Cellulose-Encapsulated Magnetite Nanoparticles for Spiking of Tumor Cells Positive for the Membrane-Bound Hsp70
Abstract
1. Introduction
2. Results and Discussion
2.1. Characterization of Nanoparticles in Ferrocellulose Microspheres
2.2. Confocal Microscope Images
2.3. Transmission Electron Microscopy Results
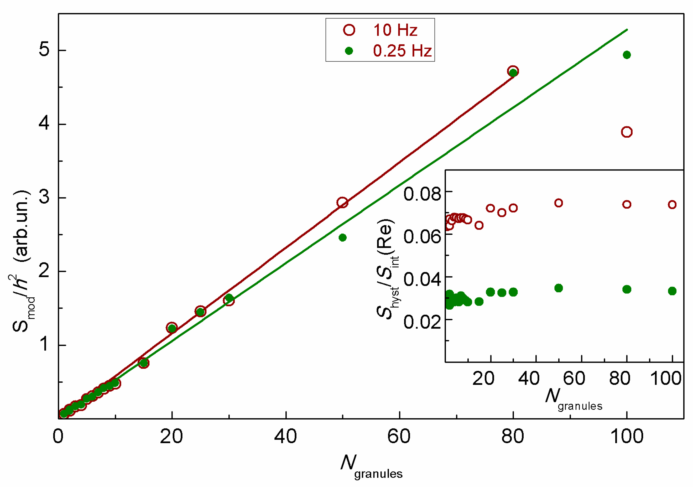
2.4. NLR-M2 Results
2.5. Functionalization of Ferrocellulose Microspheres
2.6. Fluorescence Microscope Study of Ferrocellulose Complexes with Hsp70
2.7. Fluorescence Microscope Study of Ferrocellulose Complexes with C6 and FetMSC Cells
3. Materials and Methods
3.1. Synthesis of Iron Oxide Nanoparticles
3.2. Synthesis of Magnetic Microspherical Cellulose Using Pre-Prepared Iron Oxide Nanoparticles
3.3. Preparation of Microspherical Cellulose
3.4. Magnetic Microspherical Cellulose with the Synthesis of Iron Oxide Nanoparticles Inside Pre-Prepared Cellulose Microspheres
