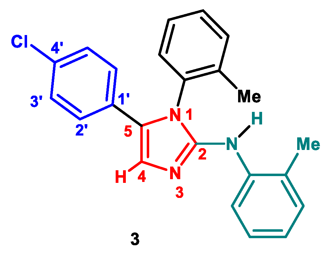
5-(4-Chlorophenyl)-N,1-di-o-tolyl-1H-imidazole-2-amine
Abstract
1. Introduction
2. Results and Discussion
3. Materials and Methods
3.1. General Methods
3.2. Synthesis of 5-(4-Chlorophenyl)-1,2-di-o-tolyl-1H-imidazole (3)
4. Conclusions
Supplementary Materials
Author Contributions
Funding
Data Availability Statement
Conflicts of Interest
References
- Tamm, M.; Randoll, S.; Herdtweck, E.; Kleigrewe, N.; Kehr, G.; Erker, G.; Rieger, B. Imidazolin-2-Iminato Titanium Complexes: Synthesis, Structure and Use in Ethylene Polymerization Catalysis. Dalton Trans. 2006, 459–467. [Google Scholar] [CrossRef]
- Tamm, M.; Randoll, Sö.; Bannenberg, T.; Herdtweck, E. Titanium Complexes with Imidazolin-2-Iminato Ligands. Chem. Commun. 2004, 4, 876–877. [Google Scholar] [CrossRef]
- Selig, P. Guanidine Organocatalysis. Synthesis 2013, 45, 703–718. [Google Scholar] [CrossRef]
- Žula, A.; Kikelj, D.; Ilaš, J. 2-Aminoimidazoles in Medicinal Chemistry. Mini-Rev. Med. Chem. 2013, 13, 1921–1943. [Google Scholar] [CrossRef]
- Sharif, N.A.; Su, S.X.; Yanni, J.M. Emedastine: A Potent, High Affinity Histamine H1-Receptor-Selective Antagonist for Ocular Use: Receptor Binding and Second Messenger Studies. J. Ocul. Pharmacol. Ther. 2009, 10, 653–664. [Google Scholar] [CrossRef]
- Richards, D.M.; Brogden, R.N.; Heel, R.C.; Speight, T.M.; Avery, G.S. Astemizole: A Review of Its Pharmacodynamic Properties and Therapeutic Efficacy. Drugs 1984, 28, 38–61. [Google Scholar] [CrossRef] [PubMed]
- Horton, J. Albendazole: A Review of Anthelmintic Efficacy and Safety in Humans. Parasitology 2000, 121, S113–S132. [Google Scholar] [CrossRef]
- Van den Bossche, H.; Rochette, F.; Hörig, C. Mebendazole and Related Anthelmintics. Adv. Pharmacol. 1982, 19, 67–128. [Google Scholar] [CrossRef]
- Graefe-Mody, U.; Retlich, S.; Friedrich, C. Clinical Pharmacokinetics and Pharmacodynamics of Linagliptin. Clin. Pharmacokinet. 2012, 51, 411–427. [Google Scholar] [CrossRef] [PubMed]
- Saha, N.; Wanjari, P.J.; Dubey, G.; Mahawar, N.; Bharatam, P.V. Metal-Free Synthesis of Imidazoles and 2-Aminoimidazoles. J. Mol. Struct. 2023, 1272, 134092. [Google Scholar] [CrossRef]
- Babaev, E.V. 2-Aminoimidazoles: Synthesis by Ring Transformation Reactions. Stud. Nat. Prod. Chem. 2017, 52, 69–113. [Google Scholar] [CrossRef]
- Ermolat’Ev, D.S.; Bariwal, J.B.; Steenackers, H.P.L.; De Keersmaecker, S.C.J.; Van Der Eycken, E.V. Concise and Diversity-Oriented Route toward Polysubstituted 2-Aminoimidazole Alkaloids and Their Analogues. Angew. Chem. Int. Ed. 2010, 49, 9465–9468. [Google Scholar] [CrossRef]
- Giles, R.L.; Sullivan, J.D.; Steiner, A.M.; Looper, R.E. Addition–Hydroamination Reactions of Propargyl Cyanamides: Rapid Access to Highly Substituted 2-Aminoimidazoles. Angew. Chem. Int. Ed. 2009, 48, 3116–3120. [Google Scholar] [CrossRef]
- Perrone, S.; Messa, F.; Troisi, L.; Salomone, A. N-, O- and S-Heterocycles Synthesis in Deep Eutectic Solvents. Molecules 2023, 28, 3459. [Google Scholar] [CrossRef]
- Abbott, A.P.; Capper, G.; Davies, D.L.; Rasheed, R.K.; Tambyrajah, V. Novel Solvent Properties of Choline Chloride/Urea Mixtures. Chem. Commun. 2003, 70–71. [Google Scholar] [CrossRef]
- Smith, E.L.; Abbott, A.P.; Ryder, K.S. Deep Eutectic Solvents (DESs) and Their Applications. Chem. Rev. 2014, 114, 11060–11082. [Google Scholar] [CrossRef]
