keywords = coral spawning

Order results
Result details
Results per page
Select all
Export citation of selected articles as:
14 pages, 828 KB  
Article
Rates of Spawning and Mortality Using Contrasting Methods for Culling Pacific Crown-of-Thorns Starfish, Acanthaster cf. solaris
by Morgan S. Pratchett, Ciemon F. Caballes, Leighton T. Levering, Deborah Burn, Josie F. Chandler, Alec S. Leitman and Peter C. Doll
Biology 2025, 14(12), 1720; https://doi.org/10.3390/biology14121720 - 1 Dec 2025
Viewed by 390
Abstract
Timely, concerted, and persistent culling (or manual removal) is required to effectively manage population irruptions of crown-of-thorns starfish (CoTS; Acanthaster spp.). However, there are concerns that handling and culling gravid starfish may induce spawning. This study explicitly tested the frequency and timing of [...] Read more.
Timely, concerted, and persistent culling (or manual removal) is required to effectively manage population irruptions of crown-of-thorns starfish (CoTS; Acanthaster spp.). However, there are concerns that handling and culling gravid starfish may induce spawning. This study explicitly tested the frequency and timing of spawning for Pacific CoTS (Acanthaster cf. solaris) injected with either bile salts (10 mL of 8 g·L−1 Bile Salts No. 3) or vinegar (20 mL of 4% acetic acid, with 10 mL injected into each of two non-adjacent arms), up to 48 h after treatment, while also considering three distinct experimental controls (handling controls, injection controls, and spawning controls). This study showed that male CoTS often spawn within 24 h after different culling treatments. However, the incidence of spawning by male starfish injected with vinegar (70%) was nearly twice that of male starfish injected with bile salts (36.4%). In contrast, there were no instances of spawning by female CoTS following handling or injections of bile salts and vinegar. Variation in the incidence of spawning between culling treatments is largely attributable to differences in the rate of mortality, whereby CoTS injected with bile salts (n = 23) consistently died within 24 h and therefore had limited opportunity to spawn. Meanwhile, CoTS injected with vinegar generally died >24 h post-treatment, and many had not died even after 48 h. This suggests that, where available, bile salts (rather than vinegar) should be used when culling Acanthaster cf. solaris, especially during reproductive periods. However, sustained culling effort is still the most direct and effective way to suppress the local densities and reproductive capacity of CoTS. Full article
(This article belongs to the Section Marine and Freshwater Biology)
Show Figures

Graphical abstract

20 pages, 2639 KB  
Article
Low Genetic Diversity and Decreased Effective Population Sizes of Acropora hyacinthus Populations Inhabiting Inshore and Offshore Reefs in the South China Sea
by Yijin Di, Lingyu Zheng, Jingzhao Ke, Yinyin Zhou, Shaoyang Mo, Xiangbo Liu, Jiquan Lin, Yuxiao Ren, Duanjie Huang, Rouwen Chen and Xiubao Li
Oceans 2025, 6(4), 72; https://doi.org/10.3390/oceans6040072 - 4 Nov 2025
Viewed by 633
Abstract
Coral reefs, with their high biodiversity and ecological service functions, face significant threats due to climate change, overfishing, and pollution. The South China Sea (SCS) hosts rich coral biodiversity, particularly Acropora hyacinthus, a critical species for reef restoration. However, the region’s coral [...] Read more.
Coral reefs, with their high biodiversity and ecological service functions, face significant threats due to climate change, overfishing, and pollution. The South China Sea (SCS) hosts rich coral biodiversity, particularly Acropora hyacinthus, a critical species for reef restoration. However, the region’s coral reefs are increasingly degraded, highlighting the urgent need for conservation efforts. In the present study, the genetic diversity and population structure of A. hyacinthus were examined based on two types of data: double-digest restriction-site-associated DNA (ddRAD) sequencing data and mitochondrial putative control region DNA (mtCR) sequences. Coral tissue samples were collected from 74 colonies inhabiting two inshore reefs (Sanya) and three offshore reefs (Xisha islands), and 748 single nucleotide polymorphisms (SNPs) and 74 mtCR sequences were obtained and utilized for downstream analysis. The results were consistent in analyses and did not cluster into two geographical groups for the inshore and offshore sites. Phylogenetic analysis showed that individuals of A. hyacinthus inhabiting the five detected sites were likely cryptic species HyaD. Furthermore, AMOVA and pairwise FST estimations based on both data types revealed no differentiation among five populations and between inshore and offshore reefs, which could be due to the reproductive mode of broadcast spawning for this species. However, a prevalent low level of genetic diversity was observed when compared with nearby Taiwan regions and Japan, and the geographic history results showed that the effective population size (Ne) had been decreasing for the past 300 years. Thus, we speculated that the populations of A. hyacinthus inhabiting the SCS lack the potential to cope with future climate change adequately, and multiple conservation measures should be implemented based on considering genetic diversity. Full article
Show Figures