3.5. Determination of the MNPs’ Concentration by the Thiocyanate Method
3.6. Structure Examination of Iron Oxide Nanoparticles by X-Ray Diffraction Inside MSCMN
3.7. Confocal Microscope Measurements of Ferrocellulose
3.8. Transmission Electron Microscopy Study
3.9. NLR-M2 Study of Ferrocellulose
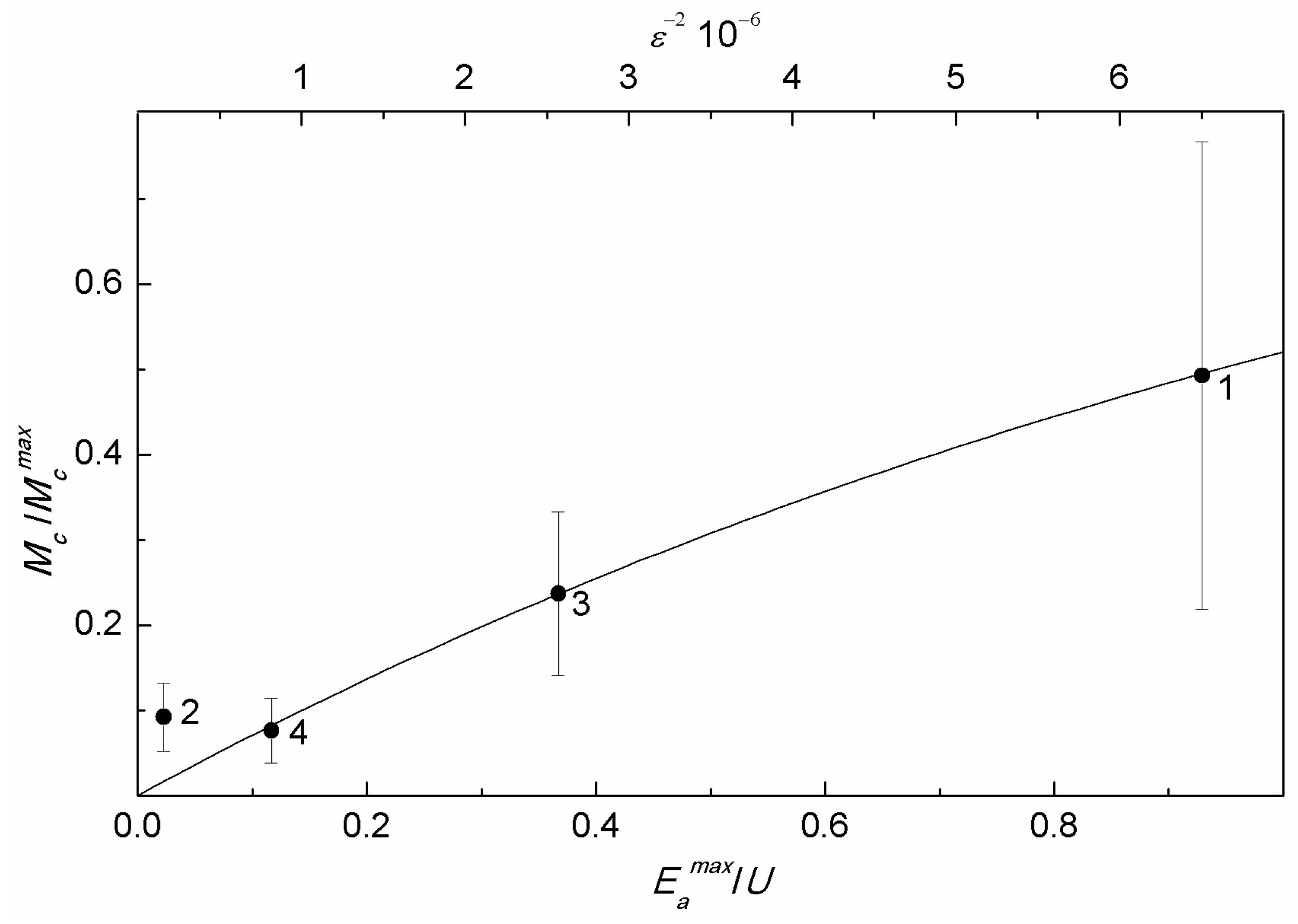
3.10. Processing NLR-M2 Experimental Data
3.11. Functionalization of Magnetic Microspherical Cellulose
3.12. Control of TKD Peptide Activity in the Conjugate
3.13. Cultivation of Glioma Cells of C6 Line and Mesenchymal Stem Cells with MSCMN and Conjugates
- Preparation of cell cultures
- 2.
- Incubation of cells with MSCMN samples:
- (1)
- TKD@MSCMN—target conjugate (TKD peptide covalently immobilized on ICMN);
- (2)
- All@MSCMN—negative control (ICMN conjugated with a non-specific peptide);
- (3)
- MSCMN without any peptide—the control sample.
