You are currently viewing a new version of our website. To view the old version click .
Molbank
  • Communication
  • Open Access

29 January 2020

1-Phenyl-8-[[4-(pyrrolo[1,2-a]quinoxalin-4-yl)phenyl]methyl]-1,3,8-triazaspiro[4.5]decan-4-one: Synthesis, Crystal Structure and Anti-Leukemic Activity

,
,
,
,
,
and
1
Faculty of Pharmacy, University of Bordeaux, INSERM U1212/UMR CNRS 5320, ARNA Laboratory, 146 rue Léo Saignat, F-33076 Bordeaux CEDEX, France
2
University of Bordeaux, ISM—CNRS UMR 5255, F-33405 Talence CEDEX, France
3
CNRS, University of Bordeaux, Bordeaux INP, ICMCB, UMR 5026, F-33600 Pessac, France
4
Faculty of Pharmacy, University of Bordeaux, INSERM U1035, 146 rue Léo Saignat, F-33076 Bordeaux CEDEX, France
This article belongs to the Collection Heterocycle Reactions

Abstract

1-Phenyl-8-[[4-(pyrrolo[1,2-a]quinoxalin-4-yl)phenyl]methyl]-1,3,8-triazaspiro[4.5]decan-4-one has been successfully synthesized via a multi-step pathway starting from 2-nitroaniline. Structure characterization of this original pyrrolo[1,2-a]quinoxaline derivative was achieved by FT-IR, 1H-NMR, 13C-NMR, X-Ray and HRMS spectral analysis. This title compound shows interesting cytotoxic potential against several human leukemia cell lines (K562, HL60, and U937 cells).

1. Introduction

Heterocyclic derivatives have attracted a lot of attention, due to their wide spread biological activities. Among them, the pyrrolo[1,2-a]quinoxaline heterocyclic moiety has been characterized with respect to a broad range of pharmacological properties [,]. Derivatives of this tricyclic system have been previously described as antiprotozoal agents (antimalarial, antitrypanosomal, and antileishmanial), antipsychotic agents, antiviral agents, adenosine receptor modulators, and anticancer agents [,,,,,,,,,]. The discovery of new anti-cancer molecules is one of the most important goals in pharmaceutical chemistry. Thus, we recently published a few series of new pyrrolo[1,2-a]quinoxaline derivatives endowed with promising biological activity towards the human leukemia cells [,,,]. These antileukemial pyrroloquinoxaline derivatives were previously reported as new structural analogues of derivative A6730 (Figure 1), a reference Protein kinase B (PKB, also known as Akt) inhibitor that presents antiproliferative activity against various human leukemia cell lines [,,,]. In this context, and as an extension of our work on the development of new anticancer heterocyclic drugs, we decided to further modulate and substitute our pyrrolo[1,2-a]quinoxaline heterocyclic pharmacophore. Thus, taking into account the experience of our group in the field of the synthesis of new bioactive heterocyclic derivatives based on this pyrrolo[1,2-a]quinoxaline heterocyclic core [,,,,,,,,], we use our previously described anti-leukemic JG454 pyrrolo[1,2-a]quinoxaline moiety (Figure 1) [] as a template for the design of a new derivative in which the 4-(2-ketobenzimidazolin-1-yl)piperidine was replaced by the 1-phenyl-1,3,8-triazaspiro[4.5]decan-4-one, a new piperidyl structural analogue. We report herein on the synthesis and structural identification of the 1-phenyl-8-[[4-(pyrrolo[1,2-a]quinoxalin-4-yl)phenyl]methyl]-1,3,8-triazaspiro[4.5]decan-4-one 7. This new substituted pyrrolo[1,2-a]quinoxaline derivative 7 is then tested against three leukemia cell lines, namely: K562, U937, and HL60. The cytotoxicity of this new synthesized compound is also tested on activated human peripheral blood mononuclear cells (PBMNC + PHA).
Figure 1. Chemical structures of compounds A6730 and JG454.