Figure 1

10 pages, 1644 KB  
Communication
Eight Years of Monitoring Reveal the Disruption of Reproductive Synchrony in Acropora palmata in Cozumel
by Johanna Calle-Triviño, Germán Méndez, Ariadna León-Asunsolo, Diana Angel, Miguel Plata, Colleen Flanigan, Adrián Andrés Morales-Guadarrama and Jesús Ernesto Arias-González
Diversity 2025, 17(11), 759; https://doi.org/10.3390/d17110759 - 29 Oct 2025
Viewed by 1456
Abstract
Acropora palmata, a keystone Caribbean coral species, is currently subject to intense restoration efforts across the region. Despite its known annual broadcast spawning, in situ monitoring of 33 colonies in Cozumel, Mexico, from 2018 to 2025 revealed a near-complete absence of spawning [...] Read more.
Acropora palmata, a keystone Caribbean coral species, is currently subject to intense restoration efforts across the region. Despite its known annual broadcast spawning, in situ monitoring of 33 colonies in Cozumel, Mexico, from 2018 to 2025 revealed a near-complete absence of spawning activity. While “setting” was occasionally observed, no simultaneous spawning events occurred among colonies, impeding assisted fertilization. This eight-year effort, involving academic institutions, government, NGOs, and the community, highlights the breakdown in reproductive synchrony of A. palmata. We discuss possible contributing factors, including artificial light, sedimentation, thermal anomalies, water quality and direct human impact. These findings demand immediate regional attention and investigation to identify the underlying causes of this reproductive failure. Full article
(This article belongs to the Special Issue Eco-Physiology of Shallow Benthic Communities)
Show Figures

Graphical abstract

12 pages, 1687 KB  
Article
Reproductive Ecology of the Java Rabbitfish, Siganus javus, in the Southern South China Sea
by Takaomi Arai, Iy Vonne Tan, Fui Fui Ching and Norhayati Ahmad
Fishes 2025, 10(9), 441; https://doi.org/10.3390/fishes10090441 - 3 Sep 2025
Viewed by 891
Abstract
Fish reproductive biology influences their life history and can impact their vulnerability to fisheries; therefore, for sustainable management and development, a proper understanding is crucial. Reproductive biology, including maturation, spawning season, fecundity, and sex ratio, was examined throughout the year in the Java [...] Read more.
Fish reproductive biology influences their life history and can impact their vulnerability to fisheries; therefore, for sustainable management and development, a proper understanding is crucial. Reproductive biology, including maturation, spawning season, fecundity, and sex ratio, was examined throughout the year in the Java Rabbitfish, Siganus javus, in the southern South China Sea. This study is the first to examine reproductive traits by collecting a total of 339 S. javus specimens monthly from September 2017 to August 2018 through detailed gonad histology. The spawning season of female S. javus was mainly restricted to July, August, October, and December, whereas male fish were found to spawn throughout the year. Inter-species variations in the spawning season were observed within the genus, which is influenced by interspecific spawning strategies and regional environmental factors. The sex ratio close to 1:1 suggests that the fish population is in equilibrium in the region. The fecundity of S. javus ranged from 1.8 × 105 to 12 × 105, which was similar to that of other species in Siganus, suggesting less inter- and intra-species variation in fecundity within the family. The middle maturation stage was absent throughout the year, probably due to the different habitat uses during their life history. Reproductive biology might influence other biological aspects, such as migration and behaviour in the fish. Full article
(This article belongs to the Special Issue The Ecology of Reef Fishes)
Show Figures

