Naphthalen-2-yl 1-(benzamido(diethoxyphosphoryl)methyl)-1H-1,2,3-triazole-4-carboxylate
Abstract
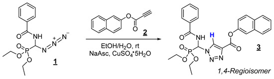
1. Introduction
2. Results and Discussion
3. Materials and Methods
4. Conclusions
Supplementary Materials
Author Contributions
Funding
Institutional Review Board Statement
Informed Consent Statement
Data Availability Statement
Acknowledgments
Conflicts of Interest
References
- Kafarski, P.; Lejczak, B. BIOLOGICAL ACTIVITY OF AMINOPHOSPHONIC ACIDS. Phosphorus Sulfur Silicon Relat. Elem. 1991, 63, 193–215. [Google Scholar] [CrossRef]
- Macchiarulo, A.; Pellicciari, R. Exploring the Other Side of Biologically Relevant Chemical Space: Insights into Carboxylic, Sulfonic and Phosphonic Acid Bioisosteric Relationships. J. Mol. Graph. Model. 2007, 26, 728–739. [Google Scholar] [CrossRef]
- Turhanen, P.A.; Demadis, K.D.; Kafarski, P. Editorial: Phosphonate Chemistry in Drug Design and Development. Front. Chem. 2021, 9, 755–758. [Google Scholar] [CrossRef]
- Olszewski, T.K. Synthesis of heterocyclic substituted phosphonates, phosphonic and phosphinic acids. Targets Heterocycl. Syst. 2020, 24, 84. [Google Scholar] [CrossRef]
- Awad, M.K.; Abdel-Aal, M.F.; Atlam, F.M.; Hekal, H.A. Molecular Docking, Molecular Modeling, Vibrational and Biological Studies of Some New Heterocyclic α-Aminophosphonates. Spectrochim. Acta. A Mol. Biomol. Spectrosc. 2019, 206, 78–88. [Google Scholar] [CrossRef] [PubMed]
- López-Francés, A.; Del Corte, X.; Martínez De Marigorta, E.; Palacios, F.; Vicario, J. Ugi Reaction on α-Phosphorated Ketimines for the Synthesis of Tetrasubstituted α-Aminophosphonates and Their Applications as Antiproliferative Agents. Molecules 2021, 26, 1654. [Google Scholar] [CrossRef]
- Zhou, X.; Ye, Y.; Liu, S.; Shao, W.; Liu, L.; Yang, S.; Wu, Z. Design, Synthesis and Anti-TMV Activity of Novel α-Aminophosphonate Derivatives Containing a Chalcone Moiety That Induce Resistance against Plant Disease and Target the TMV Coat Protein. Pestic. Biochem. Physiol. 2021, 172, 104749. [Google Scholar] [CrossRef]
- Balam, S.K.; Soora Harinath, J.; Krishnammagari, S.K.; Gajjala, R.R.; Polireddy, K.; Baki, V.B.; Gu, W.; Valasani, K.R.; Avula, V.K.R.; Vallela, S.; et al. Synthesis and Anti-Pancreatic Cancer Activity Studies of Novel 3-Amino-2-Hydroxybenzofused 2-Phospha-γ-Lactones. ACS Omega 2021, 6, 11375–11388. [Google Scholar] [CrossRef] [PubMed]
- Guo, Y.-C.; Li, J.; Ma, J.-L.; Yu, Z.-R.; Wang, H.-W.; Zhu, W.-J.; Liao, X.-C.; Zhao, Y.-F. Synthesis and Antitumor Activity of α-Aminophosphonate Derivatives Containing Thieno[2,3-d]Pyrimidines. Chin. Chem. Lett. 2015, 26, 755–758. [Google Scholar] [CrossRef]
- Abdel-Megeed, M.F.; Badr, B.E.; Azaam, M.M.; El-Hiti, G.A. Synthesis and Antimicrobial Activities of a Novel Series of Heterocyclic α-Aminophosphonates. Arch. Pharm. 2012, 345, 784–789. [Google Scholar] [CrossRef]
