Abstract
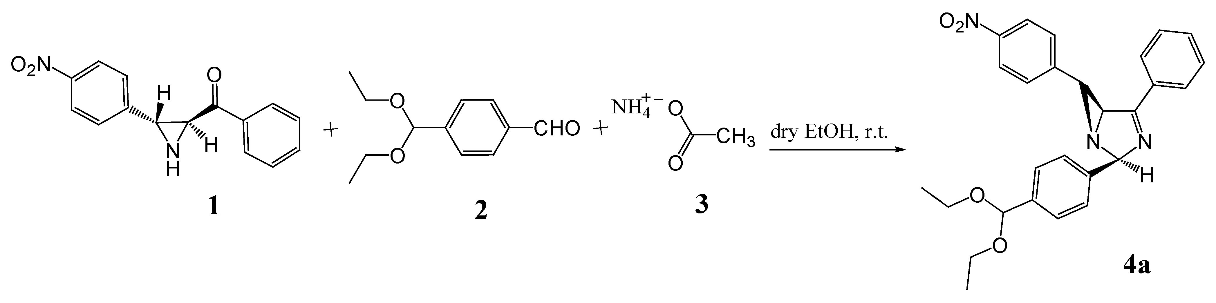
The photochromic compound was obtained from 4-diethoxymethyl-benzaldehyde and trans-2-benzoyl-3-(4-nitrophenyl)aziridine via a three component reaction. The structure of this compound was characterized by elemental analysis, 1H-NMR, 13C-NMR and UV-Visible spectral data.
Introduction
Photochromism is a light-induced reversible molecular transition between two forms, with different absorption spectra. Apart from the color, the two forms also differ in various physical and chemical properties such as refractive indexes, dielectric constants, oxidation-reduction potentials, and molecular geometry [1,2,3,4,5,6]. Bicyclic aziridine derivatives, very fascinating classes of organic photochromic compounds, have special photochromic properties. These compounds display significant photochromic performance even in the crystalline phase. This property lets me to study them as nominees in the search for intelligent photochromic materials. Depending on the particular structure, 1,3-diazabicyclo[3.1.0]hex-3-ene derivative crystals showed different colors upon UV irradiation [5,6,7,8]. These photochroms and other photochromic compounds such as diarylethenes are promising candidates for application in optical devices [4,5]. Photochromic reactions of bicyclic aziridine compounds include cycloreversion and photocyclization reaction between two forms (i.e., closed-ring and open-ring forms) [5,6,7,8,9,10,11,12,13,14,15,16,17,18,19,20,21,22]. The closed-ring and open-ring isomers of bicyclic aziridines exhibited absorption spectra in solution state. Both photoisomers are stable and able to give photochromic reactions in the crystalline state. The desired compound 4a was prepared in good yield from the corresponding ketoaziridine compound 1 [5,6] and the available 4-diethoxymethylbenzaldehyde 2, in the presence of ammonium acetate in one-pot reaction (scheme 1).
Scheme 1.
Synthesis of 2-(4-Diethoxymethylphenyl)-6-(4-nitrophenyl)-4-phenyl-1,3-diazabicyclo-[3.1.0]hex-3-ene.
Results and Discussion
The 1H-NMR spectrum of 4a in CDCl3 showed signals at room temperature as expected. The H-2, H-6, and H-5 protons appear as a singlet at δ 6.82, 2.53 and 3.79 ppm, respectively. No proton-proton coupling was observed for H-5 and H-6 protons, which probably is owing to the dihedral angle between them (according to Karplus equation probably dihedral angle approximately 90°; nonetheless, direct evaluation of the angle from the amount of the J value is uncertain [15]). The singlet signal at δ 5.53 ppm was assigned to the CH proton nearby to the oxygen atoms in the diethoxymethylphenyl moiety. Triplet signal at δ 1.26 ppm corresponding to terminal methyl protons in ethyl groups attached to oxygen. The resonances of methylene protons in ethyl groups attached to oxygen appeared as two multiplets in the region δ 2.55–3.66 ppm due to diastereotopicity. The signal doublet at δ 8.20 ppm belongs to two protons in the ortho position relative to the nitro group. The resonances of the two protons belong to two protons in the ortho position of the phenyl ring located in right-hand, appeared at 8.02 ppm as a doublet. The multiplets signal appeared in the region δ 7.59–7.48 ppm integrating for 9 protons confirm the other aromatic protons. It can be mentioned that this reaction led to exo- and endo-isomers with orientation of diethoxymethylphenyl ring in C-2 [5,6,7,8,9,10,11,12,13,14,15,18,19,20,21,22]. The 1H-NMR spectrum of purified product showed signals belonging to one of the isomers. Based on chemical shifts of the H-2, H-5, and H-6 protons and compared them with those obtained by previously reported in the literature [18,19,20,21,22] suggests that endo-isomer of 4 is formed.