2. Results and Discussion

2.1. 1-Phenyl-8-[[4-(pyrrolo[1,2-a]quinoxalin-4-yl)phenyl]methyl]-1,3,8-triazaspiro[4.5]decan-4-one

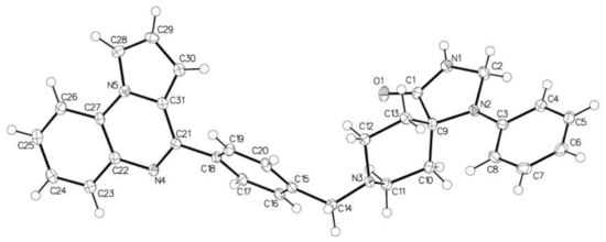
The synthesis of the 1-Phenyl-8-[[4-(pyrrolo[1,2-a]quinoxalin-4-yl)phenyl]methyl]-1,3,8-triazaspiro[4.5]decan-4-one 7 has been accomplished in six steps starting from commercially available 2-nitroaniline 1 according to the sequence depicted in Scheme 1. The Clauson–Kaas reaction of 2-nitroaniline 1 with 2,5-dimethoxytetrahydrofuran (DMTHF) in acetic acid gave the pyrrolic derivative 2, which was then reduced using a NaBH4-CuSO4 system to provide the attempted 1-(2-aminophenyl)pyrrole 3. The reaction of 3 with triphosgene in refluxing toluene gave the lactam 4, which was subsequently chlorodehydroxylated with phosphorous oxychloride (POCl3), leading to the 4-chloroquinoxaline 5 [,,,]. This methodology in the access to this pyrrolo[1,2-a]quinoxaline three-cycle skeleton 4 was found more efficient than those previously described [,,]. The Suzuki–Miyaura cross-coupling reaction of 4-chloropyrroloquinoxaline 5 with 4-formylphenylboronic acid performed in the presence of Pd(PPh3)4 as a catalyst, and in the presence of sodium carbonate used as the base gave the 4-(pyrrolo[1,2-a]quinoxalin-4-yl)benzaldehyde 6. Aldehyde 6 was finally engaged in a reductive amination with NaBH3CN and 1-phenyl-1,3,8-triazaspiro[4.5]decan-4-one to give the pyrroloquinoxaline 7 [,]. The structure of this new synthesized derivative 7 was then confirmed by FTIR, 1H/13C-NMR, X-ray, and ESI-MS analysis (see Supplementary Materials, Figures S1–S4). The 3D structural determination of pyrrolo[1,2-a]quinoxaline 7 was established by X-ray crystallography (Figure 2) [] and confirmed the structure in the solid state as anticipated on the basis of NMR data.
Scheme 1. Synthesis of 1-phenyl-8-[[4-(pyrrolo[1,2-a]quinoxalin-4-yl)phenyl]methyl]-1,3,8-triazaspiro[4.5]decan-4-one (7).
Figure 2. The ORTEP (Oak Ridge Thermal Ellipsoid Plot) drawing of the 1-phenyl-8-[[4-(pyrrolo[1,2-a]quinoxalin-4-yl)phenyl]methyl]-1,3,8-triazaspiro[4.5]decan-4-one (7) with thermal ellipsoids at 30% level.

2.2. Cytotoxic Activity

The cytotoxic activity of the 1-phenyl-8-[[4-(pyrrolo[1,2-a]quinoxalin-4-yl)phenyl]methyl]-1,3,8-triazaspiro[4.5]decan-4-one 7 was evaluated against K562, U937, and HL60 cell lines with the MTS assay using compounds A6730 and JG454 as the reference standard drugs [,]. As listed in Table 1, the IC50 values of 1-phenyl-8-[[4-(pyrrolo[1,2-a]quinoxalin-4-yl)phenyl]methyl]-1,3,8-triazaspiro[4.5]decan-4-one 7 was found in the same range as those observed for the reference drug A6730. Firstly, the antiproliferative potencies of this new derivative 7 was examined towards the human myeloid leukemia cell lines K562 and HL60. Against the human K562 chronic myeloid leukemia cell line, this substituted pyrroloquinoxaline 7 showed significant antiproliferative activity with an IC50 of 3.5 μM, similar to that of our compound JG454 (IC50 = 4.5 μM), but better than that of the reference compound A6730 (IC50 = 17 μM). On the contrary, against the HL60 human acute myeloblastic leukemia cell line, our tested derivative was found less active than the reference quinoxaline A6730; i.e., IC50 = 15 μM for 7 versus 5.5 μM for A6730. This activity for derivative 7 against HL60 was also found to be in the same order as the one observed for JG454 (IC50 = 14 μM). Nevertheless, our pyrrolo[1,2-a]quinoxaline 7 was found to be inactive against the human myeloblastic U937 cell line (IC50 >20 μM), whereas A6730 showed an antiproliferative activity of 8.0 μM against this leukemia cell line.
Table 1. In vitro activity of compounds 7, JG454 and A6730 on K562, HL60, and U937 cells, and cytotoxicity on human peripheral blood mononuclear cells PBMNC + PHA.
Compound 7 was also tested on normal human peripheral blood mononuclear cells activated with phytohemagglutinin (PBMNC + PHA) to evaluate its cytotoxicity on normal cells (Table 1). Pyrroloquinoxaline 7 demonstrated lower level of cytotoxicity against T-lymphocytes with an IC50 over 35.0 μM. This preliminary result was used to determine its range of toxic concentration. Index of selectivity (IS) was defined as the ratio of the IC50 value on T-lymphocytes to the IC50 value on the various leukemia cell lines. Compounds that demonstrated high selectivity (high index of selectivity) should offer a potential of safer therapy. In our case, we could note that our compound 7 showed an interesting selectivity towards K562 cell line (SI = 10).