3.14. Fluorescence Microscope Study of Ferrocellulose Complexes with C6 and MSC Cells
3.15. Statistical Analysis
4. Conclusions
Author Contributions
Funding
Institutional Review Board Statement
Informed Consent Statement
Data Availability Statement
Acknowledgments
Conflicts of Interest
References
- Rytting, E.; Nguyen, J.; Wang, X.; Kissel, T. Biodegradable polymeric nanocarriers for pulmonary drug delivery. Expert Opin. Drug Deliv. 2008, 5, 629–639. [Google Scholar] [CrossRef]
- Dziubla, T.D.; Karim, A.; Muzykantov, V.R. Polymer nanocarriers protecting active enzyme cargo against proteolysis. J. Control. Release 2005, 102, 427–439. [Google Scholar] [CrossRef] [PubMed]
- Rao, K.P. Recent developments of collagen-based materials for medical applications and drug delivery systems. J. Biomater. Sci. Polym. Ed. 1995, 7, 623–645. [Google Scholar] [CrossRef]
- Strickley, R.G. Solubilizing excipients in oral and injectable formulations. Pharm. Res. 2004, 21, 201–230. [Google Scholar] [CrossRef] [PubMed]
- Chorny, M.; Hood, E.; Levy, R.J.; Muzykantov, V.R. Endothelial delivery of antioxidant enzymes loaded into non-polymeric magnetic nanoparticles. J. Control. Release 2010, 146, 144–151. [Google Scholar] [CrossRef]
- Sekhon, B.S.; Kamboj, S.R. Inorganic nanomedicine—Part 1. Nanomed. Nanotechnol. Biol. Med. 2010, 6, 516–522. [Google Scholar] [CrossRef]
- Bawarski, W.E.; Pharm, D.; Chidlowsky, E.; Bharali, D.J.; Mousa, S.A. Review Article: Pharmacology Emerging nanopharmaceuticals. Nanomed. Nanotechnol. Biol. Med. 2008, 4, 273–282. [Google Scholar] [CrossRef]
- Bhakta, G.; Sharma, R.K.; Gupta, N.; Cool, S.; Nurcombe, V.; Maitra, A. Multifunctional silica nanoparticles with potentials of imaging and gene delivery. Nanomedicine 2011, 7, 472–479. [Google Scholar] [CrossRef] [PubMed]
- Brucea, I.J.; Taylor, J.; Todd, M.; Davies, M.J.; Borioni, E.; Sangregorio, C.; Sen, T. Synthesis, characterization and application of silica-magnetite nanocomposites. J. Magn. Magn. Mater. 2004, 284, 145–160. [Google Scholar] [CrossRef]
- Dynabeads Streptavidin Magnetic Beads Applications. Available online: https://www.thermofisher.com/ru/ru/home/brands/product-brand/dynal/streptavidin-coupled-dynabeads.html (accessed on 9 December 2025).
- Bashir, S.; Amn Zia, M.; Shoukat, M.; Kaleem, I.; Bashir, S. Nanoparticles as a novel key driver for the isolation and detection of circulating tumour cells. Sci. Rep. 2024, 14, 22580. [Google Scholar] [CrossRef]
- Yoon, H.J.; Kozminsky, M.; Nagrath, S. Emerging role of nanomaterials in circulating tumor cell isolation and analysis. ACS Nano 2014, 8, 1995–2017. [Google Scholar] [CrossRef] [PubMed]
- Lin, M.; Chen, J.F.; Lu, Y.T.; Zhang, Y.; Song, J.; Hou, S.; Ke, Z.; Tseng, H.R. Nanostructure embedded microchips for detection, isolation, and characterization of circulating tumor cells. Acc. Chem. Res. 2014, 47, 2941–2950. [Google Scholar] [CrossRef]
- Falih, S.S.; Rheima, A.M.; Al-Kazazz, F.F.; Abbas, Z.N. Nanoparticle-based liquid biopsy. Clin. Chim. Acta 2026, 579, 120658. [Google Scholar] [CrossRef]
- Joshi, R.; Ahmad, R.; Gardner, K.; Ahmadi, H.; Chen, C.C.; Stott, S.L.; Li, W. Functional biomaterials and machine learning approaches for phenotyping heterogeneous tumor cells and extracellular vesicles. Biomater. Sci 2025, 13, 6239–6269. [Google Scholar] [CrossRef]