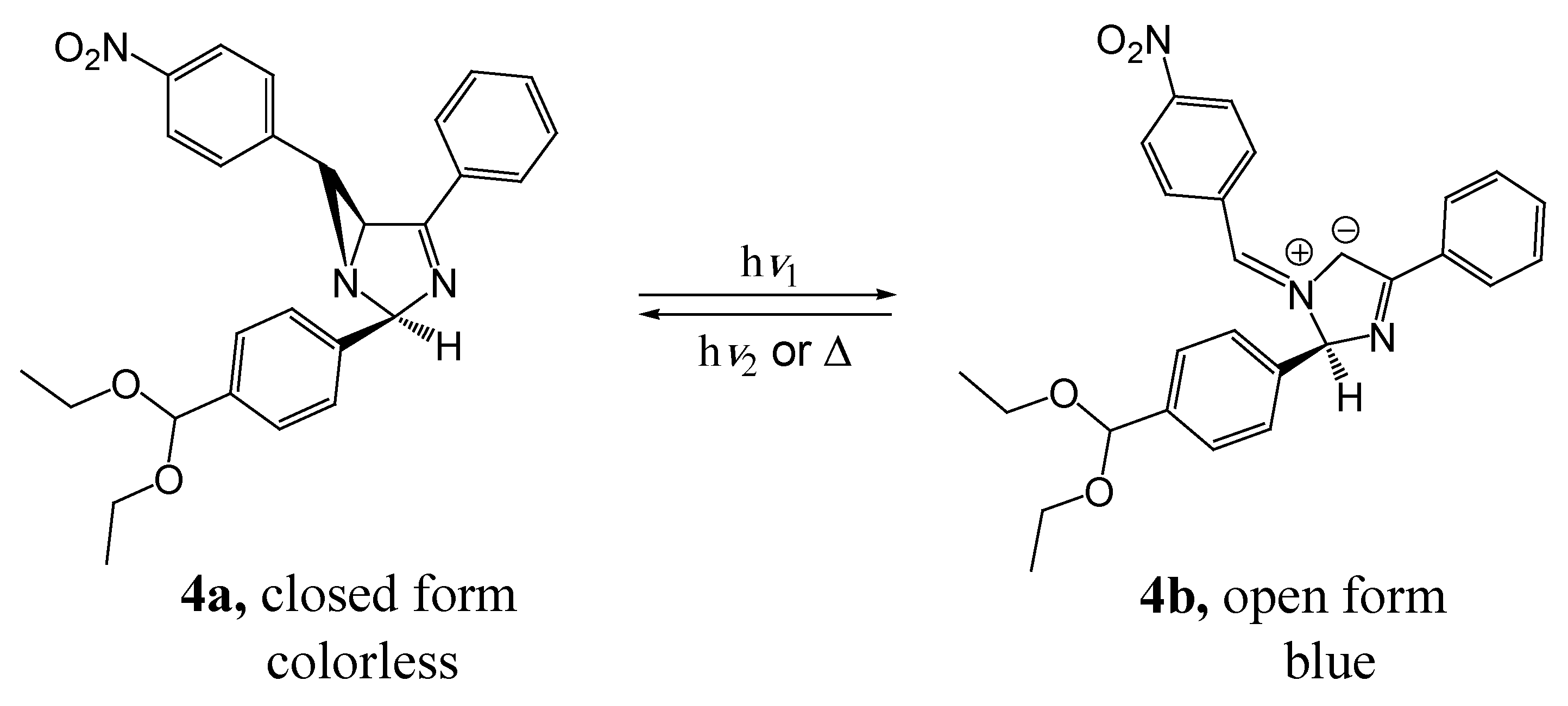
Proposed photochromic color change of 4a based on reversible aziridine ring-opening and ring-closing is illustrated in scheme 2. Photochromic reaction of 4a is demonstrated by the changes in the UV/Vis absorption spectra when an ethanolic solution of the compound 4a is irradiated with 365 nm light (Figure 1) and is accompanied by a change in color of the solution from colorless (4a) to yellow (4b). This change color occurs in ethanolic solution, whereas change color in solid state occurs from colorless crystals (4a) to blue crystals (4b). Upon irradiation with UV light, compound 4a underwent a photochromic reaction (Scheme 2); this goes along with noticeable changes in the absorption spectra as shown in Figure 1.