- Tellamekala, S.; Gundluru, M.; Sarva, S.; Nadiveedhi, M.R.; Sudileti, M.; Allagadda, R.; Chippada, A.R.; Cirandur, S.R. Meglumine Sulfate-Catalyzed One-Pot Green Synthesis and Antioxidant Activity of α-Aminophosphonates. Synth. Commun. 2019, 49, 563–575. [Google Scholar] [CrossRef]
- Thaslim Basha, S.; Sudhamani, H.; Rasheed, S.; Venkateswarlu, N.; Vijaya, T.; Naga Raju, C. Microwave-Assisted Neat Synthesis of α-Aminophosphonate/Phosphinate Derivatives of 2-(2-Aminophenyl)Benzothiazole as Potent Antimicrobial and Antioxidant Agents. Phosphorus Sulfur Silicon Relat. Elem. 2016, 191, 1339–1343. [Google Scholar] [CrossRef]
- Zhang, P.; Tang, C.; Chen, Z.; Wang, B.; Wang, X.; Jin, L.; Yang, S.; Hu, D. Design, Synthesis, and Antiviral Activity of α-Aminophosphonates Bearing a Benzothiophene Moiety. Phosphorus Sulfur Silicon Relat. Elem. 2014, 189, 530–540. [Google Scholar] [CrossRef]
- Bazine, I.; Cheraiet, Z.; Bensegueni, R.; Bensouici, C.; Boukhari, A. Synthesis, Antioxidant and Anticholinesterase Activities of Novel Quinoline—Aminophosphonate Derivatives. J. Heterocycl. Chem. 2020, 57, 2139–2149. [Google Scholar] [CrossRef]
- Varga, P.R.; Keglevich, G. Synthesis of α-Aminophosphonates and Related Derivatives; The Last Decade of the Kabachnik–Fields Reaction. Molecules 2021, 26, 2511. [Google Scholar] [CrossRef]
- Hamed, M.A.; Shaban, E.; Kafafy, H.; El Gokha, A.A.A.; El Sayed, I. Synthesis and Characterization of Novel Azo Disperse Dyes Containing -Amino Phosphonate and Their Dyeing Performance on Polyester Fabric. Egypt. J. Chem. 2017, 60, 4–8. [Google Scholar] [CrossRef][Green Version]
- Kaur, G.; Shamim, M.; Bhardwaj, V.; Gupta, V.K.; Banerjee, B. Mandelic Acid Catalyzed One-Pot Three-Component Synthesis of α-Aminonitriles and α-Aminophosphonates under Solvent-Free Conditions at Room Temperature. Synth. Commun. 2020, 50, 1545–1560. [Google Scholar] [CrossRef]
- Guezane-Lakoud, S.; Toffano, M.; Aribi-Zouioueche, L. Promiscuous lipase catalyzed a new P-C bond formation: Green and efficient protocol for one-pot synthesis of α-aminophosphonates. Heteroat. Chem. 2017, 28, e21408. [Google Scholar] [CrossRef]
- Elachqar, A.; El Hallaouiq, A.; Roumestant, M.L.; Viallefont, P. Synthesis of Heterocyclic α-Aminophosphonic Acids. Synth. Commun. 1994, 24, 1279–1286. [Google Scholar] [CrossRef]
- Achamlale, S.; Mabrouk, H.; Elachqar, A.; El Hallaoui, A.; El Hajji, S.; Alami, A.; Bellan, J.; Mazières, M.R.; Wolf, J.G.; Pierrot, M. Synthesis and Thermal Isomerization of Carboxylic and Phosphonic α-Aminoesters Substituted With a Triazole Ring. Phosphorus Sulfur Silicon Relat. Elem. 2007, 182, 357–367. [Google Scholar] [CrossRef]
- Boukallaba, K.; Elachqar, A.; El Hallaoui, A.; Alami, A.; El Hajji, S.; Labriti, B.; Martinez, J.; Rolland, V. Synthesis of New α-Heterocyclic α-Aminophosphonates. Phosphorus Sulfur Silicon Relat. Elem. 2006, 181, 819–823. [Google Scholar] [CrossRef]
- Xu, Z.; Zhao, S.-J.; Liu, Y. 1,2,3-Triazole-Containing Hybrids as Potential Anticancer Agents: Current Developments, Action Mechanisms and Structure-Activity Relationships. Eur. J. Med. Chem. 2019, 183, 111700. [Google Scholar] [CrossRef]