Figure 1

16 pages, 2740 KB  
Article
Secondary Microplastics Disrupt Early Coral Development: Impacts on Brooding and Broadcast-Spawning Species
by Camilo García-Galindo, Luis A. Gómez-Lemos, Sigmer Quiroga and Rocío García-Urueña
Diversity 2025, 17(7), 468; https://doi.org/10.3390/d17070468 - 8 Jul 2025
Viewed by 1072
Abstract
Microplastics are pervasive in marine ecosystems and have been shown to affect a range of marine organisms, including corals. These particles can develop biofilms, facilitating the transport of pollutants and pathogenic microorganisms. Although the effects of primary microplastics on adult corals have been [...] Read more.
Microplastics are pervasive in marine ecosystems and have been shown to affect a range of marine organisms, including corals. These particles can develop biofilms, facilitating the transport of pollutants and pathogenic microorganisms. Although the effects of primary microplastics on adult corals have been extensively studied, little is known about the impacts of secondary microplastics on early life stages. This study investigated (1) the effects of different abundances of secondary microplastics on the early development of Orbicella faveolata; (2) the influence of fibers and fragments on the larval settlement of Acropora palmata; and (3) the effects of the microplastic size, abundance, and biofilm presence on the settlement of Favia fragum. For O. faveolata, fertilization, embryogenesis, and settlement were all impaired by fragments, with embryonic development showing a 25.9% reduction in viability. Larval development was unaffected, but post-settlement survival declined by 35.8% with exposure to fibers and fragments. For A. palmata, settlement was reduced by fragments, while for F. fragum, only 2–4 mm fragments significantly decreased settlement rates. This study contributes to the knowledge of the effect of microplastics on the early development of corals, providing valuable information to improve strategies to control microplastic pollution. Full article
Show Figures

Figure 1

27 pages, 3451 KB  
Article
Fisheries Sustainability Eroded by Lost Catch Proportionality in a Coral Reef Seascape
by Timothy Rice McClanahan, Jesse Kiprono Kosgei and Austin Turner Humphries
Sustainability 2025, 17(6), 2671; https://doi.org/10.3390/su17062671 - 18 Mar 2025
Cited by 2 | Viewed by 2401
Abstract
Coral reef and their ecological services of food production and shoreline protection are threatened by unsustainable use. To better understand their status, multiple approaches to estimating fisheries sustainability were compared, namely fisheries-independent stock biomass and recovery rates, fisheries-dependent landed catches, balanced harvest and [...] Read more.
Coral reef and their ecological services of food production and shoreline protection are threatened by unsustainable use. To better understand their status, multiple approaches to estimating fisheries sustainability were compared, namely fisheries-independent stock biomass and recovery rates, fisheries-dependent landed catches, balanced harvest and gear use metrics, and fish length measurements. A community biomass recovery was established over a 45-year no-fishing stock recovery time series from seven fisheries reserves and compared to catch- and length-based estimates of sustainability. The logistic production rates (r = 0.09 ± 0.06 95% confidence interval (CI)) and maximum equilibrium total biomass (~150 ± 30 tons/km2) indicated a broad range of potential maximum sustainable yields, with a likely range of 1.1 to 3.9 (95% CI; mean = 3.8) tons/km2/year. In contrast, the mean annual linear biomass growth rates in reserves were lower but less variable than logistic surplus production estimates, ranging from 2.1 to 3.5 (mean = 2.8 tons/km2/year). Realized catches at landing sites were lower still, ranging from 1.43 to 1.52 (mean = 1.48 ± 0.2 tons/km2/y). Differences between production estimates and capture were largely attributable to changes in taxonomic composition and an imbalance in the estimated proportionality of production potential versus actual capture rates. Lost potential capture was likely due to differences in the vulnerability of taxa to fishing and a lack of compensatory increased production among fishing-resistant taxa. Large proportional losses of catch were measured among snappers, unicorn fish, sweetlips, goatfish, and soldierfish, while smaller proportional gains in the catch samples were found among resident herbivorous rabbitfish, parrotfish, and groupers. Many of these declining taxa have vulnerable schooling life histories that are likely to require special habitat and reserve characteristics. Evaluations of sustainability from length measurements found 17 or 7% of total and 12% of caught species had sample sizes minimally sufficient for evaluation (>30 individuals from 413 catches, 2284 captured individuals composed of 144 species) of length and spawning metrics of sustainability. Seven of these species met length-based and three met spawning potential ratio thresholds for sustainability. Consequently, length-based evaluations had poor species coverage and therefore we were unable to evaluate the sustainability of the larger fish community. Recommendations for future research include a better understanding of the consequences of variability in spillover and proportionality of production potential for sustainability. Management recommendations are to focus management on the recovery of species abundant in unfished locations but not contributing to fisheries yield. Full article
Show Figures

