Synthesis and In Vitro Anticancer Evaluation of Novel Phosphonium Derivatives of Chrysin
Abstract
1. Introduction
2. Results and Discussion
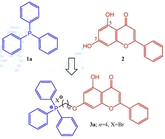
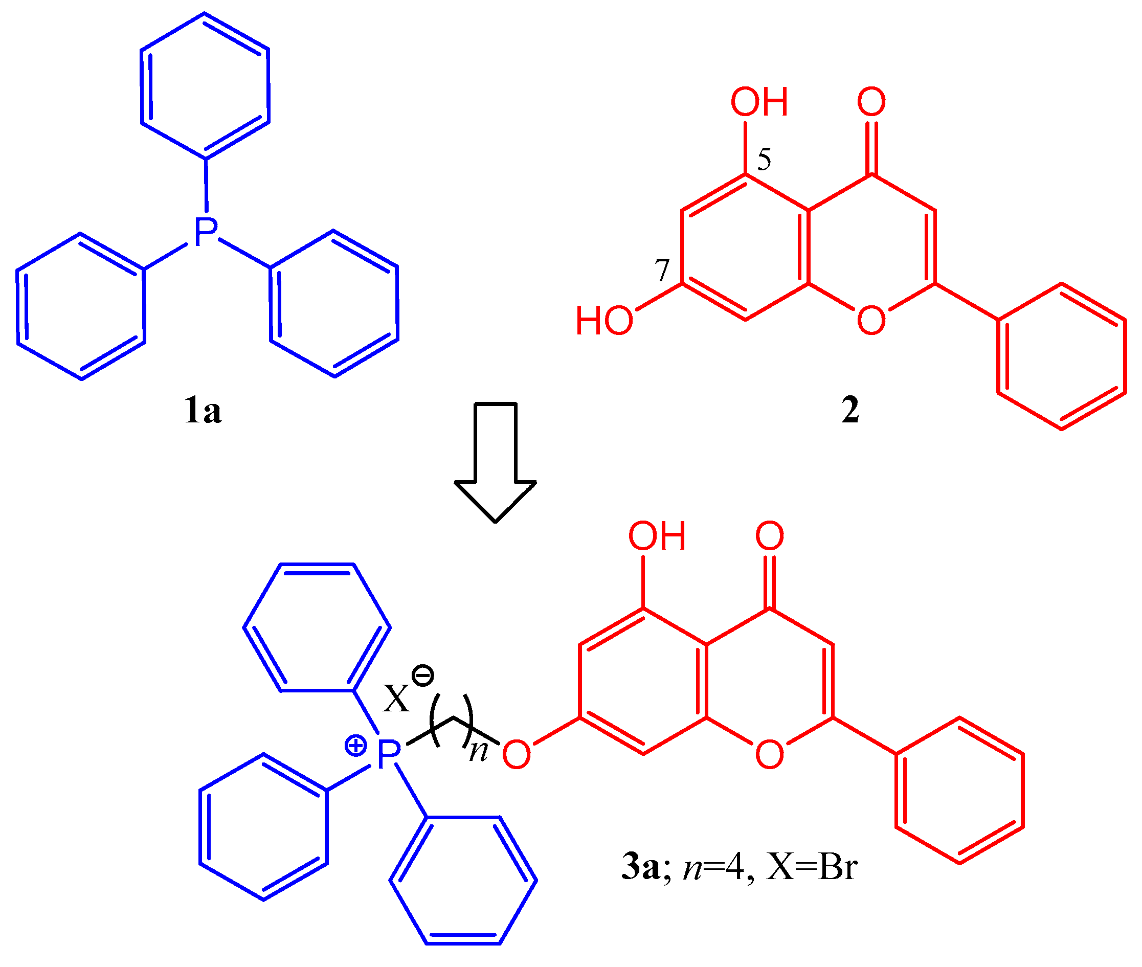
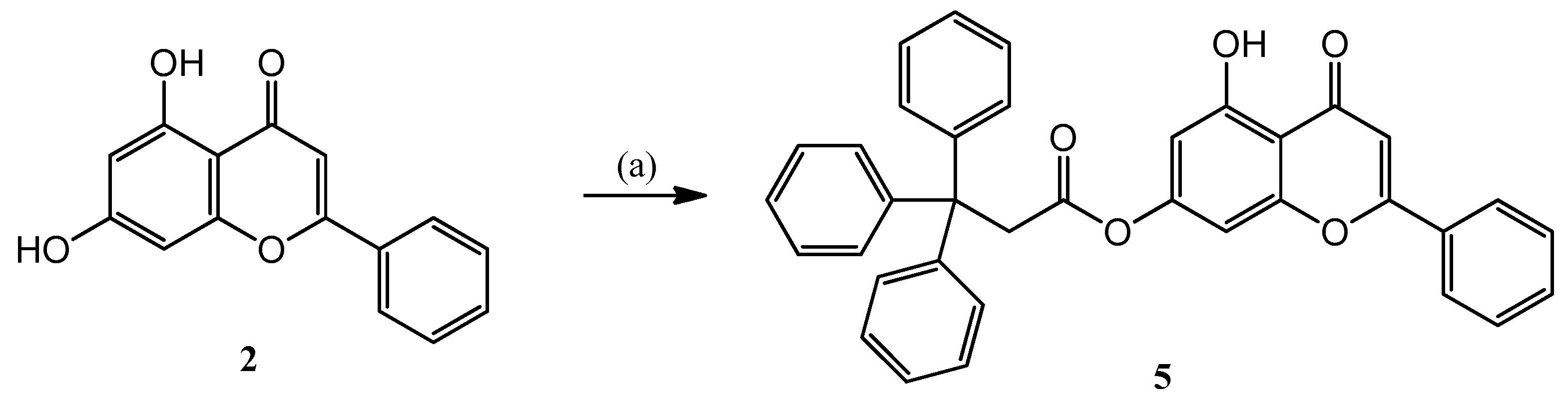
2.1. Chemistry
2.2. Biological Evaluation
2.2.1. NCI60 Screening
2.2.2. Antiproliferative Properties of Compounds 3i, 3j, and 5
2.2.3. Cell Cycle Analysis
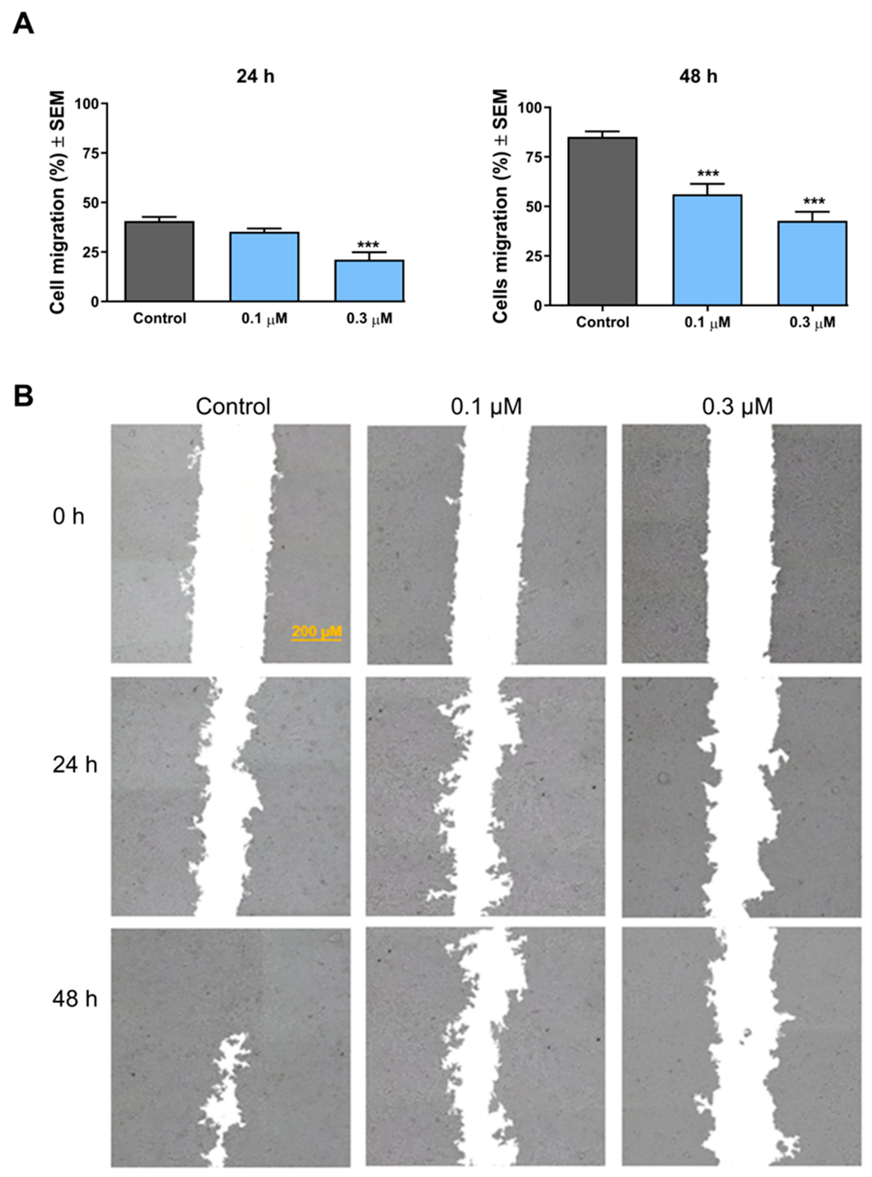
2.2.4. Antimigratory Property
2.2.5. CellTiter-Glo Luminescent Cell Viability Assay on Non-Tumor CHO Cells
3. Materials and Methods
3.1. General
3.2. Chemistry
3.3. Biological Evaluation
3.3.1. NCI60 Screening
3.3.2. Determination of Antiproliferative Effects on Adherent Cancer Cell Lines
3.3.3. Cell Cycle Analysis
3.3.4. Determination of Antimigratory Effect
3.3.5. CellTiter-Glo Luminescent Cell Viability Assay on Non-Tumor CHO Cells
4. Conclusions
Supplementary Materials
Author Contributions
Funding
Institutional Review Board Statement
Informed Consent Statement
Data Availability Statement
Acknowledgments
Conflicts of Interest
References
- Cheng, X.; Feng, D.; Lv, J.; Cui, X.; Wang, Y.; Wang, Q.; Zhang, L. Application Prospects of Triphenylphosphine-Based Mitochondria-Targeted Cancer Therapy. Cancers 2023, 15, 666. [Google Scholar] [CrossRef] [PubMed]
- Wang, J.; Li, J.; Xiao, Y.; Fu, B.; Qin, Z. TPP-based mitocans: A potent strategy for anticancer drug design. RSC Med. Chem. 2020, 11, 858–875. [Google Scholar] [CrossRef]
- Gardner, Z.S.; Schumacher, T.J.; Ronayne, C.T.; Kumpati, G.P.; Williams, M.J.; Yoshimura, A.; Mereddy, V.R. Synthesis and biological evaluation of novel 2-alkoxycarbonylallylester phosphonium derivatives as potential anticancer agents. Bioorg. Med. Chem. Lett. 2021, 45, 128136. [Google Scholar] [CrossRef]
- Tsepaeva, O.V.; Nemtarev, A.V.; Abdullin, T.I.; Grigor’eva, L.R.; Kuznetsova, E.V.; Akhmadishina, R.A.; Mironov, V.F. Design, Synthesis, and Cancer Cell Growth Inhibitory Activity of Triphenylphosphonium Derivatives of the Triterpenoid Betulin. J. Nat. Prod. 2017, 80, 2232–2239. [Google Scholar] [CrossRef]
- Trnka, J.; Elkalaf, M.; Anděl, M. Lipophilic Triphenylphosphonium Cations Inhibit Mitochondrial Electron Transport Chain and Induce Mitochondrial Proton Leak. PLoS ONE 2015, 10, e0121837. [Google Scholar] [CrossRef]
- Grymel, M.; Lalik, A.; Kazek-Kęsik, A.; Szewczyk, M.; Grabiec, P.; Erfurt, K. Design, Synthesis and Preliminary Evaluation of the Cytotoxicity and Antibacterial Activity of Novel Triphenylphosphonium Derivatives of Betulin. Molecules 2022, 27, 5156. [Google Scholar] [CrossRef]
- Wang, R.; Krasniqi, B.; Li, Y.; Dehaen, W. Triphenylphosphonium-linked derivative of allobetulin: Preparation, anticancer properties and their mechanism of inhibiting SGC-7901 cells proliferation. Bioorg. Chem. 2022, 126, 105853. [Google Scholar] [CrossRef] [PubMed]