3. Materials and Methods

Commercial reagents were used as received without additional purification. Melting points were determined with an SM-LUX-POL Leitz hot-stage microscope (Leitz GMBH, Midland, ON, USA) and are uncorrected. IR spectra were recorded on an NICOLET 380FT-IR spectrophotometer (Thermo Electron Scientific Instruments LLC, Madison, WI, USA). NMR spectra were recorded with tetramethylsilane as an internal standard using a BRUKER AVANCE 300 spectrometer (Bruker BioSpin, Wissembourg, France). Splitting patterns have been reported as follows: s = singlet; bs = broad singlet; d = doublet; t = triplet; q = quartet; dd = double doublet; ddd = double double doublet; dt = double triplet; m = multiplet. 2D-NMR experiments have been used for resonance assignments. Analytical TLC were carried out on 0.25 precoated silica gel plates (POLYGRAM SIL G/UV254) and visualization of compounds after UV light irradiation. Silica gel 60 (70–230 mesh) was used for column chromatography. High resolution mass spectra (electrospray in positive mode, ESI+) were recorded on a Waters Q-TOF Ultima apparatus (Bruker Daltonics, Bremen, Germany) [,].

3.1. 1-Phenyl-8-[[4-(pyrrolo[1,2-a]quinoxalin-4-yl)phenyl]methyl]-1,3,8-triazaspiro[4.5]decan-4-one (7)

The pH of a solution of the aldehyde 6 (1.83 mmol) and 1-phenyl-1,3,8-triazaspiro[4.5]decan-4-one (2.2 mmol) in 35 mL methanol was adjusted to 6 by the dropwise addition of glacial acetic acid. Powered sodium cyanoborohydride (5.05 mmol) was then added to the previous solution, and the resultant mixture was refluxed for 5 h. After the removal of the methanol by rotary evaporation, the residue was triturated in water and extracted with dichloromethane. The organic layer was washed with water, dried over magnesium sulfate, and evaporated to dryness. The obtained solid was then triturated with isopropanol, filtered, washed with diethyl ether, and dried under reduced pressure to the crude product. Column chromatography of this precipitate on silica gel using ethyl acetate-cyclohexane (1/1) then chloroform-methanol (9/1) as eluents gave the pure product 7 (47%). White crystals, m.p. 214–216 °C; IR (KBr) 3191 (NH), 1707 (CO). 1H-NMR (δ, ppm, DMSO-d6, 300 MHz): 8.63 (s, 1H, NH imid.), 8.56 (dd, 1H, J = 2.70 and 1.20 Hz, H-1”), 8.33 (dd, 1H, J = 8.20 and 1.20 Hz, H-9”), 8.00 (d, 2H, J = 8.10 Hz, H-3′ and H-5′), 7.94 (dd, 1H, J = 8.20 and 1.20 Hz, H-6”), 7.62–7.51 (m, 4H, H-7”, H-8”, H-2′ and H-6′), 7.28 (dd, 2H, J = 8.30 and 7.30 Hz, H-3 phenyl and H-5 phenyl), 7.08 (dd, 1H, J = 4.20 and 1.20 Hz, H-3”), 6.99 (dd, 1H, J = 4.20 and 2.70 Hz, H-2”), 6.91 (d, 2H, J = 8.30 Hz, H-2 phenyl and H-6 phenyl), 6.78 (t, 1H, J = 7.30 Hz, H-4 phenyl), 4.59 (s, 2H, NCH2N), 3.66 (s, 2H, NCH2), 2.82–2.77 (m, 4H, NCH2 pip.), 2.60–2.54 (m, 2H, CH2 pip.), 1.65–1.59 (m, 2H, CH2 pip.). 13C-NMR (CDCl3) δ: 178.1 (C=O imid.), 154.78 (C-4”), 145.17 (C-1 phenyl), 142.74 (C-5a”), 138.30 (C-1′), 137.34 (C-4′), 131.31 (C-8”), 130.90 (C-2′ and C-6′), 130.62 (C-3 phenyl and C-5 phenyl), 130.19 (C-3′ and C-5′), 129.62 (C-7”), 128.51 (C-9a”), 127.31 (C-9”), 126.00 (C-3a”), 119.49 (C-6”), 118.30 (C-4 phenyl), 116.53 (C-1”), 116.12 (C-2”, C-2 phenyl and C-6 phenyl), 110.24 (C-3”), 63.73 (NCH2), 60.51 (CH pip.), 59.98 (2NCH2 pip.), 51.22 (NCH2N), 30.34 (2CH2 pip.). HR-MS m/z [M + H]+ Calcd for C31H30N5O: 488.2450, Found: 488.2427.