- Taha, M.A.M.; El-Badry, S.M. Antimicrobial Assessment of Some Heterocyclic Compounds Utilizing Ethyl 1-Aminotetrazole-5-Carboxylate. J. Korean Chem. Soc. 2010, 54, 414–418. [Google Scholar] [CrossRef][Green Version]
- Pokhodylo, N. Synthesis of 1,2,3-Triazole Derivatives and Evaluation of Their Anticancer Activity. Sci. Pharm. 2013, 81, 663–676. [Google Scholar] [CrossRef]
- Jordão, A.K.; Afonso, P.P.; Ferreira, V.F.; de Souza, M.C.B.V.; Almeida, M.C.B.; Beltrame, C.O.; Paiva, D.P.; Wardell, S.M.S.V.; Wardell, J.L.; Tiekink, E.R.T.; et al. Antiviral Evaluation of N-Amino-1,2,3-Triazoles against Cantagalo Virus Replication in Cell Culture. Eur. J. Med. Chem. 2009, 44, 3777–3783. [Google Scholar] [CrossRef] [PubMed]
- Chu, M.-J.; Wang, W.; Ren, Z.-L.; Liu, H.; Cheng, X.; Mo, K.; Wang, L.; Tang, F.; Lv, X.-H. Discovery of Novel Triazole-Containing Pyrazole Ester Derivatives as Potential Antibacterial Agents. Molecules 2019, 24, 1311. [Google Scholar] [CrossRef]
- Danne, A.B.; Akolkar, S.V.; Deshmukh, T.R.; Siddiqui, M.M.; Shingate, B.B.A.J. One-pot facile synthesis of novel 1, 2, 3-triazole-appended α-aminophosphonates. Iran. Chem. Soc. 2019, 16, 953–961. [Google Scholar] [CrossRef]
- Vorobyeva, D.V.; Karimova, N.M.; Vasilyeva, T.P.; Osipov, S.N.; Shchetnikov, G.T.; Odinets, I.L.; Röschenthaler, G.-V. Synthesis of Functionalized α-CF3-α-Aminophosphonates via Cu (I)-Catalyzed 1, 3-Dipolar Cycloaddition. J. Fluor. Chem. 2010, 131, 378–383. [Google Scholar] [CrossRef]
- Tripolszky, A.; Tóth, E.; Szabó, P.T.; Hackler, L.; Kari, B.; Puskás, L.G.; Bálint, E. Synthesis and In Vitro Cytotoxicity and Antibacterial Activity of Novel 1,2,3-Triazol-5-Yl-Phosphonates. Molecules 2020, 25, 2643. [Google Scholar] [CrossRef] [PubMed]
- Ouahrouch, A.; Taourirte, M.; Schols, D.; Snoeck, R.; Andrei, G.; Engels, J.W.; Lazrek, H.B. Design, Synthesis, and Antiviral Activity of Novel Ribonucleosides of 1,2,3-Triazolylbenzyl-aminophosphonates. Arch. Pharm. 2016, 349, 30–41. [Google Scholar] [CrossRef]
- Makarov, M.V.; Rybalkina, E.Y.; Khrustalev, V.; Roeschenthaler, G.V. Modification of 3,5-Bis(Arylidene)-4-Piperidone Pharmacophore by Phosphonate Group Using 1,2,3-Triazole Cycle as a Linker for the Synthesis of New Cytostatics. Med. Chem. Res. 2015, 24, 1753–1762. [Google Scholar] [CrossRef]
- Kolb, H.C.; Finn, M.G.; Sharpless, K.B. Click Chemistry: Diverse Chemical Function from a Few Good Reactions. Angew. Chem. Int. Ed. 2001, 40, 2004. [Google Scholar] [CrossRef]
- Rostovtsev, V.V.; Green, L.G.; Fokin, V.V.; Sharpless, K.B. A Stepwise Huisgen Cycloaddition Process: Copper(I)-Catalyzed Regioselective “Ligation” of Azides and Terminal Alkynes. Angew. Chemie. Int. Ed. 2002, 41, 2596–2599. [Google Scholar] [CrossRef]
- Khadir Fall, S.A.; Achamlale, S.; Aouine, Y.; Nakkabi, A.; Faraj, H.; Alami, A. Diethyl [(4-{(9H-Carbazol-9-Yl)Methyl}-1H-1,2,3-Triazol-1-Yl)(Benzamido)Methyl]Phosphonate. Molbank 2020, 2020, M1167. [Google Scholar] [CrossRef]