- Halmai, M.; Donkó-Tóth, V.; Keglevich, P.; Kánai, K.; Weber, M.; Dékány, M.; Abdallah, E.A.; Bózsity, N.; Zupkó, I.; Nehr-Majoros, A.; et al. Synthesis and In Vitro Evaluation of the Anticancer Effect of Novel Phosphonium Vindoline Derivatives. Int. J. Mol. Sci. 2025, 26, 3775. [Google Scholar] [CrossRef]
- Kumar, S.; Pandey, A.K. Chemistry and biological activities of flavonoids: An overview. Sci. World J. 2013, 2013, 162750. [Google Scholar] [CrossRef]
- Hazai, L.; Zsoldos, B.; Halmai, M.; Keglevich, P. Flavone Hybrids and Derivatives as Bioactive Agents. Appl. Sci. 2024, 14, 1039. [Google Scholar] [CrossRef]
- Mattarei, A.; Biasutto, L.; Marotta, E.; De Marchi, U.; Sassi, N.; Garbisa, S.; Zoratti, M.; Paradisi, C. A Mitochondriotropic Derivative of Quercetin: A Strategy to Increase the Effectiveness of Polyphenols. Chembiochem 2008, 9, 2633–2642. [Google Scholar] [CrossRef] [PubMed]
- Mattarei, A.; Biasutto, L.; Rastrelli, F.; Garbisa, S.; Marotta, E.; Zoratti, M.; Paradisi, C. Regioselective O-derivatization of quercetin via ester intermediates. An improved synthesis of Rhamnetin and development of a new mitochondriatropic derivative. Molecules 2010, 15, 4722–4736. [Google Scholar] [CrossRef]
- Mattarei, A.; Sassi, N.; Durante, C.; Biasutto, L.; Sandoná, G.; Marotta, E.; Garbisa, S.; Gennaro, A.; Paradisi, C.; Zoratti, M. Redox properties and cytotoxicity of synthetic isomeric mitochondriotropic derivatives of the natural polyphenol quercetin. Eur. J. Org. Chem. 2011, 2011, 5577–5586. [Google Scholar] [CrossRef]
- Xing, L.; Lyu, J.-Y.; Yang, Y.; Cui, P.-F.; Gu, L.-Q.; Qiao, J.-B.; He, Y.-J.; Zhang, T.-Q.; Sun, M.; Lu, J.-J.; et al. pH-Responsive de-PEGylated nanoparticles based on triphenylphosphine-quercetin self-assemblies for mitochondria-targeted cancer therapy. Chem. Commun. 2017, 53, 8790–8793. [Google Scholar] [CrossRef]
- Biasutto, L.; Mattarei, A.; Paradisi, C. Synthesis and Testing of Novel Isomeric Mitochondriotropic Derivatives of Resveratrol and Quercetin. In Mitochondrial Medicine; Weissig, V., Edeas, M., Eds.; Springer: New York, NY, USA, 2015; pp. 161–179. [Google Scholar] [CrossRef]
- Biasutto, L.; Mattarei, A.; Paradisi, C. Synthesis and Testing of Novel Isomeric Mitochondriotropic Derivatives of Resveratrol and Quercetin. In Mitochondrial Medicine; Weissig, V., Edeas, M., Eds.; Springer: New York, NY, USA, 2021; pp. 141–160. [Google Scholar] [CrossRef]
- Stompor-Gorący, M.; Bajek-Bil, A.; Machaczka, M. Chrysin: Perspectives on Contemporary Status and Future Possibilities as Pro-Health Agent. Nutrients 2021, 13, 2038. [Google Scholar] [CrossRef]
- Kasala, E.R.; Bodduluru, L.N.; Madana, R.M.; Athira, K.V.; Gogoi, R.; Barua, C.C. Chemopreventive and Therapeutic Potential of Chrysin in Cancer: Mechanistic Perspectives. Toxicol. Lett. 2015, 233, 214–225. [Google Scholar] [CrossRef]