- Stucky, A.; Viet, C.T.; Aouizerat, B.E.; Ye, Y.; Doan, C.; Mundluru, T.; Sedhiazadeh, P.; Sinha, U.K.; Chen, X.; Zhang, X.; et al. Single-Cell Molecular Profiling of Head and Neck Squamous Cell Carcinoma Reveals Five Dysregulated Signaling Pathways Associated with Circulating Tumor Cells. Cancer Control 2024, 31, 10732748241251571. [Google Scholar] [CrossRef]
- Pouponneau, P.; Soulez, G.; Beaudoin, G.; Leroux, J.-C.; Martel, S. MR imaging of therapeutic magnetic microcarriers guided by magnetic resonance navigation for targeted liver chemoembolization. Cardiovasc. Intervent. Radiol. 2014, 37, 784–790. [Google Scholar] [CrossRef]
- Tai, Y.; Wang, L.; Yan, G.; Gao, J.-M.; Yu, H.; Zhang, L. Recent research progress on the preparation and application of magnetic nanospheres. Polym. Int. 2011, 60, 976–994. [Google Scholar] [CrossRef]
- Elmallah, M.I.Y.; Cordonnier, M.; Vautrot, V.; Chanteloup, G.; Garrido, C.; Gobbo, J. Membrane-anchored heat-shock protein 70 (Hsp70) in cancer. Cancer Lett. 2020, 469, 134–141. [Google Scholar] [CrossRef]
- Boudesco, C.; Cause, S.; Jego, G.; Garrido, C. Hsp70: A cancer target inside and outside the cell. Chaperones Methods Protoc. 2017, 1709, 371–396. [Google Scholar] [CrossRef]
- Breuninger, S.; Stangl, S.; Werner, C.; Sievert, W.; Lobinger, D.; Foulds, G.A.; Wagner, S.; Pickhard, A.; Piontek, G.; Kokowski, K.; et al. Membrane Hsp70-A novel target for the isolation of circulating tumor cells after epithelial-to-mesenchymal transition. Front. Oncol. 2018, 8, 1–13. [Google Scholar] [CrossRef] [PubMed]
- Murphy, M.E. The HSP70 family and cancer. Carcinogenesis 2013, 34, 1181–1188. [Google Scholar] [CrossRef]
- Multhoff, G.; Botzler, C.; Wiesnet, M.; Müller, E.; Meier, T.; Wilmanns, W.; Issels, R.D. A stress-inducible 72-kDa heat-shock protein (HSP72) is expressed on the surface of human tumor cells, but not on normal cells. Int. J. Cancer 1995, 61, 272–279. [Google Scholar] [CrossRef]
- Hantschel, M.; Pfister, K.; Jordan, A.; Scholz, R.; Andreesen, R.; Schmitz, G.; Schmetzer, H.; Hiddemann, W.; Multhoff, G. Hsp70 plasma membrane expression on primary tumor biopsy material and bone marrow of leukemic patients. Cell Stress Chaperones 2000, 5, 438–442. [Google Scholar] [CrossRef] [PubMed]
- Pfister, K.; Radons, J.; Busch, R.; Tidball, J.G.; Pfeifer, M.; Freitag, L.; Feldmann, H.; Milani, V.; Issels, R.; Multhoff, G. Patient survival by Hsp70 membrane phenotype: Association with different routes of metastasis. Cancer 2007, 110, 926–935. [Google Scholar] [CrossRef] [PubMed]
- De Maio, A.; Hightower, L. The interaction of heat shock proteins with cellular membranes: A historical perspective. Cell Stress Chaperones 2021, 26, 769–783. [Google Scholar] [CrossRef]
- Shevtsov, M.; Balogi, Z.; Khachatryan, W.; Gao, H.; Vígh, L.; Multhoff, G. Membrane-Associated Heat Shock Proteins in Oncology: From Basic Research to New Theranostic Targets. Cells 2020, 9, 1263. [Google Scholar] [CrossRef] [PubMed] [PubMed Central]