3.2. X-ray Data

The structure of compound 7 was established by X-ray crystallography (Figure 1). The colorless single crystal of 7 was obtained by slow evaporation from a methanol/chloroform solution (v/v: 20/80): triclinic, space group P-1, a = 6.6189(2) Å, b = 10.0399(4) Å, c = 18.8507(7) Å, α = 83.114(3)°, β = 80.511(3)°, γ = 81.261(3)°, V = 1215.40(8)Å3, Z = 2, δ(calcd) = 1.332 Mg.m−3, FW = 487.59 for C31H29N5O, F(000) = 516. Full crystallographic results have been deposited at the Cambridge Crystallographic Data Centre (CCDC-1964256), UK, as supplementary material []. The data were corrected for Lorentz and polarization effects and for empirical absorption correction []. The structure was solved by direct methods Shelx 2013 [] and refined using Shelx 2013 [] suite of programs.

3.3. Cytotoxic Activity

The MTS proliferation tests on the human leukemic cell lines U937, K562, and HL60 were performed as previously described by our team [,,].

4. Conclusions

Taking into account our previous studies using the pyrrolo[1,2-a]quinoxaline framework, we designed and synthesized a new 1-phenyl-8-[[4-(pyrrolo[1,2-a]quinoxalin-4-yl)phenyl]methyl]-1,3,8-triazaspiro[4.5]decan-4-one 7 and then assessed its antileukemic effect on the human leukemic cell lines U937, K562 and HL60. These pharmacological results demonstrate that pyrrolo[1,2-a]quinoxaline 7 could be hopeful, due to its high cytotoxic activity against some leukemia cells (IC50 ranging from 3.5 to 15 μM) and its lower toxicity against normal white blood cells (estimated IC50 = 35 μM). This inhibitor exhibiting attractive antileukemia properties may become a relevant candidate for further pharmacomodulations and biological investigations.

Supplementary Materials

FTIR, 1H-NMR, 13C-NMR, and HRMS spectra of title compound 7 are available online. Figure S1: 1H-NMR spectrum of compound 7. Figure S2: 13C-NMR spectrum of compound 7. Figure S3: FT-IR spectrum of compound 7. Figure S4: HRMS data for compound 7.

Author Contributions

J.G. and S.M. did the synthesis and prepared and revised the manuscript; S.S. carried out the experiments; S.R. helped in the analysis of the compounds; V.D. conducted the in vitro tests; N.P. and M.M. carried out the crystallographic experiments. All authors have read and agreed to the published version of the manuscript.

Funding

This publication was supported by a grant from Ligue Contre le Cancer (Comité Aquitaine-Charentes, Bordeaux, France).

Conflicts of Interest

The authors declare no conflict of interest.