- Salari, N.; Faraji, F.; Jafarpour, S.; Faraji, F.; Rasoulpoor, S.; Dokaneheifard, S.; Mohammadi, M. Anti-cancer Activity of Chrysin in Cancer Therapy: A Systematic Review. Indian J. Surg. Oncol. 2022, 13, 681–690. [Google Scholar] [CrossRef]
- Moghadam, E.R.; Ang, H.L.; Asnaf, S.E.; Zabolian, A.; Saleki, H.; Yavari, M.; Esmaeili, H.; Zarrabi, A.; Ashrafizadeh, M.; Kumar, A.P. Broad-Spectrum Preclinical Antitumor Activity of Chrysin: Current Trends and Future Perspectives. Biomolecules 2020, 10, 1374. [Google Scholar] [CrossRef]
- Mishra, A.; Mishra, P.S.; Bandopadhyay, R.; Khurana, N.; Angelopoulou, E.; Paudel, Y.N.; Piperi, C. Neuroprotective Potential of Chrysin: Mechanistic Insights and Therapeutic Potential for Neurological Disorders. Molecules 2021, 26, 6456. [Google Scholar] [CrossRef] [PubMed]
- Bortolotto, V.C.; Dahleh, M.M.M.; Marques, L.S.; Borstmann, S.M.A.; Viana, C.E.; Pinheiro, F.C.; Balok, F.R.M.; Meichtry, L.B.; Boeira, S.P.; Guerra, G.P.; et al. Chrysin modulates the BDNF/TrkB/AKT/Creb neuroplasticity signaling pathway: Acting in the improvement of cognitive flexibility and declarative, working and aversive memory deficits caused by hypothyroidism in C57BL/6 female mice. Neuroscience 2025, 566, 28–38. [Google Scholar] [CrossRef]
- Sokal, A.; Mruczek, P.; Niedoba, M.; Dewalska, A.; Stocerz, K.; Kadela-Tomanek, M. Anticancer Activity of Ether Derivatives of Chrysin. Molecules 2025, 30, 960. [Google Scholar] [CrossRef]
- Mayer, S.; Herr, D.M.; Nagy, N.; Donkó-Tóth, V.; Keglevich, P.; Weber, M.; Dékány, M.; Hazai, L. Synthesis and In Vitro Anticancer Evaluation of Chrysin Containing Hybrids and Other Chrysin Derivatives. Period. Polytech. Chem. Eng. 2023, 67, 316–336. [Google Scholar] [CrossRef]
- Mayer, S.; Keglevich, A.; Sepsey Für, C.; Bölcskei, H.; Ilkei, V.; Keglevich, P.; Hazai, L. Results in Chemistry of Natural Organic Compounds. Synthesis of New Anticancer Vinca Alkaloids and Flavone Alkaloids. Chemistry 2020, 2, 714–726. [Google Scholar] [CrossRef]
- Mayer, S.; Nagy, N.; Keglevich, P.; Szigetvari, A.; Dekany, M.; Szantay, C., Jr.; Hazai, L. Synthesis of Novel Vindoline-Chrysin Hybrids. Chem. Biodivers. 2022, 19, e2100725. [Google Scholar] [CrossRef] [PubMed]
- Németh-Rieder, A.; Keglevich, P.; Hunyadi, A.; Latif, A.D.; Zupkó, I.; Hazai, L. Synthesis and In Vitro Anticancer Evaluation of Flavone—1,2,3-Triazole Hybrids. Molecules 2023, 28, 626. [Google Scholar] [CrossRef]
- Noole, V.; Krishna, T.; Godeshala, S.; Meraji, S.; Rege, K.; Reddy, C.K.; Kedika, B. Synthesis and Biological Evaluation of New 1,2,3-Triazole Derivatives of the Chrysin Flavonoid as Anticancer Agents. Anti-Cancer Agents Med. Chem. 2022, 22, 160–168. [Google Scholar] [CrossRef]