- Khadir, F.S.A.; Boukhssas, S.; Achamlale, S.; Aouine, Y.; Nakkabi, A.; Faraj, H.; Alami, A. Synthesis and Characterization of the Structure of Diethyl [(4-{(1H-Benzo[d]Imidazol-1-Yl)Methyl}-1H-1,2,3-Triazol-1-Yl)(Benzamido)Methyl]Phosphonate Using 1D and 2D NMR Experiments. Eur. J. Adv. Chem. Res. 2021, 2, 1–7. [Google Scholar] [CrossRef]
- Dioukhane, K.; Aouine, Y.; Boukhssas, S.; Nakkabi, A.; Faraj, H.; Alami, A. Synthesis and Characterization of a Novel Biheterocyclic -Amino Acid Precursor of the Triazole-Tetrazole Type, via the Copper (I) Catalyzed Alkyne-Azide Cycloaddition Reaction (CuAAC). Eur. J. Adv. Chem. Res. 2021, 2, 7–15. [Google Scholar] [CrossRef]
- Xi, W.; Scott, T.F.; Kloxin, C.J.; Bowman, C.N. Click Chemistry in Materials Science. Adv. Funct. Mater. 2014, 24, 2572–2590. [Google Scholar] [CrossRef]
- Kim, E.; Koo, H. Biomedical Applications of Copper-Free Click Chemistry: In Vitro, in Vivo, and Ex Vivo. Chem. Sci. 2019, 10, 7835–7851. [Google Scholar] [CrossRef]
- Habnouni, S.E.; Darcos, V.; Garric, X.; Lavigne, J.-P.; Nottelet, B.; Coudane, J. Mild Methodology for the Versatile Chemical Modification of Polylactide Surfaces: Original Combination of Anionic and Click Chemistry for Biomedical Applications. Adv. Funct. Mater. 2011, 21, 3321–3330. [Google Scholar] [CrossRef]
- Yvorra, T.; Steinmetz, A.; Retailleau, P.; Lantz, O.; Schmidt, F. Synthesis, Biological Evaluation and Molecular Modelling of New Potent Clickable Analogues of 5-OP-RU for Their Use as Chemical Probes for the Study of MAIT Cell Biology. Eur. J. Med. Chem. 2021, 211, 113066. [Google Scholar] [CrossRef]
- Kharb, R.; Sharma, P.C.; Yar, M.S. Pharmacological Significance of Triazole Scaffold. J. Enzyme Inhib. Med. Chem. 2011, 26, 1–21. [Google Scholar] [CrossRef] [PubMed]
- N’Guyen, T.T.T.; Oussadi, K.; Montembault, V.; Fontaine, L. Synthesis of ω-Phosphonated Poly(Ethylene Oxide)s through the Combination of Kabachnik-Fields Reaction and “Click” Chemistry. J. Polym. Sci. Part Polym. Chem. 2013, 51, 415–423. [Google Scholar] [CrossRef]
- Tornøe, C.W.; Christensen, C.; Meldal, M. Peptidotriazoles on solid phase: [1,2,3]-Triazoles by regiospecific copper(I)-catalyzed 1,3-dipolar cycloadditions of terminal alkynes to azides. J. Org. Chem. 2002, 67, 3057–3064. [Google Scholar] [CrossRef] [PubMed]
- Achamlale, S.; Alami, A.; Aouine, Y. STRUCTURE ASSIGNMENT OF N-PROTECTED 2-(1H-1,2,3- TRIAZOL-1-YL)-GLYCINE DERIVATIVES BY CHEMICAL AND SPECTROSCOPIC METHODS. Moroc. J. Heterocycl. Chem. 2019, 18, 61–69. [Google Scholar] [CrossRef]










| Position | δ(H) | δ(C) | δ(P) | H-H (**) | P-H (**) | C-P (**) | C-H (**) |
|---|---|---|---|---|---|---|---|
| 4 | - | 139.6 | - | - | - | - | |
| 5 | 9.04 (1H, s) | 129.2 | - | H5-H5 | - | - | C5-H5 |
| 6 | - | 158.9 | - | - | - | - | - |
| 7 | - | 147.8 | - | - | - | - | - |
| 8 | 7.29–7.32 (1H, m) | 120.9 | - | H8-H8 | - | - | C8-H8 |
| 9 | 7.77–7.79 (1H, m) | 129.6 | - | H9-H9 | - | - | C9-H9 |