- Farkas, B.; Hantschel, M.; Magyarlaki, M.; Becker, B.; Scherer, K.; Landthaler, M.; Pfister, K.; Gehrmann, M.; Gross, C.; Mackensen, A.; et al. Heat shock protein 70 membrane expression and melanoma-associated marker phenotype in primary and metastatic melanoma. Melan. Res. 2003, 13, 147–152. [Google Scholar] [CrossRef]
- Multhoff, G.; Pfister, K.; Gehrmann, M.; Hantschel, M.; Gross, C.; Hafner, M.; Hiddemann, W. A 14-mer Hsp70 peptide stimulates natural killer (NK) cell activity. Cell Stress Chaperones 2001, 6, 337–344. [Google Scholar] [CrossRef]
- Meng, Y.; Wang, S.; Li, C.; Qian, M.; Zheng, Y.; Yan, X.; Huang, R. TKD peptide as a ligand targeting drug delivery systems to memHsp70-positive breast cancer. Int. J. Pharm. Elsevier B 2016, 498, 40–48. [Google Scholar] [CrossRef] [PubMed]
- Shevtsov, M.; Yudintceva, N.; Bobkov, D.; Likhomanova, R.; Nechaeva, A.; Mikhailova, E.; Oganesyan, E.; Fedorov, V.; Kurkin, A.; Lukacheva, A.; et al. RAS70 peptide targets multiforme glioblastoma by binding to the plasma membrane heat shock protein HSP70. Front. Oncol. 2025, 15, 1543657. [Google Scholar] [CrossRef]
- Lagerman, C.E.; Marshall, G.D.; McDonald, M.A.; Harris, P.R.; Grover, M.A.; Rousseau, R.W.; Bommarius, A.S. Magnetic Separation of Immobilized Biocatalyst Enables Continuous Manufacturing with a Solids-Forming Reaction. React. Chem. Eng. 2023, 8, 2323–2331. [Google Scholar] [CrossRef]
- Schwaminger, S.P.; Fraga-García, P.; Eigenfeld, M.; Becker, T.M.; Berensmeier, S. Magnetic Separation in Bioprocessing Beyond the Analytical Scale: From Biotechnology to the Food Industry. Front. Bioeng. Biotechnol. 2019, 7, 233. [Google Scholar] [CrossRef] [PubMed]
- Tewa-Tagne, P.; Brianc, S.; Fessi, H. Spray-dried microparticles containing polymeric nanocapsules: Formulation aspects, liquid phase interactions and particles characteristics. Int. J. Pharm. 2006, 325, 63–74. [Google Scholar] [CrossRef] [PubMed]
- Omidian, H.; Akhzarmehr, A.; Chowdhury, S.D. Advancements in Cellulose-Based Superabsorbent Hydrogels: Sustainable Solutions across Industries. Gels 2024, 10, 174. [Google Scholar] [CrossRef]
- Skvortsov, N.V.; Vlasova, O.L.; Boldyrev, A.G.; Larionov, I.V. Performance evaluation of the Spherocell S80 sorbent in dynamic mode. St. Petersburg State Polytech. Univ. J. Phys. Math. 2015, 218, 91–98. (In Russian) [Google Scholar] [CrossRef]
- Skvortsov, N.V.; Samoilov, V.O.; Larionov, I.V.; Boldyrev, A.G. An effective sorbent for the elimination of endotoxin in genetically engineered biopreparations and biological fluids. St. Petersburg State Polytech. Univ. J. Phys. Math. 2013, 177, 177–181. (In Russian) [Google Scholar]
- Ryzhov, V.A.; Zavatskii, E.I. Device for Studying Magnetic Properties of Magnets. Patent 2,507,527, 20 February 2014. [Google Scholar]
- Ryzhov, V.A.; Kiselev, I.A.; Smirnov, O.P.; Chernenkov, Y.P.; Deriglazov, V.V.; Marchenko, Y.Y.; Yakovleva, L.Y.; Nikolaev, B.P.; Bogachev, Y.V. Comprehensive characterization of magnetite-based colloid for biomedical applications. Appl. Phys. A 2019, 125, 322. [Google Scholar] [CrossRef]
- Suryanarayana, C.; Norton, M.G. X-Ray Diffraction: A Practical Approach; Plenum Press Publishing: New York, NY, USA, 1998; pp. 207–221. [Google Scholar]