Scheme 2.
Proposed photochromic color change of 4a.
Figure 1.
(A) Overlay spectra of 4a in EtOH (4.0 × 10–4 M) under 365 nm irradiation at ambient temperature; (B) UV/Vis spectra of 4a at the same conditions [the solid line (—) before and the dashed line (- - -) after irradiation for 90 s at 365 nm].
UV irradiation of this solution resulted in the appearance of a new absorption band at 413 nm. The appearance of this new band is ascribable to the formation of the open-ring form 4b. As expected, with increased irradiation time, intensity of the absorption band in the visible region is gradually increased, which states that the ring opening reaction occurs. These spectral changes showed that 4a exhibit photochromic behavior, similar to known triaryl-1,3-diazabicyclo[3.1.0]hex-3-enes [5,6,7,8,9,10,11,12,13,14,15,16,17,18,19,20,21,22]. Also, an isosbestic point at 305 nm showed the presence of two species 4a and 4b. Color change in solid and solution state was observed by eye-naked, when compounds are exposed to light (UV light from mercury, xenon lamp, fluorescent lamp or sunlight) at ambient temperature. Moreover, 4b was converted to 4a when the 4b is kept in the dark for 10–12 h or after putting it in the oven for 10 min at 80 °C.
Experimental
To a solution of trans-2-benzoyl-3-(4-nitrophenyl)aziridine 1 (0.268 g, 1 mmol) and 4-diethoxymethylbenzaldehyde 2 (0.208 g, 1 mmol) in 7 mL of absolute ethanol was added NH4OAc (0.78 g, 10 mmol) under stirring at room temperature. The mixture was stirred for 24 h. The reaction mixture was filtered, washed with absolute ethanol, dried under reduced pressure, and the resulting solid was recovered, purified by silica gel column chromatography using ethyl acetate/hexane (1:5, v/v) as the eluent, and recrystallized from absolute ethanol (10 mL) to give the target compound 4a as a colorless solid that changed to the blue (4b).
Yield: 84%; m.p. 149–150 °C.
IR (KBr) vmax cm−1: 3080, 2950, 2890, 1600, 1510, 1425, 1330, 1130, 1120, 1030, 980.
1H-NMR (500 MHz, CDCl3) (δ/ppm): 8.20 (d, J = 8.3 Hz, 2H), 8.02 (d, J = 7.4 Hz, 2H), 7.59–7.48 (m, 7H), 7.44 (d, J = 8.4 Hz, 2H), 6.82 (s, 1H), 5.53 (s, 1H), 3.79 (s, 1H), 3.66–3.62 (m, 2H), 3.60–3.55 (m, 2H), 2.53 (s, 1H), 1.26 (t, J = 13.9, 6.9 Hz, 6H).