- Al-Oudat, B.A.; Alqudah, M.A.; Audat, S.A.; Al-Balas, Q.A.; El-Elimat, T.; Hassan, M.A.; Frhat, I.N.; Azaizeh, M.M. Design, synthesis, and biologic evaluation of novel chrysin derivatives as cytotoxic agents and caspase-3/7 activators. Drug Des. Devel. Ther. 2019, 13, 423–433. [Google Scholar] [CrossRef]
- Zhu, Y.; Yao, X.; Long, J.; Li, R.; Liu, Y.; Yang, Z.; Zheng, X. Fluorine-Containing Chrysin Derivatives: Synthesis and Biological Activity. Nat. Prod. Commun. 2019, 14, 1934578X1987892. [Google Scholar] [CrossRef]
- Zhang, W.H.; Chen, S.; Liu, X.L.; Feng, T.T.; De Yang, W.; Zhou, Y. Design, Synthesis and Evaluation of Structurally Diverse Chrysin-Chromene-Spirooxindole Hybrids as Anticancer Agents. Bioorg. Med. Chem. 2019, 27, 115109. [Google Scholar] [CrossRef]
- Al-Oudat, B.A.; Ramapuram, H.; Malla, S.; Audat, S.A.; Hussein, N.; Len, J.M.; Kumari, S.; Bedi, M.F.; Ashby, C.R., Jr.; Tiwari, A.K. Novel Chrysin-De-Allyl PAC-1 Hybrid Analogues as Anticancer Compounds: Design, Synthesis, and Biological Evaluation. Molecules 2020, 25, 3063. [Google Scholar] [CrossRef]
- Yu, Q.; Huang, B.; Ling, Y. Design, Synthesis, and In vitro Anticancer Activity of Novel Chrysin Derivatives. Lett. Drug Des. Discov. 2023, 20, 854–862. [Google Scholar] [CrossRef]
- Zheng, X.; Meng, W.D.; Xu, Y.Y.; Cao, J.G.; Qing, F.L. Synthesis and anti-cancer effect of chrysin derivatives. Bioorg. Med. Chem. Lett. 2003, 13, 881–884. [Google Scholar] [CrossRef] [PubMed]
- Babu, K.S.; Babu, T.H.; Srinivas, P.V.; Sastry, B.S.; Kishore, K.H.; Murty, U.S.N. Synthesis and in vitro study of novel 7-O-acyl derivatives of oroxylin A as antibacterial agents. Bioorg. Med. Chem. Lett. 2005, 15, 3953–3956. [Google Scholar] [CrossRef] [PubMed]
- Shoemaker, R.H. The NCI60 human tumour cell line anticancer drug screen. Nat. Rev. Cancer 2006, 6, 813–823. [Google Scholar] [CrossRef] [PubMed]
- Kunkel, M.W.; Coussens, N.P.; Morris, J.; Taylor, R.C.; Dexheimer, T.S.; Jones, E.M.; Doroshow, J.H.; Teicher, B.A. HTS384 NCI60: The Next Phase of the NCI60 Screen. Cancer Res. 2024, 84, 2403–2416. [Google Scholar] [CrossRef]
- Holbeck, S.L.; Camalier, R.; Crowell, J.A.; Govindharajulu, J.P.; Hollingshead, M.; Anderson, L.W.; Polley, E.; Rubinstein, L.; Srivastava, A.; Wilsker, D.; et al. The National Cancer Institute ALMANAC: A comprehensive screening resource for the detection of anticancer drug pairs with enhanced therapeutic activity. Cancer Res. 2017, 77, 3564–3576. [Google Scholar] [CrossRef]
- NCI-60 Screening Methodology. Available online: https://dctd.cancer.gov/drug-discovery-development/assays/high-throughput-screening-services/nci60/submitting-compounds/screening-methodology.pdf (accessed on 4 November 2025).
- Muddather, H.F.; Bózsity, N.; Balogh, G.T.; Schelz, Z.; Zupkó, I. In Vitro Investigation of the Antiproliferative and Antimetastatic Effects of Atorvastatin: A Focus on Cervical and Head and Neck Cancers. Pharmaceutics 2025, 17, 1253. [Google Scholar] [CrossRef]