Figure 1

18 pages, 855 KB  
Article
The Relationship between Mean Length at Maturity and Maximum Length in Coral Reef Fish
by Elaine Chu and Daniel Pauly
Fishes 2024, 9(4), 130; https://doi.org/10.3390/fishes9040130 - 9 Apr 2024
Cited by 1 | Viewed by 4091
Abstract
This article proposes a mechanism that triggers first maturation and spawning in coral reef (bony) fish, which allows for predicting their length at first maturity. Thus, mean lengths at first maturity (Lm) and the corresponding maximum lengths (Lmax) in [...] Read more.
This article proposes a mechanism that triggers first maturation and spawning in coral reef (bony) fish, which allows for predicting their length at first maturity. Thus, mean lengths at first maturity (Lm) and the corresponding maximum lengths (Lmax) in 207 populations of 131 species of coral reef fish were assembled and used to test the hypotheses that (a) there is, in coral reef fish, a single value of a size-related parameter acting as a trigger for their maturation and eventual spawning, and (b) that this single value is statistically the same as that published previously for other bony fish. The results, based on the assembled Lm and Lmax data and on estimates of the parameter D, which link the length of fish with the relative surface of their gills, covered 44 families and Lmax values ranging from 1.8 to 181.6 cm and confirmed that the threshold in (a) exists. Also, we assessed (in b) that this threshold value, i.e., LmaxD/LmD = 1.35 (±0.02), is not statistically different from similar estimates for other groups of teleosts, notably semelparous salmonids, cichlids, sturgeons and Chinese and Turkish freshwater and marine fish. One implication is that given ocean warming and deoxygenation, coral reef fish will not only be smaller than they currently are, but also mature and spawn at smaller sizes, and thus produce fewer, smaller eggs. Full article
Show Figures

Figure 1

12 pages, 656 KB  
Review
The Effect of Pollen on Coral Health
by Triona Barker, Mark Bulling, Vincent Thomas and Michael Sweet
Biology 2023, 12(12), 1469; https://doi.org/10.3390/biology12121469 - 27 Nov 2023
Cited by 1 | Viewed by 3780
Abstract
Corals are facing a range of threats, including rises in sea surface temperature and ocean acidification. Some now argue that keeping corals ex situ (in aquaria), may be not only important but necessary to prevent local extinction, for example in the Florida Reef [...] Read more.
Corals are facing a range of threats, including rises in sea surface temperature and ocean acidification. Some now argue that keeping corals ex situ (in aquaria), may be not only important but necessary to prevent local extinction, for example in the Florida Reef Tract. Such collections or are already becoming common place, especially in the Caribbean, and may act as an ark, preserving and growing rare or endangered species in years to come. However, corals housed in aquaria face their own unique set of threats. For example, hobbyists (who have housed corals for decades) have noticed seasonal mortality is commonplace, incidentally following months of peak pollen production. So, could corals suffer from hay fever? If so, what does the future hold? In short, the answer to the first question is simple, and it is no, corals cannot suffer from hay fever, primarily because corals lack an adaptive immune system, which is necessary for the diagnosis of such an allergy. However, the threat from pollen could still be real. In this review, we explore how such seasonal mortality could play out. We explore increases in reactive oxygen species, the role of additional nutrients and how the microbiome of the pollen may introduce disease or cause dysbiosis in the holobiont. Full article
Show Figures

