Synthesis, Crystal Structure and Cyclic Voltammetric Behavior of N-aroyl-N′-(4′-cyanophenyl)thioureas
Abstract
:1. Introduction
2. Results
2.1. Spectroscopic Studies
2.2. Single-Crystal X-ray Studies of Title Compound 1
2.3. Molecular Electrostatic Potential (MEP) and Mulliken Atomic Charges for Compounds (1 and 2)
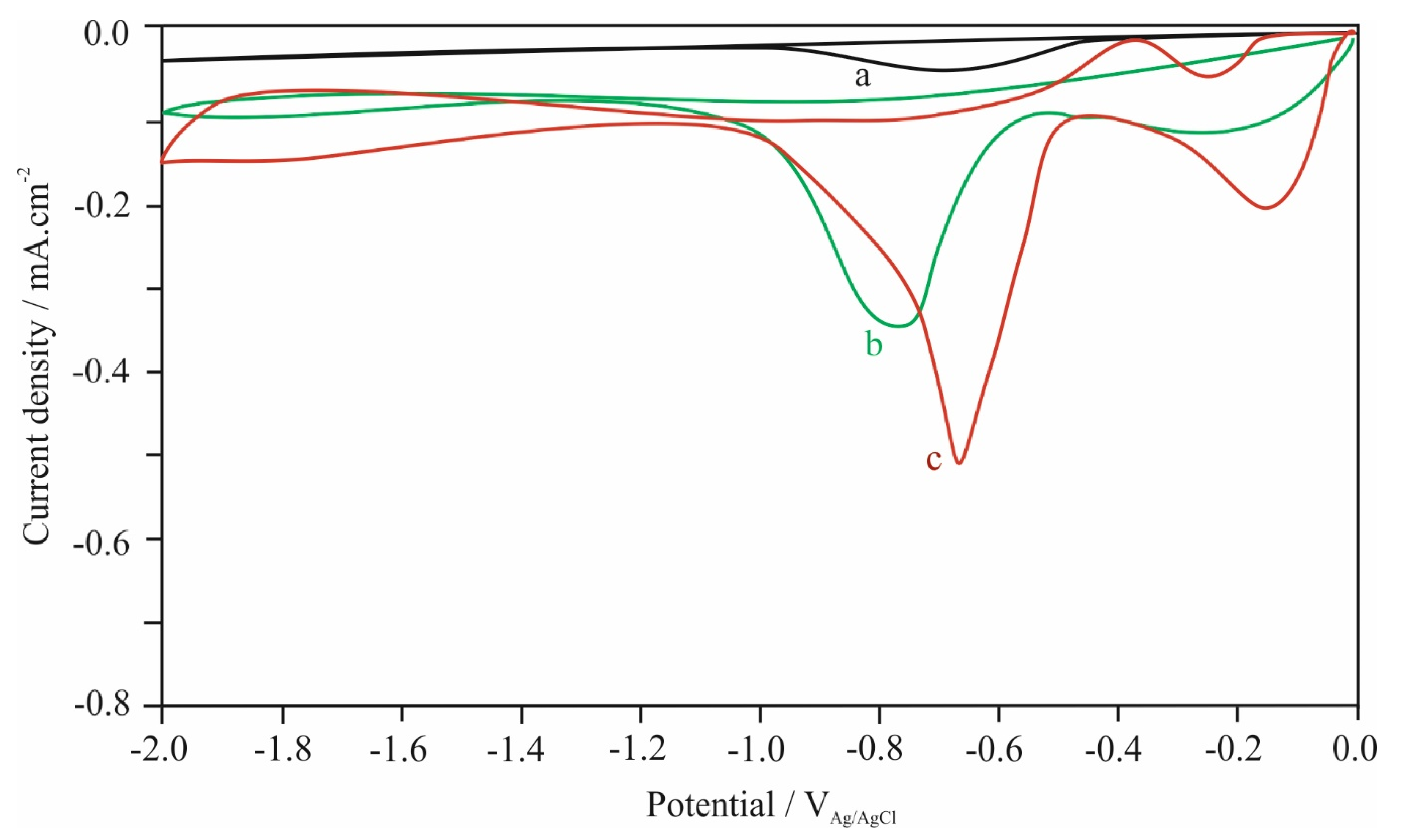
2.4. Electrochemical Studies
3. Materials and Methods
3.1. General Information
3.2. The Synthesis of N-Benzoyl-N′-(4′-Cyanophenyl)Thiourea (1) and N-(4-Nitrobenzoyl)-N′-(4′-Cyanophenyl)Thiourea (2)
3.2.1. N-Benzoyl-N′-(4′-Cyanophenyl)Thiourea, C15H11N3OS, (1)
3.2.2. N-(4-Nitrobenzoyl)-N´-(4′-Cyanophenyl)Thiourea, C15H10N4O3S, (2)
4. Conclusions
Supplementary Materials
Author Contributions
Funding
Institutional Review Board Statement
Informed Consent Statement
Data Availability Statement
Conflicts of Interest
References
- Mahdavi, M.; Shirazi, M.S.; Taherhani, R.; Saeedi, M.; Alipour, E.; Moghadam, F.H.; Moradi, A.; Nadri, H.; Emami, S.; Firoozpour, L.; et al. Synthesis, biological evaluation and docking study of 3-aroyl-1-(4-sulfamoylphenyl)thiourea derivatives as 15-lipoxygenase inhibitors. Eur. J. Med. Chem. 2014, 82, 308–313. [Google Scholar] [CrossRef] [PubMed]
- Saeed, S.; Rashid, N.; Jones, P.G.; Ali, M.; Hussain, R. Synthesis, characterization and biological evaluation of some thiourea derivatives bearing benzothiazole moiety as potential antimicrobial and anticancer agents. Eur. J. Med. Chem. 2010, 45, 1323–1331. [Google Scholar] [CrossRef] [PubMed]
- Saeed, A.; Flörke, U.; Erben, M.F. A review on the chemistry, coordination, structure and biological properties of 1-(acyl/aroyl)-3-(substituted) thioureas. J. Sulfur Chem. 2014, 35, 318–355. [Google Scholar] [CrossRef]
- Koch, K.R. New chemistry with old ligands: N-alkyl- and N,N-dialkyl-N′-acyl(aroyl)thioureas in co-ordination, analytical and process chemistry of the platinum group metals. Coord. Chem. Rev. 2001, 216–217, 473–488. [Google Scholar] [CrossRef]
- Alkherraz, A.M.; Lusta, Z.I.; Zubi, A.E. Synthesis and use of thiourea derivative (1-phenyl-3-benzoyl-2-thiourea) for extraction of cadmium ion. Int. J. Chem. Mater. Sci. Eng. 2014, 8, 118–120. [Google Scholar]
- Aydin, F.; Tunoǧlu, N.; Aykaç, D.; Arslan, N.B.; Kazak, C. Synthesis and structural X-ray analysis of 1,1′-(naphthalene-1,8-diyl)-3,3′-dibenzoyl-bisthiourea and its use as anion-binding receptor. Turkish J. Chem. 2012, 36, 764–777. [Google Scholar] [CrossRef]
- Aydin, F.; Dagci, E. N,N′-Bis-(4-nitrophenylcarbamothioyl) phthalamide. Molbank 2013, 2013, M809. [Google Scholar] [CrossRef]
- Saad, F.A.; Knight, J.C.; Kariuki, B.M.; Amoroso, A.J. Co-ordination behaviour of a novel tristhiourea tripodal ligand; Structural variations in a series of transition metal complexes. Dalt. Trans. 2016, 45, 10280–10288. [Google Scholar] [CrossRef] [Green Version]