- Vermes, I.; Haanen, C.; Reutelingsperger, C. Flow cytometry of apoptotic cell death. J. Immunol. Methods 2000, 243, 167–190. [Google Scholar] [CrossRef]
- Behrens, J.; Kameritsch, P.; Wallner, S.; Pohl, U.; Pogoda, K. The Carboxyl Tail of Cx43 Augments P38 Mediated Cell Migration in a Gap Junction-Independent Manner. Eur. J. Cell Biol. 2010, 89, 828–838. [Google Scholar] [CrossRef]
- Nelson, L.J.; Castro, K.E.; Xu, B.; Li, J.; Dinh, N.B.; Thompson, J.M.; Woytash, J.; Kipp, K.R.; Razorenova, O.V. Synthetic lethality of cyclin-dependent kinase inhibitor Dinaciclib with VHL-deficiency allows for selective targeting of clear cell renal cell carcinoma. Cell Cycle 2022, 21, 1103–1119. [Google Scholar] [CrossRef]
- Nehr-Majoros, A.K.; Erostyák, J.; Fenyvesi, É.; Szabó-Meleg, E.; Szőcs, L.; Sétáló, G., Jr.; Helyes, Z.; Szőke, É. Cyclodextrin derivatives decrease Transient Receptor Potential vanilloid 1 and Ankyrin 1 ion channel activation via altering the surrounding membrane microenvironment by cholesterol depletion. Front. Cell Dev. Biol. 2024, 12, 1334130. [Google Scholar] [CrossRef]
- Ahmed, I.A.; Hafiz, S.; van Ginkel, S.; Pondugula, S.R.; Abdelhaffez, A.S.; Sayyed, H.G.; Mansour, M.M. Augmentation of Docetaxel-Induced Cytotoxicity in Human PC-3 Androgen-Independent Prostate Cancer Cells by Combination With Four Natural Apoptosis-Inducing Anticancer Compounds. Nat. Prod. Commun. 2023, 18, 5. [Google Scholar] [CrossRef]
- Mahesh, P.; Akshinthala, P.; Katari, N.K.; Gupta, L.K.; Panwar, D.; Sharma, M.K.; Jonnalagadda, S.B.; Gundla, R. Antiproliferative activity of new pyrazole-4-sulfonamide derivatives: Synthesis and biological evaluation. ACS Omega 2023, 8, 25698–25709. [Google Scholar] [CrossRef] [PubMed]
- Cetin, E.; Boyacioglu, O.; Orenay-Boyacioglu, S. An effective treatment approach of liposomally encapsulated metformin in colon cancer. Med. Oncol. 2024, 41, 82. [Google Scholar] [CrossRef] [PubMed]
- Wang, D.; Shen, M.; Kitamura, N.; Sennari, Y.; Morita, K.; Tsukada, J.; Kanazawa, T.; Yoshida, Y. Mitogen-activated protein kinases are involved in cucurbitacin D-induced antitumor effects on adult T-cell leukemia cells. Investig. New Drugs 2021, 39, 122–130. [Google Scholar] [CrossRef] [PubMed]







| 3a | 3b | 3c | 3d | 3e | 3f | 3g | 3h | ||||||||||
|---|---|---|---|---|---|---|---|---|---|---|---|---|---|---|---|---|---|
| Panel | Cell Line | GI50 | Mean | GI50 | Mean | GI50 | Mean | GI50 | Mean | GI50 | Mean | GI50 | Mean | GI50 | Mean | GI50 | Mean |
| Leukemia | CCRF-CEM | 0.335 | 0.26 | 0.324 | 0.22 | 0.367 | 0.34 | 2.310 | 1.71 | 0.477 | 0.42 | 0.103 | 0.12 | 0.242 | 0.21 | 0.334 | 0.26 |
| HL-60(TB) | 0.167 | 0.140 | 0.288 | 1.340 | 0.184 | 0.078 | 0.180 | 0.130 | |||||||||
| K-562 | 0.216 | 0.137 | 0.376 | 1.400 | 0.402 | 0.034 | 0.279 | 0.189 | |||||||||
| MOLT-4 | 0.338 | 0.322 | 0.453 | 1.900 | 1.010 | 0.238 | 0.235 | 0.424 | |||||||||