Figure 1

17 pages, 6872 KB  
Article
Development and Seasonal Variations of the Larvae of Three Mesopelagic Fishes near Coral Reefs in the Red Sea
by Mohamed Ahmed Abu El-Regal and James G. Ditty
Fishes 2023, 8(10), 500; https://doi.org/10.3390/fishes8100500 - 6 Oct 2023
Cited by 3 | Viewed by 2242
Abstract
This work aims to describe the larval stages and the seasonal variation in the abundance of three mesopelagic species whose larvae are surprisingly abundant near coral reef areas in the Red Sea. The larvae were collected monthly using a plankton net (500 µ) [...] Read more.
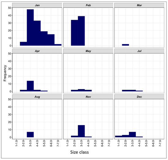
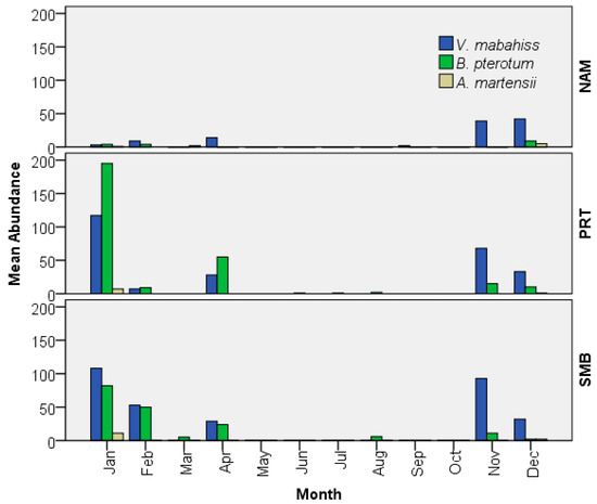
This work aims to describe the larval stages and the seasonal variation in the abundance of three mesopelagic species whose larvae are surprisingly abundant near coral reef areas in the Red Sea. The larvae were collected monthly using a plankton net (500 µ) from three coastal coral reef areas surrounding Sharm El-Sheikh on the Egyptian Red Sea coast between January and December 2015. The identification of larvae was based on the morphological and meristic characteristics according to the available literature. The larvae of this species were divided into preflexion, flexion, and postflexion stages and they were also categorized according to their size into relevant size classes. Mesopelagic fishes were represented in the collection by four species belonging to four families: Vinciguerria mabahiss (Family: Phosichthyidae), Benthosema pterotum (Family: Myctophidae), Astronesthes martensii (Family: Stomiidae; subfamily: Astronesthinae), and Trichiurus sp. (Family: Trichiuridae). In general, a total of 3678 larvae were collected, of which 1191, constituting about 32% of the total fish larvae, belonged to mesopelagic species. The most abundant species was V. mabahiss, with 677 larvae that constituted 18% and 57% of the total larvae and mesopelagic fish larvae, respectively. The second most abundant species was B. pterotum, which was represented by 485 larvae (13% of the total larvae and 40% of the mesopelagic fish larvae). A. martensii was represented by the lowest number of larvae (29 larvae, 2%). Most larvae of the three species were small and in the preflexion stage, whereas larger larvae are absent. They are highly abundant in the cooler months of the year between November and April. The high number of preflexion larvae may indicate that the three mesopelagic species spawn in the colder times of the year. Full article
Show Figures