| 10 | - | 131.6 | - | - | - | - | - |
| 11 | 7.80–7.86 (1H, m) | 127.8 | - | H11-H11 | - | - | C11-H11 |
| 12 | 7.47–7.51 (1H, m) | 126.7 | - | H12-H12 | - | - | C12-H12 |
| 13–14 | 7.47–7.51 (2H, m) | 127.8 | - | H13-H13 H14-H14 | - | - | C13-H13 C14-H14 |
| 15 | - | 132.2 | - | - | - | - | - |
| 16 | 7.48 (1H, s) | 118.7 | - | H16-H16 | - | - | C16-H16 |
| 17 | 7.47–7.51 (1H, m) | 59.6–65.0 (d, JC-P = 182.6) | - | H17-H17 H17-H21 | P18-H17 | C17-P18 | C17-H17 |
| 18 | - | - | 12.14 | - | P18-H17 P18-H21 | P18-C17 P18-C19 P18-C19′ P18-C20 P18-C20′ P18-C22 | - |
| 19 | 3.92–4.15 (2H, m) | 64.9–65.3 (d, JC-P = 28.5) | - | 2H19–2H19 2H19–3H20 | - | C19-P18 | C19–2H19 |
| 19′ | 4.29–4.34 (2H, q, J = 7.2) | 65.0–65.4 (d, JC-P = 27.9) | - | 2H19′-2H19′ 2H19′-3H20′ | - | C19′-P18 | C19′-2H19′ |
| 20 | 1.21 (3H, t, J = 7.2) | 16.2–16.3 (d, JC-P = 6.0) | - | 3H20–3H20 3H20–2H19 | - | C20-P18 | C20–3H20 |
| 20′ | 1.29 (3H, t, J = 7.2) | 16.3–16.4 (d, JC-P = 5.3) | - | 3H20′-3H20′ 3H20′-2H19′ | - | C20′-P18 | C20′-3H20′ |
| 21 | 9.3–9.5 (1H, dd, J1 = 4.2; J2 = 9.9) | - | - | H21-H21 H21-H17 | P18-H21 | - | - |
| 22 | - | 167.6–167.8 (d, JC-P = 9.0) | - | - | - | C22-P18 | - |
| 23 | - | 133.7 | - | - | - | - | - |
| 24; 28 | 7.98–8.01 (2H, m) | 128.5 | - | H24-H24 H28-H28 | - | - | C24-H24 C28-H28 |
| 26 | 7.51–7.56 (1H, m) | 132.7 | - | H26-H26 | - | - | C26-H26 |
| 25; 27 | 7.47–7.51 (2H, m) | 128.1 | - | H25-H25 H27-H27 | - | - | C25-H25 C27-H27 |
Publisher’s Note: MDPI stays neutral with regard to jurisdictional claims in published maps and institutional affiliations. |
© 2021 by the authors. Licensee MDPI, Basel, Switzerland. This article is an open access article distributed under the terms and conditions of the Creative Commons Attribution (CC BY) license (https://creativecommons.org/licenses/by/4.0/).
Share and Cite
Fall, S.A.K.; Hajib, S.; Karai, O.; Boukhssas, S.; Aouine, Y.; Akhazzane, M.; Labriti, B.; Faraj, H.; Alami, A. Naphthalen-2-yl 1-(benzamido(diethoxyphosphoryl)methyl)-1H-1,2,3-triazole-4-carboxylate. Molbank 2021, 2021, M1285. https://doi.org/10.3390/M1285
Fall SAK, Hajib S, Karai O, Boukhssas S, Aouine Y, Akhazzane M, Labriti B, Faraj H, Alami A. Naphthalen-2-yl 1-(benzamido(diethoxyphosphoryl)methyl)-1H-1,2,3-triazole-4-carboxylate. Molbank. 2021; 2021(4):M1285. https://doi.org/10.3390/M1285
Chicago/Turabian StyleFall, Serigne Abdou Khadir, Sara Hajib, Oumaima Karai, Salaheddine Boukhssas, Younas Aouine, Mohamed Akhazzane, Brahim Labriti, Hassane Faraj, and Anouar Alami. 2021. "Naphthalen-2-yl 1-(benzamido(diethoxyphosphoryl)methyl)-1H-1,2,3-triazole-4-carboxylate" Molbank 2021, no. 4: M1285. https://doi.org/10.3390/M1285
APA StyleFall, S. A. K., Hajib, S., Karai, O., Boukhssas, S., Aouine, Y., Akhazzane, M., Labriti, B., Faraj, H., & Alami, A. (2021). Naphthalen-2-yl 1-(benzamido(diethoxyphosphoryl)methyl)-1H-1,2,3-triazole-4-carboxylate. Molbank, 2021(4), M1285. https://doi.org/10.3390/M1285