| RPMI-8226 | 0.205 | 0.144 | 0.235 | 1.310 | 0.182 | 0.110 | 0.135 | 0.248 | |||||||||
| SR | 0.289 | 0.261 | 0.300 | 1.990 | 0.260 | 0.162 | 0.206 | 0.214 | |||||||||
| Non-small-Cell Lung Cancer | A549/ATCC | 0.908 | 0.46 | 0.393 | 0.31 | 0.600 | 0.59 | 3.210 | 1.97 | 1.330 | 1.07 | 0.314 | 0.29 | 0.417 | 0.45 | 1.130 | 1.07 |
| EKVX | 0.317 | 0.275 | 0.462 | 2.230 | 1.060 | 0.309 | n.d. | 1.120 | |||||||||
| HOP-62 | 0.480 | 0.307 | 0.732 | 1.560 | 1.560 | 0.311 | 0.332 | 1.520 | |||||||||
| HOP-92 | 0.234 | 0.163 | 0.252 | 1.320 | 0.211 | 0.165 | 0.255 | 0.346 | |||||||||
| NCI-H226 | 0.354 | 0.277 | 0.606 | 1.820 | 1.100 | 0.249 | 0.399 | 1.560 | |||||||||
| NCI-H23 | 0.302 | 0.241 | 0.423 | 1.650 | 1.340 | 0.283 | 0.243 | 0.776 | |||||||||
| NCI-H322M | 0.976 | 0.532 | 1.420 | 1.990 | 1.580 | 0.432 | 1.380 | 2.040 | |||||||||
| NCI-H460 | 0.321 | 0.357 | 0.371 | 2.130 | 0.957 | 0.304 | 0.243 | 0.801 | |||||||||
| NCI-H522 | 0.228 | 0.274 | 0.405 | 1.820 | 0.457 | 0.221 | 0.341 | 0.320 | |||||||||
| Colon Cancer | COLO 205 | 1.020 | 0.62 | 0.419 | 0.39 | 0.455 | 0.64 | 1.620 | 1.69 | 0.812 | 0.94 | 0.791 | 0.41 | 0.351 | 0.58 | 1.640 | 1.07 |
| HCC-2998 | 0.345 | 0.380 | 0.300 | 1.670 | 0.504 | 0.297 | 0.239 | 0.445 | |||||||||
| HCT-116 | 0.297 | 0.248 | 0.337 | 1.670 | 0.882 | 0.256 | 0.265 | 0.650 | |||||||||
| HCT-15 | 0.628 | 0.311 | 1.550 | 1.850 | 1.550 | 0.345 | 1.410 | 1.580 | |||||||||
| HT29 | 1.280 | 0.855 | 1.250 | 1.840 | 1.770 | 0.646 | 1.220 | 1.750 | |||||||||
| KM12 | 0.401 | 0.160 | 0.207 | 1.700 | 0.382 | 0.195 | 0.280 | 0.523 | |||||||||
| SW-620 | 0.343 | 0.354 | 0.351 | 1.460 | 0.649 | 0.323 | 0.274 | 0.901 | |||||||||
| CNS Cancer | SF-268 | 0.380 | 0.30 | 0.285 | 0.30 | 0.351 | 0.46 | 1.570 | 1.67 | 1.040 | 0.75 | 0.525 | 0.28 | 0.279 | 0.33 | 0.760 | 0.77 |
| SF-295 | 0.297 | 0.215 | 1.060 | 1.520 | 1.400 | 0.240 | 0.648 | 1.360 | |||||||||
| SF-539 | 0.380 | 0.498 | 0.410 | 1.930 | 0.751 | 0.367 | 0.187 | 1.060 | |||||||||
| SNB-19 | 0.279 | 0.295 | 0.333 | 1.670 | 0.505 | 0.276 | 0.353 | 0.524 | |||||||||
| SNB-75 | 0.165 | 0.219 | 0.344 | 1.670 | 0.529 | 0.213 | 0.274 | 0.572 | |||||||||
| U251 | 0.315 | 0.279 | 0.276 | 1.670 | 0.287 | 0.067 | 0.225 | 0.335 | |||||||||
| Melanoma | LOX IMVI | 0.326 | 0.30 | 0.287 | 0.32 | 0.355 | 0.35 | 1.690 | 1.74 | 0.938 | 0.55 | 0.284 | 0.31 | 0.170 | 0.27 | 0.694 | 0.52 |
| MALME-3M | 0.270 | 0.381 | 0.287 | 2.040 | 0.397 | 0.310 | 0.353 | 0.594 | |||||||||
| M14 | 0.378 | 0.331 | 0.478 | 1.750 | 0.515 | 0.329 | 0.335 | 0.564 | |||||||||
| MDA-MB-435 | 0.299 | 0.238 | 0.319 | 1.550 | 0.341 | 0.296 | 0.320 | 0.376 | |||||||||
| SK-MEL-2 | 0.238 | 0.246 | 0.301 | 1.730 | 1.320 | 0.292 | 0.194 | 0.758 | |||||||||
| SK-MEL-28 | 0.474 | 0.514 | 0.453 | 1.690 | 0.423 | 0.491 | 0.323 | 0.570 | |||||||||