Figure 1

17 pages, 47758 KB  
Article
Year-Round Spawning, Filial Cannibalism, and Embryonic and Larval Development of the Coral Reef Fish Orchid Dottyback, Pseudochromis fridmani
by Jun Yu Chen, Chaoshu Zeng and Jennifer M. Cobcroft
Fishes 2023, 8(9), 451; https://doi.org/10.3390/fishes8090451 - 8 Sep 2023
Cited by 5 | Viewed by 3066
Abstract
Aquaculture of marine ornamental fish could potentially reduce the fishing pressure on wild stocks by the global aquarium trade, but its expansion is often constrained by the limited understanding on the biology and early life history of candidate species. The orchid dottyback Pseudochromis [...] Read more.
Aquaculture of marine ornamental fish could potentially reduce the fishing pressure on wild stocks by the global aquarium trade, but its expansion is often constrained by the limited understanding on the biology and early life history of candidate species. The orchid dottyback Pseudochromis fridmani is a valuable and popular marine ornamental fish, but scientific reports on its baseline biology, especially the egg filial cannibalistic behaviour, are scarce. The present study documented key aspects of reproductive biology and early ontogeny of P. fridmani in captivity, including reproductive behaviour, patterns of spawning and filial cannibalism throughout a 12-month period by seven pairs of brood fish, as well as the embryonic and larval development. The results showed that the captive spawning of the broodstock pairs generally occurred every 5–11 days, most commonly every 6–8 days, throughout a year. Despite feeding the brood fish to satiation throughout the data collection period, the average monthly rate of egg filial cannibalism reached 55 ± 37%, but the cannibalism frequency appeared to be pair-specific. The egg incubation duration was approximately 96 h at 27 ± 1 °C, and the development of embryos from cleavage, blastula, gastrula, and segmentation to the pharyngula stage is herein described in detail. The newly hatched P. fridmani larvae possessed important structures and organs for first feeding, including pigmented eyes, developed jaws, and a straight-tube gut. The 0 to 14 days post-hatching (DPH) period appeared to be an important larval stage, as P. fridmani larvae were observed to complete major changes in morphology, gut development, and phototactic behaviour by 14 DPH. Under the culture conditions of this study, the earliest transition to the juvenile stage was observed on 31 DPH, and the majority of fish became juveniles by 56 DPH. The results of this study inform baseline aquaculture production protocols and direct future research, particularly to reduce filial cannibalism through broodstock management and to improve larval culture through supporting the early ontogenetic development of P. fridmani. Additionally, these findings form a foundation for further studying the biology and ecology of P. fridmani in the wild. Full article
(This article belongs to the Special Issue Reproductive Biology and Breeding of Fish)
Show Figures

Figure 1

23 pages, 3199 KB  
Article
Local and Traditional Ecological Knowledge of Fish Poisoning in Fiji
by Jimaima Veisikiaki Lako, Sereima Naisilisili, Veikila C. Vuki, Nanise Kuridrani and Dominic Agyei
Toxins 2023, 15(3), 223; https://doi.org/10.3390/toxins15030223 - 16 Mar 2023
Cited by 3 | Viewed by 6523
Abstract
Fish poisoning (FP) affects human health, trade and livelihood in Fiji, where management has depended mainly on traditional ecological knowledge (TEK). This paper investigated and documented this TEK through a 2-day stakeholder workshop, group consultation, in-depth interviews, field observations, and analyses of survey [...] Read more.
Fish poisoning (FP) affects human health, trade and livelihood in Fiji, where management has depended mainly on traditional ecological knowledge (TEK). This paper investigated and documented this TEK through a 2-day stakeholder workshop, group consultation, in-depth interviews, field observations, and analyses of survey data from the Ministry of Fisheries, Fiji. Six TEK topics were identified and classified as preventative and treatment options. The preventive approach involves identifying toxic reef fishes, the spawning season of edible seaworms, hotspot areas of toxic fishes, folk tests, and locating and removing toxic organs. For example, 34 reef fish species were identified as toxic. The FP season was associated with the spawning of balolo (edible seaworm) and the warmer months of October to April (cyclone seasons). Two well-known toxic hotspots associated with an abundance of bulewa (soft coral) were identified. Folk tests and locating and removing toxic fish organs are also practised for moray eels and pufferfish. At the same time, various locally available herbal plants are used to treat FP as the second line of defence. The TEK collated in this work can help local authorities better identify the sources of toxicity, and applying TEK preventive measures could stem the tide of fish poisoning in Fiji. Full article
(This article belongs to the Special Issue Ciguatoxins 2022–2023)
Show Figures