- Yudintceva, N.; Mikhailova, N.; Bobkov, D.; Yakovleva, L.; Nikolaev, B.; Krasavina, D.; Muraviov, A.; Vinogradova, T.; Yablonskiy, P.; Samusenko, I.; et al. Evaluation of the Biodistribution of Mesenchymal Stem Cells in a Pre-clinical Renal Tuberculosis Model by Non-linear Magnetic Response Measurement. Front. Phys. 2021, 9, 625622. [Google Scholar] [CrossRef]
- Shevtsov, M.A.; Nikolaev, B.P.; Ryzhov, V.A.; Yakovleva, L.Y.; Dobrodumov, A.V.; Marchenko, Y.Y.; Margulis, B.A.; Pitkin, E.; Guzhova, I.V. Brain tumor magnetic targeting and biodistribution of super- paramagnetic iron oxide nanoparticles linked with 70-kDa heat shock protein study by nonlinear longitudinal response. J. Magn. Magn. Mater. 2015, 388, 123. [Google Scholar] [CrossRef]
- Naĭden, E.P.; Zhuravlev, V.A.; Itin, V.I.; Terekhova, O.G.; Magaeva, A.A.; Ivanov, Y.F. Magnetic properties and structural parameters of nanosized powders of oxide ferrimagnets obtained by mechanochemical synthesis from salt systems. Fizika Tverdogo Tela 2008, 50, 857–863. (In Russian) [Google Scholar]
- Gastpar, R.; Gross, C.; Rossbacher, L.; Ellwart, J.; Riegger, J.; Multhoff, G. The Cell Surface-Localized Heat Shock Protein 70 Epitope TKD Induces Migration and Cytolytic Activity Selectively in Human NK Cells. J. Immunol. 2004, 172, 972–980. [Google Scholar] [CrossRef] [PubMed]
- Stangl, S.; Varga, J.; Freysoldt, B.; Trajkovic-Arsic, M.; Siveke, J.T.; Greten, F.R.; Ntziachristos, V.; Multhoff, G. Selective in vivo imaging of syngeneic, spontaneous, and xenograft tumors using a novel tumor cell-specific hsp70 peptide-based probe. Cancer Res. 2014, 74, 6903–6912. [Google Scholar] [CrossRef] [PubMed]
- Saunina, K.N.; Gundilovich, N.N.; Nikolaevich, L.N.; Pavlyukevich, Y.G. Division of C6 rat glioma tumor cells into subpopulations using quartz filters and assessment of their proliferation. Russ. Biother. J. 2017, 16, 70–71. [Google Scholar]
- Nikolaev, B.P.; Marchenko, Y.Y.; Yakovleva, L.Y. Contrast Agent for Magnetic Resonance Imaging. Patent 2,465,010, 27 October 2012. [Google Scholar]
- Petrukhin, O.M. (Ed.) Analytical Chemistry. Chemical Methods of Analysis; M. Chemistry: Moscow, Russia, 1992; 400p. [Google Scholar]
- Lazuta, A.V.; Larionov, I.I.; Ryzhov, V.A. Second-harmonic nonlinear response of a cubic ferromagnet in the critical paramagnetic neighborhood of TC. Zh. Eksp. Teor. Fiz. 1991, 100, 1964–1980. (In Russian) [Google Scholar]
- Shevtsov, M.A.; Nikolaev, B.P.; Ryzhov, V.A.; Yakovleva, L.Y.; Marchenko, Y.Y.; Parr, M.A.; Rolich, V.I.; Mikhrina, A.L.; Dobrodumov, A.V.; Pitkin, E.; et al. Ionizing radiation improves glioma-specific targeting of superparamagnetic iron oxide nanoparticles conjugated with cmHsp70.1 monoclonal antibodies (SPION–cmHsp70.1). Nanoscale 2015, 7, 20652–20664. [Google Scholar] [CrossRef]
- Hazra, R.S.; Kale, N.; Aland, G.; Qayyumi, B.; Mitra, D.; Jiang, L.; Bajwa, D.; Khandare, J.; Chaturvedi, P.; Quadir, M. Cellulose mediated transferrin nanocages for enumeration of circulating tumor cells for head and neck cancer. Sci. Rep. 2020, 10, 10010. [Google Scholar] [CrossRef]
- Williams, A.; Ibrahim, I.T. Carbodiimide chemistry: Recent advances. Chem. Rev. 1981, 81, 589–636. [Google Scholar] [CrossRef]