| SK-MEL-5 | 0.166 | 0.153 | 0.331 | 1.510 | 0.369 | 0.168 | 0.198 | 0.278 | |||||||||
| UACC-257 | 0.282 | 0.367 | 0.277 | 1.660 | 0.267 | 0.298 | 0.261 | 0.298 | |||||||||
| UACC-62 | 0.292 | 0.344 | 0.317 | 2.050 | 0.368 | 0.312 | 0.319 | 0.549 | |||||||||
| Ovarian Cancer | IGROV1 | 0.405 | 0.89 | 0.416 | 0.48 | 0.413 | 0.76 | 1.890 | 3.90 | 0.774 | 1.95 | 0.346 | 0.51 | 0.428 | 0.82 | 0.653 | 1.89 |
| OVCAR-3 | 0.368 | 0.196 | 0.288 | 1.420 | 0.381 | 0.334 | 0.216 | 0.418 | |||||||||
| OVCAR-4 | 0.370 | 0.247 | 0.382 | 1.640 | 0.686 | 0.351 | 0.429 | 1.140 | |||||||||
| OVCAR-5 | 1.150 | 0.684 | 0.852 | 3.000 | 1.300 | 0.335 | 1.720 | 1.440 | |||||||||
| OVCAR-8 | 0.350 | 0.337 | 0.408 | 1.840 | 0.595 | 0.350 | 0.560 | 0.494 | |||||||||
| NCI/ADR-RES | 3.290 | 1.180 | 2.600 | 15.900 | 8.440 | 1.580 | 2.140 | 7.550 | |||||||||
| SK-OV-3 | 0.329 | 0.301 | 0.382 | 1.620 | 1.470 | 0.263 | 0.277 | 1.520 | |||||||||
| Renal Cancer | 786-0 | 0.553 | 0.53 | 0.373 | 0.31 | 1.210 | 1.03 | 1.830 | 2.10 | 1.570 | 1.30 | 0.338 | 0.32 | 0.291 | 0.58 | 1.570 | 1.35 |
| A498 | 0.422 | 0.400 | 1.570 | 2.070 | 1.690 | 0.367 | 0.462 | 1.730 | |||||||||
| ACHN | 0.633 | 0.265 | 1.280 | 3.230 | 1.520 | 0.371 | 0.569 | 1.640 | |||||||||
| CAKI-1 | 0.385 | 0.228 | 1.030 | 1.780 | 1.570 | 0.275 | 0.309 | 1.540 | |||||||||
| RXF 393 | 0.225 | 0.333 | 0.257 | 1.820 | 0.461 | 0.191 | n.d. | 0.608 | |||||||||
| SN12C | 0.330 | 0.389 | 0.317 | 2.490 | 0.509 | 0.313 | 0.230 | 0.510 | |||||||||
| TK-10 | 0.464 | 0.313 | 1.090 | 1.740 | 1.430 | 0.427 | 0.414 | 1.690 | |||||||||
| UO-31 | 1.240 | 0.177 | 1.480 | 1.850 | 1.610 | 0.277 | 1.770 | 1.540 | |||||||||
| Prostate Cancer | PC-3 | 0.305 | 0.41 | 0.182 | 0.20 | 0.320 | 0.37 | 1.760 | 1.74 | 0.501 | 0.87 | 0.276 | 0.31 | 0.308 | 0.34 | 0.572 | 0.90 |
| DU-145 | 0.507 | 0.223 | 0.410 | 1.720 | 1.240 | 0.339 | 0.376 | 1.220 | |||||||||
| Breast Cancer | MCF7 | 0.291 | 0.24 | 0.268 | 0.25 | 0.407 | 0.33 | 1.620 | 1.61 | 0.956 | 0.59 | 0.260 | 0.22 | 0.267 | 0.25 | 0.396 | 0.53 |
| MDA-MB231ATCC | 0.240 | 0.320 | 0.315 | 1.910 | 0.366 | 0.258 | 0.337 | 0.906 | |||||||||
| HS 578T | 0.306 | 0.366 | 0.332 | 1.980 | 0.838 | 0.361 | 0.232 | 1.130 | |||||||||
| BT-549 | 0.257 | 0.344 | 0.349 | 1.610 | 0.709 | 0.280 | 0.291 | 0.293 | |||||||||
| T-47D | 0.228 | 0.105 | 0.302 | 1.450 | 0.397 | 0.121 | 0.208 | 0.259 | |||||||||
| MDA-MB-468 | 0.128 | 0.123 | 0.248 | 1.100 | 0.273 | 0.064 | 0.148 | 0.176 | |||||||||
| Mean | 0.455 | 0.322 | 0.565 | 2.046 | 0.957 | 0.312 | 0.437 | 0.949 | |||||||||
| Cell Line | Conc. (μM) | Growth Inhibition (%) ± SEM | ||
|---|---|---|---|---|
| 3i | 3j | 5 | ||
| HeLa | 10 30 | 96.46 ± 2.76 98.87 ± 0.86 | 96.64 ± 0.26 97.55 ± 0.65 | >10 * >10 |
| SiHa | 10 30 | 83.15 ± 2.13 103.50 ± 0.41 | 97.91 ± 0.06 97.81 ± 0.46 | >10 >10 |