Figure 1

4 pages, 1015 KB  
Interesting Images
First In Situ Observation of Sperm Release in Corynactis carnea (Anthozoa: Corallimorpharia) from Patagonia, Argentina
by Gonzalo Bravo, Gregorio Bigatti, Pablo Penchaszadeh and Daniel Lauretta
Diversity 2023, 15(2), 287; https://doi.org/10.3390/d15020287 - 16 Feb 2023
Cited by 1 | Viewed by 1915
Abstract
Jewel sea anemones constitute a relatively small group of solitary cnidarians, a sister group of scleractinian corals. In the southwest Atlantic Ocean off Argentina, two species of jewel sea anemones have been found: Corynactis carnea and Corallimorphus rigidus. Corynactis carnea is a [...] Read more.
Jewel sea anemones constitute a relatively small group of solitary cnidarians, a sister group of scleractinian corals. In the southwest Atlantic Ocean off Argentina, two species of jewel sea anemones have been found: Corynactis carnea and Corallimorphus rigidus. Corynactis carnea is a common and abundant species in shallow water of northern Atlantic Patagonia, but reproductive data on this species is scarce; the species is known to reproduce asexually. During a SCUBA diving survey in an Atlantic rocky reefs (20 m depth) in Patagonia, we observed for the first time specimens of C. carnea releasing sperm, eight days after the full moon and during the summer season while spawning has been previously observed in at least three species of Corynactis, but all were recorded as occurring in winter. Full article
Show Figures

Figure 1

12 pages, 1896 KB  
Article
Effect of Substratum Structural Complexity of Coral Seedlings on the Settlement and Post-Settlement Survivorship of Coral Settlers
by Shuichi Fujiwara, Daisuke Kezuka, Kazutaka Hagiwara, Hiroo Ishimori and Hideo Tabata
Oceans 2023, 4(1), 1-12; https://doi.org/10.3390/oceans4010001 - 26 Dec 2022
Cited by 2 | Viewed by 3767
Abstract
The substratum structure is critical for facilitating settlement and increasing the survivorship of coral settlers. However, knowledge about its structural complexity is largely lacking. In this study, we examined the effect of complexity on the settlement and post-settlement survivorship of coral settlers using [...] Read more.
The substratum structure is critical for facilitating settlement and increasing the survivorship of coral settlers. However, knowledge about its structural complexity is largely lacking. In this study, we examined the effect of complexity on the settlement and post-settlement survivorship of coral settlers using four types of structures: groove, using a CSD (Coral Settlement Device, 4.5 cm φ × 2.5 cm H, top-shaped ceramic); flat, using a CP (Ceramic Plate, 29.5 cm L × 3.1 cm W × 0.9 cm H, unglazed ceramic plate); linear, using a CN (Coral Net, mesh size 19 mm, biodegradable plastic net); and wrinkle, using a SS (Scallop Shell, 11.0 cm in shell length). The complexity was obtained from the ratio of the surface area to the vertically projected area of the substratum. The substratum sets were installed in the coral reef around the Ryukyu Islands every May from 2012 to 2014. After about 2 or 6 months of spawning, a certain number of substratum types were sampled, and the number of coral spats that settled on them was counted by taxa classified into Acropora, Pocilloporidae, Millepora, and Others. The larval settlement rate in the first set of samples and the survivorship of coral spats in the second set of samples were estimated. The mean settlement rate was, in order, the CSD; SS; CN; and CP, and the mean survivorship was, in order, the CSD; CP; SS; and CN, over three years. A positive correlation was found between the structural complexity, mean settlement rate, and mean survivorship. Our results show that the structural complexity of coral seedlings affects the settlement of coral larvae and the survivorship of coral spats. Full article
Show Figures