- Bradford, M.M. A rapid and sensitive method for the quantitation of microgram quantities of protein utilizing the principle of protein-dye binding. Anal. Biochem. 1976, 72, 248–254. [Google Scholar] [CrossRef]














| Type of Sample | κλ/d | d, nm | ε | |
|---|---|---|---|---|
| 1 | MSCMN_100 | 0.0128 | 10.8(2.0) | 0.00039 |
| 2 | MSCMN_700 | 0.0081 | 17.1(2.5) | 0.0025 |
| 3 | MNP_no-shell | 0.0098 | 14.1(1.9) | 0.00062 |
| 4 | MNP_Dx | 0.0096 | 14.4(2.4) | 0.0011 |
| CFe, μg/mL | NC, 1/mL | MC, μB | σ | α | τN, ns |
|---|---|---|---|---|---|
| 109 | 2.31(41) × 1013 | 21,460 | 0.787(16) | 0.289(11) | 0.483(32) |
| 214 | 8.59(51) × 1013 | 18,890 | 0.828(18) | 0.269(16) | 0.459(22) |
| 328 | 1.18(13) × 1014 | 18,870 | 0.841(18) | 0.273(14) | 0.449(11) |
| 503 | 2.55(23) × 1014 | 17,320 | 0.868(20) | 0.270(14) | 0.418(18) |
| 538 | 3.14(28) × 1014 | 19,260 | 0.834(35) | 0.267(10) | 0.468(30) |
| NMSCMN | NC | MC, μB | σM | α | τN, ns |
|---|---|---|---|---|---|
| 1 | 1.39 × 1012 | 13,850 | 0.861 | 0.274 | 0.333 |
| 10 | 1.16 × 1013 | 13,230 | 0.868 | 0.267 | 0.321 |
| 20 | 2.83 × 1013 | 13,750 | 0.847 | 0.276 | 0.323 |
Disclaimer/Publisher’s Note: The statements, opinions and data contained in all publications are solely those of the individual author(s) and contributor(s) and not of MDPI and/or the editor(s). MDPI and/or the editor(s) disclaim responsibility for any injury to people or property resulting from any ideas, methods, instructions or products referred to in the content. |
© 2025 by the authors. Licensee MDPI, Basel, Switzerland. This article is an open access article distributed under the terms and conditions of the Creative Commons Attribution (CC BY) license.
Share and Cite
Dmitrieva, A.; Ryzhov, V.; Marchenko, Y.; Deriglazov, V.; Nikolaev, B.; Yakovleva, L.; Smirnov, O.; Matveev, V.; Yudintceva, N.; Spitsyna, A.; et al. Cellulose-Encapsulated Magnetite Nanoparticles for Spiking of Tumor Cells Positive for the Membrane-Bound Hsp70. Int. J. Mol. Sci. 2026, 27, 150. https://doi.org/10.3390/ijms27010150
Dmitrieva A, Ryzhov V, Marchenko Y, Deriglazov V, Nikolaev B, Yakovleva L, Smirnov O, Matveev V, Yudintceva N, Spitsyna A, et al. Cellulose-Encapsulated Magnetite Nanoparticles for Spiking of Tumor Cells Positive for the Membrane-Bound Hsp70. International Journal of Molecular Sciences. 2026; 27(1):150. https://doi.org/10.3390/ijms27010150
Chicago/Turabian StyleDmitrieva, Anastasia, Vyacheslav Ryzhov, Yaroslav Marchenko, Vladimir Deriglazov, Boris Nikolaev, Lyudmila Yakovleva, Oleg Smirnov, Vasiliy Matveev, Natalia Yudintceva, Anastasiia Spitsyna, and et al. 2026. "Cellulose-Encapsulated Magnetite Nanoparticles for Spiking of Tumor Cells Positive for the Membrane-Bound Hsp70" International Journal of Molecular Sciences 27, no. 1: 150. https://doi.org/10.3390/ijms27010150
APA StyleDmitrieva, A., Ryzhov, V., Marchenko, Y., Deriglazov, V., Nikolaev, B., Yakovleva, L., Smirnov, O., Matveev, V., Yudintceva, N., Spitsyna, A., Varfolomeeva, E., Combs, S. E., Konevega, A. L., & Shevtsov, M. (2026). Cellulose-Encapsulated Magnetite Nanoparticles for Spiking of Tumor Cells Positive for the Membrane-Bound Hsp70. International Journal of Molecular Sciences, 27(1), 150. https://doi.org/10.3390/ijms27010150