- Pérez-Marín, L.; Estévez-Hernández, O.; Rojas-Lima, S.; Alonso-Chamarro, J. Aroylthioureas: New organic ionophores for heavy-metal ion selective electrodes. J. Chem. Soc. Perkin Trans. 2001, 1, 2211–2218. [Google Scholar] [CrossRef]
- Erşen, D.; Ülger, M.; Mangelinckx, S.; Gemili, M.; Şahin, E.; Nural, Y. Synthesis and anti(myco)bacterial activity of novel 5,5-diphenylpyrrolidine N-aroylthiourea derivatives and a functionalized hexahydro-1H-pyrrolo[1,2-c]imidazole. Med. Chem. Res. 2017, 26, 2152–2160. [Google Scholar] [CrossRef]
- Dražić, I.T.; Vazdar, K.; Vazdar, M.; Đaković, M.; Mikecin, A.-M.; Kralj, M.; Malnar, M.; Hećimović, S. Synthesis of new 2-aminoimidazolones with antiproliferative activity via base promoted amino-beta-lactam rearrangement. Tetrahedron 2015, 71, 9202–9215. [Google Scholar] [CrossRef]
- Rong, W.; Shuang, H.; Xiaojing, D.; Daijie, C.; Lei, S.; Liujia, Q.; Zhong, L.; Xiaoyong, X. Synergism of fused bicyclic 2-aminothiazolyl compounds with polymyxin B against Klebsiella pneumoniae. Medchemcomm 2017, 8, 2060–2066. [Google Scholar] [CrossRef]
- Bajivali, S.; Mohan, S.; Ramana, T.; Rao, K.P. Iodine-Mediated Multi-Component Reactions: Readily Access to Tetrazoles and Guanidines. Lett. Org. Chem. 2021, 18, 382–388. [Google Scholar] [CrossRef]
- Becke, A.D. Density-functional thermochemistry. I. The effect of the exchange-only gradient correction. J. Chem. Phys. 1992, 96, 2155–2160. [Google Scholar] [CrossRef]
- Ditchfield, R.; Hehre, W.J.; Pople, J.A. Self-Consistent Molecular-Orbital Methods. IX. An Extended Gaussian-Type Basis for Molecular-Orbital Studies of Organic Molecules. J. Chem. Phys. 1971, 54, 724–728. [Google Scholar] [CrossRef]
- Aydın, F.; Ünver, H.; Aykaç, D.; Iskeleli, N.O. Spectroscopic studies and structure of 4-(3-benzoylthioureido)benzoic acid. J. Chem. Crystallogr. 2010, 40, 1082–1086. [Google Scholar] [CrossRef]
- Yang, W.; Zhou, W.; Zhang, Z. Structural and spectroscopic study on N-2-fluorobenzoyl-N′-4-methoxyphenylthiourea. J. Mol. Struct. 2007, 828, 46–53. [Google Scholar] [CrossRef]
- Kumar, V.; Panikar, Y.; Palafox, M.A.; Vats, J.K.; Kostova, I.; Lang, K.; Rastogi, V.K. Ab-initio calculations, FT-IR and FT-Raman spectra of 2-chloro-6-methyl benzonitrile. Indian J. Pure Appl. Phys. 2010, 48, 85–94. [Google Scholar]
- Rao, C.N.R.; Venkataraghavan, R. The C=S stretching frequency and the “-N-C=S bands” in the infrared. Spectrochim. Acta 1962, 18, 541–547. [Google Scholar] [CrossRef]
- Lenthall, J.T.; Foster, J.A.; Anderson, K.M.; Probert, M.R.; Howard, J.A.K.; Steed, J.W. Hydrogen bonding interactions with the thiocarbonyl π-system. Cryst. Eng. Comm. 2011, 13, 3202–3212. [Google Scholar] [CrossRef]