13C-NMR (125 MHz, CDCl3) δ: 170.1, 145.8, 144.8, 139.2, 138.9, 132.2, 131.9, 129.3, 128.9, 127.8, 127.7, 127.3, 124.1, 101.8, 96.5, 61.6, 58.2, 42.3, 15.6.
Anal. Calcd. for C27H27N3O4: C, 70.88; H, 5.95; N, 9.18. Found: C, 70.95; H, 5.88; N, 9.25.
UV-Vis (EtOH, λmax/nm): 214, 253, 287 (shoulder) before irradiation, and 214, 253, 413 after irradiation.
Supplementary materials
Supplementary File 1Supplementary File 2Supplementary File 3Supplementary File 4Acknowledgment
The author is thankful to Research Council of the Damghan University.
References
- Ishibashi, Y.; Fujiwara, M.; Umesato, T.; Saito, H.; Kobatake, S.; Irie, M.; Miyasaka, H. Cyclization Reaction Dynamics of a Photochromic Diarylethene Derivative as Revealed by Femtosecond to Microsecond Time-Resolved Spectroscopy. J. Phys. Chem. C 2011, 115, 4265–4272. [Google Scholar] [CrossRef]
- Patel, P.D.; Masunov, A.E. Theoretical Study of Photochromic Compounds: Part 3. Prediction of Thermal Stability. J. Phys. Chem. C 2011, 115, 10292–10297. [Google Scholar] [CrossRef]
- Patel, P.D.; Masunov, A.E. Theoretical Study of Photochromic Compounds. 1. Bond Length Alternation and Absorption Spectra for the Open and Closed Forms of 29 Diarylethene Derivatives. J. Phys. Chem. A 2009, 113, 8409–8414. [Google Scholar] [CrossRef] [PubMed]
- Jacquemin, D.; Perpete, E.A.; Maurel, F.; Perrier, A. Doubly Closing or Not? Theoretical Analysis for Coupled Photochromes. J. Phys. Chem. C 2010, 114, 9489–9497. [Google Scholar] [CrossRef]
- Kiyani, H.; Mahmoodi, N.O.; Tabatabaeian, K.; Zanjanchi, M.A. Photochromic Behavior of Several New Synthesized Bis-1,3-Diazabicyclo[3.1.0]hex-3-enes. J. Phys. Org. Chem. 2009, 22, 559–567. [Google Scholar] [CrossRef]
- Mahmoodi, N.O.; Kiyani, H.; Yazdanbakhsh, M.R.; Sharifzadeh, B. Synthesis and Photochromic Properties of New Heterocyclic Derivatives of 1,3-diazabicyclo[3.1.0]hex-3-ene. J. Chin. Chem. Soc. 2007, 54, 635–641. [Google Scholar] [CrossRef]
- Kiyani, H.; Mahmoodi, N.O.; Tabatabaeian, K.; Zanjanchi, M.A. Synthesis and Photochromism of 1,3-Diazabicyclo[3.1.0]hex-3-ene Phenol Rings. Mendeleev Commun. 2009, 19, 203–205. [Google Scholar] [CrossRef]
- Mahmoodi, N.O.; Tabatabaeian, K.; Kiyani, H. Two 1,3-Diazabicyclo[3.1.0]hex-3-enes With a ‘Tripod’ Core. Helv. Chim. Acta 2012, 95, 536–542. [Google Scholar] [CrossRef]
- Dyakonenko, V.V.; Maleev, A.V.; Zbruyev, A.I.; Chebanov, V.A.; Desenko, S.M.; Shishkin, O.V. Layered Crystal Structure of Bicyclic Aziridines as Revealed by Analysis of Intermolecular Interactions Energy. Cryst. Eng. Comm. 2010, 12, 1816–1823. [Google Scholar] [CrossRef]
- Bruno, G.; Nicol, F.; Rotondo, A.; Risitano, F.; Grassi, G.; Foti, F. Structure Investigation of Bridgehead Aziridine: Synthesis, Theoretical, and Crystallographic Study of 2,4,6-Triphenyl-1,3-diazabicyclo[3.1.0]hex-3-ene. Helv. Chim. Acta 2006, 89, 190–200. [Google Scholar] [CrossRef]