Figure 1

1 pages, 158 KB  
Abstract
Mating Territory Location Drives Mating Success by Male Wrasses (Labridae) at a Resident Spawning Aggregation Site
by Terry J. Donaldson
Biol. Life Sci. Forum 2022, 13(1), 137; https://doi.org/10.3390/blsf2022013137 - 20 Jun 2022
Viewed by 1166
Abstract
An increasing number of reef fish species have been shown to form spawning aggregations. These aggregations occur at predictable times and places, with participants utilizing single or mixed mating systems. In a lek-like mating system, males establish temporary courtship territories that they defend [...] Read more.
An increasing number of reef fish species have been shown to form spawning aggregations. These aggregations occur at predictable times and places, with participants utilizing single or mixed mating systems. In a lek-like mating system, males establish temporary courtship territories that they defend against rival males while attracting females to spawn. The location of these territories often contributes to differential mating success. The males holding territories deemed “desirable” by females because of the physical attributes of their location attract more females and secure greater mating opportunities compared to those males that defend territories elsewhere within the spawning aggregation site. Presumably, females favor locations where newly spawned eggs may be carried away from potential predators more effectively. Thus, males holding territories located at the outer edge of the site in an area exposed to water currents running parallel to the reef face have far greater mating success than those males that hold territories found on inner or middle sections of the site where currents are less pronounced. This pattern is consistent across a range of taxa within the family Labridae, co-occurring at a multispecies spawning aggregation site on a coral reef in Guam, Western Pacific. Full article
(This article belongs to the Proceedings of The IX Iberian Congress of Ichthyology)
23 pages, 14678 KB  
Article
Towards the Development of Standardized Bioassays for Corals: Acute Toxicity of the UV Filter Benzophenone-3 to Scleractinian Coral Larvae
by Ingo B. Miller, Mareen Moeller, Matthias Y. Kellermann, Samuel Nietzer, Valentina Di Mauro, Elham Kamyab, Sascha Pawlowski, Mechtild Petersen-Thiery and Peter J. Schupp
Toxics 2022, 10(5), 244; https://doi.org/10.3390/toxics10050244 - 10 May 2022
Cited by 28 | Viewed by 5517
Abstract
Coral reefs have been declining globally at a historically unprecedented rate. Ultraviolet (UV) filters used in sunscreens may contribute to this decline at local scales, which has already led to bans on various organic UV filters in some regions. However, the underlying studies [...] Read more.
Coral reefs have been declining globally at a historically unprecedented rate. Ultraviolet (UV) filters used in sunscreens may contribute to this decline at local scales, which has already led to bans on various organic UV filters in some regions. However, the underlying studies for these bans demonstrated significant flaws in the experimental design due to a lack of validated and standardized testing methods for corals. This study aimed to investigate options for the development of a standard acute toxicity test for the larval stage of scleractinian corals. Planula larvae of two brooding (Leptastrea purpurea and Tubastraea faulkneri) and two spawning (Acropora digitifera and A. millepora) species were exposed to the organic UV filter benzophenone-3 (BP3) for 48 h under static conditions. We observed interspecific variations in toxicity, with A. digitifera being the most sensitive (LC50 = 0.75 µg L−1) and T. faulkneri the least sensitive (LC50 = 2951.24 µg L−1) species. Inhibition of settlement was found to be a useful endpoint leading to an EC50 of 1.84 µg L−1 in L. purpurea larvae. Although the analytical challenges of measuring lipophilic substances in small volume test setups remain, the here applied test design and selected endpoints are suitable for further validation and subsequent standardization. Full article
Show Figures

Figure 1

Back to TopTop