References

  1. Huang, A.; Ma, C. Recent progress in biological activities and synthetic methodologies of pyrroloquinoxalines. Mini-Rev. Med. Chem. 2013, 13, 607–616. [Google Scholar] [CrossRef] [PubMed]
  2. Kalinin, A.A.; Islamova, L.N.; Fazleeva, G.M. New achievements in the synthesis of pyrrolo[1,2-a]quinoxaline. Chem. Heterocycl. Compd. 2019, 55, 584–597. [Google Scholar] [CrossRef]
  3. Campiani, G.; Butini, S.; Fattorusso, C.; Trotta, F.; Franceschina, S.; De Angelis, M.; Nielsen, K.S. Novel aryl piperazine derivatives with medical utility. U.S. Patent 11/794,687, 24 September 2006. [Google Scholar]
  4. Campiani, G.; Aiello, F.; Fabbrini, M.; Morelli, E.; Ramunno, A.; Armaroli, S.; Nacci, V.; Garofalo, A.; Greco, G.; Novellino, E.; et al. Quinoxalinylethylpyridylthioureas (QXPTs) as potent non-nucleoside HIV-1 reverse transcriptase (RT) inhibitors. Further SAR studies and identification of a novel orally bioavailable hydrazine-based antiviral agent. J. Med. Chem. 2001, 44, 305–315. [Google Scholar] [CrossRef] [PubMed]
  5. Schann, S.; Mayer, S.; Gardan, S. Pyrrolo[1,2-a]quinoxaline derivatives as Adenosine A3 receptor modulators and uses thereof. U.S. Patent 12/158,035, 28 June 2007. [Google Scholar]
  6. Guillon, J.; Grellier, P.; Labaied, M.; Sonnet, P.; Léger, J.-M.; Déprez-Poulain, R.; Forfar-Bares, I.; Dallemagne, P.; Lemaître, N.; Péhourcq, F.; et al. Synthesis, antimalarial activity and molecular modeling of new pyrrolo[1,2-a]quinoxalines, bispyrrolo[1,2-a]quinoxalines, bispyrido[3,2-e]pyrrolo[1,2-a]pyrazines and bispyrrolo[1,2-a]thieno[3,2-e]pyrazines. J. Med. Chem. 2004, 47, 1997–2009. [Google Scholar] [CrossRef] [PubMed]
  7. Guillon, J.; Forfar, I.; Mamani-Matsuda, M.; Desplat, V.; Saliège, M.; Thiolat, D.; Massip, S.; Tabourier, A.; Léger, J.-M.; Dufaure, B.; et al. Synthesis, Analytical Behaviour and Biological Evaluation of New 4-Substituted Pyrrolo[1,2-a]quinoxalines as Antileishmanial Agents. Bioorg. Med. Chem. 2007, 15, 194–210. [Google Scholar] [CrossRef] [PubMed]
  8. Guillon, J.; Moreau, S.; Ronga, L.; Basmaciyan, L.; Cohen, A.; Rubio, S.; Bentzinger, G.; Azas, N.; Mullié, C.; Sonnet, P. Design, Synthesis and Antimalarial Activity of Some New Aminoalcohol-pyrrolo[1,2-a]quinoxaline Derivatives. Lett. Drug Des. Discovery 2016, 13, 932–942. [Google Scholar] [CrossRef]
  9. Guillon, J.; Moreau, S.; Mouray, E.; Sinou, V.; Forfar, I.; Belisle-Fabre, S.; Desplat, V.; Millet, P.; Parzy, D.; Jarry, C.; et al. New Ferrocenic Pyrrolo[1,2-a]quinoxaline Derivatives: Synthesis, and In Vitro Antimalarial Activity. Bioorg. Med. Chem. 2008, 16, 9133–9144. [Google Scholar] [CrossRef] [PubMed]
  10. Guillon, J.; Mouray, E.; Moreau, S.; Mullié, C.; Forfar, I.; Desplat, V.; Belisle-Fabre, S.; Ravanello, F.; Le-Naour, A.; Pinaud, N.; et al. New Ferrocenic Pyrrolo[1,2-a]quinoxaline Derivatives: Synthesis, and in Vitro Antimalarial Activity—Part II. Eur. J. Med. Chem. 2011, 46, 2310–2326. [Google Scholar] [CrossRef] [PubMed]
  11. Ronga, L.; Del Favero, M.; Cohen, A.; Soum, C.; Le Pape, P.; Savrimoutou, S.; Pinaud, N.; Mullié, C.; Daulouede, S.; Vincendeau, P.; et al. Design, Synthesis and Biological Evaluation of Novel 4-Alkapolyenylpyrrolo[1,2-a]quinoxalines as Antileishmanial Agents—Part III. Eur. J. Med. Chem. 2014, 81, 378–393. [Google Scholar] [CrossRef] [PubMed]