- Risitano, F.; Grassi, G.; Foti, F.; Moraci, S. A Novel Efficient Three-Component One-Pot Synthesis of 1,3-Diazabicyclo[3.1.0]hex-3-ene System Under Microwave Irradiation. Synlett 2005, 1633–1635. [Google Scholar] [CrossRef]
- Mahmoodi, N.O.; Tabatabaeian, K.; Ghavidast, A. Synthesis and Photochromic Behavior of Mono, and Biphotochromic System Linked by p-Phenylene Bridge. Chin. Chem. Lett. 2010, 21, 1199–1202. [Google Scholar] [CrossRef]
- Chebanov, V.A.; Desenko, S.M.; Gurley, T.W. Azaheterocycles Based on α,β-Unsaturated Carbonyls; Springer-Verlag: Berlin&Heidelberg, Germany, 2008; Chapter 1; pp. 17–32. [Google Scholar]
- Trozolo, A.M.; Leslie, T.M.; Sarportdar, A.S.; Small, R.D.; Ferraudi, G.J.; DoMinh, T.; Hartless, R.L. Photochemistry of Some Three-Membered Heterocycles. Pure Appl. Chem. 1979, 51, 261–270. [Google Scholar] [CrossRef]
- Mahmoodi, N.O.; Kiyani, H. Synthesis of Thiophene Derivatives of 1,3-Diazabicyclo[3,1,0]hex-3-ene. Bull. Korean Chem. Soc. 2004, 25, 1417–1420. [Google Scholar]
- Dürr, H. Perspectives in Photochromism: A Novel System Based on the 1,5-Electrocyclization of Heteroanalogous Pentadienyl Anions. Angew. Chem. Int. Ed. Engl. 1989, 28, 413–431. [Google Scholar] [CrossRef]
- Hadjoudis, E.; Marvidis, I.M. Photochromism and Thermochromism of Schiff Bases in the Solid State: Structural Aspects. Chem. Soc. Rev. 2004, 33, 579–588. [Google Scholar] [CrossRef] [PubMed]
- Hiene, H.W.; Weese, R.H.; Cooper, R.A. Aziridines. XV. The Synthesis and Reactions of 1,3-Diazabicyclo[3.1.0]hex-3-enes. J. Org. Chem. 1967, 32, 2708–2711. [Google Scholar] [CrossRef]
- Padwa, A.; Glazer, E. Photochemical Reorganizations in the 1,3-Diazabicyclo[3.1.0]hex-3-ene System. J. Am. Chem. Soc. 1972, 94, 7788–7797. [Google Scholar] [CrossRef]
- Padwa, A.; Clough, S.; Glazer, E. Photochemical transformations of small-ring heterocyclic compounds. XXIV. Photoisomerization of the Triphenyl-1,3-Diazabicyclo[3.1.0]hex-3-ene System. J. Am. Chem. Soc. 1970, 92, 1778–1779. [Google Scholar] [CrossRef]
- Dyakonenko, V.V.; Shishkin, O.V.; Zbruev, A.V.; Desenko, S.M. 2,2-Dimethyl-6-(4-nitrophenyl)-4-phenyl-1,3-diazabicyclo[3.1.0]hex-3-ene. Acta Crystallogr. Sect. E: Struct. Rep. Online 2005, E61, o667–o668. [Google Scholar] [CrossRef]
- Zbruyev, A.I.; Vashchenko, V.V.; Andryushchenko, A.A.; Desenko, S.M.; Musatov, V.I.; Knyazeva, I.V.; Chebanov, V.A. Synthesis of polyarene derivatives of fused aziridines by Suzuki-Miyaura cross-coupling. Tetrahedron 2007, 63, 4297–4303. [Google Scholar] [CrossRef]
© 2012 by the author; licensee MDPI, Basel, Switzerland. This article is an open access article distributed under the terms and conditions of the Creative Commons Attribution license (http://creativecommons.org/licenses/by/3.0/).