| MCF-7 | 10 30 | 95.40 ± 1.54 95.82 ± 1.45 | 98.65 ± 0.29 98.68 ± 0.32 | >10 >10 |
| MDA-MB-231 | 10 30 | 88.58 ± 3.72 87.43 ± 2.89 | 97.98 ± 1.03 98.10 ± 0.13 | >10 >10 |
| A2780 | 10 30 | 96.85 ± 0.37 98.26 ± 0.87 | 98.77 ± 0.19 98.96 ± 0.38 | >10 >10 |
| NIH/3T3 (fibroblast) | 10 30 | 97.73 ± 0.53 98.52 ± 0.95 | 98.38 ± 0.53 99.00 ± 0.10 | >10 >10 |
| Cell Line | IC50 Value (μM) ± SEM | ||
|---|---|---|---|
| Selectivity Ratio | |||
| 3i | 3j | Cisplatin * | |
| HeLa | 1.08 ± 0.02 1.54 | 2.93 ± 0.02 0.67 | 13.60 ± 0.44 0.20 |
| SiHa | 1.15 ± 0.03 1.44 | 1.47 ± 0.01 1.33 | 15.50 ± 0.93 0.17 |
| MCF-7 | 0.26 ± 0.02 6.38 | 0.88 ± 0.01 2.23 | 2.60 ± 0.17 1.04 |
| MDA-MB-231 | 0.54 ± 0.02 3.07 | 1.24 ± 0.02 1.58 | 19.13 ± 0.12 0.14 |
| A2780 | 0.66 ± 0.03 2.52 | 1.37 ± 0.04 1.43 | 1.40 ± 0.11 1.93 |
| NIH/3T3 (fibroblast) | 1.66 ± 0.15 | 1.96 ± 0.01 | 2.70 ± 0.30 |
Disclaimer/Publisher’s Note: The statements, opinions and data contained in all publications are solely those of the individual author(s) and contributor(s) and not of MDPI and/or the editor(s). MDPI and/or the editor(s) disclaim responsibility for any injury to people or property resulting from any ideas, methods, instructions or products referred to in the content. |
© 2025 by the authors. Licensee MDPI, Basel, Switzerland. This article is an open access article distributed under the terms and conditions of the Creative Commons Attribution (CC BY) license (https://creativecommons.org/licenses/by/4.0/).
Share and Cite
Halmai, M.; Herr, D.M.; Mayer, S.; Keglevich, P.; Abdallah, E.A.; Bózsity-Faragó, N.; Zupkó, I.; Nehr-Majoros, A.; Szőke, É.; Helyes, Z.; et al. Synthesis and In Vitro Anticancer Evaluation of Novel Phosphonium Derivatives of Chrysin. Int. J. Mol. Sci. 2025, 26, 11063. https://doi.org/10.3390/ijms262211063
Halmai M, Herr DM, Mayer S, Keglevich P, Abdallah EA, Bózsity-Faragó N, Zupkó I, Nehr-Majoros A, Szőke É, Helyes Z, et al. Synthesis and In Vitro Anticancer Evaluation of Novel Phosphonium Derivatives of Chrysin. International Journal of Molecular Sciences. 2025; 26(22):11063. https://doi.org/10.3390/ijms262211063
Chicago/Turabian StyleHalmai, Mónika, Dominika Mária Herr, Szabolcs Mayer, Péter Keglevich, Ejlal A. Abdallah, Noémi Bózsity-Faragó, István Zupkó, Andrea Nehr-Majoros, Éva Szőke, Zsuzsanna Helyes, and et al. 2025. "Synthesis and In Vitro Anticancer Evaluation of Novel Phosphonium Derivatives of Chrysin" International Journal of Molecular Sciences 26, no. 22: 11063. https://doi.org/10.3390/ijms262211063
APA StyleHalmai, M., Herr, D. M., Mayer, S., Keglevich, P., Abdallah, E. A., Bózsity-Faragó, N., Zupkó, I., Nehr-Majoros, A., Szőke, É., Helyes, Z., & Hazai, L. (2025). Synthesis and In Vitro Anticancer Evaluation of Novel Phosphonium Derivatives of Chrysin. International Journal of Molecular Sciences, 26(22), 11063. https://doi.org/10.3390/ijms262211063