  12. Guillon, J.; Cohen, A.; Gueddouda, N.M.; Das, R.N.; Moreau, S.; Ronga, L.; Savrimoutou, S.; Basmaciyan, L.; Monnier, A.; Monget, M.; et al. Design, synthesis and antimalarial activity of novel bis{N-[(pyrrolo[1,2-a]quinoxalin-4-yl)benzyl]-3-aminopropyl}amine derivatives. J. Enzyme Inhib. Med. Chem. 2017, 32, 547–563. [Google Scholar] [CrossRef] [PubMed]
  13. Desplat, V.; Vincenzi, M.; Lucas, R.; Moreau, S.; Savrimoutou, S.; Pinaud, N.; Lesbordes, J.; Peyrilles, E.; Marchivie, M.; Routier, S. Synthesis and evaluation of the cytotoxic activity of novel ethyl 4-[4-(4-substitutedpiperidin-1-yl)]benzyl-phenylpyrrolo[1,2-a]quinoxaline-carboxylate derivatives in myeloid and lymphoid leukemia cell lines. Eur. J. Med. Chem. 2016, 113, 214–227. [Google Scholar] [PubMed]
  14. Desplat, V.; Vincenzi, M.; Lucas, R.; Moreau, S.; Savrimoutou, S.; Rubio, S.; Pinaud, N.; Bigat, D.; Enriquez, E.; Marchivie, M.; et al. Synthesis and Antiproliferative Effect of Ethyl 4-[4-(4-Substituted Piperidin-1-yl)]benzylpyrrolo[1,2-a]quinoxalinecarboxylate Derivatives on Human Leukemia Cells. ChemMedChem 2017, 12, 940–953. [Google Scholar] [CrossRef] [PubMed]
  15. Desplat, V.; Geneste, A.; Begorre, M.-A.; Belisle-Fabre, S.; Brajot, S.; Massip, S.; Thiolat, D.; Mossalayi, D.; Jarry, C.; Guillon, J. Synthesis of New Pyrrolo[1,2-a]quinoxaline Derivatives as Potential Inhibitors of Akt Kinase. J. Enzyme Inhib. Med. Chem. 2008, 23, 648–658. [Google Scholar] [CrossRef] [PubMed]
  16. Desplat Moreau, S.; Gay, A.; Belisle-Fabre, S.; Thiolat, D.; Massip, S.; Macky, G.; Godde, F.; Mossalayi, D.; Jarry, C.; Guillon, J. Synthesis and evaluation of the antiproliferative ctivity of novel pyrrolo[1,2-a]quinoxaline derivatives, potential inhibitors of Akt Kinase. Part II. J. Enzyme Inhib. Med. Chem. 2010, 25, 204–215. [Google Scholar]
  17. Molina, P.; Alajarin, M.; Vidal, A. New methodology for the preparation of pyrrole and indole derivatives via iminophosphorane: Synthesis of pyrrolo[l,2-a]quinoxalines, indolo[3,2-c]quinolines and indolo[l,2-c]quinazolines. Tetrahedron 1990, 46, 1063–1078. [Google Scholar] [CrossRef]
  18. Campiani, G.; Nacci, V.; Corelli, F.; Anzini, M. Polycondensed Heterocycles. VII. A Convenient Synthesis of Pyrrolo[1,2-a]quinoxaline Derivatives by Intramolecular Aromatic Nucleophilic Displacement. Synth. Comm. 1991, 21, 1567–1576. [Google Scholar] [CrossRef]
  19. Yuan, Q.; Ma, D. A one-pot coupling/Hydrolysis/Condensation process to Pyrrolo[1,2-a]quinoxaline. J. Org. Chem. 2008, 73, 5159–5162. [Google Scholar] [CrossRef] [PubMed]
  20. Supplementary X-ray crystallographic data: Cambridge Crystallographic Data Centre, University Chemical Lab, Lensfield Road, Cambridge, CB2 1EW, UK. Available online: https://www.ccdc.cam.ac.uk/ (accessed on 24 January 2020).
  21. Sheldrick, G.M. SADABS; University of Göttingen: Göttingen, Germany.
  22. Sheldrick, G.M. A short history of SHELX. Acta Crystallogr. Sect. A 2008, 64, 112–122. [Google Scholar] [CrossRef] [PubMed]
  23. Guillon, J.; Savrimoutou, S.; Rubio, S.; Desplat, V. 1-Methyl-3-{4-[(4-(2-oxo-2,3-dihydro-1H-benzimidazol-1-yl)piperidin-1-yl)benzyl]}-2-phenylindole. Molbank 2018, 2018, M1023. [Google Scholar] [CrossRef]

Article Metrics

Citations

Article Access Statistics

Multiple requests from the same IP address are counted as one view.