- Gumus, I.; Solmaz, U.; Binzet, G.; Keskin, E.; Arslan, B.; Arslan, H. Supramolecular self-assembly of new thiourea derivatives directed by intermolecular hydrogen bonds and weak interactions: Crystal structures and Hirshfeld surface analysis. Res. Chem. Intermed. 2019, 45, 169–198. [Google Scholar] [CrossRef]
- Osborne, A.G. Long range cyano 13C-1H coupling constants in some cyanopyridines and benzonitriles. Spectrochim. Acta Part A 1997, 53, 2475–2480. [Google Scholar] [CrossRef]
- Löser, R.; Pitzschler, R.; Köckerling, M. Synthesis and X-ray crystal structure of N′-Cyano-N,N′-dimethyl-4-nitrobenzohydrazide. Crystals 2017, 7, 290. [Google Scholar] [CrossRef]
- Aydin, F.; Aykaç, D.; Burcu Arslan, N.; Kazak, C. Synthesis, characterization, and crystal structure of bis[4-(3′-benzoyl)thiocarbamidophenyl]ether. Crystallogr. Rep. 2014, 59, 955–960. [Google Scholar] [CrossRef]
- Politzer, P.; Murray, J.S. The fundamental nature and role of the electrostatic potential in atoms and molecules. Theor. Chem. Acc. 2002, 108, 134–142. [Google Scholar] [CrossRef]
- Luque, F.J.; Orozco, M.; Bhadane, P.K.; Gadre, S.R. SCRF calculation of the effect of water on the topology of the molecular electrostatic potential. J. Phys. Chem. 1993, 97, 9380–9384. [Google Scholar] [CrossRef]
- Olson, E.J.; Isley, W.C.; Brennan, J.E.; Cramer, C.J.; Bühlmann, P. Electrochemical Reduction of 2,4-Dinitrotoluene in Aprotic and pH-Buffered Media. J. Phys. Chem. C 2015, 119, 13088–13097. [Google Scholar] [CrossRef]
- Sheldrick, G.M. SHELXS-97: Program for the Solution Crystal Structure; University of Göttingen: Göttingen, Germany, 1997. [Google Scholar]
- Sheldrick, G. SHELXL-97: Program for the Refinement Crystal Structure; University of Gottingen: Göttingen, Germany, 1997. [Google Scholar]







Publisher’s Note: MDPI stays neutral with regard to jurisdictional claims in published maps and institutional affiliations. |
© 2022 by the authors. Licensee MDPI, Basel, Switzerland. This article is an open access article distributed under the terms and conditions of the Creative Commons Attribution (CC BY) license (https://creativecommons.org/licenses/by/4.0/).
Share and Cite
Aydin, F.; Arslan, N.B. Synthesis, Crystal Structure and Cyclic Voltammetric Behavior of N-aroyl-N′-(4′-cyanophenyl)thioureas. Molbank 2022, 2022, M1316. https://doi.org/10.3390/M1316
Aydin F, Arslan NB. Synthesis, Crystal Structure and Cyclic Voltammetric Behavior of N-aroyl-N′-(4′-cyanophenyl)thioureas. Molbank. 2022; 2022(1):M1316. https://doi.org/10.3390/M1316
Chicago/Turabian StyleAydin, Fatma, and N. Burcu Arslan. 2022. "Synthesis, Crystal Structure and Cyclic Voltammetric Behavior of N-aroyl-N′-(4′-cyanophenyl)thioureas" Molbank 2022, no. 1: M1316. https://doi.org/10.3390/M1316
APA StyleAydin, F., & Arslan, N. B. (2022). Synthesis, Crystal Structure and Cyclic Voltammetric Behavior of N-aroyl-N′-(4′-cyanophenyl)thioureas. Molbank, 2022(1), M1316. https://doi.org/10.3390/M1316