- Alonso, D.A.; Baeza, A.; Chinchilla, R.; Guillena, G.; Pastor, I.M.; Ramón, D.J. Deep Eutectic Solvents: The Organic Reaction Medium of the Century. Eur. J. Org. Chem. 2016, 2016, 612–632. [Google Scholar] [CrossRef]
- Paparella, A.N.; Messa, F.; Perrone, S.; Salomone, A. A Phosphonium-Based Deep Eutectic Solvent Promotes the Stereoselective Semi-Reduction of Internal Alkynes to (Z)-Alkenes. Org. Biomol. Chem. 2023, 21, 3770–3777. [Google Scholar] [CrossRef]
- Perrone, S.; Messa, F.; Salomone, A. Towards Green Reductions in Bio-Derived Solvents. Eur. J. Org. Chem. 2023, 26, e202201494. [Google Scholar] [CrossRef]
- Paparella, A.N.; Messa, F.; Dilauro, G.; Troisi, L.; Perrone, S.; Salomone, A. A Glycerol-Based Deep Eutectic Solvent as Natural Medium and Organic Reductant for Homocoupling of (Hetero)Aryl Chlorides: A Green Route to 2,2′-Bipyridine and Biaryl Scaffolds. ChemistrySelect 2022, 7, e202203438. [Google Scholar] [CrossRef]
- Messa, F.; Dilauro, G.; Paparella, A.N.; Silvestri, L.; Furlotti, G.; Iacoangeli, T.; Perrone, S.; Salomone, A. Deep Eutectic Solvents Meet Safe, Scalable and Sustainable Hydrogenations Enabled by Aluminum Powder and Pd/C. Green Chem. 2022, 24, 4388–4394. [Google Scholar] [CrossRef]
- Messa, F.; Perrone, S.; Capua, M.; Tolomeo, F.; Troisi, L.; Capriati, V.; Salomone, A. Towards a Sustainable Synthesis of Amides: Chemoselective Palladium-Catalysed Aminocarbonylation of Aryl Iodides in Deep Eutectic Solvents. Chem. Commun. 2018, 54, 8100–8103. [Google Scholar] [CrossRef]
- Perrone, S.; Capua, M.; Messa, F.; Salomone, A.; Troisi, L. Green Synthesis of 2-Pyrazinones in Deep Eutectic Solvents: From α-Chloro Oximes to Peptidomimetic Scaffolds. Tetrahedron 2017, 73, 6193–6198. [Google Scholar] [CrossRef]
- Capua, M.; Perrone, S.; Perna, F.M.; Vitale, P.; Troisi, L.; Salomone, A.; Capriati, V. An Expeditious and Greener Synthesis of 2-Aminoimidazoles in Deep Eutectic Solvents. Molecules 2016, 21, 924. [Google Scholar] [CrossRef] [PubMed]
- Little, T.L.; Webber, S.E. A Simple and Practical Synthesis of 2-Aminoimidazoles. J. Org. Chem. 1994, 59, 7299–7305. [Google Scholar] [CrossRef]





Disclaimer/Publisher’s Note: The statements, opinions and data contained in all publications are solely those of the individual author(s) and contributor(s) and not of MDPI and/or the editor(s). MDPI and/or the editor(s) disclaim responsibility for any injury to people or property resulting from any ideas, methods, instructions or products referred to in the content. |
© 2023 by the authors. Licensee MDPI, Basel, Switzerland. This article is an open access article distributed under the terms and conditions of the Creative Commons Attribution (CC BY) license (https://creativecommons.org/licenses/by/4.0/).
Share and Cite
Messa, F.; Papadia, P.; Perrone, S.; Salomone, A. 5-(4-Chlorophenyl)-N,1-di-o-tolyl-1H-imidazole-2-amine. Molbank 2023, 2023, M1648. https://doi.org/10.3390/M1648
Messa F, Papadia P, Perrone S, Salomone A. 5-(4-Chlorophenyl)-N,1-di-o-tolyl-1H-imidazole-2-amine. Molbank. 2023; 2023(2):M1648. https://doi.org/10.3390/M1648
Chicago/Turabian StyleMessa, Francesco, Paride Papadia, Serena Perrone, and Antonio Salomone. 2023. "5-(4-Chlorophenyl)-N,1-di-o-tolyl-1H-imidazole-2-amine" Molbank 2023, no. 2: M1648. https://doi.org/10.3390/M1648
APA StyleMessa, F., Papadia, P., Perrone, S., & Salomone, A. (2023). 5-(4-Chlorophenyl)-N,1-di-o-tolyl-1H-imidazole-2-amine. Molbank, 2023(2), M1648. https://doi.org/10.3390/M1648

